Introducción
La enfermedad de Alzheimer (EA), se caracteriza fisiopatológicamente por el desarrollo de estrés oxidativo en el cerebro, afectando las neuronas, dañando proteínas, ácidos nucleicos y peroxidación lipídica de los ácidos grasos poliinsaturados de membrana. El exceso de las especies reactivas de oxígeno (ERS) provocan mutaciones en proteínas que inducen el desarrollo de la enfermedad, promoviendo la agregación de placas β-amiloides e hiperfosforilación de la proteína Tau, causando apoptosis de las neuronas. La gamma secretasa escinde proteínas en el dominio transmembrana, sin embargo, mutaciones de esta enzima causan hidrólisis de proteínas precursoras de amiloide, produciendo el péptido β -amiloide (39 a 42 aminoácidos) que adquiere una conformación β -plegada; la acumulación de dicho péptido es el componente principal de las placas seniles, mientras que la acumulación de la proteína Tau forma los ovillos neurofibrilares (Wolfe, 2019; Han y col., 2021; Lonescu-Tucker y Cotman, 2021). Este trastorno es crónico y progresivo, y se identifica por el deterioro de habilidades conductuales y cognitivas (Clementi y col., 2015).
Los compuestos presentes en diferentes plantas presentan propiedades antiinflamatorias y antioxidantes que podrían funcionar en la prevención del daño celular en trastornos neurodegenerativos. Recientes estudios han demostrado que la familia Asphodelaceae, principalmente la especie Aloe, posee actividad inmuno-estimulante, anticancerígena y neuroprotectora (Li y col., 2021b; Mitra y col., 2022; Pasala y col., 2022).
El Aloe vera es una fuente natural de múltiples beneficios, por acción de los compuestos contenidos en la planta (vitaminas, aminoácidos, compuestos fenólicos, enzimas, entre otros), posee más de 70 compuestos bioactivos, que se relacionan con la mejora de la salud al consumirse. Es una planta perenne, suculenta y arbustiva con hojas características, las hojas son verdes triangulares, generalmente carnosas y con espinas en los bordes, que consisten en una epidermis gruesa cubierta por una cutícula que rodea el gel (Maan y col., 2018). Generalmente, de esta especie se utilizan dos elementos, el látex o acíbar y el gel. El látex es una sustancia amarilla exudada por el pericarpio de la hoja, dicha sustancia presenta un olor característico, mientras que el gel o parénquima se localiza en el interior de la hoja, rodeada por el pericarpio de la misma, y generalmente es transparente, viscoso e inodoro (Domínguez-Fernández y col., 2012). Tradicionalmente, el látex se usa como laxante para tratar el estreñimiento, y el gel, por sus efectos antiinflamatorios, se utiliza para tratar problemas relacionados con la piel, además participa en procesos de cicatrización. Actualmente el A. vera se aplica en productos farmacéuticos, cosméticos y elaboración de alimentos funcionales (Majumder y col., 2019).
Los principales fitoquímicos presentes en el A. vera son antraquinonas, naftalenonas, polisácaridos, proteínas, enzimas y ácidos orgánicos, distribuidos en toda la planta, por ejemplo, en el látex, predominan las antraquinonas y antronas, que representan el 30 % de su peso seco y le proporcionan el color amarillo característico, mientras que el gel está constituido en su mayoría por polisacáridos de glucosa-manosa, conocidos como mananos, de los cuales algunos son parcialmente acetilados (acemanano), y corresponden a los predominantes (Maan y col., 2021).
Existen otros compuestos bioactivos presentes en la planta, como la lectina de aloe, aloesina, umbeliferona y esculetina, aloína, aloe-emodina, celulasa, catalasa y superóxido dismutasa (Majumder y col., 2019; Baldi y col., 2020). La aloína, es el glucósido de antrona con mayor presencia en el látex, el cual se transforma en derivados hidroxilados; las antraquinonas son similares a las antronas, pero presentan una cetona adicional en el anillo central (Baldi y col., 2020). De estos compuestos, uno de los que ha tomado gran interés en la investigación es la aloe-emodina, derivada de las antraquinonas, ya que posee numerosas actividades farmacológicas, por ejemplo, se ha reportado efecto antitumoral, antiangiogénesis, antimetástasis, antiinflamatorio y antioxidante (Gao y col., 2021).
Los compuestos contenidos en el A. vera poseen propiedades benéficas cuando son consumidos, por ejemplo, inhiben tumores cancerosos, tienen efecto inmunomodulatorio y disminuyen citocinas proinflamatorias y daño histopatológico en el estómago (Fehrmann-Cartes y col., 2019). La aloe-emodina y aloína inhiben células cancerosas a través de la vía mitocondrial, poseen propiedades homeostáticas, antibacterianas, antiinflamatorias, antioxidantes, y son neuroprotectores (Baruah y col., 2016; Borges-Argáez y col., 2019). La aloe-emodina se ha utilizado en el tratamiento de la enfermedad de Alzheimer, disminuyendo la concentración de malondialdehído, así como la actividad de algunas proteínas catalíticas y transmembranales, y aumentando la presencia de células neuronales y producción de acetilcolina (Presenilina-1, Presenilina-2 y gamma secretasa) (Mijatovic y col., 2005; Wang y col., 2019).
También los compuestos de A. vera presentan inhibición sobre el Factor de Necrosis Tumoral (TNF-α), caspasa-3 y óxido nítrico sintasa, lo que sugiere un efecto protector contra radicales libres que pueden inducir lesiones cerebrales (Farrugia y col., 2019; Pasala y col., 2022). Gran parte de las acciones benéficas que poseen los compuestos se deben al efecto sinérgico que presentan, ya que, difícilmente se pueden encontrar las moléculas libres o puras, por ejemplo, los compuestos fenólicos se unen a moléculas solubles como carbohidratos, proteínas y algunos lípidos, mediante esterificación en el resto carboxílico. Generalmente los fenoles insolubles se unen covalentemente a polímeros, como polisacáridos y ligninas, a través de un enlace éster y se liberan mediante hidrólisis ácida, alcalina o enzimática, sin embargo, en conjunto suelen representar la mayor actividad benéfica (Kumar y col., 2019).
La tecnología de acoplamiento molecular es un método de investigación in silico (modelados o simulaciones obtenidos en biología computacional), utilizado en el descubrimiento y detección de compuestos con funciones farmacológicas. Estudios in silico indican que compuestos antraquinónicos del A. vera poseen propiedades de importancia en la salud como anticancerígena, antiinflamatoria, cardioprotectora, antimicrobiana, inmunosupresora, hepatoprotectora y neuroprotectora (Majumder y col., 2019; Pasala y col., 2022; Bendjedid y Benouchenne, 2023). Esta técnica se basa en el principio “llave y cerradura”, y permite identificar los sitios activos entre el ligando y receptor, obteniendo la conformación adecuada, analizando la estructura de ligando y receptor mediante el uso de software especializado (Li y col., 2021a).
El objetivo de este trabajo fue evaluar la actividad antioxidante del gel de Aloe vera y realizar un estudio in silico para evidenciar el potencial efecto terapéutico de algunos de sus compuestos en la enfermedad de Alzheimer.
Materiales y métodos
Materia prima
Se adquirieron plantas de A. vera (3 años de edad) de mercados en la Ciudad de México, México. Posteriormente, se cortaron las rosetas para obtener las hojas, estas se lavaron con agua y jabón, y se desinfectaron con solución clorada (10 ppm). El gel se extrajo quitando el exocarpio (corteza) de las hojas y se congeló a - 20 ºC para su posterior liofilización y almacenamiento hasta su uso.
Preparación de las muestras
Se prepararon soluciones de 1 mg/mL a 10 mg/mL de gel liofilizado disuelto en metanol (Baker®) al 80 %, pasados por baño ultrasónico (Cole parmer, 8892, EUA) durante 10 min, para la determinación de la concentración mínima inhibitoria (IC50, por sus siglas en inglés: Median Inhibitory Concentration), y se almacenaron en frascos ámbar hasta su empleo (16 h).
Ensayo ABTS
La actividad antioxidante por ABTS (ácido 3-etil benzotiazol-6-sulfónico) se determinó de acuerdo a Leite y col. (2021) con modificaciones. El radical ABTS se obtuvo por reacción de 7 mmol/L de solución ABTS con 2.25 mm/L de persulfato de sodio en oscuridad, almacenado a temperatura ambiente durante 16 h antes de su uso. La solución obtenida se diluyó con agua destilada hasta una absorbancia de 0.700 nm a 0.754 nm. Se utilizaron 50 µL de muestra (1 mg/mL a 10 mg/mL solución de gel) y 250 µL de ABTS diluido; 6 min después se leyó a 754 nm en un lector de microplacas (Thermo Fisher, Multiskan Go, España). Los resultados se expresaron en porcentaje de inhibición (Ecuación 1).
Ensayo DPPH
La actividad antioxidante por DPPH (2,2-difenil-1-picrilhidrazilo) se determinó directamente en microplaca. Se adicionaron 20 µL de muestra con 180 µL de solución metanólica de DPPH (150 µMol/L en metanol: agua en proporción 80:20). Se mezclaron y se dejaron reposar bajo oscuridad durante 40 min. Posteriormente se leyó a una absorbancia de 515 nm en un lector de microplacas (Thermo Fisher, Multiskan Go, España). Los resultados se expresaron en porcentaje de inhibición (Ecuación 1) (Bobo-García y col., 2015).
Radical OH
Para el ensayo del radical hidroxilo se utilizó el método descrito por Li y col. (2008) con modificaciones. Se midieron 50 µL de la muestra y se colocaron en una microplaca de 96 pozos, posteriormente se adicionaron 50 µL de 1, 10-fenantrolina y FeSO4 3 mM. Para iniciar la reacción se añadieron 50 µL de H2O2, la mezcla se agitó e incubó a 37 °C por 60 min. La absorbancia se leyó en un lector de microplacas a 536 nm. Los resultados se expresaron en porcentaje de inhibición (Ecuación 1).
Poder reductor
Las muestras se mezclaron con 2.5 mL de regulador de fosfato de sodio de 200 mmol/L (pH 6.6) y 2.5 mL de ferrocianuro de potasio al 1 %. La mezcla se incubó a 50 °C/20 min. Después de añadir 2.5 mL de ácido tricloroacético al 10 % (p/v), la mezcla se centrifugó a 650 rpm/10 min, el sobrenadante (5 mL) se mezcló con 5 mL de agua desionizada y 1 mL de cloruro férrico al 0.1 %. El poder reductor se midió a 700 nm (Oyaizu, 1986); la obtención de mayor absorbancia significa un mayor poder reductor. Los resultados se expresaron en porcentaje de inhibición (Ecuación 1).
Concentración mínima inhibitoria
Se determinó la concentración mínima inhibitoria (IC50) del gel de A. vera con la ecuación de la recta a partir de los porcentajes de inhibición (ABTS y DPPH) y las actividades relativas (Radical OH y poder reductor) y la concentración del gel de Aloe.
Estimación total de polifenoles
Para la determinación de los compuestos fenólicos de las muestras se añadieron 100 µL del reactivo de Folin-Ciocalteu diluido (1:4) y 75 µL de solución saturada (10 %) de carbono de sodio y agua. Después de 60 min, se midió la absorbancia a 760 nm, previamente se realizó una curva de calibración con ácido gálico (0 mg/mL a 0.1 mg/mL). La concentración de compuestos fenólicos totales se expresó en mg equivalentes de ácido gálico (EAG)/100 g de muestra (Cruzado y col., 2013). Se utilizó la ecuación de la recta para calcular la concentración de las muestras analizadas, los resultados se expresaron en mg EAG/g de muestra liofilizada de gel.
Estimación total de flavonoides
Para la determinación de la concentración de flavonoides se añadieron 50 µL de las muestras a analizar y se agregaron 5 µL de nitrato de sodio al 5 %. Después de 5 min se adicionaron 150 µL de cloruro de aluminio al 10 % y se dejaron reaccionar por 6 min. Pasado el tiempo se adicionaron 500 µL de hidróxido de sodio 1 mM y se añadió agua destilada hasta 5 mL. Los flavonoides se cuantificaron a una longitud de onda de 510 nm contra un blanco. Se utilizó quercetina para la curva estándar y se empleó la ecuación de la recta para calcular la concentración de las muestras analizadas. Los resultados se expresaron como mg equivalentes de quercetina (EQ)/g muestra liofilizada de gel (Nalimu y col., 2021).
Estudio in silico
Para desarrollar el análisis bioinformático se utilizó el programa Rstudio 1.4.2.1, con múltiples paquetes (Geoquery, lima, dplyr, ggplot2, entre otros). Se trabajó con información de la base de datos NCBI Gene Expression Omnibus: GSE138260 (análisis de expresión diferencial de muestras de cerebro humano con enfermedad de Alzheimer frente a muestras de control sanas) con el fin de realizar meta análisis de la expresión de genes en la enfermedad de Alzheimer.
La expresión de los genes se obtuvo aplicando al inicio una normalización robusta con funciones “spline”, posteriormente se determinaron las correlaciones de Pearson para cada muestra y se anotaron los genes participantes en el Alzheimer por expresión diferencial.
Se realizó el análisis jerárquico de los datos mediante la aplicación de clúster y normalización de datos, finalizando con un análisis de enriquecimiento de la anotación de genes definiendo grupos, ajustando el modelo aplicado y contraste de interés, que es una técnica de validación de bases de datos biológicas (Priness y col., 2007).
Acoplamiento molecular
Las estructuras cristalinas de la gamma secretasa (código PDB: 5A63) se obtuvieron del RSCB Protein Data Bank (PDB). Para preparar las estructuras de la simulación del acoplamiento molecular se emplearon los programas Avogadro 1.2.0, AutodockTools 1.5.7 y UCSF Chimera 1.15. Se analizó la solvatación, deprotonación de las proteínas analizadas, y estabilidad de la unión (cambios de pH y cambios de energía) mediante UCSF Chimera para la selección de los ligandos adecuados, obtenidos estos de la literatura científica como presentes en A. vera y registrados en la lista de compuestos del software.
Resultados y discusión
Actividad antioxidante
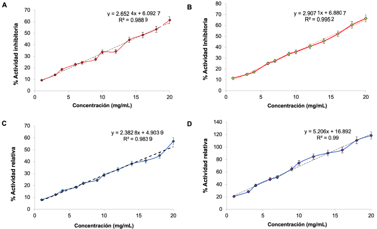
Al aumentar la concentración de las soluciones del gel de A. vera aumentó la actividad antioxidante determinada mediante los ensayos de ABTS, DPPH, Radical OH y poder reductor (Figura 1), lo que explica el mayor porcentaje de inhibición de los radicales estudiados. Dicha actividad se asocia directamente con los compuestos bioactivos presentes en esta especie vegetal, por ejemplo, flavonoides, terpenoides, lectinas, ácidos grasos, antraquinonas, antronas, cromonas, taninos, esteroles, polisacáridos de interés, entre otros. Sin embargo, los compuestos con mayor capacidad antioxidante y antiradical son las antraquinonas, antronas y cromonas, destacando la aloe- emodina, ácido aloético, antranol, aloína A y B, feralolida y ácido cinámico (Hęś y col., 2019; Khan y col., 2022).

Figura 1 Efecto de la concentración de A. vera en la actividad antioxidante inhibitoria y relativa. (A: ABTS, B: DPPH, C: radical OH, D: poder reductor).
El gel presentó porcentajes máximos de inhibición similares para los radicales ABTS y DPPH con valores de 61.35 ± 1.05 y 66.48 ± 0.34, respectivamente (Figura 1A y 1B). La máxima actividad relativa de radical OH fue baja (57.14 ± 0.85) (Figura 1C) comparado con su poder reductor, alcanzando un valor de 118.61 ± 0.32 (Figura 1D). El poder reductor evalúa el efecto combinado de los compuestos antioxidantes no enzimáticos que se encuentran en la planta, indicando la capacidad que tienen de resistir al daño oxidante de los radicales libres (Benítez-Estrada y col., 2020).
Los valores de IC50 del gel A. vera, determinados mediante la ecuación de la recta, representan la concentración del gel (mg/mL) necesaria para obtener el 50 % de actividad inhibitoria y relativa (Figura 1). La concentración IC50 para ABTS fue de 16.553 mg/mL (Figura 1A) y DPPH de 14.832 mg/mL (Figura 1B), en tanto que para radical OH y poder reductor fueron de 18.926 mg/mL y 6.359 mg/mL, respectivamente (Figura 1C y 1D). Los valores de IC50 para ABTS y DPPH en este estudio fueron similares, y semejantes con los de Benzidia y col. (2018), quienes realizaron fraccionamiento por cromatografía en capa fina del gel de A. vera, obteniendo IC50 cercano a 12 mg/mL. Valores bajos de IC50 indican mayor actividad antioxidante de las soluciones analizadas (Hęś y col., 2019).
El valor más alto de IC50 obtenido fue para el radical OH, mostrando que es necesario mayor concentración del gel para inhibir los sustratos oxidantes presentes (Tariq y col., 2019). El valor más bajo se obtuvo para inhibir el hierro activo, mediante la determinación del poder reductor del gel.
Análisis del contenido de polifenoles y flavonoides
El contenido de polifenoles disueltos incrementó al aumentar la concentración, obteniéndose un máximo de 7.07 ± 0.05 mg EAG/100 g de gel liofilizado (Figura 2A).
El gel contiene 3 tipos principales de polifenoles, antraquinonas, antronas y cromonas. El compuesto fenólico que destaca es aloe- emodina, cuyo consumo se relaciona con un efecto antiinflamatorio por la disminución de la producción de citocinas proinflamatorias como el factor de necrosis tumoral e interleucina-1 (Akhtar y col., 2020). Además, disminuye la producción de óxido nítrico, IL-6 e IL-1β, la fosforilación de ERK (quinasa), de proteína 38 y JNK (quinasa) (Dong y col., 2019). También, los polifenoles contenidos en el gel al consumirse son liberados y metabolizados en el intestino grueso (colon) por la microbiota, produciendo metabolitos con funciones neuromodulares y neurotransmisoras como glutamato, ácidos grasos de cadena corta, aminas biogénicas, serotonina, dopamina, histamina, homocisteína, ácido gamma aminobutírico y triptófano (Pluta y col., 2020).
Martin y col. (2017) mencionaron que, una dieta suplementada con gel de A. vera mejora el aprendizaje y memoria de personas con Alzheimer, regulando el factor de crecimiento derivado del cerebro (BNDF, por sus siglas en inglés: Brainderived neurotrophic factor).
El contenido de flavonoides (Figura 2B) presentó un comportamiento similar al del contenido de polifenoles. Al aumentar la concentración incrementó su contenido hasta 744.81 ± 0.31 mg EQ/100 g de gel liofilizado.
El gel contiene principalmente flavonoles, un tipo de flavonoide con actividad antioxidante, que disminuyen los procesos inflamatorios por la inhibición de la producción de óxido de nitrógeno (NO) (Gebashe y col., 2019). Añibarro-Ortega y col. (2019) reportaron diversas antronas y antraquinonas, como aloína A, aloína B, ácido clorogénico, ácido p-cumárico, apigenina-6-glucósido, apigenina-7-glucósido, emodina, entre otros. Cabe destacar que el contenido de compuestos antioxidantes varía dependiendo de la edad de la planta, cuando se llevan a cabo los análisis correspondientes y factores ambientales donde se desarrolla la planta, nutrientes, clima, zona geográfica, entre otros factores (Ozsoy y col., 2009).
El análisis de correlación de Pearson determinó que los polifenoles y flavonoides obtuvieron asociaciones positivas con los valores de inhibición de actividad antioxidante, pero las correlaciones de los polifenoles fueron mayores a las de los flavonoides (Tabla 1), lo que sugiere mayor participación en la actividad antioxidante.
Análisis de expresión de genes en la enfermedad de Alzheimer
En la Figura 3 se observa la expresión de 39 genes que participan en la enfermedad de Alzheimer. Se indican por grupo control (personas sanas) y grupo problema (muestras de cerebros humanos con enfermedad de Alzheimer) (Nitsche y col., 2021). Los genes de las personas con Alzheimer presentan correlaciones positivas, mientras que en las personas control obtienen correlaciones negativas. Los dendogramas obtenidos con base en la expresión de los genes forman dos conjuntos. En la Figura 3 se aprecian los grupos de cerebros de personas con Alzheimer, uno con alta correlación positiva (lado izquierdo, con coloraciones amarillas a rojizas predominantes) y otro con correlaciones cercanas a 0 (lado derecho). El tercer grupo es el control (al centro y primeras dos columnas del lado derecho) que presentan correlación negativa y se observan con coloraciones azules predominantes. La diferencia en el tipo y grado de correlación se asocia con el hecho de que la enfermedad de Alzheimer se desarrolla de diferente manera en las personas, los síntomas varían mucho, y la expresión de genes puede ser distinta de persona a persona (Soria-Lopez y col., 2019).

Figura 3 Expresión de 39 genes principales en grupos de personas con Alzheimer. Los números de acceso GSM4103849 - GSM4103865 corresponden a personas con la enfermedad (presentan correlaciones positivas y se aprecian con tendencia a colores amarillos y rojos). Los números de acceso GSM4103866 - GSM4103884 son de pacientes control (presentan correlaciones negativas y se aprecian con tendencia de coloraciones azules; columnas centrales y las dos primeras del lado derecho).
Los genes C14orf135, PAR4, SLC4A9, KLK8, CASP1, OR7C1, CD207 y PDE4A son los que presentaron mayor correlación en el presente estudio (datos no mostrados), en el grupo de personas con Alzheimer, relacionados con la pérdida de memoria. Dentro de este grupo destaca el gen C14orf135 asociado con la expresión de proteínas transmembranales, de las cuales, una de las principales es la gamma secretasa, cuya actividad modificada se relaciona con la enfermedad (Wang y col., 2019).
Análisis de enriquecimiento
El análisis de enriquecimiento de los genes que se expresan en la enfermedad de Alzheimer se muestra en la Figura 4, en la cual se observa que existen genes que se relacionan entre sí por compartir expresiones proteicas y rutas bioquímicas. FAM47A, una familia de genes que codifica proteínas durante la mitosis, se asocia negativamente con C14orf153 (citocromo c oxidasa), es decir, al expresarse FAM47A disminuye C14orf153. Además, se relaciona positivamente con UNC93B1 (asociado con la respuesta inmune) y DCDC1 (regulación de polimerización de microtúbulos) (Ji y col., 2016). C18orf2 (gen promotor) se relaciona positivamente con DCD1, TUB6GCP5 y UNC93B1, y negativamenre con C14orf153. C18orf2 regula la expresión de proteínas asociadas con la polimerización de microtúbulos (Vuoristo y col., 2001). El conjunto de genes PAR4, DCDC1 y TUB6GCP5 se relacionan positivamente con la mitosis de las células y se encuentran sobreexpresados en el hipocampo en pacientes con Alzheimer (Guo y col., 1998).
Acoplamiento molecular
Para el acoplamiento molecular se seleccionó la proteína transmembranal gamma secretasa, expresada por los genes de la familia C14orf153, que en el presente estudio se identificó como un gen de interés. Esta familia de genes participa en la síntesis del péptido beta-amiloide, cuyo incremento se ha asociado con la presencia de placas amiloides relacionadas con el desarrollo de Alzheimer (Schmidt y col., 2022).
El acoplamiento molecular se utiliza para predecir la actividad de ligandos hacia una proteína o un objetivo de interés (Pinzi y Rastelli, 2019). De los 8 ligandos, seleccionados con mayor estabilidad, presentes en el A. vera (Tabla 2), la aloe-emodina resultó adecuada para el acoplamiento. Los demás ligandos no fueron resistentes a la solvatación, cambios de pH, o cambios de energía que presentan estos compuestos cuando pasan a través del sistema digestivo.
Tabla 2 Compuestos analizados en el acoplamiento molecular.
| Compuesto | Tipo | Condición resistente |
|---|---|---|
| Aloína | Antraquinona | Cambios de pH, cambios de energía |
| Aloe-emodina | Antraquinona | Cambios de pH, cambios de energía |
| Acemanano | Polisacárido | No resistente |
| Isoaloresina | Antraquinona | No resistente |
| Aloe barbadendol | Antraquinona | No resistente |
| Ácido cinámico | Antraquinona | No resistente |
| Galactano | Polisacárido | No resistente |
| Ácido aloético | Antraquinona | No resistente |
La aloína es una antraquinona abundante en el A. vera, que presenta una unidad de glucosa en su estructura, por ello las bacterias del intestino delgado hidrolizan el enlace glucosídico, convirtiendo la aloína en aloe-emodina (Yang y col., 2022).
Durante el análisis in silico se obtuvieron 7 acoplamientos estables entre aloe-emodina y gamma secretasa, en los que, los aminoácidos histidina, valina, alanina y prolina participaron activamente en la unión, ya que se encuentran en mayor frecuencia en las uniones analizadas. En la Tabla 3 se observa que los acoplamientos 3 y 6 presentaron las menores energías de acoplamiento (- 4.12 y - 4.13, respectivamente), y constantes de inhibición bajas (< 1 mM). La energía libre de unión representa la afinidad que poseen un compuesto con capacidad inhibitoria con el sitio activo de unión presente en la proteína de interés, a menor energía de unión mayor afinidad y mejor será el acoplamiento (Meneses y Cuesta, 2015).
Tabla 3 Parámetros fisicoquímicos del acoplamiento de aloe-emodina y gamma secretasa.
| Acoplamiento | Energía libre de unión | Constante de inhibición estimada |
|---|---|---|
| 1 | - 3.75 kcal/mol | 1.78 mM |
| 2 | - 3.71 kcal/mol | 1.92 mM |
| 3 | - 4.12 kcal/mol | 959.6 µM |
| 4 | - 3.54 kcal/mol | 2.55 mM |
| 5 | - 3.81 kcal/mol | 1.62 mM |
| 6 | - 4.13 kcal/mol | 944.06 µM |
| 7 | - 3.78 kcal/mol | 1.69 mM |
La Figura 5 muestra los 7 acoplamientos estables para gamma secretasa. Se puede apreciar la existencia enlaces de hidrógeno, C-H,

Figura 5 Acoplamiento molecular de aloe-emodina y gamma secretasa. Aminoácidos: histidina (HIS), alanina (ALA), arginina (ARG), valina (VAL), serina (SER), prolina (PRO), glutamina (GLN), glutamato (GLU), aspartato (ASP), fenilalanina (PHE). Las letras A y B significan la cadena polipeptídica de gamma secretasa a la que pertenecen los aminoácidos; el número adyacente indica la posición en la cadena.
Los resultados obtenidos sugieren que A. vera podría funcionar como candidato a fármaco para el tratamiento de la enfermedad de Alzheimer, por su actividad antioxidante, correlación positiva de los polifenoles y flavonoides con la actividad antioxidante, y la unión de aloe-emodina con gamma secretasa.
Conclusiones
El gel de A. vera posee actividad antioxidante, inhibiendo los radicales ABTS y DPPH, además, de actividad contra radicales OH y capacidad de reducción de hierro, por lo que se podría utilizar como tratamiento contra cierto tipo de enfermedades que involucren generación de radicales libres. La capacidad antioxidante, se relaciona directamente, con las altas concentraciones de polifenoles y flavonoides presentes en el gel, los cuales se asocian directamente con la inhibición de radicales libres (Radical OH). El estudio in silico demostró que la enfermedad de Alzheimer presenta mayor expresión de genes que codifican proteínas transmembranales, como gamma secretasa relacionada con la formación de las placas seniles presentes. El acoplamiento estable aloe-emodina-gamma secretasa, sugiere que podría funcionar como coadyuvante farmacéutico en el tratamiento de la enfermedad de Alzheimer, en caso de actuar como inhibidor de su actividad.










nueva página del texto (beta)




