SciELO - Scientific Electronic Library Online

 
vol.8 número22Entre la colaboración y el anclaje: Unidad IIMAS-UNAM en MéridaConstrucción narrativa de la masculinidad criminal violenta en el México actual índice de autoresíndice de materiabúsqueda de artículos
Home Pagelista alfabética de revistas  

Servicios Personalizados

Revista

Articulo

Indicadores

Links relacionados

  • No hay artículos similaresSimilares en SciELO

Compartir


Entreciencias: diálogos en la sociedad del conocimiento

versión On-line ISSN 2007-8064

Entreciencias: diálogos soc. conoc. vol.8 no.22 León ene./dic. 2020  Epub 15-Mar-2021

https://doi.org/10.22201/enesl.20078064e.2020.22.76859 

Ciencias Sociales, Humanidades y Artes

Analysis of inequality via social stratification

Análisis de la desigualdad a través de la estratificación social

Luz Judith Rodríguez Esparzaa 
http://orcid.org/0000-0003-2241-1102

Octavio Martín Maza Díaz Cortésb⋆⋆ 
http://orcid.org/0000-0002-3991-7751

Julio César Macías Poncec⋆⋆ 
http://orcid.org/0000-0001-5141-7074

Dolly Anabel Ortiz Lazcanod⋆⋆ 
http://orcid.org/0000-0003-3452-3291

Cátedra Conacyt - Universidad Autónoma de Aguascalientes

⋆⋆Universidad Autónoma de Aguascalientes


Abstract

Purpose:

To analyze the contribution that social stratification provides to inequality using the Gini index as an input.

Methodology:

The compatible differences tool was used to calculate the percentage of income provided by social strata using the Gini index; to verify the efficiency of the proposed methodology, real data from different countries were considered.

Results:

Since compositional data were obtained as results, it was possible to estimate and predict the proportion of the contributions of the strata to inequality, evidencing the importance of social stratification in the classes.

Limitations:

The measurement of inequality to construct the Gini index has different methodologies worldwide, which represented a difficulty in making comparisons.

Findings:

The methodology that we developed in this article allowed us to know the weight that different social strata contributes to inequality; this is especially important since it can be a tool that helps decision-makers to take more effective measures to counteract inequality.

Keywords: Social stratification; Gini index; Compatible differences; Compositional data; redistributive public policy

Resumen

Objetivo:

analizar la contribución que provee la estratificación social a la desigualdad utilizando el índice de Gini como insumo.

Método:

se utilizó la herramienta de diferencias compatibles para calcular el porcentaje del ingreso proporcionado por estratos sociales utilizando el índice de Gini; para verificar la eficiencia de la metodología propuesta, se consideraron datos reales de diferentes países.

Resultados:

dado que se obtuvieron como resultados datos composicionales, se logró estimar y predecir la proporción de las contribuciones de los estratos a la desigualdad, evidenciando la importancia de la estratificación social en las clases.

Limitaciones:

la medición de la desigualdad para construir el índice de Gini tiene diferentes metodologías a nivel mundial, lo que representó una dificultad para realizar comparaciones.

Principales hallazgos:

con la metodología desarrollada en este artículo, se pudo cuantificar el peso que tienen diferentes estratos sociales en la desigualdad, esto es especialmente importante ya que puede ser una herramienta que ayude a los responsables de la toma de decisiones a tomar medidas más eficaces para contrarrestar la desigualdad.

Palabras clave: estratificación social; Índice de Gini; diferencias compatibles; datos composicionales; política redistributiva

Introduction

Inequality is defined as a social or economic disparity. Social inequality is the existence of unequal opportunities and rewards for different social positions within a society that encopasses several important dimensions: income, wealth, power, occupational prestige, schooling, ancestry, race, and ethnicity, among others. On the one hand, income is defined as the earnings derived from work or through investment activities, while wealth represents the total value of money and other assets owned. So, economic inequality is the unequal distribution of income and opportunities among different groups of individuals in a society. The fact that people are trapped in poverty with little or no chance to climb up the social ladder is a concern in almost all countries around the world. According with the Institute of Labor Economics (IZA) education, at all levels, enhancing skills, and training policies can be used alongside social assistance programs to help people get out of poverty and to reduce inequality. Several countries are also now exploring the idea of whether a universal basic income could be the answer (IZA, 2020, para. 1).

“Income is defined as household disposable income in a particular year. It consists of earnings, self-employment and capital income and public cash transfers; income taxes and social security contributions paid by households are deducted. The income of the household is attributed to each of its members, with an adjustment to reflect differences in needs for households of different sizes” (Organization for Economic Cooperation and Development [OECD], 2020, para. 1). Moreover, it also “includes the revenue streams from wages, salaries, interest on a savings account, dividends from shares of stock, rent, and profits from selling something for more than you paid for it. Unlike wealth statistics, income figures do not include the value of homes, stock, or other possessions” (Inequality ORG, s.f., para. 1).

According to OECD (2020, para. 1), there are five indicators to measure the income inequality among individuals: the Gini coefficient, which is based on the comparison of cumulative proportions by the population against cumulative proportions of income they receive; S80/S20 which is the ratio of the average income of the 20% richest to the 20% poorest; P90/P10 is the ratio of the upper bound value of the ninth decile (i.e. the 10% of people with the highest income) to that of the first decile; P90/P50 the upper bound value of the ninth decile to the median income; and P50/P10 of median income to the upper bound value of the first decile. The Palma ratio is the share of all income received by the 10% of people with the highest disposable income divided by the share of all income received by the 40% of people with the lowest disposable income.

The Gini index or Gini coefficient is a statistical measure of distribution and it is one of the most widely used indicators of social and economic inequality. The coefficient ranges from 0 to 1, with 0 representing perfect equality (Gini, 1914) (mathematically, this index is different from zero but tends to zero when the population increases and only one raises the wealth) and 1 is the representation of perfect inequality -when everyone has the same-. Values over 1 are not practically possible. The Gini index is often represented graphically through the Lorenz (1905) curve (see Figure 1), which shows the income distribution by plotting the population percentile by income on the horizontal axis and cumulative income on the vertical axis.

Source: Adapted from Lorenz, 1905, p. 208.

Figure 1. Lorenz curve 

Let L:0,10,1 be the wealth distribution function; that is, Lx measures the proportion of wealth accumulated by percent x of the population. Graphically, the Gini index is calculated as the ratio of two areas. If A is the cumulative area between the Lorenz curve and the diagonal of the unit square (the graph of the function fx=x ) and B is the area below the Lorenz curve, then the Gini index is calculated as AA+B .

Sen (1973) defined the Gini index as a function G given by

Gt=1nn+1-2i=1n(n+1-i)ti*i=1nti*

where t is the wealth vector, t* is t permuted with ti*ti+1* , and n is the size of the population.

Notice that for this discrete version 0G(t)nn+1 ; however, the Gini index has a limitation in measuring inequality, it is sensitive to how the population is stratified.

Society is stratified into social classes based on wealth, income, educational attainment, and occupation. A social class refers to “a group of individuals who occupy a similar position in the economic system of production. Within that system occupation is very important because it provides financial rewards, stability, and benefits like healthcare” (What is social class?, s.f., para. 4). In broad terms, people are in similar positions, aware of each other.

In this paper, we aim to quantify the contribution of social classes (social stratification) to inequality considering compatible differences to calculate the percentage of the income provided by social classes. The results can be an important tool to help decision-makers opt for the most effective measures to counter inequality.

Herein lies the importance of knowing how a society is divided to any study that incorporates social items, therefore, we provide a real example showing how social stratification affects inequality. In addition to this, we will show a sensibility analysis -relative to the Gini index- when income is transferred between different social classes.

This article is organized as follows. In Section 1, we provide some background on social classes. In Section 2, we present our proposed methodology to quantify the contribution of each stratum to inequality. An application is given in Section 3, providing a prediction model using compositional data. Final comments are given in Section 4.

Background

In social sciences, the definition of classes can be especially difficult if it is taken into account the complexity of the subjects and the implications that it entails. The concept of social class has its foundations on Marx’s work, in which he identified two well-differentiated groups: bourgeoisie and proletariat (Marx, 1968), thereby, the social position was determined by the control over the economic resources and means of production manifested in a duality between capital owners and workers. This conception of classes results in two large groups, although useful, heterogeneous, which complicates their study since the information generated from this division shows highly aggregated results.

The Marxist conceptualization limits the social aspect to the occupational part inasmuch as for Marx, the economic relations formed the material basis for the class struggle; hence, instinctively the social class is associated to the idea of the economic position of a group of people related to an income linked to the occupation, but as it will be seen, the social is also related to other characteristics; Bourdieu (2003), to give an example, thought on the class concept as relational substantial sets, as a result, there is a correspondence between practices and positions, between material attributes and conditions (Wright, 2015) that allows classifying the society through determinants (one of them the economic) and lifestyle.

Wright (1994) identifies three ways to approach class concept: Firstly, class as a set of attributes and living conditions of individuals (adopted by stratification studies), secondly, class based on the accumulation mechanisms determined by the control of economic resources (referred to Max Weber theory), defining the classes concerning the processes of “appropriation of opportunities” focused on three dimensions: economy, status, and power (Negrete and Romo, 2014); and finally, the Marxist point of view that studies the positions in the relations of domination in production. Wright integrates these three points of view since he does not consider them mutually exclusive, rather than interrelated, since the three processes operate in the society and are connected and in a permanent interaction (see Figure 2).

Source: Adapted from Wright, 2015, p. 27.

Figure 2. Combined analysis of classes: macro and micro processes 

Grusky (Grusky and Weeden, 2008) suggests that the concept of social class has historically different meanings which affect the studies and the conclusions they reach, since the concept of which they are based on will measure and infer the reality (usually taken from a sociological or economic point of view), particularly in inequality studies; thus, he also proposes (in addition to conventional approaches such as measurement schemes based on the socio-economic, class or income) multidimensional models capable of capturing the different forms of inequality, including data derived from schooling, work experience, work conditions, and other factors.

This type of models allows to "calibrate" the typical concept of social class, incorporating attributes and endowments, which allow adding the micro-level (micro classes, or classes within classes) to the macro-level (the great concept of social class), close to Bourdieu's approach, who is the reference for the measurement of social class in several countries to identify social strata relating structural classes with class schemes that identify changes in the classification of the population over time, in order to capture phenomena such as social mobility, among others.

The concept of class in its simplest definition applies to a group of elements that have common characteristics, statistically also known as class interval, this group of elements are a set of characteristics that are subjectively defined by the interests of the researcher, so one of the most important questions raised for the identification of social classes is with regards to the criteria that must be taken into account to place an individual accurately in some social class. The United Kingdom criteria, for example, according to the Great British Class Survey (GBCS) (Savage et al., 2013) take economic capital such as occupation, household income, household savings, value of the household, and also elements detailing cultural and social capital, for instance, leisure, use of the media, alimentation, among others, from which seven social classes are considered: elite, established middle class, technical middle class, new wealthy workers, traditional working class, emerging service workers, and precarious workers.

In the United States, social class is defined under the logic of social stratification, taking into account demographic data (Wodtke, 2016) with an occupational focus, considering the position of an individual within the technical division of labor, and the effects on its attitudes, behavior, and access to valuable resources which allows it to reach other capitals. Grusky (Grusky, 2014), however; it does not rule out the arise of new classes over time since social relationships (especially in employment subject) are in constant change.

Classes and inequity

Social class is an input to understand inequality, nevertheless, comparative studies on inequality should consider that the definition of class has different meanings; therefore, measuring inequality is not the same as measuring class inequality since the concept of class and the possible data derived from it assume different attributes that are not homogeneous in all countries, particularly those related to the history that gives a specific initial context to each country, consequently, belonging to the upper class is not the same in China than in Argentina, as well as being poor in Germany than in Tanzania; however, it could be anticipated that the world elite (the 0.001% richest) can share characteristics regardless of their nationality, it is a homogeneous group, with similar economic and social resources, access to similar networks, capitals, and lifestyles. This group in 2019, according to the Global Wealth Report, was comprised of 168 thousand people worldwide who had fortunes of more than 50 million dollars (Credit Suisse Research Institute, 2019).

An important question to highlight is whether that small amount of ultra-rich people (in contrast to the world population), is considered a class or not, for example, in the United States that concentrated 40% of the cases in such status in 2019. The answer is no. In economies such as the Mexican, that participates with 173 people considered to be within that group, their condition would be statistically classified in the upper-upper class, which for the statistical institute are households with incomes greater than 100,000 pesos per month (USD $5,000 6% of households), so it would be expected that the data from a Gini index would be more unequal if measured by individuals and not by groups, being classes, deciles or percentiles, because the more aggregate the group is, the more inequality will be hidden.

In an attempt to typify the middle class in Mexico, Negrete (2014) estimates by a clustering method based on 17 variables taken from the household income-expenditure survey (ENIGH), among which the following stand out: housing size, occupation and household expenses on food, education and culture; that only 2.5% of households (1.7% of individuals) belong to the upper class with a monthly per capita expenditure of 15 thousand pesos (USD $ 625 per month), 42% of households (39% of individuals) belong to the middle class and 55% of households (59% of individuals) belong to the lower class, the latter data coinciding with official poverty data.

What seems interesting in a practical sense, is that the upper class, according to either both classifications, would have households with incomes of more than $5,000 per month sharing a stratum with households with an income of $100,000 per month, which, with households with $1 million per month income, etc., which hides a level of inequality within the classes that is difficult to perceive. In reference to the average household income in the upper class in Mexico, it could be classified as a middle class in high-income countries.

Methodology

In this section, we will propose a new methodology to quantify the contribution of social classes to inequality.

Consider the next problem on how to distribute a given amount x among a set of agents N=1,2,,n for n N. We define diji, j  N  as compatible differences if and only if

  1. dii =0,

  2. dij=-dji , antisymmetric,

  3. dij+djk= dik i,j,k  N. , for all

Let MnxnR be the set of real matrices of dimension n × n with entries satisfying the before three conditions and let :{D,x:DMnxnR,xR} . We can define φ=(φ1,,φ2,,φn) where φi:R for all i, as follows:

φiD,x:=1n x+j=1ndij;             i=1,2,,n, (1)

i.e., we can re-write φ as φD,x:=φ1D,x,,φnD,x .

Since dij=φiD,x-φjD,x for all ,j , we say that D=diji, j  N  preserves differences corresponding to φD,x. Moreover, being D=diji, j  N  a matrix of compatible differences, the unique vector that preserves differences is given by φD,x, which satisfies the following condition:

i=1nφiD,x=x.

Therefore, φiD,x represents the amount given to the i -th agent.

On the other hand, let c=(c1 , c2 ,, cn) such as c1<c2<...<cn and define the following, the matrix C:

0    c1-c2     c1-c3     c1-cnc2-c1   cn-c1             0            c2-c3    c2-cn                                       cn-c2     cn-c3           0

i.e., C  MnxnR. Note that for a fixed row i

j=1ncij=n-1ci-j1ncj ,

then, we have

φiC,x=1nx+n-1ci-j1ncj=1nx+nci-ci- T+ci;

where  T= j=1ncj, thus

 φiC,x=1nx+nci-T,  i=1,2,,n.

Now, let us consider this theory in a particular social context. Suppose a social stratification of four classes, i.e., n=4, given by:

  1. Lower (L),

  2. Middle (M),

  3. Upper (U),

  4. Bourgeoisie (B).

Let ci be the income of the i -th social class for i=1,2,3,4, and define c=(c1, c2 , c3 , c4) where c1<c2<c3<c4 .Thus,

            φiC,x=ci+14x-j=14cj ;     i=1,2,3,4. (2)

This function satisfies that i=14φiC,x=x.   Thus, if x is the Gini index, the function (2) gives the contribution of the i -th social class of inequality.

Since x [0,1] and the income of the social classes in a large value, such as j=14cjx, then 14x-j=14cj   -14 j=14cj= - c¯ , where c¯ denotes the mean of vector c , thus,

φiC,xci- c¯,       i=1,2,3,4. (3)

This means that we can calculate the contribution of the social classes to inequality without having the Gini index per se.

Observation 2.1 Note that for i {1,2,,n} and αiR+ , x,y  R,

φiC*,y=φiC,x+αi+ 1ny-x,

where the elements of the matrix C* are given by ci*=ci+αi.

This means, in terms of the Gini index, that if the income of some social class i is increased by αi then, the contribution of this class to the “new inequality” equals the contribution given by the class before increasing, plus αi and other value in -1n, 1n . This interval depends on x and y and the number of analyzed classes, however, it is a small quantity compared to φiC,x+αi , i.e., φiC*,yφiC,x+αi .

In order to provide the contribution to inequality of each social class in terms of percentage, we have

  %Classi= φij=1nφj × 100,      i=1,2,,n.  (4)

Note that we used the absolute value, since each element φi is a real number.

Example 2. Consider the global wealth pyramid presented in Figure 3.

Source: Adapted from El País, cited in Instituto Mexicano para la Competitividad (IMCO), 2015, para 1.

Figure 3. Global wealth pyramid 

Based on Figure 3 the percentage data are the following (we modified some values to obtain the 100%).

Table 1. Illustrative data example. Percentage of the population and income of four social classes 

Class Population % Income %
1 Lower 71 3
2 Middle 21 12.5
3 Upper 7.4 39.3
4 Bourgeoisie 0.6 45.2

Source: Authors´elaboration based on Figure 3.

Let us consider an illustrative example with a Population of 1000 persons and Income $10,000. We calculate the inequality contribution of each social class via equation (2). The results are presented in Table 2.

Table 2. Inequality contribution considering four social classes 

Income
L M U B Gini φ1 φ2 φ3 φ4
300 1250 3930 4520 0.4995611 -2199.875 -1249.875 1430.125 2020.125

Source: Authors´ elaboration.

The contribution in terms of percentage (see equation [4]) is presented in Table 3.

Table 3. Percentage contribution to inequality considering four social classes 

%L %M %U %B
31.88225 18.11413 20.72645 29.27717

Source: Authors´ elaboration.

Thus, a major percentage of inequality is given by the lower class, followed by the bourgeoisie class, the upper, and finally the middle class.

In the following, we present five hypothetical cases, where the upper classes give income to lower classes (see for example Delajara, De la Torre, Díaz-Infante, Vélez [2018]).

2.1 Case 1: Middle class gives income to the Lower class

In this case, we fix the income for the Upper and Bourgeoisie classes and vary the income of the Lower and Middle classes (Middle class gives $100). The results of the inequality contribution considering four social classes are presented in Table 4 and Figure 4.

Table 4. Inequality contributions: Middle class gives to the Lower class 

Income
L M U B Gini %L %M %U %B
300 1250 3930 4520 0.50 31.88 18.11 20.72645 29.27717
400 1150 3930 4520 0.43 30.43 19.56 20.72620 29.27692
500 1050 3930 4520 0.37 28.98 21.01 20.72597 29.27670
600 950 3930 4520 0.31 27.54 22.46 20.72577 29.27649
700 850 3930 4520 0.26 26.09 23.91 20.72559 29.27631

Source: Authors´ elaboration.

Source: Authors´ elaboration.

Figure 4. Percentage contribution to inequality considering Case 1 

The contribution to inequality of the lower class decreases once getting income from the middle class, at some point this contribution is almost the bourgeoisie. Note that in this scenario, we can obtain a Gini index of at least 0.26.

2.2 Case 2: Upper class gives income to the Lower class

The Upper gives $100 to the Lower class. The results are presented in Table 5 and Figure 5.

Table 5. Inequality contributions: Upper class gives to the Lower class 

Income
L M U B Gini %L %M %U %B
300 1250 3930 4520 0.50 31.88 18.11 20.73 29.28
400 1250 3830 4520 0.43 31.34 18.66 19.85 30.15
500 1250 3730 4520 0.37 30.77 19.23 18.92 31.08
600 1250 3630 4520 0.32 30.16 19.84 17.94 32.06
700 1250 3530 4520 0.27 29.51 20.49 16.89 33.12
800 1250 3430 4520 0.23 28.81 21.19 15.76 34.24
900 1250 3330 4520 0.20 28.07 21.93 14.56 35.44
1000 1250 3230 4520 0.17 27.27 22.73 13.27 36.73
1100 1250 3130 4520 0.14 26.41 23.58 11.89 38.11
1200 1250 3030 4520 0.11 25.49 24.51 10.39 39.61

Source: Authors´ elaboration.

Source: Authors´ elaboration.

Figure 5. Percentage contribution to the Gini index considering Case 2 

Compared to the previous case, the Gini index gets down to a value of 0.11, where the Lower and Middle classes contribute almost the same to inequality.

2.3 Case 3: Bourgeoisie class gives income to the Lower class

The Bourgeoisie gives $100. The results are presented in Table 6 and Figure 6.

Table 6. Inequality contributions: class Bourgeoisie gives to the Lower class 

Income
L M U B Gini %L %M %U %B
300 1250 3930 4520 0.50 31.88 18.11 20.73 29.28
400 1250 3930 4420 0.43 31.34 18.66 21.34 28.66
500 1250 3930 4320 0.38 30.77 19.23 22.00 28.00
600 1250 3930 4220 0.33 30.16 19.84 22.70 27.30
700 1250 3930 4120 0.29 29.51 20.49 23.44 26.56
800 1250 3930 4020 0.25 28.81 21.19 24.24 25.76

Source: Authors´ elaboration.

Source: Authors´ elaboration.

Figure 6. Percentage contribution to the Gini index considering Case 3 

Note that in this case and in comparison to the two previous cases, there is no crossing of lines in the graph, that is, in all the scenarios the order of percentage contribution of social classes to inequality is maintained: Lower, Bourgeoisie, Upper, and Middle.

2.4 Case 4: Upper class gives income to the Middle and Lower classes

The Upper gives $200 in total, $162 (81%) to Middle, and $32 (19%) to Lower. The results are presented in Table 7 and Figure 7.

Table 7. Inequality contributions: Upper class gives to the Middle and Lower classes 

Income
L M U B Gini %L %M %U %B
304 1296 3880 4520 0.50 32.29 17.70 20.30 29.71
342 1458 3680 4520 0.47 33.72 16.28 18.44 31.56
380 1620 3480 4520 0.45 35.33 14.66 16.34 33.67
418 1782 3280 4520 0.42 37.18 12.82 13.93 36.07
456 1944 3080 4520 0.40 39.31 10.69 11.16 38.85
494 2106 2880 4520 0.39 41.79 8.21 7.92 42.09

Source: Authors´ elaboration.

Source: Authors´ elaboration.

Figure 7. Percentage of the inequality contribution considering Case 4 

This is another very special case, the contribution of the Lower and Bourgeoisie classes is very similar (more than 80% among them), while the Upper and Middle classes also contribute similarly but in a minimal way (approximately 20%). The Gini index reaches 0.39.

2.5 Case 5: Bourgeoisie class gives income to the Middle and Lower classes

The Bourgeoisie gives $200 in total, $162 (81%) to Middle, and $32 (19%) to Lower. The results are presented in Table 8 and Figure 8.

Table 8. Inequality contributions: Bourgeoisie class gives to the Middle and Lower classes 

Income
L M U B Gini %L %M %U %B
304 1296 3930 4470 0.50 32.29 17.70 21.30 28.97
342 1458 3930 4270 0.48 33.72 16.28 22.35 27.66
380 1620 3930 4070 0.46 35.33 14.66 23.84 26.17

Source: Authors´ elaboration.

Source: Authors´ elaboration.

Figure 8. Percentage of the inequality contribution considering Case 5 

This is similar to case 3, where there is no line crossing and the contribution order is maintained. The Gini index reaches 0.46.

In Table 9 we present a summary of the cases.

Table 9. Analysis of the cases: percentage contribution to inequality 

Case 1: Case 2: Case 3: Case 4: Case 5:
% M L U L B L U L,M B L,M
Lower
Middle
Upper
Bourgeoisie

Source: Authors´ elaboration.

In general, for the percentage of inequality contribution, we have the following:

  1. When L class receives income from M, U, or B, its percentage to the inequality decreases ( ), but the percentage of the M class increases ( ).

  2. When U or B class gives income to L and M classes, the percentage of the L class increases ( ) while the M decreases ( ).

  3. If the U or B class gives income its percentage decreases ( ), if not, its percentage increases ( ).

Indeed, we can confirm that the extreme classes, in this case, the Bourgeoisie and the Lower, are the largest contributors to the inequality with a percentage in the interval (25%- 43%), as expected. Middle and Upper classes have a contribution percentage between 7% and 25%. In particular, the Middle class is the one that generally has the lowest contribution of all.

It is important to show these scenarios in order to quantify the contribution of social classes to inequality. Governments, decision-makers, and public policy providers must analyze different scenarios that can happen in the places they represent.

Application

The previous methodology can be replicated considering only 3 classes: Upper, Middle, and Lower. Let us consider a high-income country and a middle-low income country. For example, for Denmark, we have the data1 presented in Table 10.

Table 10. Data from Denmark 2010 

Class Population % Income %
1 Lower 14 13.9
2 Middle 80 27.2
3 Upper 6 58.9

Source: Authors´ elaboration based on O’Sullivan, 2017.

In 2010, Denmark had a Gini index of 0.2722. And using the φ function with 3 social classes, the percentage of contribution of the Gini index for each class is given by Lower38% , Middle 12% , and Upper 50% . Thus, although the Middle class has a huge percentage of the population, the major contributor to inequality is the Upper class.

Another example is considering Mexico. The data are in Table 11.

Table 11. Data from Mexico 2014 

Class Population % Income %
1 Lower 60 9.3
2 Middle 34 29.3
3 Upper 6 61.4

Source: Authors´ elaboration adapted from Diario Oficial de la Federación (2014).

For 2014, Mexico has a Gini index of 0.458. Applying the φ function also with 3 social classes, the percentage of contribution of the Gini index for each class is given by: the and L43% , M7% , U50% .

As we can see in both examples, the Upper class is the major contributor to inequality, followed by the Lower class, and finally, the Middle class, although the example of the countries refers to two different income configurations, these are visible only in the middle and lower classes, where percentages have visible differences, but the upper class is made up of the same percentage of the population, concentrating almost the same amount of income, which is why it is suspected to be a pattern that economies with a similar concentration of income of the upper class can follow.

Consequently, the contribution of the upper class, due to the amount of income it concentrates, explains 50% of inequality, although the middle and lower classes behave in different ways, which causes the Gini value to decrease or increase, the upper-class income impacts in the same way on the Gini index construction; therefore, it is important to analyze the scenarios presented on redistributive best practices and their effect on reducing inequalities through the rise of the middle class.

The following subsection will analyze the percentage of contribution to inequality as compositional data. We present a real example with data from Mexico in order to analyze social stratification.

3.1 A predictive model for compositional data

In this section, we will consider a predictive model for compositional data using a hyperspherical transformation. Mathematically, a circular graph can be expressed as a compositional vector as follows:

x=x1,x2,,xn' Rn, for n  N,  and n1 ,

such as j=1nxj=1, xj>0 . We will call xj,, j=1,2,,n, as “part” and the set of all compositions will be called “simplex of n parts”. Indeed, from equation (4) we can define each xj:=φjk=1nφk .

The concept of compositional data comes from Ferrers’ work (Ferrers, 1866). In 1897, Pearson (1897) discussed the complexity of its theoretical properties and indicated that the property of which the components add 1, had been little or completely ignored.

The first systematic research on compositional data is found in Aitchison (1986), which uses normal logistic distribution and the log-ratio transformation for compositional data. For this research, Aitchison obtained the Research Medal of British Royal Statistical Academy in 1988.

Predictive model using a hyperspherical transformation

The following methodology is based on Wang, Lu, Mok, Fu, and Tse (2007).

Step 1. Transformation:

yjt= xjt ;  j=1,2,,n;  t=1,2,,T; for  n,T N.

Let yt=y1t,y2t,,ynt , for t=1,2,,T , thus yt2= j=1nyjt2=1 . Then, the end of the vector yt is on the surface of a n -dimensional sphere with radius 1 at any time t .

Step 2. Mapping. Map the Cartesian plane n -dimensional yt=y1t,y2t,,ynt  Rn to hyperspherical coordinates  rt, θ2t, ,θnt' Θn ,

y1t,y2t,,ynt     θ2t, θ3t,,θnt

with the condition of rt2 = yt2=1.

Thus, the transformations will be as follows:

y1t=sin θ2tsin θ3t  sin θ4t  sin θnt

y2t=cos θ2tsin θ3t  sin θ4t  sin θnt

y3t=cos θ3tsin θ4t  sin θ5t  sin θnt

ytn-2=cos θtp-2 sin θtn-1 sin θnt

ytn-1=cos θtn-1 sin θnt

ynt= cos θnt

where 0θjt π2, for j=2,3,,n.

Step 3. Inverse transformation. For t=1,2,,T:

θnt=arccos  ynt

θtn-1=arccos ytn-1sin θnt 

θtn-2=arccos ytn-2sin θnt sin θtn-1 

θ2t=arccos  y2tsin θnt sin θtn-1  sin θ3t 

Step 4. Construct n-1 regressions models for each angle:

θ^jt= ƒjt+ϵjt, j=2,3,,n.  (5)

Step 5. Use (5) to predict the angle at time T+1:

θ^jT+1= ƒjT+1,    j=2,3,,n. (6)

Step 6. Predict the values of y^T+1=y^1T+1, y^2T+1,,y^nT+1 using equation (6) and Step 2.

Obviously, we should have j=1ny^jT+12,  j=1,2,,n.

Step 7. Finally, predict the values for each component:

x^jT+1=y^jT+12,  j=1,2,,n.

We now present an example of how important the construction of social classes is. We present real data from a survey of Mexico.

Example 3.1 Importance of how social stratification is constructed.

In Mexico, the National Survey on Household Income and Expenditure (ENIGH, for its initials in Spanish), shows the current family income and the way they expend it. By means of the ENIGH, we could obtain the percentage of quarterly historical income per family of the upper class (Decile 10), middle class (Decile 6- Decile 9) and lower class (Decile 1- Decile 5). Data is presented in Table 12.

Table 12. México Gini Value construction per social strata 1984-2014 

Population % Income %
Year L M U L M U Gini
1984 60 35 5 21.6 46.4 32.0 0.489
1989 51 41 8 19.0 44.1 36.9 0.480
1992 52 39 9 18.9 44.3 36.8 0.496
1994 50 40 10 19.2 44.1 36.7 0.503
1996 65 30 5 20.0 44.4 35.6 0.482
1998 62 32 6 18.8 44.2 37.0 0.487
2000 57 35 8 19.6 44.7 35.7 0.514
2002 54 39 7 20.2 45.7 34.1 0.490
2004 46 43 11 19.0 44.3 36.7 0.483
2005 49 41 10 18.8 45.1 36.1 0.489
2006 45 44 11 20.0 45.5 34.5 0.477
2008 45 44 11 19.4 44.4 36.2 0.446
2010 52 40 8 20.5 45.7 33.8 0.453
2012 55 38 7 20.7 45.4 33.9 0.454
2014 53 40 7 21.7 45.2 33.1 0.458

Source: Authors´ elaboration with data from the National Survey on Household Income and Expenditure (Encuesta Nacional de ingresos y Gastos de Hogares, ENIGH), Inegi, 1984, 1989, 1992, 1994, 1996, 1998, 2000, 2002, 2004, 2005, 2006, 2008, 2010, 2012 y 2014.

So far, we have obtained the percentage of contribution to inequality for the social classes. This data can be interpreted as a proportion (compositional data), just dividing by 100, i.e., we obtain a value in (0,1). Note that when using deciles in social stratification, the Middle class has the major percentage of the income.

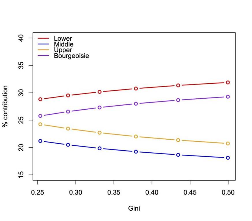
Using the predictive model with a hyperspherical transformation and the data from ENIGH, we can estimate and predict the proportion of inequality by social classes in Mexico. The results are presented in Figure 9.

Note: As of 2016, it is a prediction.

Source: Authors´ elaboration with data from the National Survey on Household Income and Expenditure (ENIGH), Inegi, 1984, 1989, 1992, 1994, 1996, 1998, 2000, 2002, 2004, 2005, 2006, 2008, 2010, 2012 y 2014.

Figure 9. Estimation and Predicted proportion of the contribution to inequality in Mexico 

Note in Figure 9, that opposite to what generally happens in the world, the extreme classes are the ones that contribute the most to inequality. In Mexico the middle class was thought to be the one that would contribute the most to inequality, according to the data obtained from the ENIGH. However, it has been pointed out by many authors the fact that there is under-reporting of income by households in this survey (Bustos, 2015) rendering it potentially inaccurate. This issue can be reflected in these results; but it could be a sign of shrinking of the middle class as well, in which case, in the long term, could represent a large economic and social problem.

Therefore, the results show the importance of designing an appropriate survey and how social stratification is given, among other things, the deficiencies of the ENIGH, the fact that the high and low social class are those that contribute the least to inequality is reflecting the poor contribution that this type of surveys gives us. And this can be a serious problem since this survey is used in many statistics of the country.

Conclusions

In this paper, we have provided a methodology that helps us to analyze how important social stratification is, in order to study inequality. We have found that, in order to obtain more realistic results regarding this topic, different input data should be considered.

We have provided a tool to study the contribution to inequality from social classes in a given country. This analysis can help us to measure the effectiveness of fiscal and public spending, as well as to carry out more efficient redistribution practices and a design of public policies, focused on reducing inequalities through social spending in order to diminish the number of people living in poverty in a country, which seriously affects indicators of inequality.

This is an urgent and necessary objective as outlined in the United Nations 2030 agenda,. Nonetheless, the underlying question is: how should this expenditure be financed? By collecting taxes on the income of the middle classes?, or progressive taxes paying attention to the profits of capital, as well as the need to disaggregate the elite of the "high classes"?, since their contribution to public spending is diffuse or hidden in the social class or stratum in which they have statistically placed it.

Global experiences of countries pursuing aggressive fiscal policies to the middle class have caused their shrinking, reducing inequality through general impoverishment of the population, and reducing the level of income of the aforementioned class, hindering upward social mobility, making workers more vulnerable. As noted by the OECD (2019) the economic weight of the middle class has been drastically reduced in the world, proposing policies that shift tax pressure from income to work to income from capital, earnings, inheritances, and property; all these measures that the organization claims, would have an impact on economic growth and the reduction of inequality.

This article addresses the issue of inequality and its novelty lies in the analysis of the way in which it is composed, as a result, informed decisions can be made. In other words, public policies should be oriented based on an analysis in which the cost of the measures is clear. The proposals presented in the latest Cepal (2020) report make clear that in the face of the deep crisis experienced in Latin America, a State presence as a generator of equality is required.

In recent times in Mexico, a weak policy of support for the people in poverty has been carried out, but the attack on the middle classes has been heavy, in conjunction with the protection of the privileges of the upper class. Without a redistributive fiscal policy, resources cannot be obtained to implement social programs. The reduction of salaries of public officials and state spending are measures that are affecting the middle strata, and in the reports of Cepal (2020) are those civil servants that become part of the new poor, which will eventually lead to the shrinking of the middle class and therefore an increase in inequality.

Acknowledgments

The authors gratefully acknowledge the academic support given by Dr. Francisco Sánchez Sánchez. Also, the authors would like to express their most sincere acknowledgement to the referees who have contributed to the improvement of this article.

References

Aitchison, J. (1986). The statistical analysis of compositional data. London: Chapman and Hall. [ Links ]

Bourdieu, P. (2003). Las estructuras sociales de la economía. Barcelona: Editorial Anagrama. [ Links ]

Bustos, A. (2015). Estimation of the distribution of income from survey data, adjusting for compatibility with other sources. Statistical Journal of the IAOS, 31(4), 565-577. https://doi.org/10.3233/SJI-150923 [ Links ]

Comisión Económica para América Latina y el Caribe [Cepal]. (2020). Enfrentar los efectos cada vez mayores del COVID-19 para una reactivación con igualdad: nuevas proyecciones (5). Retrieved from https://repositorio.cepal.org/bitstream/handle/11362/45782/1/S2000471_es.pdfLinks ]

Credit Suisse Research Institute. (2019). Global Wealth Report. Retrieved from https://www.credit-suisse.com/media/assets/corporate/docs/about-us/research/publications/global-wealth-report-2019-en.pdfLinks ]

Delajara, M., De la Torre, R., Díaz-Infante, y E., Vélez, R. (2018). El México del 2018. Movilidad social para el bienestar. Mexico: Centro de Estudios Espinosa Yglesias. Retrieved from https://ceey.org.mx/wp-content/uploads/2018/06/El-M%C3%A9xico-del-2018.-Movilidad-social-para-el-bienestar.pdfLinks ]

Ferrers, N. M. (1866). An elementary treatise on trilinear coordinates. London: Macmillan. [ Links ]

Gini, C. (1914). Sulla misura della concentrazione e della variabilita dei caratteri. Atti Del Reale Istituto Veneto Di Scienze, Lettere Ed Arti, LXXIII(2), 1203-1248. [ Links ]

Grusky, D., and Weeden, K. (2008). Are There Social Classes?: A Framework for Testing Sociology’s Favorite Concept. In A. Lareau and D. Conley (Eds.),Social Class: How Does It Work?(pp. 65-90). Russell Sage Foundation. Retrieved from http://www.jstor.org/stable/10.7758/9781610447256.7Links ]

Grusky, D. (2014). Social Stratification. New York: Routledge. https://doi.org/10.4324/9780429494642 [ Links ]

Inequality ORG (s.f.). Income Inequality. Retrieved from http://web.archive.org/web/20201108185252/https://inequality.org/facts/income-inequality/Links ]

Instituto Mexicano para la Competitividad [IMCO]. (2015). Distribución de la Riqueza Mundial. Retrieved from https://imco.org.mx/distribucion-de-la-riqueza-mundial-via-el-pais/Links ]

Instituto Nacional de Estadística y Geografía [Inegi] (1984). Encuesta Nacional de Ingresos y Gastos de los Hogares (ENIGH). Mexico: Instituto Nacional de Estadística, Geografía e Informática. Retrieved from https://www.inegi.org.mx/app/biblioteca/ficha.html?upc=702825001746Links ]

Instituto Nacional de Estadística y Geografía [Inegi] (1989). Encuesta Nacional de Ingresos y Gastos de los Hogares (ENIGH) . Mexico: Instituto Nacional de Estadística, Geografía e Informática . Retrieved from https://www.inegi.org.mx/app/biblioteca/ficha.html?upc=702825450489Links ]

Instituto Nacional de Estadística y Geografía [Inegi] (1992). Encuesta Nacional de Ingresos y Gastos de los Hogares (ENIGH) . Mexico: Instituto Nacional de Estadística, Geografía e Informática . Retrieved from https://www.inegi.org.mx/app/biblioteca/ficha.html?upc=702825450571Links ]

Instituto Nacional de Estadística y Geografía [Inegi] (1994). Encuesta Nacional de Ingresos y Gastos de los Hogares (ENIGH) . Mexico: Instituto Nacional de Estadística, Geografía e Informática . Retrieved from https://www.inegi.org.mx/app/biblioteca/ficha.html?upc=702825450649Links ]

Instituto Nacional de Estadística y Geografía [Inegi] (1996). Encuesta Nacional de Ingresos y Gastos de los Hogares (ENIGH) . Mexico: Instituto Nacional de Estadística, Geografía e Informática . Retrieved from https://www.inegi.org.mx/app/biblioteca/ficha.html?upc=702825450939Links ]

Instituto Nacional de Estadística y Geografía [Inegi] (1998). Encuesta Nacional de Ingresos y Gastos de los Hogares (ENIGH) . Mexico: Instituto Nacional de Estadística, Geografía e Informática . Retrieved from https://www.inegi.org.mx/app/biblioteca/ficha.html?upc=702825450960Links ]

Instituto Nacional de Estadística y Geografía [Inegi] (2000). Encuesta Nacional de Ingresos y Gastos de los Hogares (ENIGH) . Mexico: Instituto Nacional de Estadística, Geografía e Informática . Retrieved from https://www.inegi.org.mx/app/biblioteca/ficha.html?upc=702825451059Links ]

Instituto Nacional de Estadística y Geografía [Inegi] (2004). Encuesta Nacional de Ingresos y Gastos de los Hogares (ENIGH) . Mexico: Instituto Nacional de Estadística, Geografía e Informática . Retrieved from https://www.inegi.org.mx/app/biblioteca/ficha.html?upc=702825451288Links ]

Instituto Nacional de Estadística y Geografía [Inegi] (2005). Encuesta Nacional de Ingresos y Gastos de los Hogares (ENIGH) . Mexico: Instituto Nacional de Estadística, Geografía e Informática . Retrieved from https://www.inegi.org.mx/programas/enigh/tradicional/2005/#TabuladosLinks ]

Instituto Nacional de Estadística y Geografía [Inegi] (2006). Encuesta Nacional de Ingresos y Gastos de los Hogares (ENIGH) . Mexico: Instituto Nacional de Estadística, Geografía e Informática . Retrieved from https://www.inegi.org.mx/programas/enigh/tradicional/2006/#TabuladosLinks ]

Instituto Nacional de Estadística y Geografía [Inegi] (2008). Encuesta Nacional de Ingresos y Gastos de los Hogares (ENIGH) . Mexico: Instituto Nacional de Estadística, Geografía e Informática . Retrieved from https://www.inegi.org.mx/app/biblioteca/ficha.html?upc=702825001845Links ]

Instituto Nacional de Estadística y Geografía [Inegi] (2010). Encuesta Nacional de Ingresos y Gastos de los Hogares (ENIGH) . Mexico: Instituto Nacional de Estadística, Geografía e Informática . Retrieved from https://www.inegi.org.mx/programas/enigh/tradicional/2010/#TabuladosLinks ]

Instituto Nacional de Estadística y Geografía [Inegi] (2012). Encuesta Nacional de Ingresos y Gastos de los Hogares (ENIGH) . Mexico: Instituto Nacional de Estadística, Geografía e Informática . Retrieved from https://www.inegi.org.mx/contenidos/programas/enigh/tradicional/2012/doc/resultados_enigh12.pdfLinks ]

Instituto Nacional de Estadística y Geografía [Inegi] (2014). Encuesta Nacional de Ingresos y Gastos de los Hogares (ENIGH) . Mexico: Instituto Nacional de Estadística, Geografía e Informática . Retrieved from https://www.inegi.org.mx/contenidos/programas/enigh/tradicional/2014/doc/resultados_enigh14.pdfLinks ]

IZA World of Labor (2020). What is economic inequality? Retrieved from https://wol.iza.org/key-topics/economic-inequalityLinks ]

Lorenz, M. (1905). Methods of Measuring the Concentration of Wealth. Publications of the American Statistical Association, 9(70), 209-219. [ Links ]

Marx, K. (1968). Trabajo asalariado y capital: salario, precio y ganancia. Bolivia: Equipo Editorial. [ Links ]

Negrete, R., and Romo, M. (2014). Cuantificando a la clase media en México en la primera década del siglo XXI: un ejercicio exploratorio. Revista Internacional de Estadística y Geografía, 5(3). Retrieved from http://www.inegi.org.mxLinks ]

O’Sullivan, F. (2017). How America’s Middle Class Compares to Europe’s. Bloomberg City Lab. Retrieved from https://www.bloomberg.com/news/articles/2017-04-26/how-the-u-s-and-european-middle-classes-compareLinks ]

Organization for Economic Cooperation and Development [OECD]. (2019). Under Pressure: The Squeezed Middle Class. https://doi.org/10.1787/689afed1-en [ Links ]

Organization for Economic Cooperation and Development [OECD]. (2020). Income inequality (indicator). DOI: 10.1787/459aa7f1-en [ Links ]

Pearson, K. (1897). On a form of spurious correlation which may arise when indices are used in measurement of organs. In: M. Emery (Ed.), Mathematical contributions to theory of evolution (pp. 489-498). London: Proceedings of the Royal Society. [ Links ]

Savage, M., Devine, F., Cunningham, N., Taylor, M., Li, Y., Hjellbrekke, J., … Miles, A. (2013). A New Model of Social Class? Findings from the BBC’s Great British Class Survey Experiment. Sociology, 47(2), 219-250. https://doi.org/10.1177/0038038513481128Links ]

Secretaria de Gobernación [Segob] (2014, May 8th). Perfil del consumidor actual. Programa Nacional de Protección a los Derechos del Consumidor 2013-2018. México: Diario Oficial de la Federación, 4. Retrieved from http://dof.gob.mx/nota_detalle.php?codigo=5343849&fecha=08/05/2014Links ]

Sen, A. (1973). On economic inequality, Oxford: Clarendon Press. [ Links ]

Wang, H., Lu, Q., Mok, H.M.K., Fu, L. and Tse, W.M. (2007). A hyperspherical transformation forecasting model for compositional data. European Journal of Operational Research, 179(2), 459-468. [ Links ]

What is social class? (s.f.). Recuperado de https://udel.edu/~cmarks/What%20is%20social%20class.htmLinks ]

Wodtke, G. (2016). Social Class and Income Inequality in the United States: Ownership, Authority, and Personal Income Distribution from 1980 to 2010. American Journal of Sociology, 121(5), 1375-1415. https://doi.org/10.1016/j.physbeh.2017.03.040 [ Links ]

Wright, E. O. (1994). Clases. Madrid: Siglo XXI España Editores. [ Links ]

Wright, E. O. (2015). Comprender las clases sociales. Madrid: Ediciones Akal. [ Links ]

Received: September 08, 2020; Accepted: November 03, 2020; Published: November 18, 2020

a

She is currently a Professor at the National Council of Science and Technology (Conacyt for its acronym in Spanish). She is a member of the National System of Researchers, level 1. Her research lines include: Statistics, Applied probability and Stochastic processes.

Last publications:

  • - Naranjo, L., Esparza, L. J.R., and Pérez, C. J. (2020). A Hidden Markov Model to Address Measurement Errors in Ordinal Response Scale and Non-Decreasing Process.Mathematics, 8(622), 1-12. https://doi.org/10.3390/math8040622

  • - Esparza, L. J. R. (2011).Maximum likelihood estimation of phase-type distributions.(PhD Thesis). Technical University of Denmark. Kongens Lyngby, Denmark. Retrieved from http://orbit.dtu.dk/files/5512970/phd245_ljre.pdf

  • - Mogens, B., Esparza, L. J. R., and Nielsen, B. F. (2011). Fisher information and statistical inference for phase-type distributions. Journal of Applied Probability,48A, 277-293. https://doi.org/10.1017/S0021900200099289

b

He is a full-time research professor in the Autonomous University of Aguascalientes. He is a member of the National System of Researchers, level 1. His research lines include: Work, Poverty, Jobe insecurity.

*Corresponding author. E-mail: octaviomazadc@gmail.com

Last publications:

  • - Cortés, O. M. D., López, O. P., y Coyaso, F. J. R. (2017). Pronta e informal la moda. Discusión sobre la informalidad en el mercado de trabajo de Uriangato, Guanajuato. Cadernos do CEAS: Revista crítica de humanidades, (239), 852-870.

  • - Maza, O. (2014). Estudios sobre el trabajo de la región centro de México. Aguascalientes: Universidad Autónoma de Aguascalientes.

  • - García, A., y Maza, O. M. (2013). El prestigio ocupacional en “La tienda de ropa más grande de México”. Elementos para la estimación del Capital Social en Uriangato, Guanajuato. eMPiRia. Revista de Metodología de Ciencias sociales, (26), 117-148.

c

He is a full-time research professor in the Autonomous University of Aguascalientes. He is a member of the National System of Researchers, level 1. His research lines include: Optimization, Voting systems, Methematical modeling, Dynamic systems, Game theory and Mathematical economics.

Last publications:

  • - Hernández, L., Sánchez, F., and Macías, J. (2013). El concepto de sensibilidad para el caso discreto del problema de reparto de costos de producción. Revista de Matemática: Teoría y Aplicaciones, 20(2), 119-131.

  • - Macías, J., and Olvera, W. (2013) A characterization of a solution based on prices for a discrete cost sharing problem. Economics Bulletin, AccessEcon, 33(2), 1429-1437.

  • - Macías, J., and Olvera, W. (2012). A Nash Equilibrium Solution for the Discrete Two-Person Cost Sharing Problem. Applied Mathematical Sciences, 42(6), 2063-2070.

d

She is PhD student in Applied Sciences and Technology in the Autonomous University of Aguascalientes. Her research lines include: Theory of games, Work, Inequality and poverty.

Last publications:

  • - Maldonado, G., Pinzón, Y., and Ortiz, D. (2018). Brand Equity and Business Performance in Family and Non- Family Mexican Small Business. International Journal of Business and Management, 13(10), 182-191. DOI: 10.5539/ijbm.v13n10p182

  • - Maza, O., y Ortiz, D. (2017). Los atípicos trabajos y los atípicos empresarios. En E. Belmont, y J. C. Villa (Coords.). El quehacer de la Universidad ante los problemas complejos (pp. 233-253). México: Universidad Nacional Autónoma de México. Recuperado de http://www.librosoa.unam.mx/handle/123456789/1821

  • - Maza, O., Pasillas, O., and Ortiz, D. (2017). New Conflicts in a Traditional Industry: The Case of Garment Industry in the Mexican Bajío. Family business: The development of theory and practice of management, 18(6), 293-303.

Creative Commons License This is an open-access article distributed under the terms of the Creative Commons Attribution License