Verbesina L. es un género americano, miembro de la tribu Heliantheae (familia Asteraceae o Compositae), que comprende más de 300 especies (Panero & Jansen 1997, Carrillo-Reyes et al. 2010, Ulloa-Ulloa et al. 2017). Se distribuye desde Canadá hasta Argentina y en México se documenta la presencia de 164 especies, ocupando por su número de especies el segundo lugar, después de Ageratina Spach (tribu Eupatoriae) con 167 especies (Villaseñor 2018, Hinojosa-Espinosa et al. 2019). Es parte de la subtribu Verbesininae, que contiene otros tres géneros (Podachaenium Benth., Squamopappus R.K. Jansen, N.A. Harriman & Urbatsch y Tetrachyron Schltdl.).
Hasta la fecha el género no ha recibido un tratamiento monográfico, contando solamente con una sinopsis publicada hace más de un siglo (Robinson & Greenman 1899). En dicha sinopsis Verbesina molinaria B.L. Rob. & Greenm. y V. oncophora B.L. Rob. & Seaton fueron consideradas como especies distintas, criterio seguido por Standley (1920-1926), reconociendo a V. oncophora por la presencia de una escama o aurícula escariosa o suberosa en la base de la hoja y a V. molinaria por la ausencia de esta escama. Sin embargo, otros autores (McVaugh 1984, Turner 2016) las consideran como una misma especie (V. oncophora) debido a su gran similitud morfológica, considerando que la escama en la base de la hoja no es un carácter taxonómico importante. Verbesina molinaria es un taxon pobremente conocido, descrito de alguna de las muchas barrancas que rodean y forman parte de la ciudad de Cuernavaca, Morelos (C.G. Pringle 6660: under bluffs of a barranca above Cuernavaca), en tanto que V. oncophora es una especie ampliamente distribuida desde Durango y Sinaloa hasta Oaxaca, con su localidad tipo ubicada en la Sierra de las Cruces en el Estado de México (C.G. Pringle 4310: Sierra de las Cruces).
El trabajo de campo llevado a cabo recientemente en el estado de Morelos, orientado a producir una revisión del género Verbesina en el estado, ha revelado diferencias morfológicas que permiten dudar si estos dos nombres pertenecen a la misma especie y que por lo tanto representan entidades taxonómicas distintas. Por consiguiente, el objetivo de este trabajo es aportar evidencia que permita concluir si la variación morfológica entre estos dos taxones apoya el postulado de circunscribirlos como dos especies diferentes.
Materiales y métodos
Se realizó una revisión de los protólogos de V. molinaria y V. oncophora, además de analizar las imágenes de los tipos nomenclaturales de ambas especies obtenidos de la página de JSTOR Global Plants (plants.jstor.org). Se revisaron los especímenes de Verbesina depositados en el Herbario Nacional de México (MEXU) de la Universidad Nacional Autónoma de México, el herbario de la Universidad Autónoma del Estado de Morelos (HUMO), el herbario de la Escuela Nacional de Ciencias Biológicas (ENCB) del Instituto Politécnico Nacional y el herbario de la Universidad Autónoma Metropolitana (UAMIZ). De estos se seleccionaron los especímenes que pudieran corresponder a ambos taxones, obteniendo 192 ejemplares, y posteriormente se les asignó un nombre preliminar de acuerdo con los criterios tales como tamaño del peciolo o la presencia de la escama en la base de la hoja (ya sea como V. molinaria o V. oncophora), identificando a 10 como V. molinaria y 182 como V. oncophora.
Análisis morfológico. La Tabla 1 indica las 13 características morfológicas que fueron analizadas para diferenciar las especies, siendo todos datos cuantitativos (dos discretos y 11 continuos). Se midieron 55 ejemplares (42 en MEXU, 7 en ENCB, 4 en HUMO y 2 en UAMIZ), dos de ellos originalmente identificados como V. molinaria y 53 como V. oncophora. En un primer ejercicio ocho fueron identificados como V. molinaria y 47 como V. oncophora. Se elaboró una matriz de datos en Excel con los valores promedio de cinco mediciones por carácter, obtenidos para cada espécimen de los que se pudieron tener todos los valores de las medidas a evaluar. Por tal razón se descartaron los ejemplares medidos que no contaran con este promedio, principalmente por las hojas incompletas, dañadas o inmaduras, al igual que en las inflorescencias. Finalmente, se evaluaron ocho especímenes de V. molinaria y 11 de V. oncophora.
Tabla 1 Caracteres morfológicos cuantitativos (y sus abreviaturas) consideradas para diferenciar las dos especies de Verbesina.
| Abreviación | Descripción | Tipo de datos |
|---|---|---|
| L.Lam. | Largo de la lámina | Continuo |
| A.Lam. | Ancho de la lámina | Continuo |
| L.Cab. | Largo de la cabezuela | Continuo |
| A.Cab. | Ancho de la cabezuela | Continuo |
| L.Ped. | Largo del pedúnculo | Continuo |
| L.Inv. | Largo del involucro | Continuo |
| A.Inv. | Ancho del involucro | Continuo |
| L.F.Lig. | Largo de la flor ligulada | Continuo |
| L.F.Tub. | Largo de la flor tubular | Continuo |
| L.Cip.F.Lig._CA | Largo de la cipsela de la flor ligulada con aristas | Continuo |
| L.Cip.F.Tub._CA | Largo de la cipsela de la flor tubular con aristas | Continuo |
| N.F.Lig. | Número de flores liguladas | Discreto |
| N.F.Tub. | Número de flores tubulares | Discreto |
En primer lugar, se generaron diagramas de cajas para mostrar la variabilidad de las características morfológicas observadas entre las especies. Posteriormente, para evaluar la normalidad de los datos, se realizó una prueba de normalidad multivariada con la prueba de Royston y de normalidad univariada con la prueba de Shapiro-Wilk, utilizando la función ‘mvn’ de la paquetería MVN v. 5.9 (Korkmaz et al. 2014). También se realizó la prueba de Levene para calcular la homocedasticidad de las varianzas para cada variable con la función ‘leveneTest’ en la paquetería car v. 3.1-2 (Fox & Weisberg 2019). Por último, una prueba de correlación (Pearson) por pares fue realizada con la finalidad de excluir aquellas variables que mostraran colinealidad |r > 0.85|, con la función cor de la paquetería stats. Con el mismo propósito, se calculó el factor de inflación de la varianza (VIF) de los datos utilizando la función ‘vif’ de la paquetería car.
Con los caracteres evaluados, se realizó un análisis linear discriminante (LDA) utilizando la función ‘lda’ de la paquetería MASS v. 7.3-58.2 (Venables & Ripley 2002). El objetivo del análisis fue identificar las variables con mayor importancia taxonómica que apoyen la separación de las dos especies bajo estudio. Todos los análisis mencionados se llevaron a cabo utilizando la paquetería mencionada con el software R v. 4.2.2 (R Core Team 2023) y Rstudio v. 2.2.485 (Rstudio Team 2022).
Resultados
La revisión de las imágenes de los tipos, así como los protólogos de las especies permitió identificar diferencias entre ellas. Destaca el largo de los peciolos, observando en V. oncophora un largo de más de 1 cm, en tanto que en V. molinaria son de menos de 1 cm. Además, en V. oncophora generalmente está presente una escama o aurícula de color pardo (escariosa o suberosa) en la base de la hoja, mientras que en V. molinaria dicha escama está ausente. También con la disección de ejemplares recolectados se pudo notar que en V. oncophora las tecas son negras o pardo-oscuras y en V. molinaria son amarillas o translúcidas (Tabla 2, Figura 1).
Tabla 2 Diferencias morfológicas entre V. molinaria y V. oncophora.
| V. molinaria | V. oncophora | |
|---|---|---|
| Hábito | Sufrútices o arbustos | Arbustos |
| Filotaxia | Subopuestas cerca de la inflorescencia en las ramas jóvenes; alternas en ramas maduras | Generalmente alternas a lo largo de todas las ramas |
| Forma de la lámina de la hoja | Estrechamente elíptica o elíptica | Estrechamente elíptica, elíptica a ovada |
| Textura del envés de la hoja | Puberulento a tomentoso | Glabro a pubescente |
| Largo de los peciolos | 0.3-1.0 (1.2) cm | (0.6) 1-2.9 cm |
| Escama o aurícula pardusca en la base de la hoja | Ausente | Presente |
| Color de las tecas | Amarillas o translúcidas | Negras o pardo-oscuras |

Figura 1 Diferencias morfológicas entre V. molinaria (A, C y E) y V. oncophora (B, D y F). A-B) Peciolos y posición de las hojas. C-D) Ausencia y presencia de la escama en la base de la hoja. E-F) Estambres.
El tipo y los especímenes de V. molinaria permiten observar que las hojas son opuestas o subopuestas; en contraste, el tipo y muestras de V. oncophora indican que las hojas son claramente alternas. Adicionalmente, observaciones de campo en el estado de Morelos mostraron que los individuos de V. oncophora son típicamente arbustos que pueden llegar hasta los 5 m de alto y las láminas de sus hojas son principalmente ovadas. Por el contrario, los individuos de V. molinaria muestran una forma de crecimiento sufruticoso, rara vez sobrepasando los 3 m de altura y las láminas de sus hojas son generalmente elípticas.
Análisis estadístico. La prueba de Royston indicó normalidad multivariada, (H = 14.01641, P = 0.3718362) y de las 13 variables que se analizaron con la prueba de normalidad Shapiro-Wilk todas indicaron una distribución significativamente normal (P > 0.05, Tabla 3). La prueba de homogeneidad de varianzas por medio del estadístico de Levene, sugiere que no hay diferencias significativas (P > 0.05) entre los caracteres utilizados (Tabla 3), ya que todas las varianzas de los caracteres analizados son equivalentes, con una P mayor a 0.05. Tanto la prueba de correlación de Pearson (Figura 2), como el factor de inflación de la varianza (VIF, Tabla 3) indican que no existe correlación o colinealidad entre las variables, por lo tanto, todas fueron tomadas en cuenta para los análisis posteriores.
Tabla 3 Valores de las pruebas de Shapiro-Wilk, Levene y factor de inflación de la varianza.
| Carácter | P (Shapiro-Wilk) | P (Levene) | VIF |
|---|---|---|---|
| L.Lam. | 0.882 | 0.473 | 7.955 |
| A.Lam. | 0.376 | 0.711 | 7.331 |
| L.Cab. | 0.756 | 0.164 | 12.786 |
| A.Cab. | 0.956 | 0.958 | 5.881 |
| L.Ped. | 0.421 | 0.167 | 4.553 |
| L.Inv. | 0.136 | 0.177 | 3.312 |
| A.Inv. | 0.114 | 0.210 | 5.734 |
| N.F.Lig. | 0.295 | 0.066 | 3.094 |
| L.F.Lig. | 0.436 | 0.533 | 9.796 |
| N.F.Tub. | 0.112 | 0.636 | 3.282 |
| L.F.Tub. | 0.746 | 0.352 | 17.272 |
| L.Cip.F.Lig._CA | 0.771 | 0.268 | 12.844 |
| L.Cip.F.Tub._CA | 0.617 | 0.136 | 29.277 |
Análisis linear discriminante. El LDA resultó en un solo eje discriminante, debido al número de grupos analizados (para n grupos el número máximo de ejes es n -1, por lo que para dos grupos solo se puede generar un eje discriminante). De acuerdo con este análisis, las variables más importantes que ayudan a discriminar a los individuos entre las dos especies son el largo y el ancho de la lámina, el largo y el ancho de la cabezuela, el número de flores liguladas, el largo de la flor tubular, el largo de la cipsela de la flor ligulada y el largo de la cipsela de la flor tubular. El signo (positivo o negativo) es independiente de la importancia de los valores de las variables (Tabla 4). El análisis LDA mostró una precisión del 100 % en la asignación de los ejemplares bajo las especies propuestas a priori.
Tabla 4 Variables relevantes en el análisis linear discriminante (en negritas se muestran las que tienen un mayor peso para separar a las dos especies).
| Carácter | LD1 |
|---|---|
| L.Lam. | - 4.056 |
| A.Lam. | 6.295 |
| L.Cab. | 7.670 |
| A.Cab. | - 3.608 |
| L.Ped. | - 0.312 |
| L.Inv. | - 0.180 |
| A.Inv. | - 1.831 |
| N.F.Lig. | 4.941 |
| L.F.Lig. | - 1.745 |
| N.F.Tub. | 1.350 |
| L.F.Tub. | - 2.733 |
| L.Cip.F.Lig._CA | 6.118 |
| L.Cip.F.Tub._CA | - 4.326 |
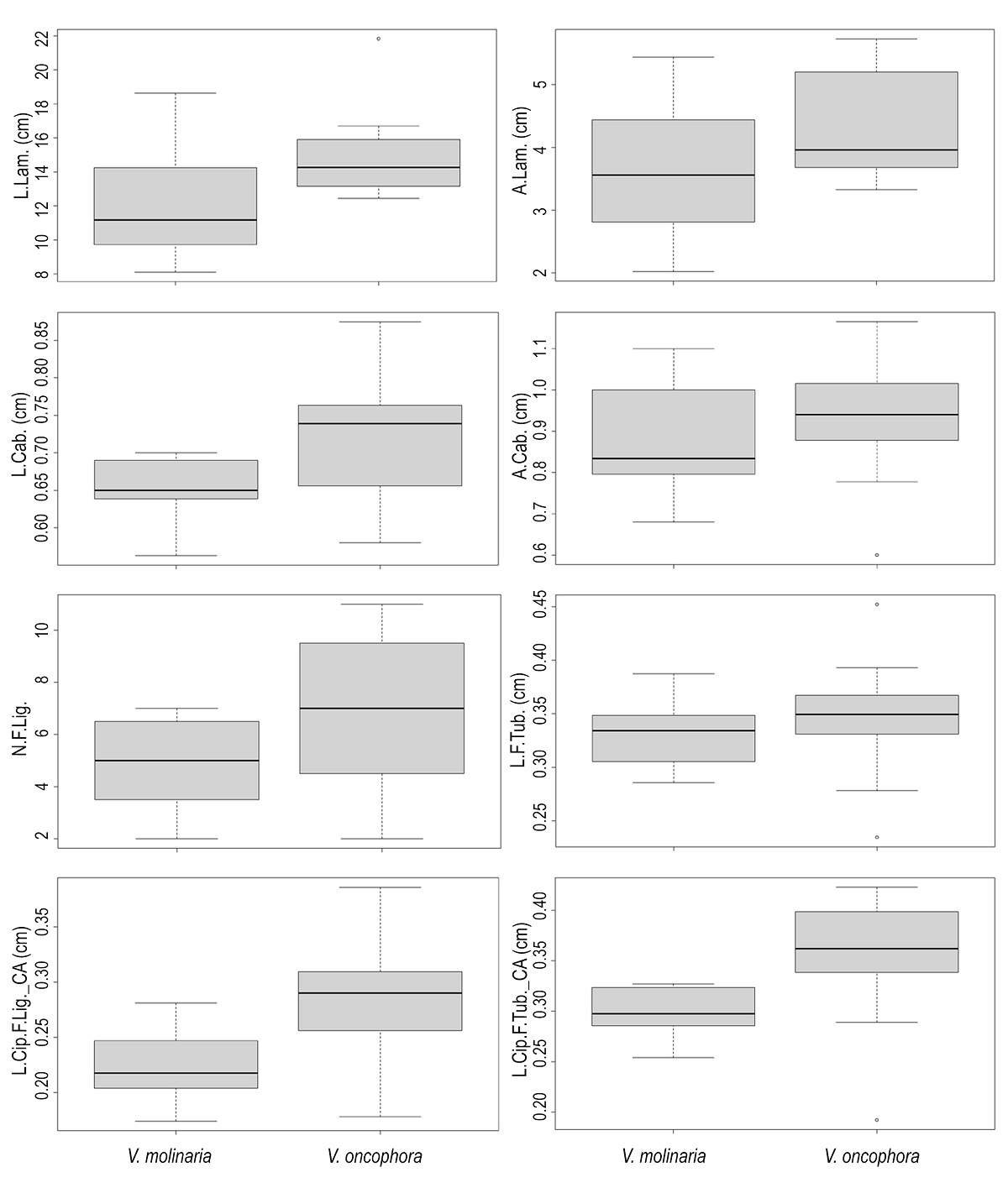
La Figura 3 muestra las gráficas de cajas de las variables usadas en el LDA que significativamente ayudaron a discriminar a V. molinaria de V. oncophora (Tabla 1).

Figura 3 Diagrama de cajas de las variables (Tabla 1) que más significativamente ayudaron a discriminar los ejemplares de las dos especies analizadas.
Taxonomía. Las dos especies analizadas se pueden distinguir mediante la siguiente clave dicotómica:
1. Ausencia de una escama o aurícula en la base de la hoja; peciolos de menos de 1 cm de largo; hojas subopuestas cerca de la inflorescencia en las ramas jóvenes y alternas en ramas maduras........................................................................................................................... V. molinaria
1. Presencia de una escama o aurícula en la base de la hoja; peciolos de más de 1 cm de largo; hojas generalmente alternas a lo largo de todas las ramas............................................................ V. oncophora
Verbesina molinaria B.L. Rob. & Greenm., Proc. Amer. Acad. Arts 34: 553. 1899. Tipo. México. Morelos: Under bluffs of barranca above Cuernavaca, 1 Nov 1896, C.G. Pringle 6600 (Holotipo: GH!; Isotipo: MEXU!, AC!, BR!, CM!, F!, GOET!, K!, MSC!, NDG!, S-SG!, UC!, US!, VT!; Topotipo: DAO!).
Sufrútices o arbustos de 2-2.5(-3) m de alto; tallos puberulentos-pubescentes; hojas subopuestas o rara vez alternas, peciolo de 0.36-1 cm, lámina estrechamente elíptica a elíptica, de 9-18.6 cm de largo, de 2-5.5 cm de ancho, margen serrado-serrulado de 1-4 dientes por centímetro, base cuneada-aguda, ápice agudo-atenuado, envés puberulento-tomentoso; cabezuelas agrupadas en corimbos, de 6-7 mm de largo, de 6.8-10 mm de ancho, pedúnculos de 8-12 mm de largo, pubescentes-tomentosos; involucro de 3-4.6 mm de largo, de 4.5-6 mm de ancho, brácteas 3 a 7 en una serie, de 1.5-2 mm de largo, de 0.5-1 mm de ancho, ápice agudo-obtuso, puberulentas-pubescentes, cafés, verdes oscuras o negras; receptáculo convexo, de 1-2.3 mm de largo, de 1-1.5 mm de ancho, páleas de 2.8-3.6 mm de largo, de 1-1.8 mm de ancho, ápice agudo-obtuso, puberulentas, amarillas, cafés, verdes o negras; flores liguladas 5-7, pistiladas, amarillas, de 3-4.8 mm de largo, de 1.2-2.1 mm de ancho, de 1-3 dientes en el ápice, ramas del estilo de 1.6-2.5 mm de largo, ápice agudo, glabras, amarillas; flores tubulares 38-72, hermafroditas, corolas amarillas, de 2.8-3.8 mm de largo, de 1-1.3 mm de ancho, 4-5 lóbulos en el ápice, de 0.4-0.6 mm de largo, agudos, con márgenes ciliolados, amarillos, tubo de la flor tubular de 0.4-0.9 mm de largo, anteras de 1.4-1.8 mm de largo, obtusas, con apéndices apicales, agudos-triangulares, glabros, amarillos-transparentes, tecas amarillas o translúcidas, filamentos de 0.8-1.9 mm de largo, translúcidos, ramas del estilo de 2.2-3.5 mm de largo, separadas en antesis, ápice agudo, glabras-puberulentas, amarillas; cipselas de las flores liguladas de 1.7-2.8 mm de largo, de 0.5-0.9 mm de ancho, de 1-2 costillas, glabros, con algunos pelos esparcidos cerca del ápice, alas de 0.05-0.15 mm de ancho, transparentes o blancas, con márgenes ciliolados, aristas del vilano de 0.5-0.9 mm de largo, cipselas de las flores tubulares de 2.5-3.2 mm de largo, de 0.6-1.1 mm de ancho, de 0-2 costillas, glabros, con algunos pelos esparcidos cerca del ápice, alas de 0.06-0.17 mm de ancho, trasparentes o blancas con márgenes ciliolados, aristas del vilano de 0.8-1 mm de largo. Figura 4.

Figura 4 Verbesina molinaria. A) Corimbo. B) Peciolos y posición de las hojas. C) Cabezuela. D) Receptáculo. E) Bráctea del involucro. F) Flor ligulada. G) Estigma y estilo de la flor ligulada. H) Cipsela de la flor ligulada. I) Pálea de la flor ligulada. J) Flor tubular. K) Anteras y filamentos de la flor tubular. L) Estigma y estilo de la flor tubular. M) Cipsela de la flor tubular. N) Pálea de la flor tubular.
Distribución y ecología. En México se distribuye en los estados de México, Michoacán y Morelos. Crece en bosque de Quercus y bosque de coníferas en elevaciones de 1,780 a 2,300 m snm.
Fenología. Florece de julio a mayo y fructifica de agosto a junio.
Especímenes adicionales examinados. México. Estado de México, municipio Tejupilco, 15 km (9.4 mi) NE de Tejupilco de Hidalgo o 18.9 km (11.8 mi) al SE de Temascaltepec sobre ruta 130, 14 Dic 1984, C. P.-Cowan 4803 (MEXU). Michoacán, municipio Morelia, vertiente N del Pico Azul, cerca de San José de las Torres, 7 Dic 1986, Rzedowski 41269 (MEXU). Morelos, municipio Cuernavaca, en la colonia Real de Tetela hacia los viveros en la calle de Ocuilan a 3 km empezando la terracería, yendo hacia la barranca, subiendo la brecha cortafuego que sale a la capilla, 19 Ene 2023, L. Soriano-Pantaleón 548 (MEXU, HUMO); Valle del Tepeite, Nov 1936, E. Lyonnet 1352 (MEXU). Huitzilac, 1 km antes de San Juan Tlacotenco, 10.1 km yendo hacia Coajomulco en la antigua vía del ferrocarril México-Balsas km 88 o al NE de Coajomulco a 9 km sobre la antigua vía del ferrocarril México-Balsas, 7 Nov 2022, L. Soriano-Pantaleón 527 (MEXU, HUMO); aprox. 1 km al S de Coajomulco, por la carr. de cuota México-Cuernavaca (km 53), 15 Nov 1982, A. Ortega-Hernández 114 (MEXU); Tres Cumbres, 20 May 1981, A. Ortega-Hernández 66 (MEXU). Tepoztlán, Km 69 of the México-Cuernavaca highway, 16 Nov 1990, J.L. Panero-Estévez 2012 (MEXU); Km 59 autopista México-Cuernavaca, 22 Jul 1981, A. Ortega-Hernández 72 (MEXU); Sierra de Tepoztlán, 1 Nov 1900, C.G. Pringle 9130 (MEXU).
Verbesina oncophora B.L. Rob. & Seaton, Proc. Amer. Acad. Arts 28: 109. 1893. Tipo: México. Sierra de las Cruces, 21 Oct 1892, C.G. Pringle 4310 (Lectotipo aquí designado: GH!; Isolectotipo: BKL!, BR!, CM!, COLO!, E!, GH!, GOET!, JE!, K!, LECB!, M!, MEXU!, MIN!, MSC!, MU!, NY!, P!, PH!, PUL!, RM!, S-G!, UC!, US!, VT!).
Arbustos de (1.5-)3-5 m de alto; tallos puberulentos-pubescentes; hojas alternas o rara vez subalternas, peciolo de 1-2.93 cm, lámina estrechamente elíptica, elíptica a ovada, de 8.4-21.83 cm de largo, de 3.2-5.7 cm de ancho, margen serrado-serrulado de 1-7 dientes por centímetro, base cuneada-aguda, ápice agudo-atenuado, envés glabro, puberulento o pubescente, generalmente con una escama en la base de la hoja, foliácea; cabezuelas agrupadas en corimbos, de 5.6-9.8 mm de largo, de 6-13 mm de ancho, pedúnculos de 4-15 mm de largo, puberulentos, pubescentes o tomentosos; involucro de 1.7-4.9 mm de largo, de 3.9-6.4 mm de ancho, brácteas 4 a 7 en una serie, de 1.34-3.8 mm de largo, de 0.58-1.6 mm de ancho, ápice agudo-obtuso, puberulentas-pubescentes, cafés, verdes oscuras o negras; receptáculo convexo, de 0.7-2.4 mm de largo, de 0.8-2.1 mm de ancho, páleas de 2.5-4.4 mm de largo, de 1.1-1.9 mm de ancho, ápice agudo-obtuso, puberulentas, amarillas, cafés, verdes o negras; flores liguladas 4-10, pistiladas, amarillas, de 2.1-5.2 mm de largo, de 1-2.8 mm de ancho, de 2-3 dientes en el ápice, ramas del estilo de 1.6-3.1 mm de largo, ápice agudo, glabras-puberulentas, amarillas; flores tubulares 30-93, hermafroditas, corolas amarillas, de 2.3-4.2 mm de largo, de 0.7-1.5 mm de ancho, 5 lóbulos en el ápice, de 0.3-0.8 mm de largo, agudos, con márgenes ciliolados, amarillos, tubo de la flor tubular de 0.2-0.9 mm de largo, anteras de 1.2-1.8 mm de largo, obtusas, con apéndices apicales, agudos-triangulares, glabros, amarillos-transparentes, tecas negras o pardo-oscuras, filamentos de 0.5-1.7 mm de largo, translúcidos, ramas del estilo de 2-3.7 mm de largo, separadas en antesis, ápice agudo, glabras-puberulentas, amarillas; cipselas de las flores liguladas de 2-4 mm de largo, de 0.4-1.3 mm de ancho, de 0-2 costillas, glabros, con algunos pelos esparcidos cerca del ápice, alas de 0.1-0.2 mm de ancho, transparentes o blancas, con márgenes ciliolados, aristas del vilano de 0.6-1.4 mm de largo, cipselas de las flores tubulares de 2-4.5 mm de largo, de 0.5-1.5 mm de ancho, de 0-2 costillas, glabros, con algunos pelos esparcidos cerca del ápice, alas de 0.07-0.3 mm de ancho, transparentes o blancas con márgenes ciliolados, aristas del vilano de 0.6-1.5 mm de largo. Figura 5.

Figura 5 Verbesina oncophora. A) Corimbo. B) Peciolos y posición de las hojas. C) Cabezuela. D) Receptáculo. E) Bráctea del involucro. F) Flor ligulada. G) Estigma y estilo de la flor ligulada. H) Cipsela de la flor ligulada. I) Pálea de la flor ligulada. J) Flor tubular. K) Anteras y filamentos de la flor tubular. L) Estigma y estilo de la flor tubular. M) Cipsela de la flor tubular. N) Pálea de la flor tubular.
Distribución y ecología. En México se distribuye en Colima, Ciudad de México, Durango, Guanajuato, Guerrero, Hidalgo, Jalisco, Estado de México, Michoacán, Morelos, Nayarit, Oaxaca, Puebla, Querétaro, Sinaloa, Tlaxcala, Veracruz. Crece en bosque de Quercus y bosque de coníferas en elevaciones de 1,800 a 3,250 m snm.
Fenología. Florece de agosto a marzo y fructifica de octubre a mayo.
Especímenes adicionales examinados. México. Ciudad de México, delegación Tlalpan, Volcán Pelado, 31 Nov 1986, Campos 979 (MEXU). Estado de México, municipio Nicolás Romero, Forest of San Nicolas, near México, 1865-1866, Bourgeau’s 967 (GH). Ocuilan, Cerro del Huilote, Parque Nacional Lagunas de Zempoala, 12 Ago 1984, R. Fragoso-Wade s.n. (MEXU). Temascaltepec, cerca de la desviación hacia Los Saucos, carretera Toluca-Temascaltepec, 18 Mar 2017, A.S. Estrada-Márquez 8 (MEXU). Guerrero, municipio Taxco de Alarcón, parque El Huizteco, 4 km al NE de la entrada, 25 Ene 1998, J. Calónico-Soto 7251 (MEXU). Jalisco, municipio San Gabriel, Nevado de Colima, 3.5 km al S de Floripondio, 16-18 Dic 2013, V. Quintero-F. 412 (MEXU). Michoacán, municipio Queréndaro, mirador de Atzimba, cerca de San José de la Cumbre; 50 km al E de Morelia, 26 Dic 1966, Rzedowski 23706 (MEXU). Lagunillas, lado Suroeste del Cerro El Águila, subiendo por el poblado de Huatzanguio, 16 Feb 2008, G. Cornejo-Tenorio 2556 (MEXU). Senguio, a 0.8 km al SW de San José Corrales, 20 Nov 2014, D. Álvarez 14797 (MEXU). Morelos, municipio Cuernavaca, autopista México-Cuernavaca, 30 Ene 1977, W. Schwabe 775 (MEXU). Huitzilac, 0.17 km al NE de la tercera Laguna de Zempoala, 26 Feb 2023, L. Soriano-Pantaleón 556 (MEXU, HUMO); 0.25 km al NE de la tercera Laguna de Zempoala, 26 Feb 2023, L. Soriano-Pantaleón 557 (MEXU, HUMO); 5 km al SE de Coajomulco, 17 Ene 1960, Rzedowski 12235 (ENCB); 5.4 miles S of the Morelos-México border on Hwy. 95 libre, 25 Dic 1977, R. Jansen 482 (ENCB); along Hwy. 95, 1 mi. S. of Tres Cumbres, 28 Dic 1970, Dunn 17266 (ENCB); along the free road from México City to Cuernavaca 3 miles south of Tres Cumbres, 16 Ene 1966, D.P. Gregory 14230 (MEXU, ENCB); Cuajomulco, autopista La Pera, 4 Sep 1981, M.A. Bastida-Salgado 1325 (UAMIZ); entrando por el puente que está a 900 m del límite de la Ciudad de México, 3.7 km sobre el camino de terracería hacia el Volcán Manteca, 18 Nov 2022, L. Soriano-Pantaleón 536 (MEXU, HUMO); km 63.5, de la carretera federal a Cuernavaca, 10 Dic 1983, A. Ramírez-E. 8 (ENCB); Parque Nacional Lagunas de Zempoala (L. de Quila), 6 Ene 1987, Cardoso 1556 (240) (HUMO, UAMIZ); Sierra de Tres Marías, 15 Sep 1903, C.G. Pringle 13089 (MEXU); Volcán Las Palomas, Norponiente del Edo. de Morelos. Corredor Biológico Ajusco-Chichinautzin, Topilejo, Tlalpan, D.F. y Coajomulco, 22 Nov 2007, T. Amezcua 48 (MEXU); Zempoala, Monte, 25 Feb 1941, E. Lyonnet 3201 (MEXU). Tepoztlán, 30 Dic 1951, E. Matuda 25921 (MEXU); a 4.95 km con orientación de 290.55° de la iglesia de San Juan Tlacotenco, 29 Oct 2011, S. Block-Munguía 1103 (MEXU); a 1.97 km con orientación de 358.68° de la iglesia de Santo Domingo Ocotitlán, 6 Nov 2011, S. Block-Munguía 1175 (MEXU); poblado próximo Santo Domingo Ocotitlán, 4 km al Norte del pueblo, 18 Nov 1987, M.L. Espín-Bahena 440 (MEXU, HUMO, ENCB); poblado próximo Santo Domingo Ocotitlán en el cerro Otlayuca, 2 Dic 1987, M.L. Espín-Bahena 478 (MEXU, HUMO, ENCB). Puebla, municipio Chiautzingo, Chingueretería, C.E.F. San Juan Tetla, 18 Sep 1972, J.C. Boyás-D. 251 (MEXU). Tlaxcala, municipio Nanacamilpa, 18 km al SE del pueblo “La Soledad”, 17 Nov 1990, L. Aguilera 519 (MEXU).
Comentario. El tipo de V. oncophora no ha sido designado formalmente. Esta especie fue descrita por B.L. Robinson & Seaton (1893) y en el protólogo mencionaron dos sintipos (Pringle 4310 y Bourgeau 967) que se encuentran en el herbario de Harvard (GH). Ambos especímenes tienen el mismo número de notas tanto del herbario como de las personas que las han revisado. Aquí se designa como lectotipo a Pringle 4310, debido a que representa un espécimen más completo, donde se pueden ver mejor las características distintivas de la especie, en particular las escamas o aurículas en la base de la hoja, carácter utilizado de manera relevante por los autores.
Discusión
Robinson & Seaton (1893) distinguen como un carácter de importancia taxonómica un pequeño apéndice carnoso en la base de la hoja (llamado aquí escama escariosa), plegado y deciduo presente en Verbesina oncophora. De igual manera, Robinson & Greenman (1899) en su descripción de V. oncophora indican que en la base del peciolo existen una o dos pequeñas aurículas gruesas que se vuelven corchosas y son caedizas. Con base en esta característica, se diferencia por primera vez a V. molinaria, la cual no presenta aurículas en la base de la hoja y refieren que sus peciolos son de 7 mm de largo (más cortos que los de V. oncophora).
Standley (1920-1926) también considera a V. molinaria y V. oncophora como taxones distintos; el primero presenta un tallo sin alas y sin aurículas en la base de la hoja, y el segundo cuenta con hojas auriculadas en la base. Estos caracteres fueron los principales para circunscribir a todas las especies de este género, por esta razón se atribuye que estos fueron de importancia taxonómica para el autor.
McVaugh (1984) acepta dos variedades de V. oncophora. La variedad tipo se distribuye en Ciudad de México, México y Morelos, mientras que en Nueva Galicia (Aguascalientes, Colima, Jalisco y porciones de Durango, Guanajuato, Michoacán, Nayarit y Zacatecas) se distribuye V. oncophora var. subhamata McVaugh, la cual se caracteriza por el ápice recurvado de las brácteas. El autor señala que entre los individuos de esta especie existe una gran variación en las alas de los tallos, ya que pueden extenderse a lo largo de todos los entrenudos, reducirse en aurículas o mostrarse como vestigios en la base del peciolo e inclusive estar ausentes.
Turner (2016) señala que V. oncophora tiene brácteas involucrales negruzcas e inflorescencias más grandes y numerosas, por lo que sugiere que V. oncophora var. subhamata no pertenece a esta especie, sino que se trata de un sinónimo de V. pterocarpha, debido a la variación en las alas de los tallos.
Por otra parte, el ejemplar tipo de V. pterocarpha no presenta aurículas ni alas en el tallo y el ejemplar tipo de V. oncophora var. subhamata si presenta aurículas en la base de la hoja, por lo que en este estudio se consideran especies diferentes; añadiendo que las brácteas recurvadas constituyen un carácter que permite diferenciar rotundamente a V. oncophora var. subhamata de V. pterocarpha.
Aunque McVaugh (1984) reconoce que en el oeste de México solo se pueden separar V. pterocarpha de V. oncophora por la ausencia de alas y de aurículas, tampoco podría ser tratada como sinónimo de V. molinaria, puesto que sus hojas claramente son ovadas y alternas, los pedúnculos son más alargados y las inflorescencias laxas.
En el presente trabajo se considera que V. molinaria y V. oncophora son taxones distintos, ya que además de la ausencia o presencia de la escama, existen diferencias morfológicas como la forma de crecimiento, el largo del peciolo, la posición de las hojas, la forma de la lámina, la textura del envés de la lámina y el color de las anteras (Tabla 2).
Los análisis estadísticos obtenidos apoyan una distribución normal y multinormal en los datos; sin embargo, es posible que los resultados varíen con otras técnicas estadísticas a las utilizadas en este estudio, especialmente por la pequeña muestra (n < 50) de ejemplares de V. molinaria; para adecuar a otras pruebas de normalidad sería necesario aumentar el tamaño de la muestra de V. molinaria.
Los resultados obtenidos del LDA igualmente respaldan la decisión de considerarlas como especies diferentes. Considerando las dos especies como grupos a priori, todos los ejemplares examinados se agruparon en su categoría respectiva. Verbesina molinaria se distribuye principalmente en el estado de Morelos, con dos ejemplares adicionales, uno en Michoacán y otro en el Estado de México. Además de los caracteres más notorios en los ejemplares de herbario que permiten diferenciar a las especies (especialmente la escama en la base de la hoja y el largo del peciolo), se identificaron otros ocho caracteres importantes que podrían ayudar a separarlas como especies distintas (Tabla 4). Por consiguiente, se concluye que las dos especies deberían ser reconocidas como entidades distintas, una de ellas (V. oncophora) con una amplia distribución en el centro de México y la otra con una distribución más restringida, mejor conocida hasta la fecha en el estado de Morelos.










nueva página del texto (beta)




