Introducción
El origen del término moderno de paisaje (principios del siglo XIX) se le atribuye a Alexander von Humboldt, cuya perspectiva nace asociada al romanticismo, interpretándose desde dos vertientes, la científica (naturalista) y la artística (literaria, pictórica). Esta nueva visión superaba, ya entonces, las diferencias de enfoques, donde, para unos, primaba la dimensión sentimental y comprensiva y, para otros, la dimensión racional y explicativa. De forma que este nuevo planteamiento aúna “ciencia y arte, razón y sentimiento, explicación y comprensión, para entender cabalmente el paisaje, con sus rasgos visibles y sus cualidades invisibles” (Ortega, 2010). De esta manera, se concibe el paisaje desde el entendimiento artístico (las percepciones) y la exactitud científica (perspectiva naturalista). Sin embargo, el paisaje se ha concebido con distintas acepciones y estudiado desde varias disciplinas, como la Geografía y la Ecología (Poveda, 2016; López-Contreras y col., 2019), entre otras, adoptando aproximaciones conceptuales más científicas, unas, o perceptuales, otras.
La calidad visual del paisaje retomó importancia desde la perspectiva aplicada de su conservación, gestión y planificación en el Convenio Europeo del Paisaje (Fry y col., 2009; Rosley y col., 2013). En él, se promueve un enfoque integral, teniendo en cuenta su importancia visual, sociocultural y ecológica, asumiendo que el paisaje es un elemento clave en la calidad de vida de las sociedades y en todas las áreas, y que es un recurso que contribuye a la generación de actividades económicas, como el turismo, sobre todo en áreas costeras, que son muy valoradas por este sector y motivan grandes desplazamientos turísticos (Povilanskas y col., 2016; González y Manjarrez, 2018), lo que provoca y acelera su transformación. Por tal motivo, el Consejo de Europa (2000) resolvió la necesidad de su protección, gestión y ordenación.
La calidad visual es el valor, el aprecio o la preferencia que siente un individuo al contemplar un paisaje (de-la-Fuente-de-Val, 2004). Las preferencias hacen referencia a la valoración de la calidad escénica percibida de un paisaje y están fundamentadas en teorías evolutivas y culturales, que indican los motivos de la elección de los humanos por ciertas características del paisaje (Wartmann y col., 2021). Existen ciertas características del paisaje que son universalmente apreciadas, como la naturalidad, la presencia de agua cristalina, la vegetación (Dramstad y col., 2006) y otros elementos histórico-culturales (Barrasa, 2013; López, 2017).
Desde la perspectiva estética-visual, el estudio del paisaje es abordado por la ecología del paisaje mediante el análisis de la organización espacial de la cobertura y el uso del suelo, y cómo esta distribución influye en la percepción del paisaje por parte del observador (de-la-Fuente-de-Val, 2004). Al considerar al paisaje como un proveedor del servicio ecosistémico cultural, relacionado con la contemplación de los espacios naturales, y al ser visualmente un atractivo turístico y un factor primordial del medio ambiente, es que surge la necesidad de realizar múltiples estudios para el monitoreo de su estado y su valoración como recurso, con el fin de conservar y proteger las áreas naturales, y para la planificación de los usos del territorio (Bernáldez, 1985; Martínez-Rodríguez y col., 2021). Además, en la actualidad, se ha reforzado la necesidad de considerar la percepción que las personas tienen por los paisajes para la formulación de políticas y su planificación (Keleş y col., 2018; Nahuelhual y col., 2018; Nogué y col., 2019; Wartmann y col., 2021).
A partir de los años setenta se han propuesto diferentes métodos e indicadores para la evaluación del paisaje (Nogué-I-Font, 1992; Fry y col., 2009; Asensio-Montesinos y col., 2019). La falta de una fundamentación teórica para su análisis sistemático (Arthur y col., 1977; Fry y col., 2009), y la naturaleza subjetiva de los estudios de la percepción del paisaje, dieron como resultado una ausencia de estandarización metodológica en su evaluación visual (Dramstad y col., 2006). Así, se observa en este proceso el surgimiento de dos grandes enfoques para el estudio de su percepción: uno subjetivo, relacionado con la belleza estética, y otro objetivo, relativo a atributos ecológicos (Skrivanova y Kalivoda, 2010; Dos-Santos, 2011; Franch y Cancer, 2017; Fairclough y col., 2018; López-Contreras y col., 2019).
La combinación de ambos, enfoque mixto, permite la reducción de la subjetividad propia del proceso de evaluación visual, haciéndolo así replicable (Dos-Santos, 2011). En las últimas dos décadas, diversos investigadores han proporcionado elementos teóricos para la evaluación visual, relacionando conceptos de estética -subjetivos- y de ecología del paisaje -objetivos- (de-la-Fuente-de-Val y col., 2004; Dramstad y col., 2006; Fry y col., 2009; Sevenant y Antrop, 2009; Tveit, 2009; Ode y Tveit, 2013; Rosley y col., 2013; Zhao y col., 2013; Rosley y col., 2014; Van-Zanten y col., 2016). El uso de indicadores generales, aplicables a distintos tipos de paisaje, ha dado paso a la posibilidad de sistematizar el análisis y la valoración visual (Dramstad y col., 2006).
Sobre la base del enfoque mixto e indicadores generalizables, Fry y col. (2009) abordaron la evaluación del paisaje mediante la vinculación de aspectos estéticos y ecológicos. Establecieron de forma conceptual la correspondencia entre indicadores comunes a ambos ámbitos y propusieron teóricamente indicadores eco-estéticos para determinar dicha relación. Para esto, desarrollaron distintos conceptos, como el de naturalidad y el de complejidad. La naturalidad, desde la estética, hace referencia a la percepción de cuán cerca se encuentra un paisaje a su estado natural, y puede ser evaluado ecológicamente a partir de las etapas de la sucesión ecológica; mientras que, la complejidad, hace referencia a la percepción de los elementos que caracterizan a un paisaje (colores, formas y texturas), y puede ser valorado a partir del número de elementos e índices de diversidad. Éste aporte ha contribuido de manera significativa, ya que permite evaluar aspectos ecológicos y estéticos mediante la percepción, posibilitan la definición de un método estandarizado para la evaluación visual del paisaje, y prometen facilitar la comprensión de los efectos del uso de los paisajes sobre su valor, para una planificación y gestión más adecuada (López-Contreras y col., 2019; 2021).
La evaluación visual, fundamentada en esta nueva base teórica, se ha desarrollado principalmente en paisajes de uso agrícola y forestal, y naturales, como praderas y bosques templados (Dramstad y col., 2006; Ode y col., 2009; Sevenant y Antrop, 2009; Rosley y col., 2013; Van-Zanten y col., 2016). A pesar de dichos esfuerzos, se reconoce la necesidad de aportar evidencia empírica que evalúe la relación teórica entre los distintos indicadores visuales y las preferencias, y que, además, sean desarrollados en distintos contextos y paisajes (Fry y col., 2009; Ode y col., 2009; Sevent y Antrop, 2009; Hoyle y col., 2019; Hedblom y col., 2020).
Existen escasas investigaciones que hayan evaluado la calidad visual del paisaje costero mediante indicadores eco-estéticos, la cual tiene como objetivo conocer si hay una relación entre las preferencias y ciertas características del paisaje; pero existen estudios donde se evalúa la calidad visual de diferentes tipos de paisajes mediante las preferencias. Dentro de las investigaciones que se han realizado para encontrar estas relaciones destaca la de Urbis y col. (2019), quienes elaboraron un estudio para saber qué conceptos eco-estéticos clave determinan el atractivo estético de las dunas costeras y los bosques. Por otro lado, Ode y Tveit (2013) hicieron un estudio en el que tomaron el concepto de gestión para saber si estaba relacionado con la preferencia del paisaje. Igualmente, Frank y col. (2013) realizaron una valoración visual subjetiva del paisaje y otra objetiva, en la que usaron la naturalidad y la diversidad del paisaje como criterios de evaluación, con el fin de detectar si los niveles de abstracción son a decuados para estudios de preferencia y para comparar los resultados del enfoque objetivo (indicadores del paisaje) y el enfoque subjetivo (valoración visual). Ode y col. (2009) exploraron la relación entre la preferencia del paisaje y el nivel de sucesión, número de parches e índice de forma de bordes. De-la-Fuente-de-Val y col. (2004) elaboraron un estudio de preferencias del paisaje y su relación con la estructura del paisaje, utilizando variables como el número de teselas, diversidad, equitatividad y dimensión fractal; y trataron de determinar la relación entre el patrón espacial del paisaje y la calidad estética visual.
El objetivo del presente estudio fue determinar la evaluación visual de la naturalidad y la complejidad del paisaje costero de la isla de Cozumel, México, a través de dos indicadores eco-estéticos: el índice de etapa sucesional y el índice de diversidad de Shannon.
Materiales y métodos
Área de estudio
El estudio se realizó en la zona sujeta a conservación ecológica Parque Ecológico Estatal Laguna Colombia. El parque tiene una superficie de 11.31 km2 y se ubica dentro de la Reserva de la Biósfera Isla Cozumel (MaB-UNESCO), en el municipio de Cozumel, Quintana Roo (Figura 1). La isla tiene clima cálido húmedo Am(f )(i), con lluvias en verano, precipitación media anual de 1 570 mm y temperatura media anual de 25.5 °C (García, 2004). Según los datos de la Secretaría de Marina (SEMAR, 2010), el parque alberga ecosistemas de duna costera, matorral costero, palmares, selva baja caducifolia y manglares. Si bien, estos ecosistemas presentan buen estado de conservación, pueden encontrarse en distintas etapas de desarrollo sucesional, dependiendo de su grado de afectación por el paso de diversos huracanes (Sánchez-Rivera y Gómez-Mendoza, 2020) como Emily y Wilma en 2005, Karl y Alex en 2010, Zeta en 2020 y Grace en 2021, por mencionar algunos.
Selección de indicadores eco-estéticos
Con base en el marco conceptual propuesto por Fry y col. (2009) se eligieron como indicadores la etapa sucesional y el índice de diversidad de Shannon, que relacionan de forma teórica la estructura ecológica con la preferencia estética, dentro de los conceptos de naturalidad y de complejidad, respectivamente, lo que reduce el nivel de subjetividad de la evaluación del paisaje. Por su naturaleza, estos indicadores pueden ser caracterizados en diferentes niveles, de acuerdo con el estado de desarrollo y sus características estructurales apreciables y medibles, criterio primordial para la evaluación (Jacobsen, 2007; Tveit, 2009; Ode y Tveit, 2013; Zhao y col., 2013).
La sucesión ecológica puede definirse como el desarrollo de la vegetación después de sufrir un daño total o parcial, ocasionado por la aparición de un disturbio y su posterior ausencia (Johnson y Miyanishi, 2020). Se trata de un proceso ecológico progresivo, caracterizado por la transición a través de distintas etapas sucesionales hasta alcanzar la condición de vegetación madura (Johnson y Miyanishi, 2020). Estas etapas se distinguen por la presencia de ciertas características propias de cada sistema.
Basándose en el indicador etapa sucesional, en este estudio se seleccionaron sitios a través de un muestreo a juicio, de acuerdo con la experiencia de tres expertos en ecología de comunidades vegetales y vegetación costera del Laboratorio de Ecología de Plantas de la Universidad de Quintana Roo y del Herbario del Centro de Investigación Científica de Yucatán. La selección se realizó con base en criterios que indican su grado de desarrollo; bióticos, como la composición de especies y de formas de crecimiento, dominancia relativa, y estructura fisonómica de la comunidad vegetal (Flores y Espejel, 1994; Vermont, 2002); y abióticos, como la altura de la duna y el color de la arena (Tabla 1), que son además características informativas del estado de desarrollo y conservación (Flores y Espejel, 1994; Moreno-Casasola, 2004). Cada uno de los sitios fue clasificado en cuatro etapas sucesionales (S-1, S-2, S-3 y S-4, de menor a mayor desarrollo), que posteriormente fueron fotografiadas.
Tabla 1 Criterios bióticos y abióticos considerados para la definición de las etapas sucesionales de la duna costera.
| Subunidad | Composición | Estructura | Forma de vida | Altura duna | Color arena |
|---|---|---|---|---|---|
| 1 | Canavalia rosea (Sw.) DC., Digitaria insularis (L.) Mez ex Ekman, Euphorbia paralias L., Ambrosia hispida Pursh | Baja (20 cm a 90 cm) | Dominancia de herbáceas vs arbustivas | Baja (menor a 2 m) | Blanca (clara) |
| 2 | Tournefortia gnaphalodes (L.) R.Br. ex Roem. & Schult, Suriana maritima L. | Mediana baja (50 cm a 150 cm) | Dominancia de arbustivas vs herbaceas | Mediana (2 m y 3 m) | Blanca (clara) |
| 3 | Tournefortia gnaphalodes | Alta (150 cm a 200 cm) | Arbustivas | Alta (mas de 3 m) | Marron (obscura) |
| 4 | Thrinax radiata Lodd. ex Schult. & Schult.f. Tournefortia gnaphalodes, Suriana maritima | Muy alta (mas de 2 m) | Arbustivas | Alta (mas de 3 m) | Marron (obscura) |
Diversidad de especies
Para el cálculo del índice de diversidad observado en cada fotografía, se utilizó el método propuesto por McGarigal y Marks (1995), que utiliza el índice de diversidad de Shannon Wiener (Marrugan, 1988) aplicado al cálculo de la diversidad en imágenes. El método propone el uso de una retícula de tamaño dado (en este estudio se utilizó una retícula de 24 x 36 cuadros), que se coloca sobre la fotografía, y a partir de la cual se contabiliza la cantidad de cuadros que ocupa la especie observada en la imagen. Se considera que una especie ocupa uno de los cuadros cuando al menos abarca el 50 % de este; a partir del número de especies (riqueza de especies), y el número de cuadros que cubren las especies observadas en la escena (cobertura). De esta manera, la riqueza vista en la imagen resulta ser una interpretación del componente composición, mientras que la cobertura, es una interpretación del componente estructural de la imagen (McGarigal y Marks, 1995). El cálculo de la diversidad se realizó a través de la siguiente fórmula:
Donde:
H’ = índice de Shannon-Wiener.
S = número total de especies (riqueza de especies).
ni = Número de individuos de la especie i.
N = Número de total de individuos observados.
Captura de escenas
Una vez seleccionados los sitios se procedió a fotografiarlos. Se tomaron 80 fotografías de los sitios que tenían las características determinadas por los indicadores (20 de cada sub-unidad identificada) del paisaje costero del Parque Punta Sur durante el periodo comprendido entre el 1 de septiembre y el 28 de octubre de 2015, en horario entre las 9:00 am y las 12:00 pm, cuidando tener el sol en la parte frontal de la escena. Fueron obtenidas en días con condiciones climáticas y de nubosidad similares, aunque esto no impide que la nubosidad pueda aparecer en algunas fotos, lo importante es que no se vean obscuras o a contraluz. Las fotografías fueron realizadas por el grupo de investigadores, apoyados en uno de ellos con experiencia en la toma de fotografías, con una cámara marca Canon, modelo EOS Rebel T3i EF-S 188-55 IS II (Pensilvania, Estados Unidos). Para evitar que la preferencia de alguna fotografía se viera influenciada por la presencia de algún rasgo sobresaliente presente en las mismas pero ajeno al paisaje mismo, las fotografías se hicieron homogéneas entre sí, cuidando lo más posible aspectos como nubosidad, cantidad de cielo captado, presencia de personas o elementos antrópicos y efectos de la luz (Barrasa, 2013). Los sitios donde se fotografiaron las escenas del paisaje se referenciaron con un GPS marca Ashtech, modelo Mobile Mapper 10 (Carquefou, Francia).
Elaboración y aplicación de la prueba o test de fotos para determinar la preferencia
Para evaluar la preferencia se seleccionaron cuatro fotos por cada una de las cuatro etapas sucesionales (S1, S2, S3 y S4), con las que se elaboró el test de fotos. Las 16 imágenes que integraron el test de fotos fueron similares en términos de iluminación, efectos de luz y proporción de cielo en la escena (Figura 2). Las fotografías fueron colocadas en una diapositiva con fondo negro para su posterior proyección aleatoria a los observadores.
Dados los objetivos del estudio, el muestreo fue no probabilístico por conveniencia, que consistió en encuestar a los sujetos que estuvieron a disposición. Previo a la realización de la prueba, únicamente se solicitó a cada observador que otorgara un puntaje a la fotografía proyectada, de acuerdo con su preferencia o gusto, sin explicarles los atributos que motivaron la elección de cada escena para conformar el test. Así, la prueba consistió en la exposición de cada fotografía (Santos y col., 2011), y la inmediata puntuación de cada una por parte del encuestado, de acuerdo con la belleza escénica percibida. Cada fotografía se proyectó durante 8 s.
La prueba se aplicó en una sala cerrada a 152 adultos jóvenes habitantes de la isla de Cozumel. En total se conformaron 5 grupos de 19 observadores, y 3 grupos de 20; 3 encuestas fueron eliminadas debido a que en ellas no se evaluaron todas las fotografías. La encuesta se estructuró con una escala de Likert de cinco puntos, donde 1 correspondió al valor para el paisaje menos preferido (Muy feo), y 5 para el más preferido (Muy bello). Cada persona encuestada registró también sus datos individuales (edad y género) para tener el perfil sociodemográfico de la muestra.
Análisis de la diversidad
Con la finalidad de evaluar la existencia de diferencia entre los valores de la diversidad presentada entre las etapas sucesionales, se realizó una prueba de contraste entre grupos. Para verificar el cumplimiento de los supuestos generales de la prueba de contraste paramétrica (distribución normal, varianzas homogéneas de los datos, independencia de residuales), se realizaron las pruebas de Shapiro-Wilks para la verificación de los supuestos de normalidad de los datos (distribución normal), de Barlett para la comprobación homocedasticidad (igualdad de varianzas); así como la verificación de la distribución de los residuales de los datos (gráfico de residuales). Para esto se utilizaron los programas R-project v3.3.3 (R Core Team, 2017) y RStudio v1.0.136 (RStudio Team, 2015), con el uso de stats v3.3.3 y ggplot2 v3.3.0 (Wickham, 2009; R Core Team, 2017).
Dado que los datos no cumplieron con los supuestos, se analizaron con pruebas no paramétricas. El contraste entre los valores de diversidad por etapa sucesional, se realizó con los programas R-project v3.3.3 (R Core Team, 2017) y RStudio v1.0.136 (RStudio Team, 2015), con la prueba de Kruskal-Wallis, y las post hoc, mediante PMCMR (Pairwise Multiple Comparisons of Mean Rank Sums) y dplyr packages (Wickham, 2011; Pohlert, 2014), respectivamente.
Análisis de la relación entre preferencia e indicador eco-estético
La relación entre las preferencias y los indicadores de etapa sucesional y de diversidad, se analizó mediante el coeficiente de Spearman (Pérez-Tejeda, 2008), con el Paquete estadístico para ciencias sociales (SPSS, por sus siglas en inglés: Statistical Package for the Social Sciences) versión 26.
Resultados
Diversidad de especies
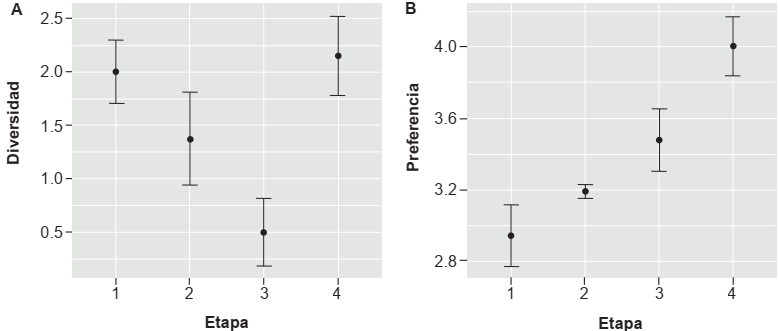
La diversidad mostró ser estadísticamente diferente entre las etapas sucesionales (P < 0.01). Las etapas 1 y 4 tuvieron mayor diversidad que la etapa 3 (P < 0.05) (Tabla 2). Las etapas 1, 2 y 4 no presentaron diferencias estadísticamente significativas (P < 0.05), como tampoco la presentaron las etapas 2 y 3 entre sí (Figura 3A).
Tabla 2 Valores de la preferencia medida y la diversidad de cada foto. Los valores de preferencia se miden en una escala de 1 a 5. La diversidad se evaluó con la fórmula de Shannon-Weaver.
| Etapa sucesional |
Foto ID* |
Preferencia promedio /Etapa |
Diversidad | Diversidad promedio /Etapa |
|---|---|---|---|---|
| 1 | 12 | 2.809 | 2.3 | |
| 11 | 3.184 | 1.7 | ||
| 1 | 5 | 2.836 | 2.2 | |
| 1 | 2 | 2.954 | 1.8 | |
| 1 | 2.946 ± 0.17 | 2 ± 0.294 | ||
| 2 | 3 | 3.197 | 1.2 | |
| 2 | 6 | 3.151 | 1 | |
| 2 | 1 | 3.243 | 1.3 | |
| 2 | 7 | 3.184 | 2 | |
| 2 | 3.194 ± 0.038 | 1.375 ± 0.435 | ||
| 3 | 4 | 3.678 | 0.4 | |
| 3 | 9 | 3.276 | 0.7 | |
| 3 | 8 | 3.408 | 0.8 | |
| 3 | 16 | 3.559 | 0.1 | |
| 3 | 3.48 ± 0.175 | 0.5 ± 0.316 | ||
| 4 | 15 | 4.099 | 1.7 | |
| 4 | 13 | 4.132 | 2 | |
| 4 | 10 | 4.026 | 2.4 | |
| 4 | 14 | 3.763 | 2.5 | |
| 4 | 4.004 ± 0.167 | 2.15 ± 0.369 |
*ID: hace referencia al código de identificación de la fotografía.
Relación entre preferencia e indicador eco-estético
De las 152 encuestas aplicadas a residentes de la isla de Cozumel, el 52.63 % correspondieron a hombres, y el 47.36 % a mujeres. En cuanto a la edad, el 48.68 % tenían entre 18 a 22 años; el 43.42 % entre 23 y 27; y el 7.89 % entre 28 y 31 años.
En cuanto a la relación entre preferencia y etapa sucesional, correspondiente al concepto de naturalidad, el análisis de correlación de Spearman evidenció una relación fuerte, directa, positiva (Figura 3B) y estadísticamente significativa (P < 0.05).
Respecto a la relación entre preferencia y diversidad (Shannon-Weaver), correspondiente al concepto de complejidad, el análisis de correlación de Spearman mostró que los valores no presentaban una relación significativa (P < 0.05).
Discusión
En cuanto a la relación observada entre la preferencia y la naturalidad del paisaje, medida a través de las etapas sucesionales, los resultados confirman la propuesta teórica de relación directa y positiva. La relación entre la preferencia y la naturalidad del paisaje está soportada en la teoría de la biofilia, que tiene una base evolutiva, en la que se sugiere que los seres humanos van a preferir los paisajes más naturales, ya que el ser humano tiene una necesidad arraigada de estar en contacto con la naturaleza (Schiebel y col., 2022).
Para el caso del paisaje costero evaluado, la naturalidad mostró tener una fuerte contribución a la formación de las preferencias. El grupo de fotografías menos preferidas correspondió con la primera etapa sucesional (S-1), etapa caracterizada por la presencia de plantas herbáceas y una comunidad vegetal con una estructura vertical más sencilla en comparación con las etapas sucesionales más avanzadas (1 sólo estrato versus 2 o más estratos respectivamente). Dicho resultado sugiere que los encuestados interpretaron que la etapa sucesional más avanzada (S-4) es la más natural.
La información obtenida muestra la importancia del indicador nivel de sucesión en la formación de la preferencia y apoya la relación teórica entre los campos visual y ecológico, propuesta por Fry y col. (2009) para el concepto de naturalidad. La preferencia hacia la vegetación o los espacios más naturales ha sido confirmada en la mayoría de los estudios de percepción del paisaje (Purcell y Lamb, 1998; DeGroot y van-den-Born, 2003; Ode y col., 2009; Junge y col., 2015; Martínez y Timaran, 2016; Pastorella y col., 2017; Hoyle y col., 2019; Wojnowska-Heciak, 2019), sobre todo por paisajes verdes y arbolados, así como con presencia de agua limpia y clara, como paisajes con ríos, lagunas en buen estado de conservación (de-laFuente-de-Val, 2004; Schüpbach y col., 2021).
La naturalidad tiene importancia, tanto en el valor ecológico como en el estético (Fry y col., 2009; Ode y col., 2009). La preferencia por la naturalidad ha sido corroborada por distintos estudios realizados en paisajes forestales y agrícolas, como el trabajo de Ode y col. (2009), quienes exploraron la relación entre las preferencias de un paisaje forestal y de praderas y tres indicadores de naturalidad. En sus resultados mostraron un vínculo fuerte entre la preferencia, el nivel de sucesión y el número de parches. De igual manera Zhao y col. (2013), hicieron un estudio en el que relacionaron las preferencias del paisaje del espacio verde de las ciudades de Hangzhou y Suzhou, (China) con 10 indicadores visuales; encontraron entre sus resultados una asociación fuerte entre la preferencia y la naturalidad del paisaje. También Junge y col. (2015) desarrollaron una investigación sobre preferencias en paisajes agrícolas típicos de las tierras bajas de Suiza, hallando una fuerte correlación entre la preferencia y la naturalidad. Estos trabajos realizados en ambientes distintos al costero, como es el presente caso, también mostraron una relación directa y positiva entre la preferencia y la naturalidad, lo que lleva a pensar que la naturalidad es un elemento fundamental en las preferencias, independientemente del paisaje en el que se lleve a cabo el estudio.
Por otro lado, el índice de diversidad no mostró una correlación estadísticamente significativa con la preferencia. Se observó que las preferencias, tanto las altas (etapa 4) como las bajas (etapa 1) (Figura 3B), no corresponden con valores mayores o menores de diversidad (Tabla 2). Dicho resultado sugiere que, en el caso de esta investigación, la complejidad medida a través del índice de diversidad de Shannon, no tiene influencia directa en la preferencia del paisaje costero evaluado. También en el trabajo publicado por de-la-Fuente-de-Val y col. (2004), en otro ecosistema, se ha mostrado la ausencia de relación entre las preferencias del paisaje y la diversidad. Sin embargo, en algunos estudios, realizados en otros ecosistemas, se han encontrado correlaciones directas, positivas y significativas entre las preferencias por los paisajes que los identifican y la diversidad que muestran en la escena (Kaplan y Kaplan, 1989; Dramstad y col., 2006; Karasov y col., 2020). Al respecto, el trabajo elaborado por Dramstad y col. (2006), acerca de las preferencias por paisaje de cultivos cerealistas, prados, entorno rural con edificaciones y bosques, se encontró asociación entre las preferencias de los estudiantes y la diversidad, pero en el caso de lo población local no se dio la relación. Igualmente, en una investigación de Zhao y col. (2013) se observó una relación fuerte, directa y positiva entre el paisaje y la diversidad, medida a través del número de elementos en el paisaje. Estas diferencias en las preferencias pueden deberse a que las personas prefieren paisajes más diversos cuando presentan cierto orden en su estructura; en ese sentido, usualmente un paisaje muy diverso, pero sin armonía es poco preferido (de-la-Fuente-de-Val y col., 2004; Häfner y col., 2018). En otros estudios también se registraron referencias a la legibilidad y la funcionalidad de la vegetación en el paisaje, como un factor condicionante de las preferencias, así como la edad y el nivel educativo (Bernáldez, 1985; López-Santiago, 1994).
La evaluación visual del paisaje es criticada en ocasiones debido a su subjetividad, ya que carece de un marco teórico fuerte que la sustente (Fry y col., 2009). En este sentido, diversos investigadores han intentado darle un soporte teórico y, de esta manera, robustecer su método de análisis (López-Contreras y col., 2019). Para esto han propuesto una serie de indicadores eco-estéticos basados en las teorías de las preferencias, que buscan relacionar el enfoque estético y el ecológico del paisaje, y con esto obtener los criterios que faciliten su evaluación objetiva en términos humanos y ecológicos (Fry y col., 2009).
En general, la naturalidad es un atributo que los seres humanos prefieren, y en el caso del paisaje costero, resultó adecuado evaluarlo con un enfoque mixto, con el uso del indicador de nivel de sucesión (indicador objetivo), para conocer la relación entre la naturalidad y las preferencias de los individuos, ya que el paisaje costero tiene marcadas etapas de desarrollo sucesional que las personas pudieron diferenciar e interpretar en la escena a través de sus elementos y su estructura. Desde el punto de vista de la gestión del turismo en espacios naturales, el nivel sucesional de la vegetación terrestre puede contribuir a la planificación de la visita, apoyando la elaboración de circuitos con mayor belleza escénica y, en caso necesario, dar una explicación apropiada sobre proceso de deterioro de la zona (de-la-Fuente-deVal y col., 2004). De igual forma, puede ser útil en los programas de monitoreo para la conservación de espacios naturales de interés turístico, ya que puede servir para evaluar las consecuencias del cambio en la calidad visual del paisaje (belleza). Sin embargo, es importante resaltar que no todos los indicadores ecoestéticos propuestos en el marco conceptual común describen de forma clara la preferencia de los individuos, tal es el caso del concepto complejidad medida a través de la riqueza y la diversidad de especies, debido a que es uno de los que pueden ser difíciles de decodificar para el observador (de-la-Fuente-deVal y col., 2004). El conocimiento a priori del ambiente no siempre determina la preferencia del observador. Si bien, puede influir en las preferencias hacia ciertos paisajes, existen otros elementos de este que pueden finalmente determinar la predilección hacia estos (zonas montañosas, áreas arboladas, estructura vegetal ordenada, agua transparente, ríos, palmeras, entre otros) (Dramstad y col., 2006).
Conclusiones
En el paisaje costero estudiado, el indicador de etapa sucesional (perteneciente a la dimensión de naturalidad), tuvo una influencia directa en la construcción de las preferencias de los individuos, por lo que puede ser usado para la evaluación de la belleza del paisaje costero y para determinar cómo afecta el cambio de las cualidades del paisaje en la preferencia. Por otro lado, es importante plantear procesos de educación a las poblaciones (locales y visitantes) sobre la importancia de ciertos ecosistemas presentes en los paisajes costeros que, pese a no presentar altos valores estéticos, sí tienen alto valor ecológico. Finalmente, se deben seguir desarrollando los indicadores visuales del paisaje para tratar de encontrar el trasfondo que se encuentra detrás de cada construcción mental y su relación con los valores naturales del paisaje. Es difícil considerar una propuesta única y válida de manera universal y, por lo tanto, aún es limitada la evidencia empírica que fortalezca el desarrollo del campo conceptual común entre la estética del paisaje y la ecología, de forma que se considera necesario un mayor número de investigaciones que aporten evidencia sobre cuáles de los indicadores eco-estéticos son más apropiados y confiables.










nueva página del texto (beta)






