INTRODUCCIÓN
En el estado de Quintana Roo hay 5 084 300 ha de superficie total, de las cuales el 93.1% se consideran forestales y el 9.5% cuentan con manejo forestal permanente (SEMARNAT 2013). De la superficie bajo manejo, se obtienen alrededor de 51 947 m3 de madera en rollo (m3 r) divididos en dos grupos de especies; preciosas con 4 807 m3 r, en donde se encuentra la caoba (Swietenia macrophylla King), y comunes tropicales con 47 139 m3r, donde se ubica el chacteviga (Caesalpinia platyloba S. Watson) (SEMARNAT 2017). En las áreas con manejo forestal u otras áreas con presencia de estas especies, las cortas clandestinas con fines de uso doméstico o comercial son comunes, por lo que, para la cuantificación del clandestinaje, arbolado muerto por incendios, desastres naturales como huracanes o revisiones en áreas bajo manejo, es necesario conocer el diámetro normal (d), altura (h) o el volumen (v), para caracterizar la estructura del arbolado original y estimar los volúmenes extraídos (López et al. 2003, Pompa-García et al. 2011). Lo anterior, se logra con el empleo de modelos alométricos que estiman el d y h en función del diámetro del tocón (dt) y una tarifa de volumen que dependa del d, dt o d y h (Diéguez et al. 2003).
Un modelo es la representación abstracta de algún aspecto de la realidad (Regalado 2008). En la ciencia forestal y en general en el área ecológica, el ajuste y aplicación de modelos que predicen variables de árboles individuales son utilizados cada vez más, ya que pueden reconstruir las relaciones funcionales, dinámica de crecimiento o rendimiento por medio de cualquier otra variable de un mismo individuo (Hernández-Ramos 2019). Las proporciones entre el d o dt con la h o altura de fuste limpio (hfl), diámetro de copa (dc), v y biomasa (b), obedecen a una regla de proporcionalidad que es la misma para todos los árboles que viven en condiciones iguales (Archibald y Bond 2003, Bohlman y O’Brien 2006). Esto es un principio alométrico que permite predecir una medida de un árbol difícil de medir en función de otra de fácil medición, Por lo que, es una expresión que formaliza de forma cuantitativa dicha relación (Gayon 2000).
Para chacteviga, no se conocen estudios cuantitativos relacionados con la generación de modelos para describir la proporción entre las variables de un individuo, aun cuando la especie tiene importancia dentro del manejo forestal, aplicación de la normatividad y conservación del ecosistema tropical, en donde, para la especie solo se reporta el trabajo realizado por García-Cuevas et al. (2017), sobre la predicción del d, h y v a partir del dt de ocho especies tropicales de Quintana Roo, México. Debido a ello y que la información generada contribuirá a la planeación, administración y toma de decisiones de los bosques tropicales del estado de Quintana Roo, en la cuantificación de variables forestales de interés comercial de chacteviga para la elaboración de programas de manejo con mayor confiabilidad, el objetivo de la investigación fue ajustar relaciones alométricas para predecir variables de interés comercial como el d, h, dc y v en función del dt y d de chacteviga en el centro y sur de Quintana Roo, México.
MATERIALES Y MÉTODOS
El área de estudio se ubica en el centro y sur del estado de Quintana Roo, en los ejidos de Bacalar, Caobas, Chacchoben, Laguna Om, Noh-bec, Nuevo Plan de la Noria, Petcacab y 18 de Marzo (Figura 1), localizados en los municipios de Bacalar, Felipe Carrillo Puerto y Othón P. Blanco, en selvas medianas subperennifolias y medianas subcaducifolia (Peninngton y Sarukhán 2016). De acuerdo con la clasificación de Köppen, modificada por García (2004), el área se ubica dentro del clima cálido subhúmedo con temperatura media anual de 26 oC de clave Aw (x’)i (INEGI 2016) con precipitación media de 1 300 mm (SEMARNAT-CONAFOR 2014). En general, el terreno es plano con lomeríos y donde predominan los suelos de tipo Luvisol, Rendzina y Leptosol (IUSS 2007) o Ya’ax hoom, Pus-lum y T’zekel, según la terminología maya (INEGI 2016), la región cuenta con una altitud promedio de 10 m (Bautista et al. 2012).

Figura 1 Localización del área de estudio donde se levanto la información dasometrica de Caesalpinia platyloba S. Watson (chacteviga) en Quintana Roo, México.
En 2016, se recolectó una muestra de 316 árboles de chacteviga, en los árboles en pie la medición se realizó en diámetros y alturas a diferentes secciones sobre el fuste (dm y hm) de forma indirecta con un dendrómetro RD1000® , en tanto que, para el dt, d y diámetros (dm) a las alturas sobre el fuste de 0.3 m, 0.60 m, 0.90 m, 1.3 m y 2.5 m, se realizó con una cinta diamétrica para cuantificar las dimensiones de cada árbol. La selección de los árboles se realizó por categoría diamétrica, con la finalidad de representar un intervalo amplio de diámetros normales y alturas totales. Como subproductos para la elaboración de leña y para estimar el volumen total árbol, se midieron las ramas con diámetro de la base mayor de 5 cm y a partir de ahí, secciones de 2.5 m de longitud hasta la punta. El volumen de cada sección, se calculó con la fórmula de Smalian y la punta se cubicó como un cono, el volumen de fuste limpio (vfl) se determinó al considerar la suma de todas las secciones del árbol hasta la altura de la primera rama viva, el volumen de fuste total (vft) del árbol como la suma de todas las secciones del árbol hasta el ápice (García-Cuevas et al. 2017) y el volumen total árbol (vta) se obtuvo al agregar al vft la sumatoria del volumen las ramas registradas, como se indica a continuación:
Dónde: Vtrozas = Volumen de las trozas (m3), VPunta = Volumen de la punta (m3), go = Área basal del diámetro mayor de la troza (m2), g1 = Área basal del diámetro menor de la troza (m2), gn = Área basal del diámetro de la punta (m2) y l = Longitud de la troza (m). Posterior a ello, se realizó un análisis gráfico mediante un diagrama de dispersión para identificar y excluir los datos atípicos que se ubican fuera de la tendencia general de la información, los cuales podrían ser un error de medición, registro o un árbol con características distintas a la población evaluada.
En el análisis de datos, se probaron modelos lineales y no lineales (Tabla 1) usados en estudios de biometría forestal que han demostrado resultados adecuados para predecir variables de interés forestal como lo son el d, h o v (Prodan et al. 1997, Pompa-García et al. 2011, Quiñonez et al. 2012, García-Cuevas et al. 2016, García-Cuevas et al. 2017). Se utilizó el método de Máxima Verosimilitud con información completa (fiml) para generar los valores de los estimadores y que estos fueran consistentes, invariantes e insesgados, por lo que tienen la probabilidad más alta de ser cercanos a las cantidades que estimamos (Van-Trees 2002), mediante el procedimiento Model del paquete SAS 9.3® (SAS 2015).
Tabla 1 Modelos predictivos del diámetro normal (dn), diámetro de copa (dc), altura total (h) y volumen del fuste (v) en función del diámetro del tocón (dt) y diámetro normal (d) para Caesalpinia platyloba S. Watson (chacteviga).
| Relación | Identificador | Tipo | Modelo |
| 1 | Lineal | d = β0 + β1dt | |
| d-dt | 2 | Cuadrático | d = β0 + β1dt2 |
| 3 | Potencial modificado | d = β0dt. (1.3/ht) .β1 | |
| 4 | Polinómico de segundo orden | d = β0 + β1dt + β2dt2 | |
| 5 | Schumacher no lineal | h = β0e−β1/dt | |
| h-dt | 6 | Schumacher modificado | h = 1.3 + β0e−β1/dt |
| 7 | Alométrico o potencial con intercepto | h = β0 + β1dtβ2) | |
| dc-dt | 8 | Alométrico o potencial | dc = β0dtβ1 |
| 9 | Schumacher no lineal | v = β0e−β1/dt | |
| v-dt | 10 | Alométrico o potencial | v = β0dtβ1 |
| 11 | Exponencial | v = β0eβ1/dt | |
| 12 | Alométrico o potencial | v = β0dβ1 | |
| v-d | 13 | Cuadrático | v = β0 + β1d2 |
| 14 | Polinómico de segundo orden | d = β0 + β1d + β2 d2 | |
| 15 | Schumacher | v = β0e−β1/d |
Dónde: d: diámetro normal (cm), dt: diámetro del tocón, dc: diámetro de copa, ht: altura del tocón, h: altura total (m), v: volumen total (m3), y b’s: parámetros a estimar, e: base de los logaritmos neperianos.
Las ecuaciones se seleccionaron con base en los criterios de bondad de ajuste de la raíz del cuadrado medio del error (RCME), nivel de probabilidad en contra de la hipótesis nula de los estimadores (Pr > |t|) y el coeficiente de determinación ajustado por el número de parámetros (
En el caso del volumen, a medida que incrementa el d del árbol, también incrementa el v y la varianza de los residuales, por lo que, para corregir la heterocedasticidad fue incluido en los modelos una función potencial que pondera la varianza de los residuales (Álvarez-González et al. 2007):
El error de predicción de los modelos, se verificó mediante el Sesgo promedio por estimación (Ē) y la diferencia Agregada en porcentaje (DA%) para la muestra (Dieguez-Aranda et al. 2003, Barrio et al. 2004, Trincado y Leal 2006). Para la validación, se usaron datos de 315 arboles tomados de inventarios forestales de tres ejidos y se compararon los promedios de los datos estimados y los predichos como dos poblaciones independientes, usando los métodos de Pooled y Satterthwaite que se basan en la verificación de variaciones de muestra, probando la hipótesis Ho: 𝜇x ≠ 𝜇y, donde 𝜇x es el promedio de los datos de estimados y 𝜇y es el promedio de los datos predichos con las ecuaciones ajustadas para cada variable estudiada, en donde un valor Pr > t más pequeño proporciona una evidencia más fuerte en contra de la hipótesis nula (SAS 2015).
RESULTADOS
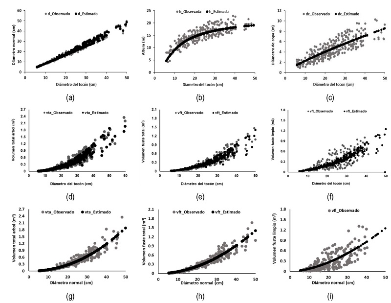
En la Figura 2, se observan las tendencias de tipo lineal de la relación entre d y dc con el dt, cóncava para la h con el dt, y de tipo exponencial de los volúmenes en función del d y dt, donde se incluyeron las variables d, h, v, dc, vfl, vft y vta en función de dt, y vfl y vta en función de d.

Figura 2 Dispersión de datos observados en función de dt para el d (a), h (b), dc (c), vfl (d), vft (e), vta (f), y en función del d para vfl (g), vft (h) y vta (i) para Caesalpinia platyloba S. Watson (chacteviga).
La estimación de los parámetros en los mejores modelos, así como los criterios de bondad de ajuste se muestran en el Tabla 2. De los modelos probados, los mejores ajustes se obtuvieron con el modelo 3 para predecir el d, en el caso de la h fue el de tipo Schumacher y para el dc el modelo potencial. Con base en el nivel de probabilidad en contra de la hipótesis nula de los estimadores (a = < 0.0001), en todos los casos se observa que los modelos son confiables, además, de que se minimiza la raíz del cuadrado medio del error, y se puede inferir que las ecuaciones predicen en forma insesgada las variables de estudio en función del dt (Tabla 2). Otro criterio para comprobar la bondad de ajuste de los modelos es el valor del
Tabla 2 Resumen del análisis de varianza de los modelos de mejor ajuste para predecir diámetro normal (dn), diámetro de copa (dc), altura total (h) y volumen del fuste (v) en función del diámetro del tocón (dt) y diámetro normal (d) en función del diámetro del tocón (dt) y diámetro normal (d) para Caesalpinia platyloba S. Watson (chacteviga).
| Función | Modelo | Parámetro | Estimador | Pr > |t| | RCME |
|
| d-dt | Potencial modificado | β1 | 0.97690 | < 0.0001 | 0.987 | 0.99 |
| β2 | -0.10080 | < 0.0001 | ||||
| h-dt | Schumacher modificado | β1 | 21.69316 | < 0.0001 | 1.820 | 0.71 |
| β2 | -9.15098 | < 0.0001 | ||||
| dc-dt | β1 | 0.343191 | < 0.0001 | 1.105 | 0.69 | |
| β2 | 0.822983 | < 0.0001 | ||||
| vfl-dt | β1 | 0.00114 | 0.0231 | 0.191 | 0.50 | |
| β2 | 1.745548 | < 0.0001 | ||||
| vft-dt | β1 | 0.000417 | < 0.0001 | 0.096 | 0.89 | |
| β2 | 2.036367 | < 0.0001 | ||||
| vta-dt | Potencial modificado | β1 | 0.000178 | < 0.0001 | 0.088 | 0.90 |
| β2 | 2.346894 | < 0.0001 | ||||
| vfl-d | β1 | 0.000415 | 0.0177 | 0.0847 | 0.90 | |
| β2 | 2.063917 | < 0.0001 | ||||
| vft-d | β1 | 0.000708 | < 0.0001 | 0.091 | 0.91 | |
| β2 | 1.942492 | < 0.0001 | ||||
| vta-d | β1 | 0.000493 | < 0.0001 | 0.121 | 0.90 | |
| β2 | 2.110259 | < 0.0001 |
Pr>|t|: probabilidad de t, RCME: raíz del cuadrado medio del error,
Los mejores modelos obtenidos fueron:
De acuerdo con la prueba de SW (Tabla 3) en los tres casos el valor es cercano a 1 (0.97, 0.96 y 0.95), por lo cual, se puede asumir normalidad de los datos. La prueba de Breusch Pagan indica homocedasticidad de varianzas (Tabla 3 y Figura 3a, 3b y 3c), pero a su vez, el test de DW indica autocorrelación entre el d, h y dc con el dt, aunque no se trata de variables que provienen de remediciones, información longitudinal o de una misma unidad experimental.
Tabla 3 Estadísticos de evaluación de la capacidad predictiva de los modelos de mejor ajuste para predecir diámetro normal (dn), diámetro de copa (dc), altura total (h) y volumen del fuste (v) en función del diámetro del tocón (dt) y diámetro normal (d) en función del diámetro del tocón (dt) y diámetro normal (d) para Caesalpinia platyloba S. Watson (chacteviga).
| Función | Modelo | Normalidad | Heterocedasticidad | Autoc | Ē | DA% | ||
| SW | Prob | BP | Pr > ChiSq | DW | ||||
| d-dt | Potencial modificado | 0.97 | < 0.0001 | 136.9 | < 0.0001 | 1.1904 | 0.064 | 0.29 |
| h-dt | Schumacher modificado | 0.96 | < 0.0001 | 229.4 | < 0.0001 | 0.8191 | 0.474 | 3.12 |
| dc-dt | 0.95 | < 0.0001 | 45.91 | < 0.0001 | 1.2833 | -0.004 | 0.09 | |
| vfl-dt | 0.96 | < 0.0001 | 37.85 | < 0.0001 | 2.3243 | 0.000 | 1.36 | |
| vft-dt | Potencial | 0.89 | < 0.0001 | 178.2 | < 0.0001 | 1.7670 | -0.010 | 3.27 |
| vta-dt | modificado | 0.89 | < 0.0001 | 106.5 | < 0.0001 | 1.8868 | -0.002 | 0.62 |
| vfl-d | 0.88 | < 0.0001 | 115.6 | < 0.0001 | 2.0020 | -0.002 | 0.88 | |
| vft-d | 0.90 | < 0.0001 | 113.1 | < 0.0001 | 2.0943 | -0.012 | 1.70 | |
| vta-d | 0.92 | < 0.0001 | 107.5 | < 0.0001 | 2.0164 | -0.014 | 3.76 | |
SW: Shapiro Wilk; Prob: probabilidad; BP: Breusch-Pagan; Autoc: autocorrelación; DW: Durbin Watson; Ē : sesgo; DA%: diferencia agregada;
La desviación promedio de los valores predichos por el modelo respecto a los valores observados (Ē ) es baja, ya que para árboles individuales se tiene una subestimación de 0.064 cm en d, 0.474 m en h y una sobrestimación de -0.004 m en dc al tomar de referencia el dt, y se observa una DA de 0.29, 3.12 y 0.09% para d, h y dc, respectivamente (Tabla 3). Estos valores concuerdan con las Figuras 2a, 2b y 2c, donde se observa que la línea de los valores predichos se ajusta a los datos observados.
En los tres casos, los mejores modelos son de tipo potencial, el valor de los parametros es significativo al 99% de confiabilidad (α = < 0.01), se minimiza el valor de la RCME y explican el 90.0, 89.6 y 50.9% para las variables vta, vft y vfl, respectivamente en función del dt (Tabla 2). Los modelos adoptan la formas siguientes:
También la prueba de SW, indica que la distribución de residuales es normal para vta, vft y vfl (SW = 0.92, 0.90 y 0.97); además, en los análisis de la pruena de Breusch Pagan y el gráfico de los residuales indiquen homogeneidad de varianzas una vez corregidos (Tabla 3). En las Figuras 4a, 4b y 4c, se observan los residuales sin corregir y en las Figuras 4d, 4e y 4f se identifican los residuales corregidos, los cuales tienen una escala menor y se apegan mas alrededor de cero. Por su parte, los valores del indicador de Durbin Watson indican que no hay autocorrelación de los errores.

Figura 4 Dispersión de residuales sin corregir vfl (a), vft (b), vta (c) y corregidos vfl (c), vft (d), vta (f) en función de dt para chacteviga.
La medida de desviación en las estimaciones muestra un Ē bajo y a nivel de árboles individuales subestima 0.00082 m3 para vta y sobreestima en -0.01063 y -0.00212 m3 en el vft y vfl, respectivamente, mientras que, la desviación agregada para la muestra es de 0.62, 3.27 y 1.36% para las variables de estudio (Tabla 3). En las figuras 2d, 2e y 2f, se observa la fidelidad de las predicciones a los datos observados. Lo que indica que estos modelos son válidos para predecir las variables analizadas en función del dt con un alto grado de confiabilidad.
El modelo potencial fue mejor para predecir las variables de estudio en función del d, ya que, muestra todos sus parametros significativos al 99% de confiabilidad (α = < 0.01), minimiza el valor de la RCME y explica la variabilidad de la información utilizada con 89.8, 90.6 y 90.2% al estimar vta, vft y vfl en función del d para chacteviga en Quintana Roo, México. Además, no se observaron violaciones en los supuestos de regresión de normalidad con la prueba de Shapiro Wilk, con valores de 0.89, 0.89 y 0.88, para vta, vft y vfl, respectivamente. La prueba de Breusch Pagan y los gráficos para verificar la heterocedastisidad de los residuales corregidos no indican problemas de heterocedasticidad (Tabla 3), ya que las Figura 5a, 5b y 5c en donde se observan los residules sin corregir, con respecto a la distribución de los residuales corregidos por la variable de ponderación (Figuras 5d, 5e y 5f), se observan a una mayor escala y amplitud con respecto a cero. Los modelos por variable se presentan a continuación:

Figura 5 Dispersión de residuales sin corregir vfl (a), vft (b) y vta (c) y corregidos para vfl (d), vft (e) y vta (f) en función del d para chacteviga.
En la Tabla 3, se presentan las medidas de desviación de las estimaciones, donde el sesgo indica que existe una sobreestimación del modelo de forma individual en el vta, vft y vfl de -0.00204 m3, -0.001286 m3 y -0.00204 m3, respectivamente, y una DA de 3.76, 1.70 y 0.88% para la muestra (Tabla 3). Esta situación se ratifica en las figuras 2g, 2h y 2i, donde se observa que los valores predichos se ajustan a los datos observados.
En la Tabla 4, se observan los resultados de las pruebas de t de la comparación de los promedios de los datos estimados y los predichos. De acuerdo a los resultados, en todos los casos los promedios no son diferentes entre si, por lo que las ecuaciones son validas para realizar las predicciones de las variables de estudio.
Tabla 4 Estadísticos de validación para los modelos de mejor ajuste para predecir diámetro normal (dn), diámetro de copa (dc), altura total (h) y volumen del fuste (v) en función del diámetro del tocón (dt) y diámetro normal (d) en función del diámetro del tocón (dt) y diámetro normal (d) para Caesalpinia platyloba S. Watson (chacteviga).
| Límites de confianza | |||||||||
| Variable | Media | LI | LS | Error Stdr | Método | Varianzas | GL | Valor t | Pr > |t| |
| d-dt | 25.60 | 24.04 | 27.16 | 0.7936 | Pooled | Equal | 628 | 3.49 | 0.0005 |
| d-dt | 21.99 | 20.68 | 23.29 | 0.663 | Satterthwaite | Unequal | 609 | 3.49 | 0.0005 |
| h-dt | 11.93 | 11.59 | 12.28 | 0.176 | Pooled | Equal | 628 | -6.25 | < 0.0001 |
| h-dt | 13.64 | 13.23 | 14.04 | 0.207 | Satterthwaite | Unequal | 612 | -6.25 | < 0.0001 |
| vfl-dt | 0.445 | 0.397 | 0.494 | 0.024 | Pooled | Equal | 628 | 4.14 | < 0.0001 |
| vfl-dt | 0.321 | 0.287 | 0.355 | 0.017 | Satterthwaite | Unequal | 565 | 4.14 | < 0.0001 |
| vfl-dt | 0.468 | 0.412 | 0.52 | 0.028 | Pooled | Equal | 628 | 1.95 | 0.0515 |
| vfl-dt | 0.401 | 0.363 | 0.43 | 0.019 | Satterthwaite | Unequal | 547 | 1.95 | 0.0515 |
| vft-d | 0.674 | 0.593 | 0.75 | 0.040 | Pooled | Equal | 628 | 3.78 | 0.0002 |
| vft-d | 0.491 | 0.440 | 0.542 | 0.025 | Satterthwaite | Unequal | 531 | 3.78 | 0.0002 |
| vft-dt | 0.6744 | 0.5939 | 0.755 | 0.0409 | Pooled | Equal | 628 | 5.54 | < 0.0001 |
| vft-dt | 0.4165 | 0.3727 | 0.4602 | 0.0222 | Satterthwaite | Unequal | 484 | 5.54 | < 0.0001 |
| vta-d | 0.8094 | 0.7128 | 0.9061 | 0.0491 | Pooled | Equal | 628 | 3.04 | 0.0025 |
| vta-d | 0.6261 | 0.5573 | 0.6949 | 0.035 | Satterthwaite | Unequal | 567 | 3.04 | 0.0025 |
| vta-dt | 0.8094 | 0.7128 | 0.9061 | 0.0491 | Pooled | Equal | 628 | 4.44 | < 0.0001 |
| vta-dt | 0.5484 | 0.4849 | 0.612 | 0.0323 | Satterthwaite | Unequal | 543 | 4.44 | < 0.0001 |
LI: límite inferior; LS: límite superior; Std: estándar; GL: grados de libertad; t: t se Student; Pr > |t|: nivel de probabilidad en contra de la hipótesis nula.
DISCUSIÓN
Con las ecuaciones obtenidas fue posible predecir con cierto nivel de confiabilidad las variables dasométricas de Caesalpinia platyloba S. Watson (chacteviga) dentro de un rango de categorías diamétricas de 5 a 50 cm y alturas de 5 a 25 m, aun cuando las relaciones alométricas de d, h y dc en función del dt presentaron valores en la prueba de DW alrededor de 1, lo cual se puede interpretar como producto de la presencia de autocorrelación entre variables ajustadas producto de la inferencia de factores externos que no se controlan en este tipo de estudios, las cuales son determinantes para obtener varoles infereriores a 1.5 en este estadístico, además de que existen una zona de indefinición de la presencia de autocorrelación para valores en este estadístico cercanos a la unidad para este tipo de información (Fuentes et al. 2001a y 2001b).
Los resultados del modelo potencial fueron mejores para estimar el d y dc en función del dt, lo cual coincide con lo reportado por Pompa-García et al. (2011) al proponer el modelo potencial para la estimación del d a partir de la inclusión de las dimensiones del tocón en Pinus durangensis Ehren. en el estado de Durango, misma expresión utilizada por García-Cuevas et al. (2016) para Abies religiosa (Kunt) Schltdl. et. Cham. en Michoacán y por García-Cuevas et al. (2017) para ocho especies tropicales de Quintana Roo, en donde para todos los casos se explico más del 92% de la variabilidad de la información utilizada. De acuerdo a los descrito por Pompa-García et al. (2011) al derivar y explicar este modelo y con base en los valores obtenidos en los parametros podemos observar que el d y dc incrementan en 0.98 y 34.32 cm por cada centímetro registrado en el dt. Mientras que, el modelo de Schumacher modificado que incluye una interceptada de 1.3, la que significa que la h será igual a 1.3 m cuando el d sea igual a cero y un parámetro asintótico o altura máxima posible representado por el primer parámetro (Hernández-Ramos et al. 2019), fue el mejor para predecir la h en función del dt. Lo que concuerda con los resultados que reporta García-Cuevas et al. (2017) al ajustar modelos que predicen el d, h y v función del dt para ocho especies tropicales y por Hernández-Ramos et al. (2019) al modelar la h en función del d para Bucida buceras L., ambos en Quintana Roo, México con sesgos menores a 0.50 m en cada estimación.
En las ecuaciones para la predicción de h y dc, se obtuvieron ajustes más bajos en comparación con los valores obtenidos para otras variables. Pero los resultados son similares a los obtenidos por Quiñonez et al. (2012), quienes reportan coeficientes de determinación con valores de entre 0.44 a 0.77 al ajustar un modelo de tipo lineal para especies de los generos Pinus y Quercus. Mientras que, Diéguez et al. (2003) señalan que existen limitaciones para ajustar este tipo de modelos alometricos para las mismas variables en Pinus pinaster Aiton., Pinus radiata D. Don y Pinus sylvestris L. en Galicia, España. De igual manera, el valor del coeficiente de determinación que se reporta en el modelo propuesto para estimar el dc en función del d de Casuarina equisetifolia L. por Benítez-Naranjo et al. (2003), quienes reportan que la expresión explica el 85% de la variación de los datos. Lo que indica que, específicamente para estas variables, es difícil ajustar un modelo con el que se obtengan resultados satisfactorios.
Para el volumen, se observó que a medida que incremetaba el d de los árboles, también incrementa el v y la varianza de los residuales, por lo que se tuvo que aplicar una ponderación de la varianza de los residuales de acuerdo al método propuesto por Harvey (1976), como lo hicieron Álvarez-González et al. (2007), Crecente et al. (2010) y Santiago-García et al. (2020). De esta forma, se pudo corregir la heterocedasticidad en los modelos, la cual se evaluo con la prueba de Breusch-Pagan (Breusch y Pagan 1979, Stankova y Dieguez-Aranda et al. 2013). Además, la comparación grafica de la distribución de los residuos con y sin corrección, indica que los residuos disminuyeron su valor y se distribuyen mejor alrededor de cero, situación que concuerda con lo reportado al emplear este mismo procedimienot por Hernández-Ramos et al. (2017) al ajustar modelos alométricos basados en las dimensiones del d y h para estimar la biomasa aérea en Eucalyptus urophylla S. T. Blake.
Los valores obtenidos en el coeficiente de determinación ajustado para las ecuaciones de volúmenes estimados en función del dt y d, cumplen con lo expresado por Gujarati y Porter (2010), quien planteó que en este tipo de estudios un modelo es satisfactorio cuando el valor del coeficiente es de aproximadamente 0.80 o lo propuesto por Alder (1980) quien menciona que una ecuación aceptable tiende a presentar valores mayores de 0.70. Por lo que los resultados concuerdan con lo reporta por Benítez-Naranjo et al. (2003) quienes utilizan este tipo de expresiones en plantaciones forestales con coeficientes alrededor de 0.90, y con Ramírez et al. (2016) quienes obtuvieron un valor de ajuste superior a 0.97 en Pinus ayacahuite Ehrenb. ex Schltdl. En bosques bajo manejo.
De forma general, las desviaciones promedio obtenidas a nivel de árbol son menores que las reportados por García-Cuevas et al. (2017), quienes al utilizar los mismos modelos para ocho especies que crecen en condiciones semejantes a donde se desarrolla la especie estudiada, obtuvieron valores en la RCME superiores en el ajuste de las relaciones alométricas entre de d-dt, h-dt y v-dt, de 2.10 cm, 2.18 m y 0.16 m3, respectivamente. Mientras que, García-Cuevas et al. (2016) para Abies religiosa reportan un sesgo de 1.1 cm al estimar el d en función del dt; pero son superiores a los valores del sesgo promedio por estimación reportados por Quiñonez et al. (2012) para -dt, h-dt y v-dt en cinco especies del género Pinus.
CONCLUSIONES
El modelo de alométrico modificado permitió predecir la relacion funcional entre el diámetro normal a partir del diámetro del tocón y la altura del tocón, el mejor modelo para predecir la altura total fue el de Schumacher modificado con un intercepto. Mientras que la predicción del diámetro de copa y volumen de los árboles tuvo los mejores resultados con el modelo alométrico para Caesalpinia platyloba S. Watson (chacteviga) en el estado de Quintana Roo, México. Las ecuaciones pueden ser usadas para la cuantificación y evaluación de recursos en áreas donde se han realizado cortas clandestinas, incendios forestales o zonas afectadas por huracanes, además pueden ser empleadas como apoyo en los inventarios y en la elaboración de planes de manejo forestal.










nueva página del texto (beta)




