Introduction
The origin of the internet dates back to the 60s with the so-called Licklider Galactic Network. As the head of the computer research program at the Advanced Research Projects Agency (ARPA), he envisioned a set of globally interconnected computers through which everyone could quickly access data and programs from anywhere (Licklider & Clark, 1962; Leiner, Cerf; Clark, Kahn, Kleinrock, Lynch, Postel, Roberts, Wolff; 2009). After Licklider’s work, Donald Davies in 1965 coined the term "package" which was one of the most important principles to achieve communication between computers through the division of long messages divided into fragments sent separately to minimize the risk of congestion (Spilling & Lundh, 2004).
In 1971, Bell Labs developed a set of programs allowing for computers to work by using a stable, multi-user, and multi-tasking system for servers. In 1972 the first network system developed by the University of Hawaii (ALOHANET) was connected to the Advanced Research Projects Agency Network (ARPANET) and a commercial version of ARPANET called TELNET became the first public packet data service. In 1979, Tom Truscott, Jim Ellis and Steve Belovin created USENET "an ARPANET for the poor" to share information by email and message boards between Duke University and the University of North Carolina, through telephone lines and the protocols of the Berkeley UNIX distributions (Hauben & Hauben, 1997).
In the early 1980s, there was a continuous growth not only of the ARPANET but also of other networks. For example, in the United Kingdom, the Joint Academic Network (JANET) linked universities in those countries through subnetworks that connected with each other, also with education and research organizations in the United Kingdom and with the rest of the world (Wells, 2008). Since 1983, computers began to connect in a more agile way and the number of hosts increased, there was great interest among the academic community, which led to the internet entering its commercial phase in the mid-1980s. In 1984, the United States Department of Defense divided the ARPANET into two specialized networks. ARPANET (for advanced research activities) and MILNET (Military Network) that would be reserved for military uses that required greater security. Finally, in 1989 the Englishman Tim Berners Lee, a researcher at the Organization Europeenne pour la Recherche Nucleaire (CERN) in Geneva, proposed the idea of an international system of protocols that would allow users to prepare electronic documents that could be disseminated throughout the world. Berners Lee called it the World Wide Web (WWW) (Cohen, 2011).
However, despite the great advance to consolidate the World Wide Web at the end of the 1980s, the Internet was still not in the public eye. During the 1990s things changed, the phenomenon of the development of the internet had a massive expansion. Internet accessibility, its multiple application and its decentralized nature were fundamental in this rapid growth that in a few years became a global phenomenon (Domínguez, Cisneros y Quiñonez, 2019).
As can be seen, the Internet has been a phenomenon since its conception and has maintained a constant evolution to such an extent that its growth is vertiginous and few societies are unaware of the impact of its contributions to the betterment of the peoples of the world (Zamora, 2020). However, as complex as it may seem, there are still populations located in some parts and regions of the world that do not have access and are unaware of the impacts that this network could have on improving their quality of life as a result of being part of the information and knowledge society (Guzmán, Muñoz, Brosin y Álvarez, 2017). Human settlements classified as urban and rural communities in all the nations of the world experience different realities in terms of access to the Internet. There are areas where the network services have high-speed connection and the services for upload and download data are stable, while other areas, network services are simply inaccessible, either because of the remote location of the populations or simply because poverty levels prevent access to the network and a particular state is unable to provide this service (Márquez, Acevedo y Castro, 2016; Soto, Moyado y Siliceo, 2018). However, thanks to certain electronic mediums, such as mobile devices, different populations are to a greater or lesser degree immersed in the Information Society, a space in which networks, such as the internet, continue advancing and contributing to consolidate the development of the societies and the gradual improvement of the conditions of the people.
One of the benefits of the internet, that has been recently studied worldwide among countries such as Spain, Thailand, Bangladesh, Pakistan, Malaysia, and India, is the effect that the use of the internet has on rural women entrepreneurs in marginalized areas and populations in various contexts. Studies from specialized databases (Mishra & Kiran, 2014; Parveen, 2014; Jawaharlal & Shbhra, 2013) declare and agree that the implementation of small local businesses using internet technologies, allow women to create stronger companies, be more competitive, improve their income and living conditions and strengthen the economic development of their society and nation.
The evidence of these effects has been documented by several researchers on the subject. For example, the studies by Sharma, Dua & Hatwal, 2012; found that a large percentage of microenterprises in developing countries are run by women who play an important role in their local economies, helping to consolidate female empowerment through technology, allowing them to have greater control over their income, their own knowledge, the information generated and the digital applications. All of this, despite having the main responsibility for agricultural production, domestic activities, and childcare. Other researchers, Mishra & Kiran (2014) found that Indian women entrepreneurs due to their low level of education, technological obsolescence and the high cost of changing technology, use little technology in production processes, which has brought them complications in the market where competition is high and they have to fight hard to survive in the markets with organized sectors and against their male counterparts who have vast experience and ability to adopt advanced technology in the management of their businesses. However, women continue to make efforts attempting to maintain their businesses, improving their competitiveness and their economic conditions.
The studies by Cesaroni, Demartini & Paoloni, (2017) showed that the women's sector is considered an economic asset that has shown better skills for the use of social networks, which has allowed them to expand their contacts, improve their business competitiveness. and living conditions. Hassan, Ramli & Mat Desa (2014) state that for rural women to be successful in their businesses they need confidence, determination, and vision. Finally, Podile (2018) states that the empowerment of rural women occurs through internet-based strategies, such as the use of digital resources and platforms. For its part, the Asian Development Bank (ADB) mentions that as of 1990, with the popularization of Internet services, the role of the entrepreneurial spirit changed significantly in the countries of Central and Western Asia, admitting that now inclusive growth requires the economic contribution of both men and women. The same institution points out that women are more likely to have informal businesses, that remain small, generate less income than men's businesses and employ fewer staff. However, in the study: Using Information and Communication Technology to Support Women's Entrepreneurship in Central and West Asia, carried out in 2014 by the ADB (Martínez y Nguyen, 2014), indicate that information and communication technologies found on the Internet, are powerful tools to change and foster new opportunities for women. Other findings show that the use of technologies in micro and small enterprises by women in vulnerable areas or regions has improved their business performance, technology has served to alleviate the limitations imposed to them in business development, it has also improved their business performance, and living conditions. Along these same lines, studies by Haji, Muhamad, Abdul & Man (2018) and Domínguez, Cisneros & Barberá (2018) emphasize the importance of empowering rural women through social innovation based on the use of digital technologies from the Internet to help them develop their marketing skills to grow their business, improve their business strategy and strengthen their use of technology. Finally, recent studies by Jalan & Gupta (2019), found that the new step towards entrepreneurship, innovation, and digital change in business for women entrepreneurs in rural communities is through information, adequate knowledge, specialized technical advice and the use of digital technologies. The authors state that women entrepreneurs from vulnerable areas are playing an integral role in society and technologies are creating new avenues for female empowerment. Now they communicate, collect information, and make decisions at the business level, which is beneficial for their societies and for the economic development of their country.
Figure 1 shows some of the advantages that the use of the internet has for rural women entrepreneurs. These advantages were identified from the literature reviewed and presented below.
Method
This type of study is consistent with the work of Gall, Gall & Borg (2007), Behar (2008), Bernal (2016) as a quantitative approach since it is based on the measurement of variables of interest in each context. The selected design was correlational. The objective was to analyze the association of the variables age, academic level, family support, the stages of technology adoption and the perception of technology of women rural entrepreneurs regarding the use of the internet.
In the study, participated 92 entrepreneurial women from three rural areas of the interior of the State of Yucatan, in southeastern Mexico. Women businesses own by the women focused on artisan manufacture of clothing, food, home decorations and toys and were distributed regionally as follows: 34 businesswomen from zone 1 (36.9%), 33 from zone 2 (35.9%) and 25 from zone 3 (27.2%) (see Table 1), two of the most important criteria for the selection of the women who participated in the study were: being female and owning a business.
Table 1 Distribution of the areas where the questionnaires were administered
| Data collection área | Administered questionnaires | Participating Communities |
| Zone 1 (Peto and its surroundings) | 34 |
|
| Zone 2 (Motul and its surroundings) | 33 |
|
| Zona 3 (Mérida and its surroundings) | 25 | Mérida |
| Total | 92 | 13 communities |
Source: Author elaboration
Participants
The ages of the 92 participating women ranged from people under 20 years of age (5 women, representing 5.4% of the participants), to an age group of 60 years or more that included 7 women who represented 7.6% of the total population. The largest group of women was represented by women between the ages of 30 and 39, where 29 women represented the 31.5% of the participants.
Of the total participants, 75 (81.5%) only have basic education studies and only 18.5% have higher education (bachelor's degree), which enabled them to gain knowledge and experience to manage their businesses (see Table 2).
Instrument
The questionnaire used for data collection was aligned with the study objectives. The instrument consisted of five sections: Section I: Identification; Section II: Reasons to undertake; Section III: Family Support; Section IV: Business performance and Section V: Assessment of skills in the use of technologies.
The conceptual references that were the basis for the construction of the instrument were the following: Basic questionnaire used for the National Survey on Availability and Use of ICT in Homes ENDUTIH 2017, conducted by INEGI, (2017), Questionnaire of attitudes of the teachers towards computers Teachers' Attitudes Toward Computers (TAC) by Knezek and Christensen, (2009), and the Basic Questionnaire used for the National Micro-business Survey ENAMIN 2012, conducted by INEGI, (2012).
The response formats used for answering the instrument were a) Categorical options: The formats for selecting categorical options included: Gender, academic level, marital status, and other demographic variables, used for nominal or ordinal variables. b) Ordinal rating scale with one step to five response levels. Rating scales with one step and five response levels were used. The answers were issued according to ascending numerical scale from 1 to 5, in turn, a semantic scale was integrated that allowed the respondent to place his answer according to the level he considered, so that the answers obtained had the greatest certainty regarding the meaning of the numerical scale. (See Figure 2).
c) Likert-type rating scale with one step to five response levels. In several sections, a Likert-type rating scale with one step and five response levels was used. The answers were issued considering an ascending numerical scale from 1 to 5, in turn, a semantic scale was integrated allowing respondents in their responses, so that the answers obtained had the greatest certainty regarding the meaning of the Numerical scale. (See Figure 3).

Author elaboration
Figure 3 Ordinal Likert-type rating scale with one step and five response levels.
d) Finally, a semantic differential scale with 5 response levels was used. The ordinal rating scale called semantic differential incorporated 5 response levels. According to Osgood, Suci & Tannenbaum (1957), this type of scale built with a pair of opposing adjectives allows the subjects to be situated in a semantic space of evaluative dimensions. This measure allows for greater precision to present the meaning of the adjectives in relation to the evaluated object. (See Figure 4).
Technical indicators
The technical indicators of the instrument are: Content validity measured in three moments. First, based upon the analysis of the conceptual references of the consulted instruments (ENDUTIH, TAC, ENAMIN). Second, the validity of the instrument was reinforced with the analysis of experts in technology and rural entrepreneurship. Third, feedback obtained from the respondents in this stage of the process, made it possible to improve the relevance of the items. Subsequently, we worked on construct validity and took into consideration the recommendations of the specialized literature (Arce, 2002; Aiken, 2003) that emphasize, one of the important aspects for the construction of measurement instruments for complex constructs is having homogeneous items within each section and at the same time heterogeneous between the sections, for which an exploratory and confirmatory factor analysis technique was applied for the content variables. That is, those for which it is considered that there is a construct with respect to the extent to which it is present in the observation units. In this case, the analysis applied for the items related to the variables: Family support and perception of technology.
For the Family Support scale, according to the value of the KMO sample adequacy coefficient, the sections corresponding to the three aspects: Affective, instrumental, and financial, show a satisfactory perfectible validity, this can be observed in the results obtained in the Table 3.
Table 3 Results of the Factor Analysis for the Family Support scale
| Section | KMO | Test of Bartlett (Valor p) | % of explained variability |
| Affective | 0.671 | 0.000 | 70.7% |
| Instrumental | 0.611 | 0.000 | 56.2% |
| Financial | 0.666 | 0.001 | 61.8% |
Source; Author elaboration
For the Technology Perception scale, the results of the factor analysis allowed an analysis for the three subdimensions. Results of the factor analysis through the Bartlett test indicated that in the three subdimensions there is a satisfactory validity (see Table 4).
Table 4 Subdimensions for the scale for the Perception of Technology
| Subdimensions | KMO | Test de Bartlett (Valor p) | % of explained variability |
| Subdimension 1 | 0.804 | 0.000 | 66.9% |
| Subdimension 2 | 0.697 | 0.000 | 69.2% |
| Sub dimension 3 | 0.683 | 0.000 | 52.0% |
Source: Author elaboration
For reliability, Cronbach's alpha coefficient was used. Considering that the items corresponding to the content variables used an ordinal scale, this indicator was used to determine the level of consistency of the items in the sections associated with the variables: family support and perception of technology, due to the characteristics of the format. response.
For the section associated with the Family Support variable, the Cronbach's Alpha obtained falls in a range greater than 0.60, this result indicates that this scale is acceptable in terms of its reliability. (See Table 5).
Table 5 Cronbach's alpha for the family support variable
| Section of the instrument | Alfa de Cronbach Coefficient |
| Affective | 0.775 |
| Instrumental | 0.608 |
| Financial | 0.677 |
Source: Author elaboration
The items for measuring the Perception of technology variable obtained a Cronbach's Alpha higher than 0.750, this indicates that the scale has an acceptable level of reliability as can be observed in Table 6.
Results
Aligned with the main purpose of this study, Table 7 presents the main uses of the Internet by women entrepreneurs from rural communities in Yucatan. The results highlight that 72.7% of participants use the network to interact with other people: Skype, Twitter, Facebook, Instagram, Snapchat, Messenger (social networks). These results are consistent with studies on the use of technology in women rural areas of Domínguez, Cisneros & Barberá (2018). The second use of the Internet by rural women entrepreneurs is Obtaining information / surfing and finally, the third use consists of Supporting education / training with 64.4%. Another important aspect to highlight in the results is the little interaction that women entrepreneurs have with government agencies, for this reason there is a lack of knowledge about the support programs that the federal and state governments offer.
Table 7 Main uses of the internet in rural women entrepreneurs
| Main usage activity | Used | Use frequency (%) | ||||
| Annual | Semester | Monthly | Weekly | Daily | ||
| Connect with other people (Facebook, Skype, Instagram) | 72.7 | 0.0 | 1.6 | 4.8 | 19.0 | 74.6 |
| Get information / navigate the Internet | 68.5 | 0.0 | 0.0 | 5.1 | 28.8 | 66.1 |
| Support education / Training | 64.4 | 0.0 | 3.5 | 10.5 | 42.1 | 43.9 |
| Entertainment | 57.3 | 2.0 | 0.0 | 12.2 | 36.7 | 49.0 |
| Send and receive email | 50.6 | 4.5 | 0.0 | 15.9 | 25.0 | 54.5 |
| Download music, videos, programs | 43.8 | 0.0 | 5.1 | 30.8 | 30.8 | 33.3 |
| Online shopping (free market, amazon, e-bay) | 18.0 | 12.5 | 31.3 | 31.3 | 12.5 | 12.5 |
| Online banking | 15.9 | 0.0 | 0.0 | 26.7 | 46.7 | 26.7 |
| Interacting with the government (Support programs) | 15.7 | 6.7 | 13.3 | 26.7 | 33.3 | 20.0 |
| Other uses | 0.0 | 50.0 | 0.0 | 0.0 | 0.0 | 50.0 |
Author elaboration
As the results show, the uses that rural women entrepreneur give to the internet are varied. However, it is important to note that in addition to the positive uses, there were also some women who expressed that there are some limitations faced by them when using the internet in their communities. According to the respondents, there are conditions that could impede the development of women and their businesses. Some of the most relevant points that women entrepreneurs highlighted are observed in Table 8. 52.4% declared that one of the strongest reasons why they cannot make adequate use of the internet in their communities is because there is no good quality connection, 42.9% do not consider it necessary using internet for their business activities and the 35.7% of them stated that they are not interested in using it. These results show the lack of quality in Internet access services and the lack of knowledge that many rural women entrepreneurs have regarding implementing technology to improve their businesses.
Table 8 Percentage of reasons for not having Internet service at home
| Reasons | Strongly disagree | Disagree | Neither agree nor disagree | Agree | Strongly agree |
| They have little information to use | 12.2 | 17.1 | 14.6 | 31.7 | 24.4 |
| There is no connection in the municipality (community) | 28.4 | 17.6 | 4.8 | 19.5 | 29.7 |
| The cost is high and we cannot afford it | 19.0 | 16.7 | 16.7 | 28.6 | 19.0 |
Source: Author elaboration
Academic level, Stages of technology adoption and Age
First, we present the results from: stages of technology adoption. As it can be observed in Table 9, the stages of technology adoption by women despite the conditions of the various contexts in which they live. More than half of the women are between stages 2 (Learning the process) and stage 1 (awareness). Based on these results, we can infer that the majority of the participating population is beginning to know the uses of technologies and its advantages.
Table 9 Stages of adoption of technology by rural women entrepreneurs
| Adoption stage | Name of the stage | n | % |
| Stage 1 | Awareness | 20 | 21.7 |
| Stage 2 | Learning the process | 29 | 31.6 |
| Stage 3 | Understanding and applying the process | 21 | 22.8 |
| Stage 4 | Familiarity and confidence | 4 | 4.3 |
| Stage 5 | Adaptation to other contexts | 18 | 19.6 |
| Stage 6 | Creative application to other contexts | 0 | 0 |
| Total | 92 | 100.0 |
Source: Author elaboration
A little more than 25% of the population is between stage 3 (Understanding and applying the process) and stage 4 (Familiarity and confidence), these stages are key to consolidating businesses, which is consistent with as expressed by Hassan, Ramli & Mat Desa (2014). Finally, only 19.6% declare that they can adapt the use of technology to other contexts, so we can infer that women's domain of technology is still low.
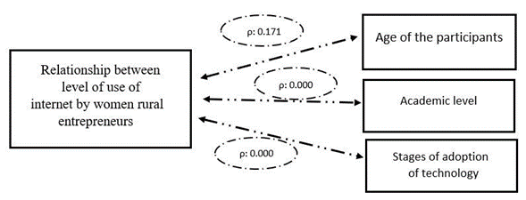
Next, there are the results of the non-parametric tests used to determine the level of relationship of the three variables analyzed in relation to the use of the internet by rural women entrepreneurs. To examine the differences of the qualitative variables, the Chi-square test of independence was used. The results showed that there was a relationship with the use of the Internet in relation to the following variables: Academic level and Stages of adoption of the technology. On the contrary, there was no significant relationship between the use of technology and the age of the participants (See Figure 5).
Family support and perception of technology
The following table (see Table 10) shows the descriptive results of family support available to rural women entrepreneurs. As it can be observed, in the case of family support, most women declared that they receive a lot of emotional support, including support to start a business (56%), support to continue and not abandon the business (62.7%) and finally support when problems arise (41.9%). From the instrumental point of view, which refers to the logistics part of the business, 48% of women declare that they receive basic technical advice for the operation of their business, 47.3% mention that they have equipment, furniture, and transportation for the operation of their business and 45.3% commented that they have family support for the preparation of the products in their business. Finally, in the financial aspect, female entrepreneurs declare that this is where family support is the lowest. 30.7% of women declare that they have family support at the start of the business, 26% of them comment that they have received loans from the family to help maintain their business and only 6.9% have received a donation for their business by the family.
Table 10 Perception of family support received
| Main activity of use | Escala 1 a 5 (Nothing to Much) | ||||
| 1 | 2 | 3 | 4 | 5 | |
| Affective | |||||
| To start the business | 16.0 | 4.0 | 8.0 | 16.0 | 56.0 |
| To continue the business | 4.0 | 10.7 | 5.3 | 17.3 | 62.7 |
| When there are problems in the business | 6.8 | 9.5 | 16.2 | 25.7 | 41.9 |
| Instrumental | |||||
| Technical consulting | 28.0 | 6.7 | 5.3 | 12.0 | 48.0 |
| Equipment, furniture and transport | 32.4 | 4.1 | 6.8 | 9.5 | 47.3 |
| Preparation of the products | 36.0 | 2.7 | 6.7 | 9.3 | 45.3 |
| Financial | |||||
| At the opening of the business | 50.7 | 4.0 | 5.3 | 9.3 | 30.7 |
| Loans | 54.8 | 4.1 | 6.8 | 8.2 | 26.0 |
| Donations | 79.2 | 4.2 | 2.8 | 6.9 | 6.9 |
Source: Author elaboration
Regarding the perception of technology, Table 11 presents a description that shows the level of perception that rural women entrepreneurs have towards the use of technology. The results show the scores obtained by the 92 participants perception about technology ranking from: Unpleasant-Pleasant; Not Pleasant-Pleasant; Boring-Exciting; and Difficult-easy, among others.
Table 11 Perception of technology in rural women entrepreneurs
| Negative perception | Distribution of response percentages on the scale | Positive | ||||
| 1 | 2 | 3 | 4 | 5 | Perception | |
| Rough | 2.2 | 1.1 | 10.0 | 14.4 | 72.2 | Nice |
| Sad | 5.6 | 3.4 | 16.9 | 22.5 | 51.7 | Happy |
| Unpleasant | 3.3 | 6.7 | 16.7 | 17.8 | 55.6 | Pleasant |
| Tense | 10.1 | 9.0 | 16.9 | 13.5 | 50.6 | Relax |
| Uncomfortable | 8.9 | 3.3 | 13.3 | 10.0 | 64.4 | Comfortable |
| Boring | 3.4 | 0.0 | 16.9 | 15.7 | 64.0 | Passionate |
| Empty | 7.8 | 1.1 | 6.7 | 25.6 | 58.9 | Complete |
| Inaccessible | 5.6 | 4.5 | 10.1 | 15.7 | 64.0 | Accessible |
| Hindrance | 1.2 | 0.0 | 4.7 | 4.7 | 89.4 | Help |
| Insecure | 10.1 | 12.4 | 28.1 | 7.9 | 41.6 | Secure |
| Heavy | 8.1 | 5.8 | 19.8 | 22.1 | 44.2 | Light |
| Slow | 7.9 | 6.7 | 10.1 | 12.4 | 62.9 | Fast |
| Expensive | 40.4 | 21.3 | 11.2 | 9.0 | 18.0 | Economical |
| Difficult | 13.6 | 8.0 | 19.3 | 14.8 | 44.3 | Easy |
Source: Author elaboration
The main findings in relation to the 14 items associated with the perception of technology, are made up of pairs of adjectives expressed as antonyms in 10 pairs, positive perception scores were higher than 50%, highlighting the score obtained by the pair Hindrance Help with 89.4% of the participants who perceive that technology is helpful. Three of the pairs of adjectives obtained between 40% and 50% in the positive extreme, and only one of the 14 pairs of adjectives highlighted the extreme of negative perception in a high percentage, with 40.4% participants reporting that the technology is expensive, which is consistent with the results found by Mishra & Kiran (2014).
The inferential statistics for the two complementary variables of the study are presented below. Considering the assumption of normality and its relationship with internet use, the Spearman correlation coefficient (ρ) was used. Findings show that there is a positive and statistically significant relationship with the two complementary variables. The results can be observed in Table 12.
Table 12 Spearman's Correlation Coefficient with respect to Internet use
| Index | Spearman Coefficient correlation (ρ) | P value | Results |
| Family support | 0.204 | 0.051 | ES |
| Perception of technology | 0.252 | 0.015 | ES |
Note: ES = Statistically significant (p-value ≤ 0.1); NS = Not significant (p-value> 0.1)
Source: Author elaboration
Discussion
Currently, the internet is considered a global phenomenon, which allows communication and the expansion of knowledge through its various innovative platforms that have become increasingly accessible. However, despite the great advances in telecommunications, there are still people, especially those living in marginalized zones, that do not have access to internet services. Despite these circumstances, today women in rural areas have begun to use technologies as support tools in their companies.
This study aimed to analize women entrepreneur's use of technology in relation to the association of some variables such as: age, level of education, family support and the stages of technology adoption.
According to the results, 72.7% of the participants use the internet to interact with other people, 74.6% indicated that the most used social networks were Skype, Twitter, Facebook, Instagram, Snapchat, and Messenger. These results are consistent with other studies on the use of technology by rural women, such as Domínguez, Cisneros & Barbera (2018). In addition, 68.5% of the women entrepreneurs used the Internet for their own training and 64.4% used it to support their own preparation; this is consistent with the work of Sharma, Dua & Hatwal (2012); Jalan & Gupta (2019), who highlight that the entrepreneurial spirit, innovation, and digital change in the businesses of women entrepreneurs in rural communities is through information, adequate knowledge, specialized technical advice and the use of digital technologies.
Other findings indicate that half of the women entrepreneurs were in the stages of learning the process and internalizing the use of technologies. Only a little more than 25% of the participants were between the stages of understanding, familiarity, and confidence in the use of technology; these stages are considered key for consolidating their technological competencies when starting a business. These findings are consistent with the work of Hassan, Ramli & Mat Desa (2014) in the sense that rural women can be successful in their businesses if they have confidence, determination, and vision in the activities they carry out.
It is important to highlight that the relationship between use of technology and the variables: women´s level of education, family support, the stage of technology adoption and their perception of technology was statistically significant. This shows the importance for women entrepreneurs from vulnerable communities to be academically prepared, to train until mastering technology and that family support plays a key role for women professional and personal development. All these variables positively influence a better performance and therefore consolidate the empowerment of rural female entrepreneurship. These findings are consistent with those of Haji, Muhamad, Abdul and Man (2018) and Dominguez, Cisneros & Barberá (2018), who emphasize the importance of empowering rural women through innovations based on the use of digital technologies found on the Internet that help them develop their marketing skills for business development, improve their business strategy and strengthen their digital skills, thus achieving the success of their own companies.
Conclusions
This work represents an effort to document the current state of Internet use by rural women entrepreneurs in three areas of Yucatan. The conclusion of this study emphasizes that new digital tools can serve to empower and support a new source of global and inclusive economic growth, but to achieve this it is important that women continue trying to achieve their aspirations. Likewise, it is important to continue supporting and investigating the issue of entrepreneurship in rural areas.
From the analysis of the literature, it was possible to detect specific gaps that, if addressed, could effectively support the development of women entrepreneurs Similarly, the need to conduct research on the role of women entrepreneurs is evident. This will provide evidence on how the role of women entrepreneurs in being transformed by digital technologies and increase the qualitative information about the success stories of women entrepreneurs. Such as the case of the Women Entrepreneurship Knowledge Hub in Canada, a national network that has an accessible digital platform to share research, resources, best business practices and leading strategies designed for the training needs of women entrepreneurs from various regions and sectors.
In consequence, it is important to guarantee that women of all contexts have equal access to the “Three Es”, education, employment, and entrepreneurship, since they are the three elements that unlock access to opportunities and forge a more sustainable and sustainable growth. inclusive of women's participation in the labor market.
Future lines of research
As a result of the study, we identified aspects that deserve to be addressed in future research, there is a need for studying other factors such as: marital status, literacy level, migration, heads of family and health contingencies (COVID-19) opens up, with the intention of improving the understanding of the specific needs of women in developing countries and in contexts located in deep zones of exclusion, with the aim of directing.
Finally, in-depth studies using qualitative research designs with women entrepreneurs in rural contexts are recommended to accurately analyze the difficulties and challenges they face day by day in the development of their business, in order to establish adequate strategies that guarantee their work success and quality of life.










nueva página del texto (beta)







