Introducción
En México, la educación media superior es parte del esquema obligatorio desde el año 2012 cuando se reformaron los artículos 3 y 31 de la constitución política del país. Esto trajo como resultado un aumento en la matrícula de estudiantes y una lenta disminución en el promedio de deserción a nivel nacional, pero su porcentaje sigue siendo aún preocupante (Saconne, 2016). De acuerdo con datos del Instituto Nacional para la Evaluación de la Educación (INEE, 2019b), en el ciclo escolar 2016-2017, la tasa de abandono de la educación media superior en México fue del 15.2 %, y para el estado de Sonora, del 16.5 %. Estos resultados distan de la meta planteada por el Consejo Nacional de Autoridades Educativas (CONAEDU), cuyo objetivo era reducir la tasa de abandono escolar al 9 % en el nivel medio superior (CONAEDU, 2015). Por su parte, indicadores del Plan Nacional para la Evaluación de los Aprendizajes (PLANEA) señalan que el 66.2 % de los estudiantes se encuentra en nivel I en matemáticas y, el 33.9 %, en lenguaje y comunicación; datos que señalan el porcentaje de alumnos que tienen un nivel de dominio insuficiente en áreas fundamentales para los aprendizajes del currículo (INEE, 2019a).
La insuficiencia académica y el eventual abandono escolar requieren de un análisis del contexto y características de los estudiantes. En México, dicho análisis se ha centrado, en su mayoría, en factores externos como carencias económicas o instalaciones educativas inadecuadas. Sin embargo, los factores personales, como la falta de interés o la preferencia por otro tipo de actividades, también tienen un papel relevante en los resultados educativos (Vries y Grijalva, 2021). En este sentido, considerando que el abandono escolar no es un evento instantáneo, sino un proceso gradual, los investigadores resaltan el papel del compromiso académico para comprender e intervenir en la deserción, a la vez que se promueve un desempeño positivo, debido a que constituye un predictor del rendimiento académico (Alrashidi et al., 2016; Chase et al., 2014; Lei et al., 2018; Pan et al., 2017; Bradley et al., 2021).
El compromiso académico puede definirse como la participación de los estudiantes en los logros académicos y se entiende como un constructo multidimensional que comprende el comportamiento, la emoción y la cognición como elementos interrelacionados (Christenson et al., 2012; Frederick et al., 2004). La dimensión conductual del compromiso académico es directamente observable a partir de indicadores como el absentismo escolar y la participación en actividades curriculares o extracurriculares. Por otra parte, la dimensión cognitiva incluye el uso de estrategias de aprendizaje y autorregulación; y la dimensión emocional se refiere a las actitudes que presentan los estudiantes hacia el aprendizaje, maestros, compañeros, así como su sentido de pertenencia a la escuela y a las actividades escolares (Reschly y Christenson, 2012).
Desde una perspectiva ecológica del desarrollo psicológico, el contexto en el que se desenvuelve el adolescente debe ser considerado para comprender su nivel de compromiso académico, al reconocer que el desarrollo depende tanto del individuo como de las interacciones con el entorno social a lo largo del tiempo (Bronfenbrenner, 1986). Durante la adolescencia, periodo donde se cursa la educación media superior o educación preparatoria en México, las relaciones con los pares adquieren cada vez más importancia a medida que los jóvenes pasan más tiempo con sus compañeros (Wang et al., 2018). A su vez, al ser la adolescencia un periodo caracterizado por rápidos cambios hormonales y sociales, se considera una etapa de vulnerabilidad, en la que se es más propenso a experimentar riesgos en compañía de los pares que en soledad (Blakemore, 2019). Algunas conductas de riesgo de los pares que pueden influir en el comportamiento del adolescente son el consumo de alcohol, drogas o cigarro, el acoso escolar (Andrews et al., 2020), faltar a clases y tener bajo rendimiento académico (Rambaran et al., 2017). Al presentarse estos comportamientos, se pueden promover en los estudiantes la disminución del interés en comportamientos positivos y su compromiso académico incluso sin que sean partícipes de dichas conductas, puesto que constituyen por sí mismas una distracción de sus objetivos académicos (Hirschfield y Gasper, 2011; Stanard et al., 2010). Además, el involucramiento de los amigos en conductas de riesgo puede llevar a su falta de colaboración en la resolución de problemas escolares o tareas, lo que también disminuye el compromiso académico (Moon y Ke, 2020).
A pesar de lo anterior, no todas las personas expuestas a factores de riesgo desarrollan consecuencias negativas. Desde una perspectiva tradicional del estudio de la adolescencia, la ausencia de consecuencias negativas o patología era suficiente para hablar de un adecuado desarrollo. No obstante, la literatura especializada en el desarrollo positivo del adolescente se ha centrado en estudiar no solo la ausencia del conflicto sino las fortalezas y los resultados adaptativos (Bravo Andrade et al., 2021). Adicionalmente, cuando en algún momento de su vida el individuo se enfrenta a una situación de riesgo y continúa con un desarrollo positivo pese a la adversidad, nos encontramos ante el fenómeno de resiliencia (Lerner et al., 2018).
La resiliencia se refiere al estudio del proceso, capacidades y respuestas asociadas con la deseable adaptación psicológica en contextos de riesgo (Masten, 2018). Para demostrar que se presenta el fenómeno de la resiliencia, se requiere cumplir al menos con un riesgo para el desarrollo y una conducta adaptativa (Masten et al., 2021). Esto es, que los factores de riesgo constituyan las características del entorno o comportamientos personales que posibilitan la desadaptación psicológica, y que la conducta adaptativa sea el comportamiento exitoso en un área del desarrollo (Gaxiola, 2016; Masten, 2014; 2018; Luthar, 2003). Cuando el criterio de logro esperado se relaciona con la adaptación académica exitosa frente a los riesgos escolares, se denomina resiliencia académica (Wang et al., 1994).
De acuerdo con la teoría ecológico-transaccional, en el fenómeno de la resiliencia, sin importar su tipo, participan de manera dinámica un conjunto de capacidades personales para enfrentar y superar los riesgos contextuales que se presentan durante el desarrollo psicológico que favorecen la adaptación psicológica (Masten, 2018). Entre estas capacidades psicológicas que pueden conceptualizarse como disposiciones a la resiliencia se encuentran el optimismo, el sentido del humor, la actitud positiva, la perseverancia, la autoeficacia, la religiosidad, la flexibilidad, la orientación a la meta, y la autoeficacia (Gaxiola et al., 2011; Taylor y Ruiz, 2019). Estudios clásicos definen a las características psicológicas personales asociadas con la superación de los riesgos como ego-resiliencia (Block y Block, 1980).Aun así, el concepto de disposiciones a la resiliencia constituye una alternativa conceptual a la ego-resiliencia, pues esta última personaliza las cualidades psicológicas y es posible confundirlas con rasgos de personalidad psicológica, cuando solamente representan tendencias o probabilidades de acción aprendidas en interacción con el contexto (Gaxiola, 2016).
Resultados de diversas investigaciones señalan que las disposiciones a la resiliencia son factores protectores del compromiso, orientación y eficacia académica (Gaxiola et al., 2018; Gaxiola et al., 2012; Gaxiola y González, 2019; Taylor y Ruiz, 2019; Turner et al., 2017). Pese a ello, se desconoce si los distintos niveles personales de disposiciones a la resiliencia predicen el compromiso académico cuando las características de los amigos son negativas y, por lo tanto, funcionan como factor de riesgo. Responder a esta interrogante es una de las direcciones actuales en los estudios de resiliencia, en donde se busca comprender cómo y qué factores operan para mitigar los riesgos (Masten, 2019).
Los modelos conceptuales utilizados en el estudio de la resiliencia son variados y, entre estos, es posible mencionar los que se enfocan en el efecto moderador que tienen las fortalezas individuales en la adaptación ante los riesgos (Gori et al., 2021; Masten et al., 2021). En el ámbito educativo, se señala que la resiliencia académica modera la relación entre el estrés académico y la angustia general en estudiantes de preparatoria (Wang et al., 2020), pero se requiere información sobre el papel moderador de las disposiciones a la resiliencia en el compromiso académico de estudiantes con amistades de riesgo. Dicho conocimiento puede ayudar en el futuro a mejorar la adaptación académica de los estudiantes en riesgo y promover su éxito académico hasta culminar con sus estudios de preparatoria. Con base en lo anterior, el objetivo de la presente investigación fue evaluar en dos tiempos la influencia de los amigos con conductas de riesgo en el compromiso académico de estudiantes de preparatoria y el papel moderador de los niveles alto, medio y bajo de las disposiciones de resiliencia en dicha relación.
Hipótesis
H1: Tener amigos con conductas de riesgo en el tiempo 1 (T1) tendrá un efecto negativo en el compromiso académico en el tiempo 2 (T2).
H2: Las disposiciones a la resiliencia en T1 moderarán la relación negativa de las amistades con conductas de riesgo y el compromiso académico en T2.
Metodología
La muestra fue seleccionada de tres escuelas preparatorias públicas de la ciudad de Hermosillo, Sonora, México. Las escuelas fueron elegidas según su nivel de rendimiento académico: bajo, medio y alto (Secretaría de Educación Pública [SEP], 2017) con base en resultados de evaluaciones nacionales en las áreas de matemáticas, lenguaje y comunicación. Todos las y los estudiantes que se encontraban matriculados al momento de iniciar el estudio fueron elegibles para participar en la investigación. A los posibles participantes se les explicó el propósito del estudio y que su participación era voluntaria. Después, tuvieron la oportunidad de leer y firmar un formulario de consentimiento informado. De igual forma, llevaron a su casa un segundo formulario de consentimiento para ser firmado por sus padres o tutores legales.
Al día siguiente, los estudiantes que presentaron ambos formularios de consentimiento firmados completaron los cuestionarios en la escuela, dentro del salón de clases, en un tiempo aproximado de 60 minutos. Se aclara que durante todo el procedimiento se cuidó en el cumplimiento de los principios éticos de investigación con personas, debido a que el proyecto general cuenta con la supervisión y el aval del departamento de bioética de la universidad a la que pertenece el investigador principal.
El diseño del estudio fue longitudinal. La primera medición se llevó a cabo el primer año de educación media superior (preparatoria) de los participantes (septiembre de 2018) y la segunda medición tuvo lugar el año siguiente (septiembre de 2019). Un total de 773 estudiantes participaron en el estudio, 260 pertenecientes a la escuela de alto rendimiento, 293 pertenecientes a la escuela de rendimiento medio y 213 pertenecientes a la escuela de bajo rendimiento. Aproximadamente, el 62 % de la muestra se retuvo durante el seguimiento.
Instrumentos
Amigos con conductas de riesgo
Se aplicó una escala previamente utilizada en México para evaluar las características de amigos de riesgo, con un valor de alfa de Cronbach de 0.84 en estudiantes de preparatoria (Gaxiola et al., 2012). Se conforma por cinco ítems, que evalúan la participación de los amigos en conductas como peleas, consumo de drogas y absentismo escolar (p. ej., “mis amigos participan en peleas”). La escala original tiene opciones de respuesta tipo Likert que van desde 1 al 5. En este estudio, con el fin de homogeneizar las opciones de respuesta con el resto de los instrumentos, se utilizaron cuatro opciones que van del “nunca” hasta “muy a menudo”.
Disposiciones de resiliencia
Se utilizó el Inventario de Disposiciones a la Resiliencia (IRES). La escala original consta de diez dimensiones, que incluyen estilo de afrontamiento, autoeficacia, flexibilidad, orientación a la meta, perseverancia, optimismo, actitud positiva, sentido del humor, empatía y religiosidad (Gaxiola et al., 2011). Sin embargo, con el fin de mejorar la bondad de ajuste, la estructura interna se volvió a especificar en dos dimensiones principales de disposiciones a la resiliencia instrumental (ω = 0.865) y emocional (ω = 0.889) con base en un estudio previo donde la resiliencia instrumental se definió como comportamientos y acciones que permiten que alguien se ajuste a las adversidades, y se conformó de reactivos sobre autoeficacia, persistencia, orientación a la meta y afrontamiento; mientras que la resiliencia emocional se caracterizó por rasgos como la actitud positiva, sentido del humor y apego a la religiosidad (Mandujano et al., 2020), por ejemplo, “lucho hasta conseguir lo que quiero”. Las opciones de respuesta del IRES son cuatro y van de “nunca” hasta “siempre”. El valor de alfa de Cronbach reportado en su configuración de dos dimensiones fue de 0.83 para la resiliencia instrumental, de 0.84 para la resiliencia emocional y 0.88 al combinar ambas dimensiones.
Compromiso académico
Se utilizó una traducción previamente validada (Gaxiola et al., 2019) de la Escala de Compromiso Académico Conductual, Emocional y Cognitivo (Chen, 2005), con un valor de alfa de 0.93. El instrumento incluye 16 ítems distribuidos en tres dimensiones que abordan el compromiso académico. La escala incluyó seis reactivos para medir compromiso académico emocional (ω = 0.752), 5 reactivos para medir compromiso académico conductual, (ω = 0.645) y 5 reactivos para medir compromiso académico cognitivo (ω = 0.752). La sub escala de compromiso conductual tiene cuatro opciones de respuesta que van de “nunca” hasta “siempre” (por ejemplo, "¿con qué frecuencia trabajas duro para tener un buen desempeño en la escuela?"). Las sub escalas compromiso emocional y cognitivo tienen cuatro opciones de respuesta que van desde “totalmente en desacuerdo” hasta “totalmente de acuerdo” (p. ej., compromiso emocional: "me siento parte de mi escuela”; compromiso cognitivo: "quiero aprender todo lo que pueda en el colegio").
Análisis de datos
Se realizaron análisis descriptivos de las características de los participantes, análisis de moderación con respecto al sexo y tipo de escuela (escuela 0 = bajo nivel de aprovechamiento; escuela 1 = nivel medio de aprovechamiento; escuela 2 = alto nivel de aprovechamiento), así como de cada una de las variables de la investigación con énfasis en los niveles de las disposiciones a la resiliencia alta, media y baja, definidos con puntajes de 4, 2 y 0 en la escala IRES respectivamente.
Se llevaron a cabo análisis factoriales confirmatorios utilizando estimadores de máxima verosimilitud con errores estándar robustos (Yuan y Bentler, 2000). Un valor de chi cuadrado (χ2) con un valor p de ≤ 0.05 se considera un buen ajuste. No obstante, en tamaños de muestra grandes, esta prueba podría rechazar modelos con ajuste adecuado. Por lo tanto, para establecer un buen ajuste, se consideraron, además, los siguientes criterios: un χ2 / gl de ≤ 3, un RMSEA de ≤ 0.06, un SRMR ≤ 0.09 y un valor de CFI de ≥ 0.95 (Hooper et al., 2008). También, se calculó el coeficiente omega (ω) de confiabilidad compuesta que es apropiado para escalas de peso unitario (McNeish, 2018). Los resultados de estos análisis se presentan en la Tabla 2 en el siguiente apartado del este trabajo. En la Figura 1 se presenta un diagrama del modelo que se probó. Aquí, la escuela, el sexo del estudiante y los puntajes en la escala de amigos de riesgo (medido en T1) se introducen como variables predictoras del compromiso académico (medido en T2). Las disposiciones a la resiliencia (medidas en T1) se introducen como variable moderadora de la relación amigos de riesgo compromiso académico.

Nota. Con este análisis se puede determinar si los efectos de los amigos de riesgo sobre el compromiso académico varían en función de las disposiciones a la resiliencia.
Figura 1 Diagrama del modelo a probar
Para ilustrar cómo cambia la relación entre los puntajes en la escala de amigos de riesgo (en T1) y el compromiso académico (en T2), se usaron los puntajes de 0, 2 y 4 en la escala IRES como ejemplos de personas con disposiciones a la resiliencia de nivel bajo, medio y alto.
En los análisis de moderación, la estimación de frecuencia tradicional puede conducir a estimaciones con errores estándares e intervalos de confianza sesgados (Van de Schoot et al., 2014). Por el contrario, en la estimación bayesiana, no se asume ni requiere normalidad subyacente a los parámetros de un modelo. En un análisis bayesiano, la verificación predictiva posterior puede utilizarse para evaluar el ajuste del modelo. De esto se deriva el valor p predictivo posterior (PPP), el cual no se comporta como un valor p para el chi cuadrado del ajuste del modelo de frecuencia, sino que es más parecido a un índice de ajuste SEM (Structural Equation Models/Modelo de Ecuaciones Estructurales). En consecuencia, un PPP> 0.05 podría no ser suficiente para establecer un buen ajuste (Muthén y Asparouhov, 2012). Por otro lado, un valor PPP <0.15 puede considerarse un nivel de corte adecuado para rechazar modelos con tamaños de muestra grandes, como n = 250 (Cain y Zhang, 2019); una PPP de alrededor de 0.5 se considera un ajuste excelente (Muthén y Asparouhov, 2012).
Resultados
Las características de los participantes se describen en la Tabla 1. Las medias se calcularon promediando los reactivos que se retuvieron tras realizar los análisis factoriales confirmatorios. Puede notarse que la escala de amigos de riesgo arrojó la distribución menos normal, donde una gran cantidad de estudiantes reportan puntajes bajos y se presenta una cola a la derecha de la escala. La distribución de los puntajes de disposiciones a la resiliencia está ligeramente concentrada a la derecha de la escala con una cola hacia la izquierda.
Tabla 1 Características de los participantes
| Variable | n | Porcentaje | Media | Varianza | Asimetría | Curtosis |
| Amigos con conductas de riesgo | 766 | - | 0.475 | 0.412 | 2.033 | 4.914 |
| Compromiso académico | 477 | - | 2.820 | 0.144 | 0.047 | -0.373 |
| Disposiciones a la resiliencia | 761 | - | 2.998 | 0.77 | -0.834 | 0.272 |
| Masculino | 401 | 52.3 % | - | - | - | - |
| Femenino | 365 | 47.7 % | - | - | - | - |
| Escuela 1 (bajo aprovechamiento) | 260 | 33.9 % | - | - | - | - |
| Escuela 2 (medio aprovechamiento) | 293 | 38.3 % | - | - | - | - |
| Escuela 3 (alto aprovechamiento) | 213 | 27.8 % | - | - | - | - |
Los resultados de los análisis factoriales confirmatorios se presentan en la Tabla 2. Estos indican que la configuración final de los instrumentos tuvo un excelente ajuste. El modelo para la escala de amigos de riesgos constó de cinco indicadores en una estructura unifactorial. El modelo para la escala de disposiciones a la resiliencia constó de 11 indicadores en una estructura de dos factores, el de disposiciones instrumentales y disposiciones emocionales, cargando en un factor de segundo orden de disposiciones a la resiliencia. El modelo para la escala de compromiso académico constó de 16 indicadores en una estructura de tres factores: el de compromiso emocional, conductual y cognitivo; cargando en un factor de segundo orden de compromiso académico. El coeficiente omega (ω) para escalas de peso unitario indica buena confiabilidad para todas las escalas.
Tabla 2 Bondad de ajuste de los modelos de análisis factorial confirmatorio para las escalas independientes
| Modelo de medición | χ2 | DF | p | χ2/DF | RMSEA | CFI | SRMR | ω |
| Amigos de riesgo | 3.778 | 5 | 0.5818 | 0.76 | 0.000 | 1.000 | 0.012 | 0.813 |
| Disposiciones a la resiliencia | 88.813 | 42 | ≤ 0.001 | 2.12 | 0.038 | 0.983 | 0.025 | 0.934 |
| Compromiso Académico | 154.988 | 101 | ≤ 0.001 | 1.54 | 0.033 | 0.955 | 0.042 | 0.886 |
Los resultados finales se encuentran en la Tabla 3 y en la Figura 2. Con relación a la primera hipótesis, tener amigos de riesgo en el T1 predice negativa y significativamente el compromiso académico de los participantes durante el T2 (β = -0.313, p = 0.001, I. C. 95 % [-0.497, -0.126]). Como se planteó en la segunda hipótesis, las disposiciones a la resiliencia mitigan el efecto negativo de tener amigos de riesgo en el compromiso académico (β =0 .090, p = 0.002, I. C. 95% [0.030, 0.151]). En otras palabras, las disposiciones a la resiliencia altas conceden la capacidad de mitigar el decremento que se esperaría observar en el compromiso académico a causa de tener amistades de riesgo. Debe tenerse en cuenta que los resultados se presentan en una solución no estandarizada. Al estandarizar los efectos, los amigos de riesgos predicen el compromiso académico con β = -0.527, p = 0.001, I. C. 95% (-0.807, -0.223).
Tabla 3 Resultados de análisis de moderación
| Estimación | D.E. posterior | valor p (una cola) | I. C. 95 % | Sig. | ||
| 2.5 % inferior | 2.5 % superior | |||||
| Regresión de compromiso académico sobre | ||||||
| Amigos de riesgo | -0.313 | 0.092 | 0.001 | -0.497 | -0.126 | * |
| Sexo (masculino) | -0.078 | 0.021 | < 0.001 | -0.12 | -0.036 | * |
| Escuela | 0.086 | 0.021 | < 0.001 | 0.047 | 0.127 | * |
| Sexo (masculino) correlacionado con | ||||||
| Escuela | -0.110 | 0.050 | 0.015 | -0.206 | -0.008 | * |
| Amigos de riesgo | 0.063 | 0.031 | 0.026 | -0.001 | 0.120 | |
| Escuela correlacionada con | ||||||
| Amigos de riesgo | -0.019 | 0.026 | 0.243 | -0.067 | 0.033 | |
| Intercepto | ||||||
| Compromiso académico | 2.812 | 0.021 | < 0.001 | 2.770 | 2.852 | * |
| Moderación de la relación compromiso académico-amigos de riesgo | ||||||
| Disposiciones a la resiliencia | -0.078 | 0.021 | < 0.001 | -0.120 | -0.036 | * |
| Efecto esperado de los amigos de riesgo en el compromiso académico condicionado en | ||||||
| Bajas disposiciones a la resiliencia | -0.313 | 0.092 | 0.001 | -0.497 | -0.126 | * |
| Medianas disposiciones a la resiliencia | -0.133 | 0.039 | 0.001 | -0.209 | -0.055 | * |
| Altas disposiciones a la resiliencia | 0.047 | 0.045 | 0.154 | -0.041 | 0.138 | |
Nota. La significancia estadística (sig.) se alcanza cuando se tiene p < 0.05 y los intervalos de credibilidad bayesianos no incluyen cero.

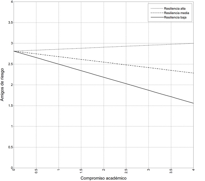
Nota. Las líneas representan la pendiente calculada para el efecto esperado de los amigos de riesgo en el compromiso académico con altas disposiciones a la resiliencia (línea punteada), con medianas disposiciones a la resiliencia (línea de rayas) y con bajas disposiciones a la resiliencia (línea continua). Ajuste del modelo: PPP = 0.490.
Figura 2 Pendiente calculada para el efecto esperado de los amigos de riesgo
En las tres últimas filas de la Tabla 3, se calcularon tres pendientes adicionales con base en el valor esperado de la pendiente, dados los diversos grados de variación de las disposiciones a la resiliencia. Debido a que todas las variables se midieron en una escala de 0 a 4, definimos las disposiciones de baja resiliencia como un valor de 0, la resiliencia media como un valor de 2 y la alta resiliencia como un valor de 4. Con base en estos valores, el efecto de los amigos de riesgo en el compromiso académico es de β = -0.313, p = 0.001, I. C. 95% (-0.497, -0.126) con baja resiliencia; de β = -0.133, p = 0.001, I. C. 95% (-0.209, -0.055) con resiliencia media, y de β = -0.047, p = 0.154, I. C. 95% (-0.041, -0.138) con alta resiliencia.
En otras palabras, sin el papel protector y moderador de las disposiciones a la resiliencia, el efecto de tener amigos de riesgo en el compromiso académico tiene el efecto negativo completo que se describió previamente. Cuando un estudiante posee niveles medios de disposiciones a la resiliencia, tener amigos de riesgo tiene un efecto menor, aunque significativo, en el compromiso académico. Finalmente, en estudiantes con altos niveles de disposiciones a la resiliencia, el compromiso académico no es afectado por los amigos con tendencia al riesgo. La Figura 2 muestra visualmente los resultados del análisis de moderación.
Con relación a las otras variables del modelo, se encontró que pertenecer a una escuela de mayor rendimiento se asociaba a mayor compromiso académico, con un coeficiente estandarizado de β = 0.225 (p < 0.001, I. C. 95 % [0.124, 0.324]). Respecto al sexo, se encontró que ser de sexo masculino predecía menor compromiso académico, con un coeficiente estandarizado de β = -0.205 (p < 0.001, I. C. 95% [-0.305, -0.096]). Aunado a esto, el sexo masculino correlacionó negativamente con pertenecer a una escuela de mayor rendimiento académico (r = -0.110, p = 0.015, I. C. 95% [-0.206, -0.008]), lo que indica que en escuelas de mayor rendimiento hay menos proporción de estudiantes de sexo masculino. También, se encontró que los estudiantes de sexo masculino tienen ligeramente mayores puntuaciones en la escala de amigos de riesgo (r = 0.097, p = 0.026, I. C. 95 % [-0.002, 0.184]). Por último, puede observarse que el modelo tiene un ajuste excelente (PPP = 0.490).
Discusión
Los resultados de la presente investigación mostraron que los tres niveles de disposiciones a la resiliencia (alto, medio y bajo) del T1 se relacionaron con el compromiso académico alto, medio y bajo en el T2, en el contexto establecido de las amistades con conductas de riesgo. Con respecto a la primera hipótesis de este estudio, los resultados señalan una relación negativa entre el compromiso académico y las amistades con comportamientos de riesgo, como faltar a clases, consumir drogas y participar en peleas. La literatura reporta que tener amigos con estos comportamientos puede ser un distractor de las tareas académicas y un generador de estrés en los estudiantes, sea que estos participen o no en tales conductas (Hirschfield y Gasper, 2011; Stanard et al., 2010). Asimismo, en muestras longitudinales, la exposición a la violencia y delincuencia juvenil, por ejemplo, donde los amigos participan en peleas o hacen daño a lugares públicos o privados, predice negativamente al compromiso académico de estudiantes de preparatoria (Elsaesser et al., 2020).
Con respecto a la segunda hipótesis del estudio, centrada en el papel modulador de las disposiciones a la resiliencia, se encontró que, en el grupo con disposiciones a la resiliencia bajo y en el contexto de amistades de riesgo, el compromiso académico tiende a disminuir a lo largo del tiempo. Similares resultados fueron presentados por Yin y colaboradores (2016), quienes reportaron que los bajos niveles de resiliencia tienden a generar un efecto negativo en el compromiso académico. Por otro lado, en el grupo de disposiciones a la resiliencia media, se observó una disminución en el efecto de los amigos de riesgo y en el compromiso académico. Al respecto, distintas investigaciones señalan que los niveles de ejecución académica varían de acuerdo con los diversos niveles de resiliencia mostrada por los estudiantes, lo que se puede explicar por los diferentes niveles de capacidades individuales para superar los riesgos y adaptarse exitosamente a la escuela (Allan et al., 2014; Fullerton et al., 2021).
En lo referente al grupo de disposiciones a la resiliencia alta, el presente estudio no encontró efectos negativos significativos entre el compromiso académico y el tener amigos con conductas de riesgo, contrario a otras investigaciones donde el compromiso académico se relaciona de manera negativa con situaciones de estrés (Yin et al., 2016). Esto implica que las disposiciones a la resiliencia funcionaron en el presente estudio como un factor protector y moderador que inhibió el efecto negativo de los amigos con conductas de riesgo, al posibilitar el mantener el compromiso académico. El resultado es consistente con la propuesta de los principales modelos de riesgo y resiliencia, donde se enfatiza que no solo es importante reducir o mitigar los riesgos, sino también, contar con el apoyo de otros significativos para que las personas enfrenten la adversidad (Martin y Marsh, 2020). Por otra parte, los resultados obtenidos brindan apoyo a la teoría ecológica-transaccional que señala que el fenómeno de la resiliencia es un proceso psicológico donde participan trayectorias entre los factores de riesgo (amigos de riesgo), características psicológicas personales (disposiciones a la resiliencia) y competencias adaptativas (compromiso académico); es decir, el contexto ecológico que rodea a las personas (Ungar, 2012; Masten, 2014, 2018).
Es la primera vez que se midieron de manera longitudinal la relación de los diferentes niveles de las disposiciones a la resiliencia en T1 y en sus efectos en una medida adaptiva, como la caracterizada por el compromiso académico en T2 en estudiantes del noroeste de México, lo que posibilitó el análisis de trayectorias entre las variables seleccionadas (Masten, 2018). A partir de los resultados, se puede concluir que las características disposicionales de la resiliencia predicen el compromiso académico de los estudiantes de preparatoria frente a la presencia de amistades de riesgo. Las disposiciones a la resiliencia, al no ser rasgos psicológicos, sino tendencias o probabilidades de acción funcionales en el desarrollo psicológico, posibilitan el ser entrenadas (Gaxiola, 2016). Es decir, es factible el desarrollo de programas psicológicos para la mejora del compromiso académico de los estudiantes de preparatoria donde se promueva de manera sistemática el desarrollo del optimismo, el sentido del humor, la actitud positiva, la perseverancia, la autoeficacia, la flexibilidad y la orientación a la meta (Agbaria, 2021; García Esparza y Méndez Sánchez, 2017; Falco y Summers, 2019; Foote et al., 2019; González et al., 2019; Molina Hernández y García León, 2015; Aranzana Juarros et al., 2018; Lustenberger et al., 2019). Lo anterior es relevante en un contexto donde el compromiso académico se relaciona con el éxito académico (Chase et al., 2014; Lei et al., 2018; Pan et al., 2017; Carmona-Halty et al., 2019) y en un nivel de estudios donde existen alta deserción en México (CONAEDU, 2015; INEE, 2019b).
Conclusiones
En síntesis, los resultados implican, desde el aspecto metodológico, que las disposiciones a la resiliencia pueden ser protectoras de los efectos adversos de las amistades de riesgo en sus efectos negativos en el compromiso académico. Estas características disposicionales en otras investigaciones comprobaron su relación positiva con el aprendizaje autorregulado, el rendimiento académico y el compromiso cognitivo de estudiantes adolescentes (Gaxiola y González, 2019; Gaxiola et al., 2012; Taylor y Ruiz, 2019). Desde el punto de vista teórico, los resultados obtenidos fortalecen a las teorías generales de tipo ecológico-transaccional sobre resiliencia, en específico, sobre resiliencia académica, pues establecen que ciertas características personales median la posibilidad de enfrentar con éxito las adversidades (Gaxiola, 2016; Masten, 2014; 2018; Luthar, 2003). Por último, desde el punto de vista práctico y social se agrega la posibilidad de la aplicación de programas de promoción, prevención o rehabilitación para el entrenamiento en disposiciones a la resiliencia, con el fin de promover el compromiso académico de estudiantes de preparatoria en riesgo de deserción escolar.
De acuerdo con los resultados del presente estudio, es a partir del nivel de las disposiciones a la resiliencia que puede predecirse la protección respecto de la presencia de amistades de riesgo, pero no es posible concluir por cuánto tiempo los estudiantes de la muestra podrán resistir la compañía de amistades de riesgo, sin manifestar las consecuencias negativas en su compromiso académico. Por tanto, se desconoce cuál será el tiempo que los adolescentes podrán permanecer sin consecuencias negativas debido a la compañía de amistades de riesgo, porque no se evaluaron otras variables, por ejemplo, la conducta antisocial de los participantes. Investigaciones acerca del comportamiento académico durante la adolescencia indican que las amistades son agentes importantes de socialización (Wang et al., 2018).
Además, según el modelo presentado, los resultados deben tomarse con cautela, debido a que son válidos solamente para dos años consecutivos y es necesario considerar que provienen del autorreporte de los participantes, lo que implica posibles sesgos de deseabilidad social. Otras limitaciones de la presente investigación se encuentran que no se midió el resultado final de la ejecución académica, como el promedio de calificaciones o las competencias académicas matemáticas o lingüísticas de los participantes (Taylor y Ruiz, 2019), ni tampoco se evaluaron los factores protectores contextuales, por ejemplo, la protección que puede brindar el involucramiento parental en el desarrollo académico de los estudiantes (Chung et al., 2020), o bien, las relaciones positivas y de apoyo de compañeros que pueden mejorar el compromiso académico durante la adolescencia (Fredricks et al., 2019; Vollet y Kindermann, 2020). Por lo anterior, se recomienda que los estudios futuros tomen en consideración estas variables.










nueva página del texto (beta)



