Introducción
La acuicultura ha sido el sector productor de alimentos con mayor desarrollo a nivel global, con un índice general de crecimiento del 11% anual. La actividad acuícola alcanzó un total de 122.6 millones de toneladas en peso vivo en 2020, lo cual representa un incremento de 6.7 millones de toneladas en comparación con los 115.9 millones de toneladas registrados en 2018 (FAO 2022). Las tilapias, incluidas la del Nilo (Oreochromis niloticus), del Mozambique (O. mossambicus) y azul (O. aureus), así como otros cíclidos se encuentran dentro de las especies más cultivadas, ubicándose en el segundo lugar en volumen de producción de especies dulceacuícolas a nivel mundial, debido a las características biológicas convirtiéndose en uno de los grupos más exitosos de peces cultivados (Vajargah 2021, FAO 2022). En el año 2020 dentro de las especies del género Oreochromis (principal genero del grupo de las tilapias) la de mayor producción a nivel mundial fue la tilapia del Nilo (O. niloticus) con una producción de 4.4 millones de toneladas (FAO 2022). Esta producción se atribuye a sus características de cultivo, como su rápida tasa de crecimiento en sistemas de cultivo intensivo (Furuya et al. 2008, El Araby et al. 2020, Beaune et al. 2021), conversión eficiente de alimentos naturales y formulados, además presenta una alta demanda a nivel comercial por su sabor, color y textura agradable (Ng y Romano 2013, Beaune et al. 2021, Vajargah 2021).
A pesar de que la tilapia del Nilo acepta cualquier tipo de alimento comercial, su calidad y precio son algunos de los factores más importantes que influyen en su rendimiento bajo cultivo y ésta a su vez es influenciada por factores como; el comportamiento de los peces, densidad de población, calidad del alimento, ración diaria, frecuencia de alimentación, temperatura del agua, entre otros (EI-Sayed 2006, De Silva et al. 2013, El-Araby et al. 2020). Basado en lo anterior, determinar el tamaño óptimo de la ración y la frecuencia de alimentación son aspectos importantes en las operaciones acuícolas, debido a que son esenciales para garantizar la máxima tasa de conversión alimenticia durante el cultivo (Tran et al. 2011, Jobling et al. 2012, Fattah et al. 2021).
Desde el punto de vista de la operación de la granja acuícola, la alimentación frecuente (cantidad de raciones por día) de los peces genera un mayor gasto debido al incremento en la mano de obra requerida, así como por el desperdicio de alimento no consumido por parte de los organismos (Riche et al. 2004, Fattah et al. 2021) y dado que el costo del alimento representa más del 50% de los costos operativos en los sistemas de cultivo (El-Sayed 2006, Gandotra et al. 2015), la viabilidad económica de la actividad acuícola depende del uso adecuado del alimento (Tucker et al. 2009, Da Silva et al. 2020). Por lo tanto, uno de los problemas en la producción acuícola es lograr equilibrio entre el crecimiento de los peces y el consumo de alimento. Para alcanzar lo anterior, es importante conocer el patrón de crecimiento y las necesidades nutricionales de los peces en los diversos sistemas de cultivo, así como las mejores estrategias de alimentación de cada especie y estadio de desarrollo (Jørgensen et al. 1996, Bolivar et al. 2006, Gokcek et al. 2008).
Aunque existe relación positiva entre el crecimiento y la frecuencia de alimentación, se ha demostrado que no es necesario alimentar diariamente para obtener las máximas tasas de crecimiento y que más allá de cierto nivel, la alimentación excesiva no mejora el crecimiento y puede desencadenar un decremento de la tasa de crecimiento, lo que resulta en una menor tasa de conversión alimenticia (Riche et al. 2004, Riche, 2008, Hezron et al. 2019, Afram et al. 2021, Cadorin et al. 2021). En este sentido, las estrategias de alimentación se pueden adaptar para minimizar los costos de producción manteniendo la calidad de los peces (Bavčević et al. 2010, Poot-López et al. 2014, Afram et al. 2021).
La optimización de los regímenes de alimentación durante el proceso de crecimiento de los peces permite reducir los costos de alimentación sin desacelerar el crecimiento, lo que reditúa en una alta calidad del producto y optimiza las ganancias generadas, lo que podría asegurar el éxito del desarrollo y manejo del cultivo (Oh et al. 2013, Afram et al. 2021). Por otro lado, además de optimizar la utilización del alimento (número de raciones diarias y peso de la ración ofrecida como porcentaje de la biomasa total por unidad de producción) y reducir los costos, el régimen de alimentación también puede influir positivamente en la composición corporal de los peces (Adebayo et al. 2000, Ali et al. 2003, Gao et al. 2015, Gallardo-Colli et al. 2020, Cadorin et al. 2021). Con el objetivo de maximizar el crecimiento de los peces, los regímenes de alimentación óptimos implican restricciones alimenticias programadas (Bavčević et al. 2010, Py et al. 2022). Estas restricciones consisten principalmente en privaciones de alimento, exposición a bajas temperaturas de manera prolongada y disminución de los niveles de oxígeno disuelto (Ali et al. 2003, Marques y Lombardi 2011, Py et al. 2022). Sin embargo, el más utilizado por diversos autores es el que implica una disminución de la cantidad de alimento proporcionado, seguido de un breve período de alimentación intensiva que permita a los peces incrementar significativamente su longitud y peso finales al alcanzar un estatus hiperanabólico (Bavčević et al. 2010, Bevitorio et al. 2015, Elbialy et al. 2022) de acuerdo a la edad y al tipo de cultivo empleado. Lo anterior, también se conoce como crecimiento compensatorio, el cual ha sido definido por varios autores como el incremento inmediato de peso que registran los animales después de haber sido sometidos por un cierto tiempo a una restricción nutrimental reconocida por la reducción en el consumo de alimento o por suministrar dietas bajas en su calidad, sin afectar su integridad física de manera letal o subletal (Ali et al. 2003, Poot-López et al. 2020, Elbialy et al. 2022). El crecimiento compensatorio se puede aplicar como una estrategia para maximizar el crecimiento, mejorar la tasa de conversión alimenticia, reducir la heterogeneidad de la población, mejorar la calidad del agua y reducir los costos de mano de obra y alimentación (Wang et al. 2000, Ali et al. 2003, Zhu et al. 2005, Blanquet y Oliva-Teles 2010, Bevitorio et al. 2015, El-Araby et al. 2020).
Aunado a lo anterior y debido al hecho de que en la región (embalse de la presa Miguel Alemán, Oaxaca, México) muchos productores de tilapia del Nilo alimentan sólo seis o cinco días a la semana para ahorrar alimento sin aplicar un periodo de realimentación adecuado y sin conocer los efectos en el rendimiento final de su cultivo, el objetivo del presente trabajo consistió en evaluar el desempeño productivo, el rendimiento económico y la composición química de la tilapia del Nilo (O. niloticus) alimentada bajo diferentes regímenes alimenticios.
Materiales y Métodos
Obtención de juveniles
Los peces utilizados fueron adquiridos a la granja “Unidad de producción del Tesechoacan” (Línea Isaluma, Villa Azueta, José Azueta, Veracruz, México) una vez terminado el periodo de reversión hormonal. Los juveniles masculinizados (flouximesterona, 20 mg) de tilapia del Nilo se trasladaron a la Unidad Acuícola Experimental de la Universidad del Papaloapan en una bolsa de plástico transparente con oxigenación. Al llegar al laboratorio, se aplicó un tratamiento de sal (> 35 ups) durante 10 minutos aproximadamente. Posteriormente, fueron sembrados en dos tanques de 900 L evitando cambios bruscos de temperatura (> 1°C). Se dejaron aclimatar por 30 días antes de iniciar con el experimento, alimentándose a saciedad aparente 4 veces al día (1.5 mm, 44% proteína, Purina Agribrands).
Diseño experimental
El experimento se realizó en las instalaciones de la Unidad Acuícola Experimental de la Universidad del Papaloapan (campus Loma Bonita, Loma Bonita, Oaxaca, México) empleando un sistema de recirculación cerrada compuesto por 12 tanques de 900 L conectados a una bomba de ½ HP y un aireador de ¼ HP. Se sembraron 12 juveniles en cada unidad experimental. Se evaluaron cuatro diferentes regímenes de alimentación; siete días a la semana (7×0), seis días a la semana (6×1), cinco días a la semana (5×2) y alimentación alternada, un día sí y un día no (1×1) durante un periodo de 36 días. Posteriormente, los grupos restringidos se alimentaron siete días a la semana durante otros 24 días. Se emplearon tres replicas por cada régimen de alimentación distribuidas de manera aleatoria dentro del sistema experimental.
Alimentación y evaluación del desempeño productivo
Al inicio del experimento, los peces se alimentaron cuatro veces al día al 5% de la biomasa total por unidad experimental con alimento comercial Purina al 40% de proteína (2.4 mm, Purina, Agribrands). Se realizaron biometrías cada 12 días, para lo cual se colectó al azar el 75% de la población de cada unidad experimental por tratamiento. La longitud total fue obtenida mediante un ictiómetro (Aquatic Ecosystem), mientras que para el registro del peso húmedo individual se utilizó una balanza digital (Marca Ohaus, Scout, 0 a 2000 g). A partir del peso húmedo se calculó la ración para los siguientes 12 días, ajustándola después de cada biometría al 4% de la biomasa (a partir del día 0, 2.4 mm, 40% de proteína, Purina Agribrands) y posteriormente al 3% de la biomasa total por unidad experimental (a partir del día 24, 3.5 mm, 35% de proteína, Purina Agribrands).
La evaluación del crecimiento se realizó a partir del peso húmedo y longitud total que se obtuvieron de cada biometría. Las fórmulas que se utilizaron para calcular los índices de crecimiento se presentan a continuación.
Biomasa ganada (BG):
Factor de conversión alimenticia (FCA):
Tasa de crecimiento diario (TCD):
Factor de condición (FC):
Supervivencia
El porcentaje de supervivencia (S) se calculó usando la siguiente formula:
Análisis económico
El análisis económico se realizó con la finalidad de evaluar los cuatro regímenes alimenticios en función de sus costos de producción. Los costos fueron calculados tomando en cuenta como componente principal el alimento suministrado, también se consideró la mano de obra variable, específicamente el pago diario del alimentador. Ello se debe a que fue son los únicos factores de cambio en el experimento pues al realizarse éste en condiciones controladas todos los demás costos permanecieron en ceteris paribus. El análisis inició con la derivación de las funciones de producción, posteriormente se calculó la relación costo-beneficio, finalizando con una matriz diferencial de estos dos indicadores principales.
Función de producción
Analíticamente la función de producción se expresó como:
Donde se define el trabajo como L y capital como K, para producir un bien y la cantidad producida de ese bien (q) (Samuelson y Nourdhaus 2010).
Relación Costo/ Beneficio
Para obtener este indicador, se realizó la sumatoria de costos durante el periodo que duró el experimento y se dividió sobre los beneficios del mismo utilizando la siguiente fórmula (Sjöstrand, 2019):
Dónde: Bt = beneficio en cada periodo del proyecto, Ct= costos en cada periodo del proyecto. Se empleó una matriz de doble entrada para comparar información a través de un esquema cuadriculado.
Composición química
Las muestras de músculo fueron obtenidas de la parte lateral de pez (masa muscular superior y ventral), restando estructuras óseas, así como las partes anteriores y posteriores del cuerpo (cabeza y aleta caudal). Se procedió a filetear el músculo en cortes finos para después secarlo en un horno (Ecoshel 9053L) a 55 °C durante 12 horas, triturarlo, tamizarlo y analizarlo en cuanto a su contenido de lípidos (por medio de método Soxhlet, 920.39), proteínas (por medio del método Kjeldahl, 954.01), cenizas (método 964.22) y humedad empleando una termobalanza (AJ420E, Vibra), mientras que el contenido de carbohidratos se estableció por diferencia, realizando todos los procedimientos de acuerdo con lo establecido por la AOAC (2005).
Análisis estadístico
Se verificaron los supuestos de normalidad y homocedasticidad para el uso de pruebas estadísticas paramétricas. Las diferencias existentes entre los parámetros productivos, económicos (costo/beneficio) y la composición química se evaluaron mediante un análisis de varianza de una vía. Las diferencias entre los tratamientos se compararon mediante una prueba de Tukey con un nivel de significancia del 95%. Se realizó un análisis de correlación de Pearson entre los parámetros químicos evaluados. Todos los análisis se realizaron utilizando el programa Minitab19.
Resultados
Desempeño productivo
Los resultados obtenidos para el peso húmedo y la longitud total durante los 60 días de experimento (36 días de restricción y 24 días de realimentación) se muestran en la Tabla 1. El peso húmedo registró diferencias significativas (P < 0.05) a partir del día 36 de restricción, con los grupos 7×0 y 6×1 mostrando valores más altos en comparación con el grupo 5×2 y el grupo 1×1. Para el día 48 (realimentación), el grupo 6×1 mostró los valores significativamente más altos (P < 0.05) en comparación con los grupos 5×2 y 1×1. No se observaron diferencias significativas entre el grupo 7×0 y los grupos 6×1 y 5×2. Para el final de experimento (60 días), el grupo 1×1 registró un peso húmedo significativamente menor (P < 0.05) en comparación con el resto de los grupos evaluados. No se observaron diferencias significativas entre los grupos 7×0, 6×1 y 5×2. En cuanto a la longitud total, se registraron diferencias significativas (P < 0.05) a partir del día 12 de restricción, con el grupo 5×2 registrando un valor más bajo en comparación con el resto de los grupos evaluados. Para el día 36 de restricción y 48 (realimentación) se observaron diferencias significativas (P < 0.05) con el grupo 6×1 mostrando valores más altos en comparación con los grupos 5×2 y 1×1. No se observaron diferencias significativas entre ninguno de los grupos analizados para el final del experimento. Los resultados obtenidos para supervivencia final se presentan en la Tabla 1. La supervivencia final registró diferencias significativas (P < 0.05), con los grupos 6×1 y 1×1 mostrando porcentajes de supervivencia más altos en comparación con los observados en el grupo 7×0. No se observaron diferencias entre el grupo 5×2 y el resto de los regímenes alimenticios.
Tabla 1 Peso húmedo (PH, g), longitud total (LT, cm) y supervivencia final (SF, %) durante los 60 días de experimentación en juveniles de tilapia del Nilo (Oreochromis niloticus) cultivados bajo diferentes regímenes de alimentación. n = 24. Promedio ± Desv. Std.
| Día | Régimen | ||||
|---|---|---|---|---|---|
| 7×0 | 6×1 | 5×2 | 1×1 | ||
| 0 | PH | 25.90 ±1.80a | 26.30 ± 1.72a | 27.40 ± 1.91a | 27.60 ± 1.65a |
| LT | 11.70 ± 0.60a | 12.00 ± 0.50a | 11.60 ± 0.70a | 12.10 ± 0.30a | |
| 12 | PH | 60.70 ± 3.83a | 59.30 ± 2.61a | 53.50 ± 2.90a | 55.70 ± 2.33a |
| LT | 14.20 ± 0.10a | 14.30 ± 0.20a | 13.60 ± 0.11b | 14.00 ± 0.21a | |
| 24 | PH | 91.30 ± 13.61a | 86.60 ± 4.12a | 75.20 ± 4.31a | 78.50 ± 4.00a |
| LT | 16.30 ± 0.50a | 15.80 ± 0.10a | 15.30 ± 0.50a | 15.60 ± 0.31a | |
| 36 | PH | 117.10 ± 14.60a | 113.70 ± 4.30a | 94.70 ± 1.91b | 86.70 ± 2.12c |
| LT | 17.30 ± 0.51ab | 17.60 ± 0.20a | 17.10 ±0.10ab | 16.60 ± 0.30b | |
| 48 | PH | 136.90 ± 14.94ab | 143.43 ±7.30a | 119.72 ± 4.34b | 101.21 ± 2.81c |
| LT | 18.40 ± 0.50ab | 18.80 ± 0.12a | 17.80 ± 0.31bc | 17.30 ± 0.40c | |
| 60 | PH | 162.21 ± 10.70a | 163.00 ± 13.10a | 157.14 ± 10.60a | 139.63 ± 6.01b |
| LT | 19.51 ± 0.51a | 19.70 ± 0.51a | 19.50 ± 0.40a | 19.00 ± 0.10a | |
| SF | 86.11 ± 9.62 b | 97.22 ± 4.62a | 94.44 ± 4.90ab | 97.22 ± 4.86a | |
Los superíndices con distinta letra en la misma fila indican diferencias significativas (P < 0.05). 7×0 = Alimentado siete días de la semana, 6×1 = Alimentado seis días de la semana, 5×2 = Alimentado cinco días de la semana, 1×1 = Alimentado un día sí y un día no.
Los resultados obtenidos para los índices de crecimiento se encuentran contenidos en la Tabla 2. A los 12 y 24 días de restricción se registraron diferencias significativas (P < 0.05), con los grupos 5×2 y 1×1 registrando los valores más bajos de BG en comparación con los grupos 6×1 y 7×0 (solo a los 12 días de restricción). No se observaron diferencias significativas entre los grupos 5×2 y 1×1. Al final del periodo de restricción alimenticia (36 días), no se observaron diferencias significativas entre los grupos 7×0, 6×1 y 5×2. El valor de BG significativamente (P < 0.05) más bajo se observó en el grupo 1×1, en comparación con el resto de los grupos evaluados. A los 48 días de experimentación (36 días de restricción y 12 días de realimentación), los grupos 6×1 y 5×2 registraron una BG significativamente (P< 0.05) más elevada que el grupo 1×1. No se observaron diferencias significativas entre el grupo 7×0 y el resto de los grupos evaluados. Al final del periodo experimental (60 días), los grupos 5×2 y 1×1 mostraron una BG significativamente más alta que los grupos 7×0 y 6×1. No se observaron diferencias significativas entre el grupo 5×2 y el grupo 1×1.
Tabla 2 Biomasa ganada (BG, g), factor de conversión alimenticia (FCA), tasa de crecimiento diario (TCD, g) y factor de condición (FC) obtenidos durante los 60 días de experimentación en juveniles de tilapia del Nilo (Oreochromis niloticus) cultivados bajo diferentes regímenes alimenticios. n = 24. Promedio ± Desv. Std.
| Día | Régimen | |||
|---|---|---|---|---|
| 7×0 | 6×1 | 5×2 | 1×1 | |
| 12 | ||||
| BG | 412.80 ± 52.80a | 384.11 ± 12.59a | 308.30 ± 32.7b | 326.40 ± 18.20b |
| FCA | 1.05 ± 0.06b | 1.09 ± 0.01b | 1.22 ± 0.07a | 1.21 ± 0.03a |
| TCD | 2.87 ± 0.36a | 2.66 ± 0.08a | 2.05 ± 0.22c | 2.26 ± 0.12b |
| 24 | ||||
| BG | 353.10 ± 90.80ab | 365.00 ± 44.80a | 254.10 ± 53.50b | 246.30 ± 28.80 b |
| FCA | 1.88 ± 0.29ab | 1.76 ± 0.14b | 2.13 ± 0.38 ab | 2.21 ± 0.15a |
| TCD | 2.45 ± 0.63ab | 2.53 ± 0.31a | 1.76 ± 0.37b | 1.71 ± 0.20b |
| FC | 2.06 ± 0.09ab | 2.26 ± 0.13a | 2.12 ± 0.09ab | 2.03 ± 0.03b |
| 36 | ||||
| BG | 327.60 ± 61.10a | 299.41 ± 4.22a | 258.27±12.20a | 135.90 ± 28.20b |
| FCA | 2.55 ± 1.10ab | 2.18 ± 0.07b | 2.11 ± 0.12b | 3.80 ± 0.91a |
| TCD | 2.27 ± 0.92ab | 2.07 ± 0.03a | 1.79 ± 0.08a | 0.94 ± 0.19b |
| FC | 2.27 ± 0.12a | 2.14 ± 0.08ab | 2.03 ± 0.08ab | 1.98 ± 0.08b |
| 48 | ||||
| BG | 238.50 ± 70.70ab | 324.20 ± 83.20a | 299.10 ± 28.90a | 174.84 ± 8.35b |
| FCA | 2.62 ± 0.71a | 1.99 ± 0.45ab | 1.73 ± 0.10b | 2.50 ± 0.05a |
| TCD | 1.65 ± 0.49ab | 2.25 ± 0.57a | 2.07 ± 0.20a | 1.21 ± 0.05b |
| FC | 2.16 ± 0.02a | 2.12 ± 0.05ab | 2.19 ± 0.09a | 2.00 ± 0.06b |
| 60 | ||||
| BG | 303.50 ± 41.80b | 346.00 ± 83.50b | 448.80 ± 95.50a | 460.30±104.20a |
| FCA | 2.35 ± 0.50a | 2.08 ± 0.27a | 1.55 ± 0.29b | 1.35 ± 0.26b |
| TCD | 2.10 ± 0.29b | 2.40 ± 0.58b | 3.11 ± 0.66a | 3.19 ± 0.72a |
| FC | 2.09 ± 0.05ab | 2.22 ± 0.04a | 2.11 ± 0.04ab | 2.02 ± 0.06b |
Los superíndices con distinta letra en la misma fila indican diferencias significativas (P < 0.05). 7×0 = Alimentado siete días de la semana, 6×1 = Alimentado seis días de la semana, 5×2= Alimentado cinco días de la semana, 1×1 = Alimentado un día sí y un día no.
En cuanto al FCA, a los 12 días de restricción, los grupos 7×0 y 6×1 presentaron un valor significativamente más bajo (P < 0.05) que el registrado en los grupos 5×2 y 1×1. A los 24 días de restricción, el grupo 6 x1 registró un FCA significativamente más bajo (P < 0.05) en comparación con el grupo 1×1. No se observaron diferencias significativas entre los grupos 7×0, 5×2 y el resto de los grupos analizados. Al final del periodo de restricción alimenticia (36 días), el grupo 1×1 mostró un FCA significativamente más alto (P < 0.05) en comparación con los grupos 6×1 y 5×2. El grupo 7×0 no registró diferencias significativas con ninguno de los grupos evaluados. Durante el periodo de realimentación, a los 48 días, el grupo 7×0 y 6×1. No se observaron diferencias significativas entre los grupos 7×0 y 6×1, así como entre los grupos 5×2 y 1×1.
La TCD observada a los 12 días de restricción mostró diferencias significativas (P < 0.05) entre los grupos evaluados, con los grupos 7×0 y 6×1 registrando los valores más altos en comparación con los grupos 5×2 y 1×1. La TCD significativamente (P < 0.05) más baja se observó en el grupo 1×1. A los 24 días de restricción se observó una TCD significativamente más alta (P < 0.05) en el grupo 6×1 en comparación con los grupos 5×2 y 1×1. No se observaron diferencias significativas entre el grupo 7×0 y el resto de los grupos evaluados. Presentaron una TCD significativamente (P < 0.05) más alta que la observada en el grupo 1×1. No se presentaron diferencias entre los grupos analizados y el grupo 7×0. Para los 36 (restricción) y 48 (realimentación) días del experimento, la TCD significativamente (P < 0.05) más alta se observó en los grupos 6×1 y 5×2 en comparación con el grupo 1×1. No se observaron diferencias significativas entre el grupo 7×0 y el resto de los grupos evaluados. Al final del periodo experimental (60 días), los grupos 5×2 y 1×1 fueron los que presentaron la TCD significativamente más alta (P < 0.05) en comparación con los grupos 7×0 y 6×1. En lo que respecta al FC, no se observaron diferencias significativas a los 12 días de restricción alimenticia, mientras que, a los 24 y 36 días de restricción, el grupo 1×1 registro el valor significativamente (P < 0.05) más bajo para el FC, en comparación con los grupos 6×1 y 7×0, respectivamente. Durante el periodo de realimentación, el FC del grupo 1×1 continuó mostrando los valores significativamente (P <0.05) más bajos en comparación con los grupos 7×0 y 5×2 (48 días), y 6×1 (60 días). No se observaron diferencias significativas entre el resto de los grupos evaluados durante el periodo de realimentación.
Análisis económico
Los resultados obtenidos para la relación costo-beneficio de los cuatro regímenes alimenticios evaluados se muestran en la Tabla 3. Se observó un valor más bajo para el grupo 1×1 lo que representa un menor costo de producción, obsérvese que el indicador va en aumento a medida en que se agregan días de alimentación habiendo una diferencia del 15% entre los grupos 7×0 y 1×1. La reducción en costo por unidad de producción entre 7×0 y 5×2 es de 12%.
Tabla 3 Relación costo-beneficio (C/B) obtenida en juveniles de tilapia del Nilo (Oreochromis niloticus) cultivados bajo diferentes regímenes alimenticios.
| Régimen | C/B |
|---|---|
| 7×0 | 6.16 |
| 6×1 | 6.08 |
| 5×2 | 5.42 |
| 1×1 | 5.26 |
7×0 = Alimentado siete días de la semana, 6×1= Alimentado seis días de la semana, 5×2 = Alimentado cinco días de la semana, 1×1 = Alimentado un día sí y un día no.
Los resultados obtenidos para la matriz diferencial se muestran en la Tabla 4. La producción obtenida para el grupo 7×0 fue de 1 435.38 g siendo mayor la producción en comparación con el grupo 6×1 con una diferencia entre ambos de 177.01 g. Con respecto al grupo 5×2, se observó una diferencia de 215.47 g, resultando mayor nuevamente la producción registrada en el grupo 7×0. Finalmente, el grupo 1×1 mostró una diferencia de 407.67 en comparación con el grupo 7×0, éste resultó el grupo con menor producción. La producción obtenida para el grupo 6×1 mostró una mayor producción en comparación con el grupo 5×2 (38.40 g), mientras que en comparación con el grupo 1×1, se registró una diferencia de 230.60 g, siendo este grupo con el que se presentó la mayor diferencia en cuanto a gramos producidos. En lo que respecta al grupo 5×2, registró una diferencia de 192.20 g comparada con el grupo 1×1.
Tabla 4 Matriz diferencial obtenida en juveniles de tilapia del Nilo (Oreochromis niloticus) de diferentes regímenes alimenticios.
| Costo | 7×0 | 6×1 | 5×2 | 1×1 | |
|---|---|---|---|---|---|
| Producción | 1 435.38 | 1 258.31 | 1 219.91 | 1 027.71 | |
| 7×0 | MXN$ 8 852.90 | 1.00 | 177.07 | 215.47 | 407.67 |
| (USD$ 523.31) | |||||
| 6×1 | MXN$ 7 651.99 | MXN$ -1 200.91 | 1.00 | 38.40 | 230.60 |
| (USD$ 452.32) | (USD$ -70.90) | ||||
| 5×2 | MXN$ 6 619.07 | MXN$ -2 233.83 | MXN$ -1 032.92 | 1.00 | 192.20 |
| (USD$ 391.26) | (USD$ -132.00) | (USD$ -61.00) | |||
| 1×1 | MXN$ 5 406.00 | MXN$ -3 446.90 | MXN$ -2 245.99 | MXN$ -1 213.07 | 1.00 |
| (USD$ 319.56) | (USD$ 203.70) | (USD$ -132.70) | (USD$ 71.70) |
Datos (USD$ en una conversión de USD$1-16.917 obtenido de Banco de México el 01 de septiembre de 2023). Datos de producción en la matriz se expresan en gramos.
En cuanto a los costos variables totales considerados en el experimento; el grupo 7×0 presentó un costo de $ 8 885.90 (USD$ 523.31) mostrando una diferencia de menos 1 200.91 pesos mexicanos (USD$ 70.90) al ser comparado con el costo obtenido en el grupo 6×1. Con respecto al grupo 5×2, hubo una diferencia de MXN$ 2 233.83 (USD$ 132.00) siendo mayor nuevamente el costo de producción para el grupo 7×0. El grupo 1×1 mostró una diferencia de MXN$ 3 446.90 (USD$ 203.70) en comparación con el grupo 7×0, fue este último, el grupo con mayor costo de producción. El costo obtenido para el grupo 6×1 mostró una diferencia en comparación con el grupo 5×2 de MXN$ 1 032.91 (USD$ 61.00) siendo mayor el costo de producción para el grupo 6×1. Se observó una diferencia de MXN$ 2245.99 (USD$ 132.70) al comparar el grupo 6×1 con el grupo 1×1, siendo el grupo 6×1 el que registró el mayor costo de producción. La comparación entre los grupos 5×2 y 1×1 mostró una diferencia de MXN$ 1213.07 (USD$ 71.70).
Composición química
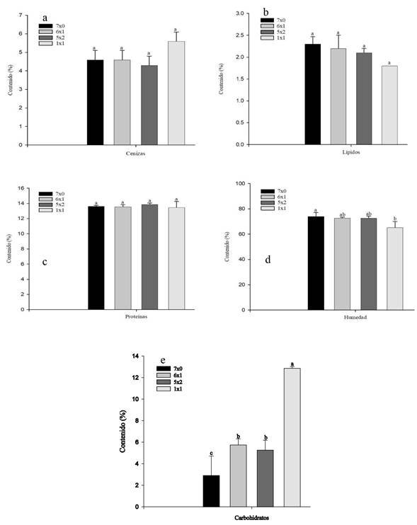
Los resultados obtenidos para el contenido de cenizas, humedad, proteínas, lípidos y carbohidratos se encuentran contenidos en la Figura 1. Para el contenido de cenizas, lípidos y proteínas no se observaron diferencias significativas en ninguno de los regímenes alimenticios evaluados, mientras que para el contenido de carbohidratos se registraron diferencias significativas (P < 0.05), con el grupo 1×1 mostrando valores más altos en comparación con el resto de los grupos analizados. No se observaron diferencias significativas entre los grupos 6×1 y 5×2. En lo que respecta al contenido de humedad, se observó un valor significativamente más alto (P < 0.05) en el grupo 7×0, en comparación con el grupo 1×1. No se presentaron diferencias significativas entre los tratamientos 6×1 y 5×2 con respecto al resto de los grupos analizados.

Figura 1 a) Porcentaje de cenizas, b) Porcentaje de lípidos, c) Porcentaje de proteínas, d) Porcentaje de humedad, e) porcentaje de carbohidratos obtenidos en juveniles de tilapia del Nilo (Oreochromis niloticus) cultivada bajo diferentes regímenes alimenticios. La presencia de superíndices con diferente letra sobre las columnas indica diferencias significativas entre los tratamientos (P < 0.05).
Los resultados obtenidos para el análisis de correlación de Pearson se encuentran contenidos en la Tabla 5. La relación humedad-cenizas presentó un valor de correlación negativa del 50%. En cuanto a carbohidratos-proteína se presentó una correlación fuertemente negativa del 96%, lo que indica que, a mayor cantidad de proteínas, menor cantidad de carbohidratos habrá en las muestras de músculo de tilapia del Nilo.
Tabla 5 Análisis de correlación de Pearson del análisis químico obtenido en juveniles de tilapia del Nilo (Oreochromis niloticus) cultivada bajo diferentes regímenes alimenticios.
| Hu | Ce | Li | Pr | Ch | |
|---|---|---|---|---|---|
| Hu | 1 | -0.50 | 0.04 | 0.23 | -0.96 |
| Ce | 1 | 0.33 | -0.27 | 0.30 | |
| Li | 1 | -0.32 | -0.27 | ||
| Pr | 1 | -0.22 | |||
| Ch | 1 |
Hu: Humedad; Ce: Cenizas; Li: Lípidos; Pr:Proteína; Ch: Carbohidratos.
Discusión
Desempeño productivo
El crecimiento compensatorio puede ser una alternativa al alcance de los productores para mejorar la tasa de crecimiento de los peces bajo cultivo. Los peces sometidos a una restricción alimenticia previa pueden recuperar el peso de forma parcial (Jobling et al. 1993, Álvarez y Nicieza 2005, Bavčević et al. 2010, El-Araby et al. 2020, Py et al. 2022) o completa (Johansen et al. 2001, Maclean y Metcalfe 2001, Gallardo-Colli et al. 2020, Poot-López et al. 2020, Elbialy et al. 2022, Py et al. 2022) igualando aquellos que no han sido sometidos a restricción. Los resultados obtenidos mostraron que alimentar sólo seis o cinco días a la semana no influye de manera negativa en el peso húmedo o longitud total finales, siempre y cuando sea seguido de un periodo de realimentación adecuado (del 60 al 100% del tiempo total de la restricción). Lo anterior, coincide con Wang et al. (2000), Gao et al. (2015) y Elbialy et al. (2022), quienes mencionan que aplicar este proceso en juveniles de tilapia del Nilo puede aumentar la tasa de crecimiento y la eficiencia alimenticia si se aplica correctamente. Empleando regímenes alimenticios similares a los evaluados, Ali et al. (2016) reportan un crecimiento en peso sin diferencias significativas al final del periodo de realimentación en alevines de tilapia del Nilo. Los resultados indican que un periodo de restricción de 36 días causa diferencias significativas en los pesos húmedos (Tabla 1), pero un periodo de realimentación de 24 días fue suficiente para eliminar diferencias de peso húmedo y longitud total entre los tratamientos 7×0, 6×1 y 5×2.
Los peces del tratamiento 1×1, donde fue mayor la restricción alimenticia presentaron menor peso en comparación con el resto de los tratamientos, por lo que exhibieron un crecimiento compensatorio parcial. La reducción de la alimentación de siete a cuatro días (grupo 1×1) mostró un efecto negativo en el crecimiento de juveniles de tilapia del Nilo después de un proceso de restricción alimenticia y realimentación. Resultados similares en peso húmedo final han sido mostrados porVillarroel et al. (2011) y El-Araby et al. (2020) en juveniles de tilapia del Nilo expuestos a diferentes frecuencias y días (restricción) de alimentación. En cuanto a la longitud, los cuatro regímenes evaluados mostraron una compensación total al final del periodo de realimentación. Al respecto, Gao et al. (2015) reportan, una compensación total en la tilapia del Nilo después de un periodo de restricción alimenticia de 80 días seguido de un periodo de realimentación de 105 días; pero en otros estudios solo el peso presenta un crecimiento compensatorio total, mientras que la longitud registra una compensación parcial (Álvarez y Nicieza 2005, Bavčević et al. 2010). Lo anterior, podría indicar un periodo de restricción muy largo o un periodo de realimentación muy corto, que no permiten una recuperación total en dichos parámetros.
El crecimiento compensatorio durante la etapa de realimentación fue evidente al evaluar los índices de crecimiento. La BG registró en los grupos 5×2 y 1×1 valores significativamente menores al resto de los grupos evaluados durante toda la etapa de restricción alimenticia, pero al finalizar el periodo de realimentación estos grupos mostraron una BG significativamente más alta que la observada en el grupo 7×0. En lo que respecta al FCA, se observó un valor significativamente más alto para el grupo 1×1 conforme avanzó el periodo de restricción alimenticia. Sin embargo, al finalizar el periodo de realimentación, los grupos que fueron restringidos dos (5×2) y tres días (1×1) presentaron valores de FCA significativamente menores que los que fueron alimentados diariamente (7×0) y los que fueron restringidos un día (6×1). Estos resultados concuerdan con los reportados para juveniles de tilapia del Nilo por parte de Bolivar et al. (2006) bajo un esquema de alimentación alternada (un día sí y un día no), y por Poot-López et al. (2020) bajo un esquema de seis semanas de restricción alimenticia por seis semanas de realimentación. En contraste, El-Araby et al. (2020), en juveniles de la misma especie, no observaron diferencias significativas en el FCA alimentando alternadamente (1×1 y 2×1) durante 10 semanas. En otras especies de agua dulce, Aderolu et al. (2010) reportan en juveniles del bagre africano que dos días de restricción alimenticia, seguidos de un periodo de realimentación adecuado permiten obtener mejores valores de FCA al final del periodo experimental. La disminución del FCA en los grupos 5×2 y 1×1 al final del periodo de realimentación fue acompañado por una mayor BG y TCD, lo cual es indicador, de acuerdo con Ali et al. (2003) del proceso de crecimiento compensatorio.
Los resultados sugieren que, durante el periodo de realimentación, entre más severa sea la restricción alimenticia, más tiempo tardarán los peces en mostrar crecimiento compensatorio (observado en un incremento de la BG, TCD y un descenso del FCA) durante el periodo de realimentación. El cambio observado en los parámetros de crecimiento entre la etapa de restricción alimenticia y realimentación es posible, ya que de acuerdo a varios autores (Ali et al. 2003, Bevitorio et al. 2015, Elbialy et al. 2022, Py et al. 2022) la tasa de crecimiento de los peces está diseñada para compensar el bajo aumento de peso durante periodos de escasez de alimento. En este estudio, se registró un incremento significativo de la TCD (crecimiento compensatorio) primero en el grupo 5×2 (48 días) y posteriormente en el grupo 1×1 (60 días). Al respecto, Tian y Qin (2004)) reportan que el crecimiento compensatorio solo se presenta en peces que experimentan una restricción alimenticia moderada. Por lo tanto, entre más severa es la restricción alimenticia, más tiempo se necesita durante el periodo de realimentación para observar la compensación en la tasa de crecimiento, llamada crecimiento compensatorio. A pesar de que la tilapia del Nilo es señalada como una especie omnívora con un patrón continuo de alimentación que fisiológicamente presenta adaptaciones que pueden reflejarse en una menor capacidad de soportar periodos de restricción alimenticia (Wu et al. 2002), el crecimiento compensatorio ha sido observado siempre y cuando se realiza correctamente y con un periodo adecuado de realimentación.
Para la tilapia del Nilo y sus híbridos cultivados bajo condiciones óptimas se han reportado valores de FC cercanos a 2.0 (Gupta et al. 2012, Leyton et al. 2015). El FC también puede ser implementado para evaluar el estado fisiológico de los peces bajo un estrés potencial (Cifuentes et al. 2012), como puede ocurrir en los juveniles de la tilapia del Nilo sometidos a restricciones alimenticias. En este trabajo, los valores de FC observados en los grupos expuestos a restricciones alimenticias mostraron valores cercanos a 2.0, en particular el grupo 1×1 con valores de 1.98 a 2.02 lo que sugiere que las restricciones alimenticias evaluadas no afectaron negativamente el FC, por lo que los regímenes establecidos se consideran adecuados para alcanzar el crecimiento compensatorio Estudios con periodos de restricción muy largos (de 80 días) han mostrado una ausencia del crecimiento compensatorio, a pesar de un periodo largo de realimentación (Peres et al. 2011, Bevitorio et al. 2015).
La supervivencia final mostró diferencias significativas entre el grupo 7×0 y los grupos expuestos a diferentes restricciones alimenticias, con el grupo 7×0 mostrando una supervivencia más baja, lo cual indica que las restricciones alimenticias empleadas no afectaron negativamente la tasa de supervivencia al no alcanzar un nivel subletal. Al respecto, Biswas et al. (2006) no encontraron diferencias significativas en la supervivencia de alevines del mrigal (Cirrhinus mrigala) y de rohu (Labeo rohita) sometidos a diferentes regímenes. Sobre lo mismo, para tilapia del Nilo, Afram et al. (2021) y Cadorin et al. (2021) no reportan diferencias significativas en la supervivencia final después de aplicar diferentes regímenes y frecuencias alimenticias. La supervivencia promedio en los grupos expuestos a la restricción alimenticia fue superior al 94% independientemente de la intensidad del régimen alimenticio utilizado. Resultados similares fueron reportados por Da Silva et al. (2020) en un estudio realizado en juveniles de tilapia del Nilo, utilizando cuatro regímenes alimenticios. En este caso se registró una supervivencia promedio mayor al 92%. De igual forma, una mayor supervivencia en los grupos expuestos a los regímenes alimenticios ha sido reportada previamente en la tilapia del Nilo por Bolivar et al. (2006) y Alemayehu y Getahun (2017). Sin embargo, en el presente experimento, existe la probabilidad que la menor supervivencia observada en el grupo 7×0, haya sido provocada por otras variables, ya que la mortalidad observada fue mayor en una sola de las réplicas evaluadas. Los resultados sugieren que el tiempo de restricción alimenticia empleado (36 días) no afectó de forma negativa la supervivencia final.
Análisis económico
Al realizar el comparativo de costos se observan diferencias, entre los diferentes regímenes alimenticios. Esto es relevante, debido a que desde el punto de vista económico la ganancia en peso de la producción total se ve compensada por un menor costo por unidad de producción (g). Lo anterior, concuerda con los resultados obtenidos en la función de producción, en donde el grupo 5×2 es el que presenta los mayores rendimientos crecientes. Desde el punto de vista de la producción total y tomando como referencia el tratamiento 7×0, se observa que el diferencial más bajo se presenta entre los tratamientos 7×0 y 6×1, seguido por 7×0 y 5×2. Estos resultados no coinciden con los reportados con Bolivar et al. (2006), los cuales utilizan un régimen de alimentación alternado en la tilapia del Nilo y reportan mejor relación costo-beneficio al final del experimento. Sin embargo, es importante señalar, que en su experimento emplearon juveniles mucho más pequeños (0.19 ± 0.03 g), así como agua verde, por lo que es probable que los juveniles se alimentaron de microalgas los días en los cuales no fueron alimentados con pellets comerciales. Mientras que en el presente experimento los juveniles fueron mantenidos en agua clara, al utilizarse un sistema de recirculación protegido de los rayos solares, lo cual no permitió el crecimiento de microalgas. La diferencia en costos que presentan los tratamientos 1×1 y 5×2 es la menor entre todos los regímenes, lo cual coincide con los resultados de costo-beneficio ya que la diferencia en el indicador es sólo de 0.16
Composición química
Diversos autores (Ali et al. 2003, Favero et al. 2018, Nebo et al. 2018, Elbialy et al. 2022) mencionan que la composición del músculo de la tilapia del Nilo puede verse alterada durante los periodos de restricción y realimentación, y que dichas alteraciones podrían ayudar a comprender mejor los mecanismos del crecimiento compensatorio (Ali et al. 2003). A este respecto, Shearer (1994) menciona que la humedad se relaciona inversamente con los lípidos, pero los resultados difieren con lo anterior y con lo observado porDa Silva et al. (2020) quienes probaron diferentes regímenes alimenticios y obtuvieron un incremento en el contenido de humedad acompañado de una disminución en contenido de lípidos, así como un aumento en el contenido de cenizas.
En este sentido, es claro que la privación de alimento tiene influencia en el contenido de humedad y carbohidratos, por lo tanto, podría influir en el contenido de proteínas, lípidos, y cenizas (Favero et al. 2018, Nebo et al. 2018, Gallardo-Collí et al. 2020), aunque es probable que se requiera de periodos más largos de restricción alimenticia para observar un efecto concluyente como los observados por Ali et al. (2016) quienes probaron diferentes regímenes alimenticios y privación de alimento por un período de 12 semanas y observaron una disminución lineal en el contenido de proteínas y lípidos, así como un aumento en el contenido de cenizas y humedad. Lo anterior, podría ser el resultado de una sustitución de los lípidos musculares por agua o incluso podría relacionarse con liberación de agua de los capilares debido a la hidrólisis proteica que acompaña la transformación del músculo en carne. Al respecto,Wang et al. (2000) reportan en un hibrido de tilapia (O. mossambicus x O. niloticus) que el contenido de humedad y ceniza fueron mayores, mientras que el contenido de lípidos y proteína fueron menores a medida que la duración de la privación alimenticia aumento. Resultados similares para el contenido de humedad, ceniza y lípidos han sido reportados por Afram et al. (2021) en la tilapia del Nilo cultivada bajo diferentes regímenes alimenticios en estanques con agua verde. El contenido de lípidos en el presente trabajo, aunque no mostró diferencias significativas, registró una tendencia hacia un menor contenido al aumentar la restricción alimenticia. De acuerdo con De silva et al. (1997) y Gao et al. (2015), un descenso en el contenido de lípidos puede ser indicativo de inanición (restricción alimenticia), ya que el pez al carecer de fuentes de energía utiliza los lípidos, que son componentes de reserva, como una fuente de energía con el objetivo de mantener sus funciones durante el periodo de restricción nutricional (Favero et al. 2018). Los contenidos de proteínas, lípidos y cenizas probablemente no se vieron afectados debido a que el periodo de privación de alimento fue corto (36 días). De acuerdo con lo mencionado por Tian y Qin (2004) el crecimiento compensatorio completo ocurre solo en peces que experimentan una restricción alimenticia moderada (del 50 al 80% de la alimentación óptima), por lo tanto, también podría implicar que periodos largos de restricción no solo influyen en los parámetros productivos sino también en la composición corporal de los peces.
Los resultados son consistentes con los de Teixeira et al. (2016) en la tilapia del Nilo, los cuales evaluaron cinco regímenes de alimentación y no observaron diferencias significativas en el contenido de proteína y lípidos. Lo anterior podría explicar las diferencias observadas en cuanto al contenido de carbohidratos. El grupo 1×1 fue el que presentó un mayor contenido en comparación con el resto de los grupos analizados, ya que posiblemente una mayor restricción alimenticia afecta el metabolismo, haciendo que el pez tenga una menor actividad con el objetivo de almacenar una mayor cantidad de energía en forma de glucógeno en el músculo, lo cual incrementó los valores de carbohidratos en el análisis químico.
Conclusiones
La tilapia del Nilo mostró un crecimiento compensatorio total en peso húmedo y longitud total, así como una composición química sin alteraciones en los tratamientos 6×1 y 5×2, mientras que en el grupo 1×1 el crecimiento compensatorio fue solo parcial y el contenido de humedad fue significativamente menor en comparación con el régimen 7×0, mientras que el contenido de carbohidratos mostró un valor significativamente mayor con respecto a los valores observados en el resto de los regímenes evaluados. En ambos casos, la supervivencia no se vio afectada, lo cual indica que la tilapia del Nilo es capaz de soportar periodos de restricción más largos. Económicamente, los mayores rendimientos crecientes se observaron en el grupo 5×2; mientras que el grupo que minimiza los costos variables totales considerados en el estudio (alimento y mano de obra) fue el grupo 1×1 seguido por el grupo 5×2 con una diferencia en el indicador de sólo 0.16. Los resultados indican que es posible para los productores del embalse de la Presa Miguel Alemán alimentar durante cinco o seis días y alcanzar un crecimiento y calidad del filete similar a la observada en grupos alimentados todos los días, además de reducir los costos en alimento y mano de obra.










nueva página del texto (beta)



