Introducción
Uno de los aspectos más importantes para las instituciones educativas es la formación integral de los estudiantes y, por ello, un eje rector es consolidar el modelo educativo y curricular centrando el método didáctico en el aprendizaje y fortaleciendo los contenidos, orientaciones y componentes comunes y propios del proyecto académico (Universidad Autónoma Chapingo [UACh], 2010). En el proceso de enseñanza-aprendizaje es primordial conocer los estilos de aprendizaje (EA) que poseen los alumnos, ya que este conocimiento sirve como una referencia para pensar en el diseño de ambientes de aprendizaje donde se utilicen estrategias didácticas que aborden la forma de aprendizaje y que propicien el aprender a aprender (Esquivel, González y Aguirre, 2013).
El término EA se ha analizado minuciosamente. Derivado de este proceso, la palabra estilo se ha definido como un conjunto de aptitudes, preferencias, tendencias y actitudes que tiene una persona para hacer algo y que se manifiesta a través de un patrón conductual y de distintas destrezas (García, Santizo y Alonso 2009). Por su parte, el aprendizaje es el proceso de adquisición de una disposición, relativamente duradera, para cambiar la percepción o la conducta como resultado de una experiencia (Alonso, Gallego y Honey, 2007). El aprendizaje académico tiene características como la autonomía, la motivación intrínseca, el autocontrol, la autodirección y la autorregulación de la actividad de los estudiantes y permite fomentar la reflexión; también promueve el uso activo y efectivo del conocimiento del producto a través del aprendizaje formal, pero también no formal, y permite a los estudiantes implementar capacidades de orden superior en el uso de los conocimientos adquiridos (Magdalena, 2015). García et al. (2009), tomando en consideración varios conceptos previamente publicados, han definido los EA de la siguiente forma:
Los rasgos cognitivos, afectivos y fisiológicos de preferencias por el uso de los sentidos, ambiente, cultura, psicología, comodidad, desarrollo y personalidad que sirven como indicadores relativamente estables de cómo las personas perciben, interrelacionan y responden a sus ambientes de aprendizaje y a sus propios métodos o estrategias en su forma de aprender (p. 4).
Otros autores también han hecho una extensa búsqueda para definir este término (Ortiz y Canto, 2013) y la han aplicado a diferentes situaciones, incluyendo un tema obligatorio de actualidad como es el aprendizaje a distancia (Costa, Souza, Valentim y Castro, 2020).
Un documento que ha fundamentado ampliamente los EA es el de Gallego (2004), donde describe minuciosamente teorías como la de la cebolla, que incluye el concepto de aprendizaje por estratos: el primero es la preferencia instruccional y los ambientes de aprendizaje; el segundo estrato se basa en las preferencias acerca de cómo se procesa la información, y el tercero, el centro, se relaciona con las preferencias de aprendizaje debidas a la personalidad. También Gallego (2004) describe otros enfoques de clasificación que se centran en los métodos para realizar el diagnóstico (Guild y Garger, 1998). Otros estudios abordan los EA a modo de procesos para incorporar conocimientos y distinguen la relación con ciertas habilidades o tendencias para aprender de una forma determinada (Riding y Rayner, 2013), eso por un parte, por la otra, está el esquema clasificatorio seguido por Alonso et al. (2007), que recoge un buen número de cuestionarios para desarrollar su teoría.
Los EA se han utilizado ampliamente para categorizar grupos de estudiantes de diferentes niveles educativos, aunque algunos autores indican una serie de problemas con la teoría y las actividades desarrolladas para las escuelas, ya que se asume que la instrucción basada en este enfoque produce mejores logros; si bien describen y categorizan comportamientos, no explican los procesos de desarrollo y los mecanismos causales que subyacen a estos comportamientos. Otro problema es que las medidas de EA a menudo utilizan un orden de clasificación que categoriza a los individuos en un estilo más alto o más bajo que otro, creando diferencias que no son evidentes (An y Carr, 2017). Dentro de las críticas más importantes sobresalen aquellas que consideran a los EA como un mito y que indican que la concepción actual más popular de estos simplemente equipara el estilo asociado con el sentido corporal preferido a través del cual se recibe la información, ya sea visual, auditivo o cinestésico (táctiles u olfativos) (Riener y Willingham, 2010).
Para evaluar los EA y sus dimensiones se han desarrollado varios modelos en diferentes áreas. Una recopilación de los instrumentos para medir los EA la realizó García et al. (2009), quienes enlistan 38 instrumentos utilizados para medir y conocer las preferencias. Entre los modelos que con mayor frecuencia se han usado se encuentran: el delineador de estilo Gregorc (Gregorc, 1984), el análisis de estilo cognitivo (Riding, 1991), el cuestionario verbalizador-visualizador (Richardson, 1977), el inventario de EA de Kolb (Kolb, 1999), el cual parece más adecuado para los estudiantes del programa académico pedagógico de preescolar y primaria (Magdalena, 2015), y el cuestionario de Honey-Alonso (Alonso et al., 2007), que se ha utilizado ampliamente.
El “Cuestionario de Honey-Alonso de estilos de aprendizaje” (Chaea) considera cuatro EA: activo, reflexivo, teórico, pragmático (Alonso et al., 2007). Y, efectivamente, se ha utilizado en muchas investigaciones y en diferentes grados de estudio, tal y como secundaria (Quintanal y Gallego, 2011) y nivel medio (Ramírez, Lozano y Zárate, 2017); a nivel licenciatura, se ha aplicado en diferentes áreas del conocimiento: psicología (Esguerra y Guerrero, 2010; Juárez, Hernández y Escoto, 2011), pedagogía (Moreno y León, 2015), en sistemas computacionales de ingeniería industrial y de ingeniería electromecánica (Ortiz y Canto, 2013); también en la carrera de ingeniería forestal (Piorno, 2014) y en estudiantes universitarios de trabajo social de México y Chile (Caballero, Norambuena, Gálvez y Salamé, 2015). Y de particular interés para este trabajo, Aguilar, García y Antonio (2017) identificaron los estilos de enseñanza y su influencia en los EA de los alumnos de la especialidad en Sociología Rural de la UACh.
Ahora bien, en la UACh se desarrollan dos tipos de programas de estudio en el nivel medio superior: 1) por objetivos en la preparatoria agrícola y 2) por competencias en el propedéutico. La comparación de ambos programas resulta de interés para determinar las diferencias en los EA de los estudiantes de acuerdo con el tipo de programa de estudio que se desarrolla. El programa por objetivos se basa en las formulaciones de carácter didáctico que expresan de forma clara y precisa los cambios de conducta que se han de operar en el alumno como efecto del proceso enseñanza-aprendizaje (Salcedo, 2011). Mientras que la educación con enfoque en competencias apela al constructivismo y a la reflexión de la práctica en aula asignando un rol activo a los discentes. Asume que el estudiante concurre con sus percepciones, significaciones y sentido de realidad y se integra a un proceso gradual y singular que conecta conceptos y preguntas en un ciclo interactivo permanente de enseñanza-aprendizaje (Bustamante, Grandón, Lapo y Oyarzún, 2016). El término competencias es de carácter polisémico, su uso y aplicación depende de la manera en que se le conceptualiza (en los distintos ámbitos, como, por ejemplo, el profesional, laboral y educativo, entre otros). De manera específica, en la educación varía en función del enfoque desde el cual se aborda como parte de un currículo escolar (Andrade y Hernández, 2010). Actualmente, se busca que los alumnos universitarios desarrollen una mayor capacidad en la competencia genérica de aprender a aprender. Esta competencia ha resultado de las exigencias del mundo globalizado y busca que los alumnos universitarios sean profesionales capaces de aprender a lo largo de la vida (García, 2012). Por esta situación se han cambiado los programas por objetivos por los de competencias. En el enfoque de competencias se ha utilizado el proyecto Tuning Europa y el de América Latina, que clasifica las competencias en genéricas y específicas (Trujillo, 2014).
Debido a que la UACh posee los dos tipos de programas al mismo nivel, como objetivo se propuso caracterizar los EA de estudiantes de educación media superior para comparar los programas por competencias (propedéutico) y por objetivos (preparatoria agrícola) de la UACh. La hipótesis es que el modelo educativo puede influir en el desempeño académico: los estudiantes que estudian bajo el modelo por competencias tienen mejor promedio en los EA que los estudiantes cuyo modelo es el de objetivos.
Metodología
Muestra de participantes
Se aplicó el cuestionario de EA mediante un muestreo no probabilístico por conveniencia, a estudiantes de educación media superior de la UACh cuyos programas se diseñaron por competencias (propedéutico) y por objetivos (preparatoria agrícola). Los estudiantes de propedéutico provenían de preparatorias y bachilleres de otras instituciones y habían ingresado al propedéutico de la UACh para equiparar el conocimiento agronómico antes del ingreso a la carrera. El cuestionario se aplicó un semestre después de su ingreso, por lo que su experiencia en el programa de competencias solo era de seis meses. Además, en los estudiantes de propedéutico se aplicaron las encuestas en tres sedes ubicadas en el centro y sureste del país. En el caso de los estudiantes de preparatoria agrícola que respondieron la encuesta, cursaban el tercer año, por lo que su experiencia en el programa por objetivos fue de cinco semestres previos. En ambos casos, el siguiente grado a cursar sería la licenciatura en la UACh.
En el análisis de la información se utilizaron 339 registros en total, provenientes de las sedes localizadas en Texcoco, Tabasco, Veracruz y Yucatán. Se evaluaron cuatro grupos de estudiantes de tercer año de la preparatoria agrícola (n = 36, n = 37, n = 40 y n = 44, respectivamente) de la sede Central Texcoco, dos grupos de propedéutico de la Unidad Regional Universitaria Sursureste (Urusse) (n = 19 y n = 40), en Tabasco, un grupo de propedéutico en el Centro Regional Universitario Península de Yucatán (Crupy) (n = 40), ubicado en Mérida, Yucatán, y dos grupos del Centro Regional Universitario de Oriente (CRUO) (n = 42 y n = 45), en Huatusco, Veracruz. La muestra estuvo constituida por 199 hombres y 140 mujeres, con una edad promedio de 19.2 ± 2.8 años. El lugar de origen de los estudiantes fue muy variado. Principalmente provenían de los estados de Oaxaca, Chiapas, Campeche, Quintana Roo, Veracruz y Yucatán, en el caso de los estudiantes de propedéutico, y de estados del centro de la república en los que ingresaron a la preparatoria agrícola. Los estudiantes estuvieron hasta el momento de la aplicación de la encuesta de manera presencial con todos los apoyos que la UACh les otorga como son beca y servicios asistenciales, entre los que se incluyen comedor o pago de alimentación en las sedes de Veracruz, Yucatán y Tabasco.
Instrumento de evaluación
Se utilizó el Chaea (Alonso et al., 2007) para identificar el EA de cada estudiante. El instrumento se entregó de manera impresa durante una sesión planeada previamente, en la que se explicó al estudiante el procedimiento, y los estudiantes lo respondieron dicotómicamente (de acuerdo o en desacuerdo). Los 20 reactivos de cada EA se distribuyeron aleatoriamente en el cuestionario para obtener los datos precisos y así determinar el EA individual.
Análisis de la información
Con la información generada, se conformó una base de datos en Excel, la cual se procesó con el programa JASP para desarrollar la estadística descriptiva de las variables de manera global y en cada uno de los grupos estudiados. También se aplicó la prueba de Shapiro-Wilk para determinar la normalidad de las variables respuesta y se realizó el análisis de varianza (Anova). Además, con el programa R se representó la información mediante un gráfico de cajas y bigotes en las diferentes escalas.
Dado que la interpretación de las puntuaciones está en función de todos los sujetos participantes contra los que se comparan los datos individuales, se realizó la preparación del baremo de interpretación de la muestra de estudiantes de educación media superior de la UACh. Para ello, se agruparon los resultados de todos los estudiantes en un baremo que consistió en muestras de cinco niveles, de acuerdo con lo indicado por Alonso et al. (2007), esto es, los resultados se fraccionaron en a) preferencia muy alta, 10 % de las personas con la puntuación más alta, b) preferencia alta, 20 % de personas con la puntuación alta, c) preferencia moderada, 40 % de las personas con nivel medio, d) preferencia baja, 20 % de las personas con puntuación baja y e) preferencia muy baja, 10 % de las personas con la puntuación más baja.
Para calcular la confiabilidad del instrumento, se utilizó el programa JASP. Se utilizó el método de consistencia interna del coeficiente alfa de Cronbach y omega de McDonald. Además, se evaluó la correlación entre las diferentes escalas de los EA mediante el procedimiento de Spearman.
Resultados
Comparación entre los programas por objetivos y por competencias
En el análisis de varianza solo se observaron diferencias estadísticas (p < 0.05) entre los programas por objetivos (preparatoria agrícola) y por competencias en el estilo activo (Figura 1), aunque las diferencias numéricas en el promedio fueron de tan solo 0.6 unidades entre los dos programas.
Estadística descriptiva de los EA
La comparación entre los dos tipos de programas mostró similitud en los promedios de los EA reflexivo, teórico y pragmático y se observaron diferencias estadísticas en el promedio de calificaciones a favor del programa por competencias desarrollado en el propedéutico (Tabla 1).
Tabla 1 Comparación de los EA entre el programa educativo por objetivos (preparatoria agrícola, n = 157) y por competencias (propedéutico, n = 182).
| Activo | Reflexivo | Teórico | Pragmático | Promedio de calificación | ||||||
| Obj | Comp | Obj | Comp | Obj | Comp | Obj | Comp | Obj | Comp | |
| Media | 12.1a | 11.5b | 14.7 | 14.7 | 13.5 | 13.6 | 13.8 | 13.4 | 8.52b | 8.77a |
| Mediana | 12.0 | 12.0 | 15.0 | 15.0 | 14.0 | 14.0 | 14.0 | 14.0 | 8.5 | 8.9 |
| Moda ℷ | 11.0 | 12.0 | 16.0 | 15.0 | 15.0 | 14.0 | 16.0 | 13.0 | 8.0 | 9.0 |
| DE | 3.3 | 2.9 | 2.9 | 2.9 | 2.8 | 2.9 | 3.0 | 2.9 | 0.54 | 0.74 |
| Varianza | 10.6 | 8.5 | 8.6 | 8.3 | 8.1 | 8.6 | 9.0 | 8.9 | 0.29 | 0.54 |
ℷ Existe más de una moda, pero la primera es la que se indica. Letras diferentes entre los promedios del estilo activo son diferentes estadísticamente (p < 0.05). DE: desviación estándar. Obj: programa por objetivos sexto semestre (tercer año) de preparatoria agrícola. Comp: programa por competencias segundo semestre de propedéutico.
Fuente: Elaboración propia
Los resultados generales indican que en los estudiantes de la UACh el EA activo (11.8 ± 3.1) fue el que tuvo el menor puntaje, mientras que el estilo reflexivo (14.7 ± 2.9), el teórico (13.6 ± 2.9) y el pragmático (13.6 ± 3.0) tuvieron los mayores valores, pero similares entre ellos. Las variables tuvieron una distribución normal al utilizar la prueba de Shapiro-Wilk, que mostró una p > 0.05 cuando se analizó en cada grupo (Figura 2).

Fuente: Elaboración propia
Figura 2 Distribución de la frecuencia de estudiantes de educación media superior de la UACh en los distintos EA
En cuanto al tipo de programa (por objetivos y por competencias) y el género de los estudiantes (hombres y mujeres), no se encontraron diferencias entre los EA, excepto en el pragmático, en el que se observaron diferencias entre hombres y mujeres (p < 0.05). El EA de los hombres de los programas por objetivos y competencias fue más pragmático (Figura 3), y aunque numéricamente el teórico también estuvo por encima del valor observado en las mujeres, no se observaron diferencias estadísticas (p > 0.5).

Fuente: Elaboración propia
Figura 3 Relación del EA con el plan de estudios aplicado (por objetivos y por competencias) de estudiantes de educación media superior de la UACh
Baremos del Chaea en estudiantes de educación media superior
En los baremos de interpretación, se observó que el promedio en todos los EA se ubicó en la preferencia moderada. Debido a que todas las escalas tuvieron distribución normal, el mayor porcentaje de los estudiantes se encuentran alrededor de la media, lo que corresponde a una preferencia moderada (Tabla 2). Con estos baremos se puede hacer una interpretación comparativa de cualquier resultado que se obtenga en aplicaciones del Chaea. La puntuación máxima que se puede obtener es de 20 puntos en cada estilo. La interpretación de las puntuaciones está en función de los resultados de todos los sujetos participantes con quienes se comparan los datos individuales. Con los baremos se facilita saber quién está en la media, quién por encima y quién por debajo.
Tabla 2 Baremos de los EA de los estudiantes de educación media superior de la UACh
| N = 339 | 10 % Preferencia muy baja | 20 % Preferencia baja | 40 % Preferencia moderada | 20 % Preferencia alta | 10 % Preferencia muy alta |
| Activo | 0-7 | 8-10 | 11-13 Media (11.8) | 14-15 | 16-20 |
| Reflexivo | 0-10 | 11-13 | 14-16 Media (14.7) | 17-18 | 19-20 |
| Teórico | 0-9 | 10-12 | 13-15 Media (13.6) | 16-17 | 18-20 |
| Pragmático | 0-9 | 10-12 | 13-15 Media (13.6) | 16-17 | 18-20 |
N: número de estudiantes.
Fuente: Elaboración propia
Confiabilidad del instrumento
La confiabilidad del instrumento, medido a través de la consistencia interna, estuvo en el límite inferior del valor de lo aceptable (Tabla 3), tanto para la prueba del alfa de Cronbach como para el omega de McDonald (0.62 y 0.64, respectivamente). De las escalas, el valor más alto se registró en el estilo activo (0.69) y el más bajo para el pragmático en ambas pruebas (0.45 y 0.55, respectivamente).
Tabla 3 Estadísticas de confiabilidad de las escalas de EA y de elementos individuales
| Confiabilidad | Para cada escala | ||||
| Estimación | Omega de McDonald | Alfa de Cronbach | Escala | Alfa de Cronbach | Omega de McDonald |
| Intervalo de confianza | 0.640 | 0.620 | Activo | 0.691 | 0.697 |
| 95 % inferior | 0.580 | 0.548 | Reflexivo | 0.553 | 0.630 |
| 95 % superior | 0.701 | 0.683 | Teórico | 0.474 | 0.612 |
| Pragmático | 0.450 | 0.546 | |||
Fuente: Elaboración propia
Correlaciones entre los EA
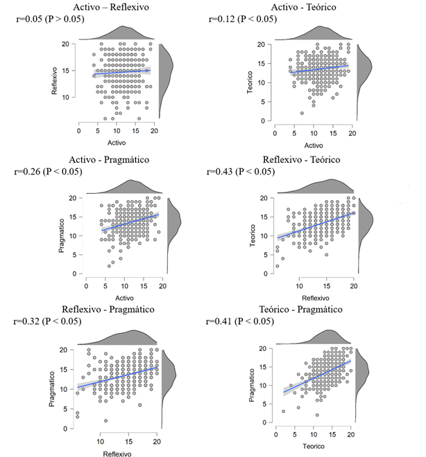
Las correlaciones más altas ocurrieron entre el EA teórico-pragmático (r = 0.41) y el reflexivo-teórico (r = 0.43), mientras que entre el activo y el reflexivo no hubo correlación (Figura 4).

Fuente: Elaboración propia
Figura 4 Correlaciones entre los EA de estudiantes de preparatoria agrícola y propedéutico de la UACh
En las escalas reflexivo, teórico y pragmático, las correlaciones con el rendimiento académico no fueron significativas y solamente se observó que los estudiantes con mayor preferencia por el estilo activo tuvieron menor calificación (p < 0.01), por lo que el coeficiente de correlación fue negativo (r = -0.133).
Discusión
Debido a las actuales modificaciones en los modelos educativos, algunas universidades han transformado sus programas, de un modelo basado en objetivos al de competencias, con lo que se busca la integración cultural, la movilidad social y el desarrollo productivo, todo ello para impulsar que los estudiantes alcancen altos niveles educativos, logros positivos y mejorar los niveles de calidad y cobertura de los programas (Barbosa y Amariles, 2019). En el presente estudio, el modelo educativo no afectó los EA de la mayoría de los estudiantes y, por ende, no se observaron diferencias entre la mayoría de los EA en los planes de estudio por objetivos y por competencias. Solamente se encontró una pequeña diferencia en el estilo activo entre los dos tipos de programas, con 0.6 unidades a favor del programa por objetivos (p < 0.05), mientras que el promedio de calificaciones fue ligeramente mayor en el programa por competencias en comparación con el de objetivos (8.7 vs 8.5, respectivamente).
De acuerdo con lo citado como bondades de los programas educativos por competencias, se esperaba que los estudiantes tuvieran mayor promedio en los EA y que el modelo educativo pudiera influir en el desempeño académico, por lo que esta hipótesis se rechazó, ya que los valores resultaron similares en los EA reflexivo, teórico y pragmático. Más adelante se describen varias razones que pudieran explicar la similar respuesta entre estos estilos en ambos programas, pero seguramente contribuyó el que los profesores que iniciaron el programa de competencias lo impartían previamente por objetivos y, como se ha indicado en algunos estudios, el rendimiento académico se ve influenciado por la intervención pedagógica del docente (Sánchez, Flores y Flores, 2016); esto pudo originar el resultado obtenido. Adicionalmente, los programas de tutorías correspondientes al programa por competencias que se imparten en la UACh también son de reciente creación y no se han enfocado a la aplicación de los EA para el desarrollo de competencias en la práctica docente, tal como se hace en algunas instituciones para mejorar el desempeño de los estudiantes (Marcos, Alarcón, Serrano, Cuetos y Manzanal, 2020)
A pesar de que no se apoya a la amplia polémica sobre si los EA son un mito o no, las pocas diferencias estadísticas entre estos pudieran apuntalar la idea de que al parecer no es un elemento tan importante en el desempeño educativo de los estudiantes, tal como lo indican algunas teorías con un corte más extremista (Kirschner, 2017). Antes de tomar alguna postura al respecto, es importante estudiar el resultado de aplicar los EA en el rendimiento académico con alguna teoría sistematizada (Marcos et al., 2020). El concepto de EA como herramienta educativa es bastante sencillo y sigue tres pasos: 1) los individuos expresarán una preferencia con respecto a su EA, 2) los individuos muestran diferencias en su capacidad para aprender sobre ciertos tipos de información y 3) la correspondencia del diseño instruccional con el EA de un individuo dará mejores resultados educativos (Newton, 2015). Las teorías de los EA indican que las personas aprenden de maneras diferentes, no solo por sus habilidades, sino por su preferencia para procesar algún tipo de información y esto podría tener una gran importancia en la instrucción, pues el rendimiento de los estudiantes sería el resultado de la interacción de la instrucción y de los EA de cada estudiante (Willingham, Hughes y Dobolyi, 2015).
La confrontación de la postura sobre la importancia de los EA no se puede realizar en el presente estudio, dado que no existen diagnósticos previos que hayan promovido alguna acción para modificarlos y se enfocan más en el análisis general. Lo valioso de estos estudios es que proporcionan información que se debe revisar para tomar acciones específicas para remediar los posibles problemas de aprendizaje del extremo inferior de la escala. Esto implica conocer el EA de cada estudiante y atender de manera focal y general los problemas detectados.
De manera similar a los resultados obtenidos en el presente estudio, los EA reflexivo, teórico y pragmático tuvieron predominaron en los estudiantes de ingeniería forestal que formaron parte de la investigación de Piorno (2014). En otro estudio se ha encontrado una alta frecuencia en el estilo reflexivo y se ha indicado como el más acorde al área de las ciencias sociales (Aguilar et al., 2017). Para los alumnos de secundaria existe una leve inclinación hacia los EA reflexivo y pragmático (Quintanal y Gallego, 2011). De la misma manera, en el caso de estudiantes de psicología, estudios subrayan un dominio del estilo reflexivo (Esguerra y Guerrero, 2010; Juárez et al., 2011). Lo mismo se ha encontrado en carreras de ingeniería, en las cuales el estilo predominante ha sido el reflexivo (Ortiz y Canto, 2013). Se han observado diferencias en los EA cuando se compara el país de origen; por ejemplo, Caballero et al. (2015) encontraron que en estudiantes mexicanos predominaron los EA pragmático y teórico, mientras que el reflexivo fue el más frecuente para la muestra de estudiantes chilenos. Los EA reflexivo y teórico se han asociado a alumnos con mayor promedio y que desempeñan carreras científicas (Quintanal y Gallego, 2011). Se ha demostrado que los estudiantes con un “alto rendimiento” reflejan una mayor tendencia a comportarse de forma creativa, aventurera, innovadora y novedosa. Y se ha observado una relación significativa entre los EA y el rendimiento académico en estudiantes que muestran un estilo activo (Esguerra y Guerrero, 2010). Aunque otros autores indican que los resultados de rendimiento académico y EA no necesariamente se asocian a un rendimiento académico destacado, porque existen otros factores de mayor peso que influyen en dicho rendimiento, como son: la metodología de enseñanza por los docentes, el contexto de los alumnos y el contenido curricular que se imparte en las carreras (Caballero et al., 2015; Ramírez et al., 2017).
En cuanto al género, se ha observado que los promedios obtenidos por las mujeres en todos los EA fueron superiores que el de los hombres (Quintanal y Gallego, 2011). Además, y de manera similar a los resultados obtenidos en el presente estudio, el EA de los hombres es más pragmático, y se encuentra por encima del estilo reflexivo, teórico y activo, en contraste con el de las mujeres, quienes tienen una preferencia por los EA reflexivo, después pragmático, teórico y activo (Juárez et al., 2011). También se ha indicado que entre hombres y mujeres existen diferencias significativas en el promedio de rendimiento académico y se ha demostrado que las mujeres tienen mejor rendimiento académico (Ortiz y Canto, 2013). En cuanto a la relación de los EA con el rendimiento académico, existen resultados contradictorios: mientras algunos autores no encuentran relación directa con el rendimiento académico (Juárez et al., 2011), otros indican una relación positiva entre el EA pragmático y el rendimiento académico tanto en estudiantes de la carrera de ingeniería en sistemas computacionales como en la de ingeniería industrial (Ortiz y Canto, 2013).
Existen otros factores que afectan los EA, como es la convivencia. En efecto, se ha demostrado que quienes viven con su familia tienen un EA reflexivo (Esguerra y Guerrero, 2010); y en estudiantes de ciencias pedagógicas en Cuba se indicó una alta dependencia con la familia y la tutela del profesor (Moreno y León, 2015). Otros factores como el estrato socioeconómico, y también la edad, han tenido una baja influencia sobre los EA, los cuales no estuvieron asociados de manera particular con un estilo directamente (Esguerra y Guerrero, 2010). En un estudio realizado en profesores de secundaria se presentaron altos valores tanto en el reflexivo como en el teórico (Quintanal y Gallego, 2011). Mientras que en otro estudio se muestra que lo ideal es identificar la relación entre el estilo de enseñanza con el de aprendizaje, con lo cual se ha encontrado una relación directa entre el estilo de enseñanza (formal) en los profesores y el EA (reflexivo) en los estudiantes (Aguilar et al., 2017).
De manera general, en el presente estudio no se observó influencia del sexo del estudiante, de la ubicación del propedéutico (Huatusco, Tabasco, Yucatán, Texcoco), del tipo de programa de estudio (preparatoria y propedéutico), ni del grupo de origen de los estudiantes en la mayoría de los EA, con excepción del sexo de los estudiantes en el EA pragmático. Estos resultados son debidos a la alta variabilidad encontrada en los resultados obtenidos, por lo que no se observó alguna tendencia de las variables de estudio. Hasta este grado de análisis de la información parecería que los EA no aportan información suficiente para tomar medidas, para diseñar o mejorar un programa de estudios y se podría pensar que con esto se apoya la idea ampliamente discutida en otros documentos que sugiere que no existe una base científica real para decir que un alumno tiene un cierto EA ni es consciente de cuál es ese estilo personal (Kirschner, 2017).
Sin embargo, si se miran detalladamente, los resultados generales aportan información importante que podría tomarse en cuenta para el diseño curricular. Por ejemplo, se encontraron únicamente diferencias en el sexo en el estilo pragmático. Los hombres fueron más pragmáticos que las mujeres, por lo que estas generalidades que surgen de la información pudieran permitir tomar acciones en las diferentes carreras de la universidad, especialmente si hay diferencias numéricas en la población estudiantil. No obstante, Newton (2015) plantea que enmarcar a un estudiante en un EA puede traer confusión en este, ya que lo puede frustrar al desarrollar una actividad que no le complace. Además, concluye que los EA no funcionan, y lo más crítico es que indica que esto perjudica la educación como campo de investigación y probablemente tenga un impacto negativo en los estudiantes. Esta postura tan radical no abona en nada a la construcción de alternativas que ayuden a los estudiantes; al contrario, desmotivan a un lector, especialmente si es un estudiante o un profesor que pretenda mejorar los EA.
Los EA no van a resolver todo el contexto educativo, pero son un elemento más que debe ser manejado de manera estratégica en el diseño de un programa de estudio. Esto significa que los docentes deben saber cuáles EA predominan e integrar actividades relacionadas al EA por medio de la investigación educativa para reconocer el alto grado de complejidad y diversidad explicativa y aportar recomendaciones prácticas (Arenas, 2017). Las acciones de los profesores en los estudiantes deben tener una influencia muy importante al aplicar algunas estrategias para mejorar y seguramente la evaluación debería compartirse y comentarse con los estudiantes de modo que la retroalimentación permita a los estudiantes reflexionar sobre los aspectos que se evalúan en la caracterización de los EA.
De los aspectos negativos de los EA que se han indicado en la literatura abundan la postura sobre la inefectividad de éstos, al indicar que existen dificultades fundamentales tanto para diagnosticar los EA como para alinear la instrucción con estos. Se cuestiona fuertemente que las personas sean agrupadas en categorías nominales. Incluso la clasificación por sexo, que hasta hace poco se consideraba dicotómica, ha demostrado ser bastante más matizada que eso (Kirschner, 2017).
A pesar de que los valores de confiabilidad fueron bajos en el presente estudio, se encuentran en el límite inferior y por lo tanto es un instrumento confiable. Otro estudio similar indica valores de alfa de Cronbach de 0.55 a 0.58, los cuales fueron menores a los del presente estudio, pero se consideran igualmente aceptables (Juárez, 2014). También la evaluación del instrumento en el estudio de Alonso et al. (2007) tuvo valores similares con una muestra muy grande de estudiantes (1371 estudiantes), mientras que existen estudios con un alto valor de confiabilidad, como el caso de estudiantes de Ciencias Forestales en Guantánamo, Cuba (Piorno, 2014). La confiabilidad es una propiedad de las puntuaciones de un test que afecta la precisión de los resultados de un instrumento, ya que se relaciona con tres aspectos: a) la variabilidad de las respuestas de una persona, b) el rasgo medido y c) el error de medición. En éste último, a mayor error aleatorio, menor confiabilidad. El coeficiente omega es más estable en los cálculos que el alfa de Cronbach y refleja el verdadero nivel de fiabilidad, sin importar el número de ítems (Viladrich, Angulo-Brunet y Doval, 2017). Un valor aceptable para el coeficiente Omega es entre 0.70 y 0.90, aunque en algunas circunstancias pueden aceptarse valores superiores a 0.65 (Ventura y Caycho, 2017).
Los estudios que se contraponen a los EA indican que estos están sujetos al sentir del individuo en el momento en que contesta la prueba y que, por ello, existe un problema con la validez, confiabilidad y poder predictivo de las pruebas que se utilizan. Se informan inconsistencias y baja confiabilidad para la medición especialmente cuando los individuos completan una medición particular en dos momentos diferentes. En otras palabras, la fiabilidad test-retest es bastante baja. La razón de esto es que los alumnos no están dispuestos a informar con sinceridad sobre lo que hacen (Kirschner, 2017). Sin embargo, existe un fundamento estadístico que solo se cuestiona, pero que no se puede refutar y que brinda las bases de la variabilidad con la que responden los estudiantes.
Con tendencias similares al presente estudio, los alumnos de ingeniería en Yucatán, México, mostraron coeficientes de correlación de Pearson entre los EA teórico-pragmático (r = 0.38) y reflexivo-teórico (0.55) parecidos al de los estudiantes de educación media superior de la UACh (r = 0.41 y 0.43, respectivamente). Aunque, a diferencia, los valores entre el activo-reflexivo y activo-teórico tuvieron correlaciones negativas en aquel estudio (Ortiz y Canto, 2013).
Conclusiones
Los promedios de los EA reflexivo, teórico y pragmático de los estudiantes que cursaron el programa por objetivos (preparatoria agrícola) y por competencias (propedéutico) fueron similares; mientras que en el estilo activo los estudiantes por objetivos mostraron un promedio ligeramente mayor que los estudiantes del programa de competencias, lo cual podría estar relacionado con el tiempo en el que formaron parte de los programas, ya que los estudiantes de preparatoria agrícola estuvieron dos años y medios en el programa por objetivos y en el caso de los estudiantes de propedéutico, solo desarrollaron el programa de competencias durante un semestre previo a la aplicación del cuestionario.
El programa por objetivos se ha desarrollado de manera tradicional en la UACh durante muchos años con una gran carga académica y responsabilidad de los profesores en la formación de los estudiantes. Sin embargo, es necesario revisar otras opciones que mejoren el desempeño académico y reduzcan la deserción escolar de la preparatoria agrícola, por lo que actualmente la implementación del programa por competencias en los grupos de propedéutico ha incorporado nuevos elementos en la formación como es el programa de tutorías de manera obligatoria, lo que supone una mejora para permitir un mejor rendimiento académico tal como se observó en los resultados.
Los promedios de los EA en los estudiantes de educación media superior de la UACh correspondieron a una preferencia moderada, aunque la tendencia de las cuatro escalas estudiadas (activo, reflexivo, teórico y pragmático) fue a promediar cerca del límite inferior de la preferencia moderada en el baremo. De los factores que afectaron algunos de los estilos, el sexo de los estudiantes mostró influencia y así, los hombres tuvieron un EA en mayor medida pragmático y teórico, mientras que las mujeres fueron más reflexivas, tanto en el programa por objetivo como en el de competencias. En el estilo activo no se encontró tendencia alguna del sexo ya que los promedios entre hombres y mujeres fue muy similar.
La confiabilidad del instrumento, medida a través de la consistencia interna por medio del alfa de Cronbach y del omega de Mcdonald, fue aceptable, aunque con un valor pequeño y cercano al límite considerado como óptimo. De las escalas, el valor más alto se registró en el estilo activo, mientras que el estilo teórico y pragmático fueron los más bajos, lo que representa alta variabilidad en las respuestas en estas dos últimas escalas y por ello la menor confiabilidad.
Las correlaciones entre los EA teórico-pragmático (r = 0.41) y reflexivo-teórico (0.43) fueron las únicas correlaciones positivas de magnitud media y por lo tanto de importancia; las demás correlaciones entre los EA no fueron significativas. También se observó una correlación pequeña y negativa entre el estilo activo y el rendimiento escolar (r = -0.133), lo que indica que los EA reflexivo, teórico y pragmático no tienen influencia en el rendimiento escolar.
Futuras líneas de investigación
Es importante que las instituciones de educación, además de evaluar los EA, desarrollen planes de mejora y determinen el impacto en el rendimiento académico y la deserción escolar.
Sería conveniente realizar estudios multivariados en los que además de los EA se integren hábitos de estudios, funcionalidad familiar y otros aspectos que inciden en el rendimiento académico.










nueva página del texto (beta)




