INTRODUCCIÓN
La vejez es definida como la etapa de vida que inicia a los 60 años en la cual las percepciones sociales de ésta pueden ser positivas como una etapa de sabiduría y valor, pero también negativas y discriminatorias, influyendo en la posición social que se le asigna a la persona mayor y en su salud. Se ha mencionado que una de las problemáticas que enfrenta el grupo de adultos mayores es el maltrato1.
El ageismo y sus sinónimos discriminación por razón de edad (i. e. edadismo o viejismo), se refieren a los estereotipos negativos asignados a personas, grupos de adultos mayores sólo por su edad 2 y al proceso de envejecimiento. Dichos prejuicios, descritos desde finales de los años sesenta, perjudican y devalúan la imagen, la condición social del anciano, a la vejez y al mismo tiempo asocian de forma catastrófica al ciclo del envejecimiento con la enfermedad, la pobreza y la soledad creando miedo y rechazo a este ciclo de vida3. Esta categorización negativa, parte de un factor sociocultural y donde se representa a las personas mayores como frágiles, débiles y dependientes, lo cual puede colocar en riesgo de maltrato a las personas mayores 4 y por lo tanto afectar su salud física y mental.
Cuando los adultos mayores están expuestos a estereotipos negativos, pueden vivir su envejecimiento con estrés, desarrollar estilos de vida no saludables, depresión y enfermedades crónicas, lo cual afecta negativamente en su comportamiento, cognición, emociones y salud 5,6. Contrariamente, se ha encontrado que las actitudes positivas hacia el envejecimiento favorecen la salud y el bienestar sobre la vida 7.
Para México se ha identificado que la discriminación a la que están expuestos los adultos mayores son la exclusión en actividades sociales, no recibir una pensión para cubrir sus necesidades, el rechazo laboral, por razón de género, tener alguna discapacidad y la intolerancia de los adultos jóvenes para tratar con los adultos mayores 8. Al respecto, cuando los adultos jóvenes tienen contacto con adultos mayores dependientes, presentan estereotipos negativos de dependencia y los generalizan a su futura vejez 9.
Por lo tanto, un área relevante de investigación es la evaluación de estereotipos negativos hacia la vejez referentes a la atención y cuidado del adulto mayor en los sistemas de atención a la salud. Lo anterior es de importancia ya que los estereotipos negativos hacia la vejez pueden influir en la calidad de la atención y en la toma de decisiones10,11. Destaca que el personal del área de la salud que atiende a personas mayores (médicos adscritos, médicos residentes, médicos internos, enfermeras generales, auxiliares de enfermería, trabajadores sociales y asistentes médicas), presentan una alta prevalencia de estereotipos negativos 12, lo cual se asocia con la calidad de la atención.
En este sentido, existen diversos antecedentes instrumentales para la evaluación de estereotipos negativos hacia la vejez 13-21, de los cuales destaca el cuestionario de estereotipos negativos hacia la vejez (CENVE) 22, ya que ha sido uno de los instrumentos más utilizados en la población hispana. A este respecto, si bien el CENVE se ha empleado en población mexicana 12, es importante considerar que proviene de un contexto diferente (España) y que el instrumento fue creado hace más de 15 años, por lo que cierta terminología o palabras en la actualidad no se encuentran en el colectivo o cultura de la población.
Para brindar claridad sobre lo anterior, se ejemplifica con el término cascarrabias, que deriva de “cascar” y “rabia” y se refiere a “la persona que se enoja con facilidad, riñe o muestra enfado” 23. El término se hizo popular gracias a la caricatura llamada “Ahí viene cascarrabias (Here comes the grump)”24, creada en los años 7025. Lo anterior probablemente determine que las nuevas generaciones podrían desconocer este término o que éste, no se encuentre en su universo cultural. Así mismo, existen algunos términos y aspectos confusos como por ejemplo “aproximadamente”, “considerable”, “fuerte”, “incapacidades” y sinónimos como “rígidos” e “inflexibles”, por mencionar algunos.
Lo anterior denota la necesidad de realizar un proceso de adaptación, con el objetivo de que el lenguaje empleado no determine un sesgo o bien genere confusión, ya que los factores culturales pueden determinar que un término pueda ser válido o no en países que comparten el mismo idioma26. En este sentido, es importante destacar que cuando un instrumento se adapta culturalmente al medio donde se quiere utilizar, se requiere comprobar que conserva las características psicométricas adecuadas para medir aquello para lo que fue diseñado27, lo cual se realiza a través del proceso validación26.
Objetivo
Adaptar el instrumento cuestionario de estereotipos negativos hacia la vejez (CENVE)22 y comprobar que conserva las características psicométricas. De manera específica se enfatiza que el proceso de validación se integró por el análisis de validez de facie y de contenido, así como por un análisis inicial de su confiabilidad mediante la aplicación a un grupo piloto.
MÉTODO
Estudio instrumental, el cual se refiere a la construcción, adaptación y análisis de propiedades psicométricas de un instrumento28.
Adaptación
El instrumento que fue sujeto de adaptación fue el cuestionario de evaluación de estereotipos negativos de la vejez22. Este instrumento, consta de 15 ítems organizados en tres factores con respuestas en escala tipo likert que van: 1= muy en desacuerdo, 2=algo en desacuerdo, 3=algo de acuerdo y 4=muy de acuerdo.
De manera inicial, el instrumento se revisó a detalle y la adaptación consistió en la modificación de la redacción de todos los ítems, eliminación del adverbio “aproximadamente”, y se usaron términos como la participación social, tiempo libre y actividades recreativas que se ven disminuidas en la vejez, al igual que términos de estereotipos negativos generalizados hacia la vejez (Tabla 1). Se destaca que el instrumento original repite el ítem relacionado con el inicio del deterioro de memoria en dos de sus dimensiones, sin embargo, los autores del instrumento no refieren si este aspecto fue intencional o bien se trata de un error.
Tabla 1 Dimensión, ítems originales* y adaptación de los ítems
| Dimensión | Ítems originales CENVE* | Ítems adaptados |
|---|---|---|
| Salud | La mayor parte de las personas, cuando llegan a los 65años de edad, aproximadamente, comienzan a tener un considerable deterioro de memoria. | La mayoría de las personas mayores comienzan con deterioro en la retención de información y de eventos sucedidos a corto y mediano plazo. |
| La mayoría de las personas mayores de 65 años tienen alguna enfermedad mental lo bastante grave como para deteriorar sus capacidades normales. | La mayoría de las personas mayores tienen alguna enfermedad mental lo bastante grave lo que limita su vida cotidiana y participación social. | |
| La mayor parte de los adultos mantienen un nivel de salud aceptable hasta los 65 años aproximadamente, en donde se produce un fuerte deterioro de la salud. | Las personas mayores son frágiles y se enferman con regularidad. | |
| La mayor parte de las personas mayores de 65 años tienen una serie de incapacidades que les hacen depender de los demás. | Las personas mayores tienen limitaciones (en su movilidad, visión, audición) que los hacen depender de otras personas para realizar sus actividades diarias. | |
| El deterioro cognitivo (pérdida de memoria, desorientación o confusión) es una parte inevitable de la vejez. | La pérdida de la memoria, la desorientación y confusión son comunes en las personas mayores. | |
| Motivacional/social | Las personas mayores tienen menos interés por el sexo. | Las personas mayores pierden el interés en las relaciones sexuales. |
| Las personas mayores tienen menos amigos que las más jóvenes. | Las personas mayores en comparación con las personas jóvenes tienen mucho tiempo libre y poca actividad social y recreativa. | |
| A medida que nos hacemos mayores perdemos el interés por las cosas. | Las personas mayores pierden el interés en actividades que les eran significativas. | |
| A medida que nos hacemos mayores perdemos la capacidad de resolver los problemas a los que nos enfrentamos. | Las personas mayores tienen dificultades para afrontar los problemas cotidianos. | |
| Casi ninguna persona mayor de 65 años realiza un trabajo tan bien como lo haría otra más joven. | Las personas mayores no realizan bien su trabajo como lo haría una persona joven. | |
| Carácter/personalidad | Las personas mayores se irritan con facilidad y son “cascarrabias”. | Las personas mayores presentan mal humor, se enojan fácilmente y son tercos. |
| A medida que las personas mayores se hacen mayores, se vuelven más rígidas e inflexibles. | Las personas mayores son testarudas. | |
| Las personas mayores son, en muchas ocasiones, como niños. | Las personas mayores se comportan como niños (caprichosos y voluntariosos). | |
| Los defectos de la gente se agudizan con la edad. | Cuando la gente envejece se agudiza su soberbia, ira, pereza, desconfianza e impaciencia. | |
| La mayor parte de las personas, cuando llegan a los 65 años de edad, aproximadamente, comienzan a tener un considerable deterioro de memoria. |
Revisión por expertos
Posterior a la adaptación, el instrumento fue revisado por cinco expertos con el objetivo de que determinaran si los ítems eran pertenecientes y relevantes para la dimensión, así como para el constructo y si la redacción era adecuada de acuerdo al contexto. Los expertos elegidos poseen experiencia en el área de la persona mayor como geriatría, gerontología, psiquiatría, psicología y terapia ocupacional mayor a 30 años, grado académico de posgrado (80 % maestría y 20% doctorado) y experiencia en el diseño y/o validación de instrumentos (100 %).
Juicio de expertos
La validez de contenido del instrumento se efectuó mediante el juicio de expertos, el cual se ha referido como el procedimiento más reconocido para este fin 29-31. Para la selección de los expertos, se consideraron los mismos criterios descritos para los expertos. De la selección efectuada, se eligieron 11 jueces expertos los cuales poseen experiencia en el área de la persona mayor como geriatría, gerontología, psiquiatría, psicología y terapia ocupacional mayor a 28 años, grado académico de posgrado (70 % maestría y 30% doctorado) y experiencia en el diseño y/o validación de instrumentos (100 %).
El juicio tuvo un enfoque cualitativo y cuantitativo y para tal fin se empleó la escala de jueces expertos32, que incluye una sección de evaluación cualitativa mediante la cual los expertos podían efectuar sugerencias de eliminación de ítems, unión de descriptores, de mejora en la redacción y para la evaluación cuantitativa los expertos evaluaron mediante una escala likert (constituida de uno a cuatro valor más bajo y alto respectivamente) la pertinencia y redacción de los ítems. El análisis de la evaluación cuantitativa se realizó mediante el coeficiente de validez de contenido (V de Aiken) y sus intervalos de confianza al 90%, considerando un valor superior en el coeficiente de 0.75 y en el límite inferior del intervalo de confianza superior a 0.50, para considerar un ítem como válido 33-37. Ítems con valores inferiores a los referidos, fueron sujetos a una revisión a detalle, considerándose su eliminación o bien su mejora de acuerdo con las recomendaciones de los jueces.
Estudio piloto del instrumento
El instrumento se aplicó a un grupo piloto conformado por 34 estudiantes de medicina de áreas clínicas y teóricas (75 % mujeres y 25 % hombres), con una edad promedio de 20,5 años (± 2,18). Los objetivos del estudio piloto fueron analizar mediante la encuesta de satisfacción 32, el grado de comprensión de las instrucciones e ítems que integran el instrumento, así como el grado de relevancia de los ítems. Adicional a este análisis, se realizaron una serie de preguntas a los participantes, las cuales giraban en torno a si conocían los términos y significado de “cascarrabias”, “rígido” e “inflexible”, “actividades significativas”, “fragilidad”, “participación social”, “enfermedad mental”. Finalmente, se analizó la confiabilidad por medio del coeficiente alfa de Cronbach 38. Dado que el valor del coeficiente tiende a ser inestable con muestras pequeñas39, se calculó el intervalo de confianza a 95 %40.
Consideraciones éticas
Se respetaron los principios éticos para este tipo de investigación, a los participantes se les explicó el objetivo de la investigación, se les invitó a participar voluntariamente a partir del consentimiento informado presentado a través de Google Forms previo a realizar la encuesta y se mantuvo la información en anonimato.
RESULTADOS
Revisión por expertos
Los expertos determinaron la pertenencia y relevancia de los ítems. Referente a la redacción, para diversos ítems se hicieron observaciones y comentarios (Tabla 2), y a partir de éstas, se realizó la versión final de los ítems. De las observaciones y mejoras de mayor significancia fueron las relativas al uso del término “adultos mayores”, ya que se precisó que el término que se utiliza actualmente es de las personas mayores. Otras observaciones fueron que la palabra desempeño se cambiara por participación social, incluir la palabra “frágil”, usar la palabra “limitaciones” y describirlas en lugar de “incapacidades”, incluir “tiempo libre”, “actividad social” y “recreativa”, entre otras.
Tabla 2 Observaciones y recomendaciones emitidas por los expertos
| Ítem adaptado | Observación | Versión final del ítem |
|---|---|---|
| 1. La mayoría de los adultos mayores comienzan con deterioro en la retención de información y de eventos sucedidos a corto y mediano plazo. | Experto 5: Actualmente ya se utiliza “personas mayores” en vez de “adultos mayores”. | La mayoría de las personas mayores comienzan con deterioro en la retención de información y de eventos sucedidos a corto y mediano plazo. |
| 2. La mayoría de los adultos mayores tienen problemas en su comportamiento como empujar, golpear o gritar lo que limita su desempeño diario. | Experto 3: Cambiar desempeño por participación social. | La mayoría de las personas mayores tienen alguna enfermedad mental lo bastante grave lo que limita su vida cotidiana y participación social. |
| Experto 4: La mayoría de los adultos mayores son intolerantes y necios, lo cual influye negativamente en su vida cotidiana. | ||
| 3. Los adultos mayores no son personas saludables, se enferman con regularidad. | Experto 4: Los adultos mayores son frágiles y enfermizos | Las personas mayores son frágiles y se enferman con regularidad. |
| 4. Los adultos mayores tienen una serie de incapacidades que los hacen depender de otros para realizar sus actividades diarias. | Experto 3: Hacer redacción más específica. Los adultos mayores presentan limitaciones (en su movilidad, memoria, visión) que los hacen depender de otros para realizar sus actividades diarias. | Las personas mayores, tienen limitaciones (en su movilidad, memoria, visión, audición) que los hacen depender de otras personas para realizar sus actividades diarias. |
| Experto 5: Aclarar en qué rango de edad se refiere. | ||
| 7. Los adultos mayores tienen poca actividad social, recreativa y de tiempo libre en comparación con los adultos jóvenes. | Experto 3, 4 y 5: Redacción más clara. Sugieren “Los adultos mayores tienen poca participación social en actividades recreativas en comparación con los adultos jóvenes”. | Las personas mayores en comparación con las personas jóvenes tienen mucho tiempo libre y poca actividad social y recreativa. |
| “Los adultos mayores en comparación con los adultos jóvenes tienen mucho tiempo libre y poca actividad social y recreativa”. | ||
| La pregunta original es una situación real por situación cultural, de usos y costumbres o por estilos de vida al no tener ese tipo de experiencias en su juventud y darle poca importancia en esta etapa de su vida. | ||
| 10. Los adultos mayores no realizan un buen trabajo como lo haría un adulto joven. | Experto 4: Los adultos mayores no realizan bien su trabajo | Las personas mayores no realizan bien su trabajo como lo haría una persona joven. |
| 11. Los adultos mayores presentan mal humor y se enojan fácilmente. | Experto 3: Los adultos mayores son irritables y se enojan fácilmente. | Las personas mayores presentan mal humor, se enojan fácilmente y son tercos. |
| Experto 5: Podría agregar “Las personas mayores presentan mal humor, se enojan fácilmente y son tercos”. | ||
| 13. Los adultos mayores se comportan de forma infantil (caprichosos e irritables). | Experto 3 y 4: Se sugiere separar “Los adultos mayores se comportan como niños” | Las personas mayores se comportan como niños (caprichosos y voluntariosos). |
| Los adultos mayores se comportan como niños (caprichosos y voluntariosos) | ||
| 14. Cuando la gente envejece se vuelve apática, pesimista e intolerante. | Experto 3: Revisar, son aspectos diferentes que no conviene integrar en un sólo enunciado. Lo centraría en: Cuando la gente envejece se vuelve pesimista. | Cuando la gente envejece se agudiza su soberbia, ira, pereza, desconfianza e impaciencia. |
| Experto 4: Cuando la gente envejece se deprime y aísla. |
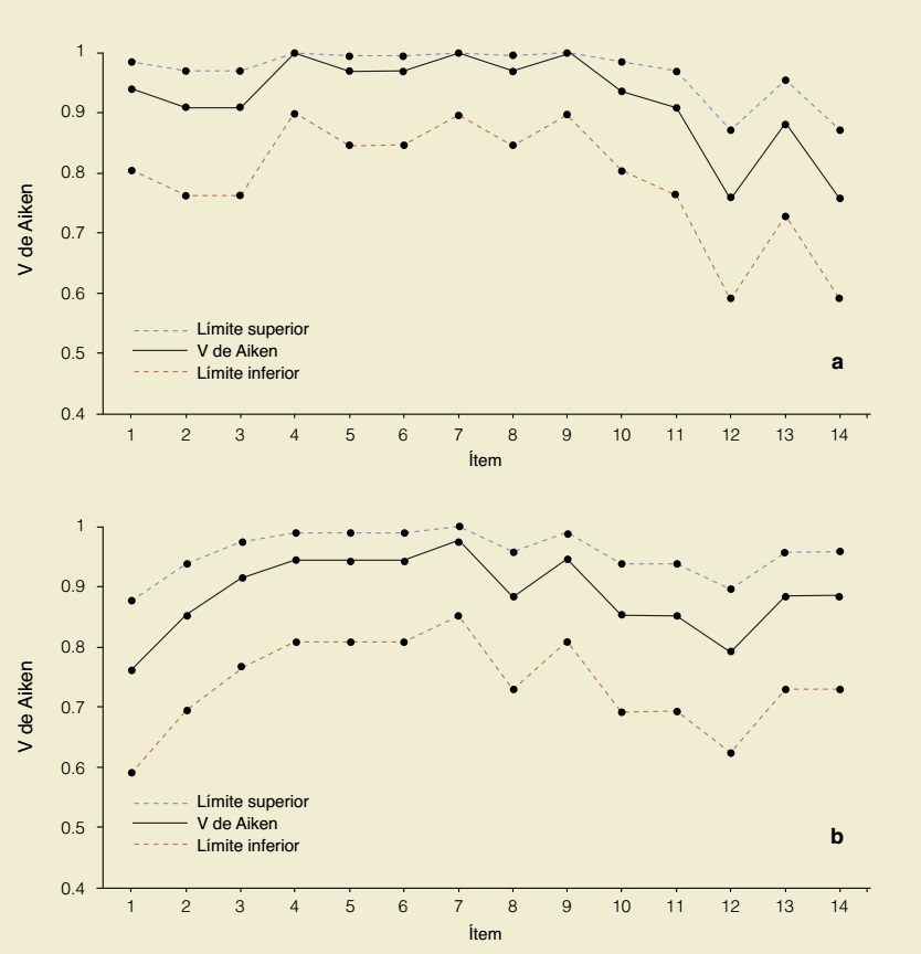
Juicio de expertos
Mediante el juicio de expertos se identificó que todos los ítems mostraron validez de contenido (V de Aiken>0,75; VI>0,50) en los criterios analizados (Figura 1a, 1b). De acuerdo con las sugerencias de los jueces se realizaron mejoras en redacción y en el uso de adjetivos. Así mismo, se modificó el factor motivacional-social por motivacional-social-ocupacional, de acuerdo con las sugerencias de los jueces. Específicamente para el ítem uno se mejoró la redacción. En el ítem 12 se sustituyó testarudo por terco, y en el ítem 14 se modificó el ítem a “cuando la gente envejece se agudiza su impaciencia”. Por lo que la versión final del “instrumento para evaluar los estereotipos negativos en la vejez” se muestra en la Tabla 3.

Nota: La línea continua representa el valor de la V de Aiken, y las líneas discontinuas representan los intervalos de confianza al 95 %.
Fig. 1a y 1b . Resultados del análisis de la evaluación cuantitativa mediante la V de Aiken para pertinencia (a) y redacción (b) de los ítems.
Tabla 3 Versión final del instrumento acorde a las sugerencias de los jueces expertos
| Dimensión | Ítem |
|---|---|
| Salud | 1. La mayoría de las personas mayores, de 60 años y más, presentan dificultades en la retención de eventos sucedidos a corto y mediano plazo y en la información. |
| 2. La mayoría de las personas mayores, tienen alguna enfermedad mental que limita su vida cotidiana y participación social. | |
| 3. Las personas mayores son frágiles y se enferman con regularidad. | |
| 4. Las personas mayores tienen limitaciones (en su movilidad, memoria, visión, audición) que los hacen depender de otras personas para realizar sus actividades diarias. | |
| 5. La pérdida de la memoria, la desorientación y confusión son comunes en las personas mayores. | |
| Motivacional-social-ocupacional | 6. Las personas mayores pierden el interés en las relaciones sexuales. |
| 7. Las personas mayores en comparación con las personas jóvenes tienen mucho tiempo libre y poca actividad social y recreativa. | |
| 8. Las personas mayores pierden el interés en actividades que les eran significativas. | |
| 9. Las personas mayores tienen dificultades para afrontar los problemas cotidianos. | |
| 10. Las personas mayores no realizan bien su trabajo como lo haría una persona joven. | |
| Carácter-personalidad | 11. Las personas mayores presentan mal humor y se enojan fácilmente. |
| 12. Las personas mayores son necias. | |
| 13. Las personas mayores se comportan como niños (caprichosos y voluntariosos). | |
| 14. Cuando la gente envejece se agudiza su impaciencia. |
Estudio piloto del instrumento
La percepción del grupo piloto respecto al instrumento fue favorable, ya que la mayoría de respuestas se concentró en el nivel de excelente grado para la comprensión de las instrucciones e ítems, relevancia de éstos y grado de satisfacción con el instrumento (Figura 2). Referente al conocimiento y significados de los términos, el 93 % conoce el término cascarrabias, pero con significados diferentes “se enoja fácilmente-caprichoso-enojón-malhumorado-se enfada con facilidad y constancia”. El 96 % indicó que conoce los términos rígido e inflexible, no obstante, el 53 % considera que son aspectos diferentes. A propósito del término actividades significativas el 46 % refiere conocer el término, aunque con significados diferentes “actividades de alto valor cultural, emocional o social para un determinado grupo de personas-acciones de relevancia-cualquier actividad elemental en la vida de un ser humano”. En relación con los términos fragilidad el 94 % y participación social el 87 % los conocen con significados diferentes. En cuanto al término enfermedad mental el 100 % lo conoce y su significado se enfoca a una alteración del sistema nervioso central. Para el 87 % la enfermedad mental que presenta la persona mayor es la demencia senil y de tipo Alzheimer. La confiabilidad en la aplicación al grupo piloto fue óptima (alfa de Cronbach: 0,847; IC al 95 %: 0,760 + 0,913).
DISCUSIÓN
Los estereotipos negativos fomentan imágenes sociales negativas sobre las personas mayores, el disgusto por envejecer e influyen en una de las pérdidas más importantes de la vejez, la capacidad de elegir 41. Existen tratados internacionales entre los estados para la protección de los derechos humanos de las personas mayores donde resaltan la importancia de la no discriminación por razón de edad y sugieren su prevención 42.
La vejez es percibida con aspectos negativos como una etapa de deterioro con disminución de las capacidades, las habilidades, pérdida de la autoestima y de la participación social dentro de la familia y de la comunidad donde se desenvuelve la persona mayor, estas percepciones negativas propician el aislamiento social y la exclusión social de la persona mayor. Los estereotipos negativos están presentes en el grupo de personas de mediana edad y de los jóvenes 43.
Los estereotipos sobre las personas mayores impactan en la salud física, emocional, mental y social de las personas mayores y si las internalizan producen fragilidad y dependencia. Lo anterior, influye en que las personas mayores evitan buscar atención clínica, en la adherencia al tratamiento, en un trato infantil o en la devaluación de las molestias que manifiesta la persona mayor, lo que afecta la relación médico-paciente 44.
La vejez para los estudiantes de medicina y de enfermería, puede involucrar aspectos sociales como la discriminación por edad en las instituciones de salud. La percepción de las personas mayores al sentirse discriminados y presenciar la discriminación de otros congéneres impacta en su salud y en la calidad de la atención clínica que reciben. De allí la importancia de considerar dentro del proceso de educación médica la formación de actitudes positivas hacia la vejez e incluso reconocer la existencia de los estereotipos negativos hacia las personas mayores 45,46.
Para lo anterior, es fundamental contar con instrumentos que permitan identificar la existencia de estereotipos hacia las personas mayores y de esta manera generar estrategias o mecanismos para atender estos aspectos. A este respecto, la importancia de la evaluación de los estereotipos negativos en la vejez en estudiantes de medicina radica en el estudio sobre los aspectos psico-sociales, el desarrollo de programas curriculares que impulsen el interés en la formación de especialistas en geriatría47 y en la atención de personas mayores frágiles con multimorbilidades48. Así como la educación continua sobre la vejez, que promueva actitudes positivas hacia la autonomía de la persona mayor y elimine la discriminación por edad49, ya que puede ser más discapacitante física, social y emocionalmente que una enfermedad crónico-degenerativa50.
Como se indicó, en la literatura se encuentran diversos aportes instrumentales, de ellos destaca el instrumento “cuestionario de estereotipos negativos hacia la vejez”22, el cual es uno de los más usados en el contexto latinoamericano51 y que ha sido aplicado en la población mexicana52. A este respecto es importante destacar que el instrumento fue creado hace 15 años para un contexto diferente, lo que denota que cierta terminología o palabras en la actualidad no se encuentran en el colectivo o cultura de la población.
Por lo anterior, en el presente se realizó la adaptación del instrumento, que involucró la revisión y la adaptación de los ítems del CENVE22, donde se modificó la redacción de todos los ítems, resultado de la identificación de palabras confusas y redundantes que podrían no ser funcionales de acuerdo con el contexto actual, así mismo, se encontró la repetición de un ítem en sus dimensiones de Salud y Carácter-Personalidad. Esta adecuación se realizó fundamentando que el lenguaje empleado no determine confusión o sesgo26.
Este proceso de adecuación permite comprobar que el instrumento evalúa aquello para lo que fue diseñado27, lo cual se realiza a través del proceso de validación26. Por esta razón, el instrumento se sometió a un análisis de validez de facie y de validez de contenido. Es importante aclarar que los creadores del instrumento no reportan que el instrumento fuera sujeto de validación de facie por expertos y de validez de contenido por juicio de expertos, siendo éste considerado como la vía más usual para apreciar la calidad del contenido de un instrumento53. En este orden, se destaca que evaluar las propiedades psicométricas de un instrumento es un criterio esencial para determinar la calidad de su medición26.
En el presente, se realizó la revisión por expertos para que efectuaran una validación de facie, la cual incluye un juicio valorativo que considera si los ítems son pertenecientes, relevantes, claros, entendibles y razonables, así como si el léxico empleado es aceptable y si existe claridad de las instrucciones31,54. Propiamente de esta fase, los expertos afirmaron la pertenencia y relevancia de ítems y de manera clara sugirieron varias mejoras en términos de redacción.
Posteriormente, el instrumento se sometió a un juicio de expertos, el cual tiene por objetivo indicar en qué medida los elementos creados son representativos del constructo objetivo y el grado en que estos elementos representan la faceta del constructo para el que fueron desarrollados31,55. Dentro de esta etapa existieron diversos aspectos que se consideraron, de ellos es la elección y selección de expertos, tipo de juicio, tipo de evaluación (cuantitativa-cualitativa) y análisis de la evaluación30.
En ese orden, el enfoque del juicio (cualitativo y cuantitativo) fue de alta significancia ya que permitió obtener en extenso los comentarios de los jueces y por su parte, el análisis de la evaluación cuantitativa permitió identificar los ítems que requerían mejoras, los cuales se correspondieron con las observaciones de los jueces. Por lo que, si bien para ambos criterios analizados los ítems presentaron valores pertinentes en la V de Aiken e intervalos de confianza (V>0,75; VI>0,50), se tomaron en cuenta las mejoras indicadas por los jueces. De acuerdo a estos resultados, se puede indicar que el instrumento posee validez de contenido, es decir, que el instrumento mide lo que pretende medir56.
Referente al estudio piloto del instrumento, se resalta que la opinión de los participantes fue altamente favorable para la compresión de instrucciones, ítems y relevancia de las preguntas, significando la asequibilidad del instrumento para la población objetivo26. Se hace énfasis que, si el instrumento no presenta claridad en sus instrucciones o bien la comprensión de las instrucciones e ítems es inadecuada, representan amenazas a la validez de éste57,58. El análisis de significados e interpretaciones reveló que si bien la mayoría de los participantes conocen buena parte de los términos analizados (“cascarrabias”, “rígido” e “inflexible”, “fragilidad”, “participación social”, “actividades significativas”), un alto porcentaje (más del 53%) les otorgan significados diferentes. Lo anterior, revela la importancia del uso de términos concretos y que los participantes tengan claridad sobre cada uno de ellos, ya que de manera contraria puede generar confusión o sesgo 58,59.
Limitaciones
Se reconoce que, si bien las propiedades analizadas en el presente son importantes, se requiere analizar mediante la aplicación a una muestra población la estructura factorial resultante y verificar si existe correspondencia con la estructura predicha por los autores del instrumento (tres dimensiones) o bien se reafirma su carácter unidimensional60,61.
CONCLUSIONES
Se presenta la adaptación al contexto mexicano de un instrumento para evaluar los estereotipos negativos hacia la vejez, el cual posee validez de contenido.
Los percepciones sociales hacia la persona mayor son constantemente negativas, la mayoría de los instrumentos que miden los estereotipos negativos se encuentran en idiomas diferentes al español de México, lo anterior denota la necesidad de contar con instrumentos breves adaptados a la cultura mexicana, que conserven las características psicométricas para medir aquello para lo que fueron diseñados y que puedan ser aplicados a los diferentes grupos de estudiantes del área médica, así como de áreas humanísticas que tengan contacto directo con la persona mayor y con ello ampliar el conocimiento sobre este tema y promover programas educativos a todos los niveles para prevenir y erradicar la discriminación por edad hacia la persona mayor.










nueva página del texto (beta)




