Servicios Personalizados
Revista
Articulo
Indicadores
-
Citado por SciELO -
Accesos
Links relacionados
-
Similares en
SciELO
Compartir
Botanical Sciences
versión On-line ISSN 2007-4476versión impresa ISSN 2007-4298
Bot. sci vol.91 no.1 México mar. 2013
Restauración ecológica
Desempeño de tres especies arbóreas del bosque tropical caducifolio en un ensayo de restauración ecológica
Performance of three tree species from tropical dry forest in an ecological restoration trial
Limberg Encino-Ruiz1, Roberto Lindig-Cisneros1, Mariela Gómez-Romero1 y Arnulfo Blanco-García2,3
1 Universidad Nacional Autónoma de México, Centro de Investigaciones en Ecosistemas, Morelia, Michoacán, México.
2 Universidad Michoacana de San Nicolás de Hidalgo, Facultad de Biología, Morelia, Michoacán, México.
3 Autor para la correspondencia: arnulfoblanco@yahoo.com.mx
Recibido: 15 de marzo de 2012
Aceptado: 4 agosto de 2012
Resumen
Se evaluó la supervivencia y el crecimiento de tres especies arbóreas nativas del bosque tropical caducifolio del Bajío (Albizia occidentalis, Cedrela dugesii y Ceiba aesculifolia) y se utilizó una planta arbustiva (Eysenhardtia polystachya) para evaluar su papel como nodriza. Se plantaron 720 plántulas de las tres especies arbóreas y fueron asignadas en tres diferentes posiciones con respecto al dosel de E. polystachya (debajo, borde y fuera de la influencia). Después de un año la supervivencia de A. occidentalis fue de 26%, de C. dugesii 37% y de C. aesculifolia 56%, presentándose una alta mortalidad en los meses más secos del año (de marzo a mayo). Las tres especies sobrevivieron mejor debajo del dosel de E. polystachya, que las plantas ubicadas fuera de su influencia pero sólo C. dugesii registró diferencias significativas (P > 0.002). Con respecto al crecimiento de las especies se encontró que sólo A. occidentalis se vio beneficiada de la presencia de E. polystachya. Se encontraron condiciones microclimáticas adversas en el sitio de estudio en la época seca (temperaturas máximas del aire por arriba de 40 °C) y menos severas debajo de E. polystachya, ya que la temperatura máxima registrada fuera de la influencia de la nodriza fue de 41 °C y debajo de ella fue menor (36.7 °C).Este estudio es relevante porque dos de las especies (A. occidentalis y C. dugesii) están enlistadas en la NOM-059-SE-MARNAT-2010 en las categorías Amenazada y Sujeta a Protección Especial, respectivamente.
Palabras clave: Bajío michoacano, isla de calor urbano, matorral subtropical, nodricismo.
Abstract
Survival and growth of three tree species from tropical dry forest (Albizia occidentalis, Cedrela dugesii, and Ceiba aesculifolia) were measured in an ecological trial using a shrub species (Eysenhardtia polystachya) in order to assess its potential role as a nurse plant. Seven hundred and twenty seedlings of the three species were planted beneath, in the edge and outside from the canopy of E. polystachya. Survival of A. occidentalis after one year averaged 26%, while C. dugesii and C. aesculifolia averaged 37 and 56% and the highest mortality occurred during the driest months of the year (from March to May). The three species showed higher survival beneath the canopy of E. polystachya, but only C. dugesii showed significant differences (P > 0.002). Only A. occidentalis showed a significant higher growth beneath E. polystachya. We found harsh microclimatic conditions in the study site during the dry season (with air maximum temperatures surpassing 40 °C) but these conditions were more severe out of E. polystachya canopies (41°C) compared to sites beneath the canopy of this shrub (36.7 °C). This study is relevant because A. occidentalis y C. dugesii are protected by Mexican government laws.
Key Words: Bajío michoacano, heat urban island, nurse plants, subtropical scrub.
Con el nombre de El Bajío se conoce a una porción relativamente poco accidentada del territorio de México, ubicada en el extremo sur de la Altiplanicie Mexicana y comprende un área de aproximadamente 20,000 km2, con altitudes de 1,700 a 2,000 m s.n.m. y cuyas dos terceras partes corresponden a Guanajuato y el resto se distribuye entre Michoacán y Querétaro. Constituye una región de terreno predominantemente plano o de pendientes no muy pronunciadas, aun cuando está salpicada de elevaciones montañosas de variadas extensiones y alturas (Rzedowski y Calderón de Rzedowski, 1987).
En la mayor parte del Bajío, el tipo de vegetación dominante era el bosque tropical caducifolio y en las zonas cercanas a Morelia se encontraba sobre un "malpaís" o corriente de lava basáltica, ya bastante intemperizada (Rzedowski y Calderon de Rzedowski, 1987). Observaciones y análisis recientes en esta región, indican que en la actualidad este tipo de vegetación se encuentra limitado a una mínima extensión (menos del 1% de su distribución original) y ha sido sustituido por una comunidad vegetal denominada "matorral subtropical" y según Rzedowski y Calderón de Rzedowski (1987) este matorral es una fase sucesional estabilizada del bosque tropical caducifolio. El bosque tropical caducifolio del Bajío se caracterizaba por presentar un dosel principal de 6 a 8 m altura del suelo y en muchos casos, con otro estrato de eminencias aisladas (Albizia occidentalis y Cedrela dugesii) de hasta de 12 m. La dominancia en el estrato arbóreo estaba por lo común compartida por varias (dos a ocho) especies, entre las cuales casi siempre había algún representante de la familia Leguminosae (especies de A. occidentalis, Eysenhardtia polystachya, Lysiloma acapulcence y Senna mutiglandulosa), especies del género Bursera y a menudo también de C. dugesii, Ceiba aesculifolia y Celtis caudata (Rzedowski y Calderón de Rzedowski, 1987).
En términos generales, se reconoce que los árboles y los arbustos modifican el microambiente debajo de su copa, facilitando el establecimiento de plántulas de especies tanto anuales como perennes (Godínez-Álvarez et al., 2003). A este tipo de interacción se le conoce normalmente como nodricismo y aparentemente, este tipo de asociación es fundamental en la germinación y el reclutamiento de nuevos individuos en la población de algunas especies de cactáceas (Steenbergh y Lowe, 1969; Franco y Nobel, 1989; Suzán et al., 1996; Nolasco et al., 1997, Mandujano et al., 1998; Contreras y Valverde, 2002; Esparza-Olguín et al., 2002; Godínez-Álvarez et al., 2003). Las plantas nodrizas modifican los factores que tienen impacto en el balance hídrico de los organismos y en la disponibilidad del agua en el suelo, ya que alejadas de su copa, las plantas están sometidas a condiciones extremas de temperatura y radiación (Shreve, 1931; McAuliffe, 1988; Fowler, 1986; Valiente-Banuet y Ezcurra, 1991).
Una de las razones principales de este efecto nodriza, es el mejoramiento en las relaciones hídricas de las plántulas (Holmgren et al., 1997). Bajo la sombra de una planta nodriza, las temperaturas del aire y del suelo son más bajas y el contenido del agua en las capas superficiales del suelo tienden a permanecer más altas (Joffre y Rambal, 1988; Del Pozo et al., 1989), provocando que las plántulas experimentan menos estrés hídrico y térmico (Valiente-Banuet y Ezcurra, 1991; Aguiar y Sala, 1994). El efecto nodriza, junto con el hecho que los arbustos adultos son relativamente menos sensibles a la sequía y herbivoría, explica por qué la vegetación leñosa madura puede persistir y rejuvenecerse donde el establecimiento de plántulas en ausencia de sombra de la vegetación leñosa nodriza es imposible (Valiente-Banuet y Ezcurra, 1991; Aguiar y Sala, 1994).
Un creciente número de evidencias experimentales, indican que la proximidad entre plantas puede ser benéfico en ambientes dominados por estrés ambiental, tales como los mediterráneos (Castro et al., 2002; Gómez-Aparicio et al., 2004). En estas condiciones, la supervivencia de plántulas y juveniles situados bajo la copa de un matorral, pueden aumentar debido al incremento de la humedad del suelo, disminución de la elevada radiación durante el verano y la menor temperatura de aire y suelo, lo que en definitiva mejora el estatus hídrico de la planta (Maestre et al., 2001, Castro et al., 2002). De acuerdo con lo anterior, el uso de matorrales como plantas nodriza que aumente la tasa de supervivencia de los propágulos, puede plantearse como una técnica de reforestación que reduzca costos e impacto en el ecosistema.
En el área de estudio, ya se han realizado previamente experimentos de establecimiento de algunas especies arbóreas, uno de ellos tuvo como objetivo evaluar la dinámica de la supervivencia durante la primera temporada de crecimiento de Ceiba aesculifolia y Quercus castanea en un ensayo altitudinal y de exposición de ladera, obteniendo después de un año 71% contra 13.5% de supervivencia respectivamente, ambas especies respondieron de manera significativa a la altitud y orientación de las parcelas y se registró un desplazamiento de C. aesculifolia con respecto a su distribución altitudinal histórica (Valle-Díaz, 2009).
En la Sierra Nevada se evaluó la supervivencia de las plantaciones de Pinus sylvestris, P. nigra y Quercus pirenaica bajo matorral (Salvia sp.) y a cielo abierto (Castro et al., 2004), registrándose en las tres especies una mayor supervivencia cuando crecieron debajo de matorrales (30 y 15% para P. sylvestris, 65 y 40% para P. nigra, 40 y 15% para Q. pirenaica, Gómez-Aparicio et al., 2004). Por otro lado, Blanco-García et al. (2011) encontraron que el uso de una leguminosa nativa (Lupinus elegans) como nodriza puede incrementar al doble la supervivencia de las reforestaciones de una conífera nativa (Abies religiosa) en la Meseta Purepecha (Michoacán) y, además, se documentó un incremento en el contenido de nitrógeno total en las parcelas en que fue sembrada la leguminosa.
En el presente estudio se evaluó la respuesta de tres especies arbóreas a la proximidad de una especie arbustiva que podría funcionar como nodriza en una reforestación con especies nativas del bosque tropical caducifolio de la región del Bajío Mexicano. Este estudio es relevante, porque prácticamente no se ha generado información relacionada con el establecimiento de dichas especies en escenarios de restauración ecológica y además, dos de las tres especies arbóreas mencionadas (Albizia occidentalis y Cedrela dugesii) están registradas en la NOM 059-SEMARNAT-2010 bajo algún estatus de protección. La primera se encuentra en la categoría (A) como amenazada y la última sujeta a protección especial (Pr), debido a la distribución geográfica restringida que presentan ambas especies y también como consecuencia del tamaño reducido de sus poblaciones, fenómeno agravado por el alarmante grado de transformación del hábitat en el Bajío Mexicano (especialmente C. dugesii persiste con escasos individuos aislados y restringidos a malpaíses, Calderón de Rzedowski y Germán, 1993; Rico et al., 2008).
Materiales y métodos
Descripción del área de estudio. El cerro Punhuato es un área natural protegida (ANP) estatal, se ubica a 7 km del centro de la ciudad de Morelia en dirección este, con superficie total de 118.86 ha y se encuentra entre las cotas altitudinales de 1,980 y 2,300 m s.n.m. (Gómez-Romero et al., 2007). Dentro del ANP se han realizado desde hace más de 20 años, actividades permanentes relacionadas con la conservación y recuperación del sitio como espacio natural (reforestación con especies arbóreas nativas y exóticas, establecimiento de un vivero, obras de captación de agua pluvial, retención de suelos y educación ambiental). En los últimos cincuenta años de la ciudad de Morelia ha predominado el tipo climático templado con verano fresco largo, temperatura media del mes más caliente inferior a 22 °C y la temperatura promedio anual es de 18.6 °C. La precipitación total anual está comprendida entre los 760 y 800 mm debido a la diferencia del relieve, ubicándose el cerro Punhuato en el límite inferior del rango mencionado (Gómez-Romero et al., 2007).
El suelo del sitio es de tipo feozem con grado de deterioro variable y profundidad promedio de 25 cm con abundantes afloramientos rocosos y pedregosidad superficial. Los valores de textura del suelo son: arena (56%), limo (24%) y arcilla (20%), el pH es predominantemente ácido (4.7 -5.0), en términos de nutrientes se encontraron valores extremadamente ricos en materia orgánica y nitrógeno aprovechable; mientras que el fósforo asimilable es pobre (Valle-Díaz, 2009).
Experimento. En una ladera con orientación oeste y de 20 a 30 grados de pendiente dentro del Área Natural Protegida cerro Punhuato (19° 41' 49" N, 101° 08' 18" O) se seleccionaron 60 individuos de Eysenhardtia polystachya entre la cotas altitudinales de 2,120 y 2,140 m s.n.m., abarcando una superficie aproximada de 3,000 m2. De cada individuo de E. polystachya se midió el eje mayor y menor de la copa para aproximar la cobertura a través del área de una elipse. En julio de 2008 (ya iniciada la época lluviosa) se plantaron 12 árboles de una misma especie arbórea debajo y en la cercanía de cada arbusto de E. polystachya, ubicándolos de manera concéntrica a diferente distancia del dosel: cuatro árboles en el punto medio del dosel, cuatro en el borde de su copa y cuatro fuera del dosel a la misma distancia entre la posición de las plantas debajo del dosel y el borde, debido a esto la distancia entre las plantas (debajo y fuera del dosel) y el borde del dosel fue variable ya que dependía del tamaño de la copa de cada individuo de E. polystachya. De los 60 arbustos de E. polystachya, 21 albergaron a Ceiba aesculifolia (252 plantas), 20 a Albizia occidentalis (240 individuos) y 19 para Cedrela dugesii (228 plantas), para dar un total de 720 plantas en el experimento. Dichas plantas fueron propagadas en una casa de sombra del Centro de Investigaciones en Ecosistemas de la UNAM Campus Morelia de acuerdo a protocolos de propagación desarrollados con anterioridad en el Laboratorio de Ecología de la Restauración de dicha institución. El germoplasma fue colectado en los alrededores de Morelia y al momento de la reforestación las plantas tenían una edad de 15 meses.

Se registraron los datos de supervivencia (identificando si cada individuo estaba vivo o muerto), crecimiento en altura (ubicando la yema de crecimiento más alta) y diámetro a la altura de la base del tallo (DAB) para las 720 plantas desde el inicio (julio de 2008) y hasta el final del experimento (julio de 2009). Adicionalmente, se monitoreó la temperatura del aire (a una altura de 1.6 m), debajo y fuera del dosel de tres nodrizas por medio de registradores (Hobo® H01-001-01 Onset Computer Corporation, EUA) los cuales tomaron lecturas cada hora desde el 18 de mayo 2009 hasta el 8 de julio 2009 para conocer la magnitud de las condiciones microclimáticas que proporcionan las nodrizas.
La supervivencia de Albizia occidentalis, Cedrela dugesii y Ceiba aesculifolia se analizó mediante análisis de supervivencia. Este conjunto de técnicas es especialmente útil cuando se tienen datos que involucran la ocurrencia de un evento en particular, en este caso la muerte de las tres especies arbóreas aquí utilizadas. De las herramientas del análisis de supervivencia se usó la función de Kaplan-Mier que describe si el tiempo de supervivencia difiere entre las tres especies y también saber si difiere entre la posición de las plantas con respecto a la nodriza, la comparación de las curvas de supervivencia se realizó mediante la prueba logrank que tiene una potencia óptima cuando las funciones de riesgo son proporcionales a lo largo del tiempo. Para analizar el crecimiento como la altura y diámetro final del tallo, se llevaron a cabo análisis de covarianza en los cuales las variables explicativas fueron la cobertura de la nodriza y la posición con respecto a la nodriza (debajo, en el borde o fuera), mientras que la altura o diámetro inicial se usó como covariable.
En todos los casos se comprobó que se cumpliera con los supuestos de los análisis, los datos presentados son medias y desviaciones estándar al menos que se especifique de otro modo. Los análisis se llevaron a cabo con R (R Development Core Team, 2010) y el paquete "survival" para R (Therneau y Lumley, 2009).
Las especies
De las especies arbóreas registradas para el bosque tropical caducifolio destaca Ceiba aesculifolia (Kunth) Britten y Baker. (Bombacaceae), por ser una especie típica de este tipo de vegetación (Madrigal-Sánchez, 1997; Villaseñor y Villaseñor, 1997; Madrigal-Sánchez y Guridi, 2002), tiene una amplitud de distribución que se extiende desde el nivel del mar hasta 1,900 m s.n.m., presentándose de manera aislada y poco frecuente hasta 2,200 m s.n.m. (Carranza-González y Blanco-García, 2000). Adicionalmente, en el cerro Punhuato se encuentra una población de esta especie, confinada a las partes bajas del mismo.
Cedrela dugesii S.Watson, conocida localmente como nogalillo, es un árbol de la familia Meliaceae, crece en suelos someros y afloramientos rocosos, hoy ya escaso en lo que aún resta del bosque tropical caducifolio en el Bajío. Se registra en localidades algo dispersas de Guanajuato y norte de Michoacán en altitudes de 1,500-2,400 m s.n.m.
Albizia occidentalis Brandegee, conocida localmente como parotilla o palo blanco es una especie arbórea nativa del bosque tropical caducifolio y pertenece a la familia Leguminosae. Se le reconoce también dentro del matorral subtropical, especialmente en algunas zonas en los alrededores de la ciudad de Morelia y es localmente abundante hacia el Lago de Cuitzeo.
El palo dulce, Eysenhardtia polystachya (Ortega) Sarg, pertenece a la familia Leguminosae. Es un arbusto o árbol de pequeñas dimensiones, ampliamente distribuido en las vertientes del golfo de México, del océano Pacífico y en la parte central del país; suele encontrarse a una altitud entre 150 a 3,000 m s.n.m. Se presenta en la vegetación secundaria del bosque tropical caducifolio y es abundante en zonas semicálidas (Acw: caliente y subhúmedos con lluvias en verano).
Resultados
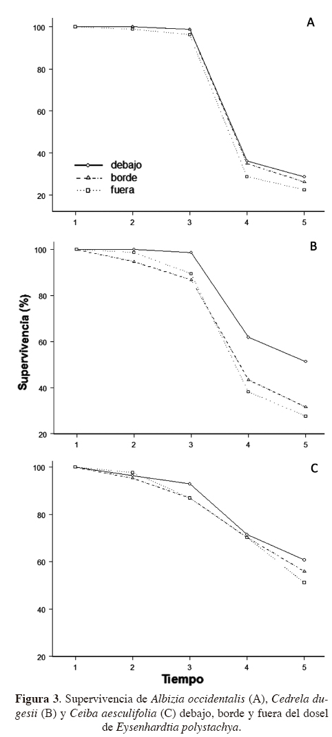
Supervivencia de Albizia occidentalis, Cedrela dugesii y Ceiba aesculifolia, durante un año de experimento. Después de los primeros tres meses posteriores (agosto, septiembre y octubre) se obtuvieron los siguientes porcentajes de supervivencia: 100% en A. occidentalis, 97% en C. dugesii, 96% en C. aesculifolia, lo que indica que no hubo un efecto significativo del trasplante en la mortalidad. Al final del experimento C. aesculifolia presentó el mayor porcentaje de supervivencia (56%), seguida de C. dugesii que presentó 37%, mientras que A. occidentalis presentó un 26% de supervivencia final. Los principales eventos de mortalidad ocurrieron durante la época seca (marzo a mayo de 2009, Figura 2).

Los análisis de supervivencia presentaron diferencias altamente significativas entre las curvas de supervivencia de las tres especies (X2 = 39.5, g.l. = 2, P = 0.001). Ceiba aesculifolia mantuvo un mayor porcentaje de supervivencia en los últimos meses a diferencia de las otras especies. Por el contrario, C. dugesii y A. occidentalis presentaron un patrón de mortalidad similar de marzo a mayo (Figura 2).
Los individuos de Albizia occidentalis no presentaron diferencias significativas en las curvas de supervivencia bajo las diferentes posiciones (X2 = 1.3, g.l. = 2, P = 0.515), es decir, no hubo diferencia debajo, borde y fuera de la planta nodriza. Aun cuando en los análisis estadísticos no se detectaron diferencias significativas entre las posiciones, se observa una tendencia de mayor supervivencia final debajo de la planta nodriza (29%) en comparación a las que están ubicadas en el borde y fuera de la misma (26 y 23%, Figura 3A). Por el contario, para Cedrela dugesii hubo diferencias significativas debajo, borde y fuera de la nodriza (X2= 11.8, g.l. = 2, P = 0.003), es decir la supervivencia de C. dugesii es mayor debajo de la planta nodriza en comparación a las plantas que se encuentran en el borde y fuera de la influencia de Eysenhardtia polystachya (Figura 3B). Los análisis de supervivencia para Ceiba aesculifolia tampoco presentaron diferencias significativas para ninguna de las posiciones (X2= 1.4, g.l. = 2, P = 0.503, Figura 3C).

Incremento en altura de Albizia occidentalis, Cedrela dugesii y Ceiba aesculifolia, durante un año de experimento. Las tres especies estudiadas incrementaron su tamaño, tanto en altura como en diámetro del tallo a lo largo del estudio. En cuanto a la altura final de A. occidentalis (Figura 4A) influyeron la altura inicial de las plantas (F(1,56) = 574, P < 0.0001) y la cobertura de la nodriza (F(1,56) = 4.2, P = 0.040), pero no la posición con respecto a ésta (debajo 47 ± 20 cm, borde 45 ± 27 cm, fuera 40 ± 21 cm; F(2,56) = 0.9, P = 0.420).

En cuando al incremento en el diámetro, esta variable para Albizia occidentalis (Figura 4B) se relacionó con el diámetro inicial (F(1,56) = 570, P < 0.0001) y con la posición con respecto a la nodriza (F(2,56) = 5.8, P = 0.005), con respecto a esta segunda variable, las plantas debajo de la nodriza tuvieron un diámetro de 0.93 ± 0.37 cm, en el borde 1.06 ± 0.58 cm y fuera 0.87 ± 0.39 cm. En el caso de Ceiba aesculifolia se encontró que la altura final de los individuos de esta especie respondió solamente a la altura inicial (F(1,133) = 355, P < 0.0001), pero el diámetro final del tallo (Figura 4C) se relacionó con el diámetro inicial (F(1,133) = 194, P < 0.0001) y con la cobertura de la nodriza (F(1,56) = 570, P < 0.0001), porque las plantas debajo de la nodriza tuvieron un diámetro de 1.06 ± 0.37 cm, en el borde de 0.94 ± 0.45 cm y fuera de 0.93 ± 0.45 cm. Finalmente, la altura final de Cedrela dugesii solamente respondió a la altura inicial que presentaban las plantas (F(1,77) = 107, P < 0.0001) y el diámetro al diámetro inicial (F(1,77) = 151, P < 0.0001).
Efecto de Eysenhardtia polystachya en el microclima. Debajo de E. polystachya se registraron mejores condiciones microclimáticas de acuerdo a los resultados que se obtuvieron mediante dos registradores de temperatura que midieron la temperatura ambiental cada hora durante toda la época seca (Figura 5). Aun cuando la temperatura promedio es similar en las dos posiciones, las temperaturas máximas diarias si son menores debajo que fuera de la influencia del dosel de la leguminosa. Dichos registradores mostraron que fuera de la influencia de E. polystachya, la temperatura máxima fue mayor que debajo del dosel de la planta nodriza, llegando hasta los 41 °C comparada con 36.7 °C debajo del dosel. En cuanto a la variación diaria de la temperatura máxima, se registró que para el 18 de mayo, la diferencia entre la temperatura debajo y fuera de E. polystachya fue de 4 °C, el 27 de mayo fue de 4.75 °C, 2 de junio de 6.9 °C, 4 de junio de 4.55 °C, 7 de junio de 4 °C, 12 de junio 3.9 °C, 30 de junio de 3.65 °C. Para el mes de julio las diferencias en temperatura máxima debajo y fuera del dosel de E. polystachya se fueron atenuando.

Discusión
Los resultados mostraron una supervivencia media en Ceiba aesculifolia y baja en Albizia occidentalis y Cedrela dugesii a lo largo de un año. De acuerdo a Herrera et al. (1994) y Rey y Alcántara (2000), los períodos de sequía de duración muy variable pueden limitar seriamente el reclutamiento de las plantas causando mortalidad masiva durante su primer año de vida. Tal fenómeno se observó en el sitio de estudio ya que fue en los meses más secos (entre marzo y mayo de 2009) cuando se registró la mayor mortalidad de plántulas para las tres especies. La mayor supervivencia de C. aesculifolia posiblemente se deba a que es más resistente a las condiciones estresantes del sitio de estudio, tal y como reportan Valle-Díaz y colaboradores (2009), donde dicha especie presentó el mayor porcentaje de supervivencia (71%) contra el 13.5% de Quercus castanea en un ensayo altitudinal de restauración ecológica en el mismo sitio de estudio. También Hernández-Gómez (2010) reporta la alta capacidad de Ceiba aesculifolia para persistir en condiciones de estrés hídrico ya que puede mostrar valores de supervivencia similares cuando es mantenida con y sin riego en condiciones de vivero, esto como resultado de desarrollar una mejor calidad de planta, la cual se obtiene cuando la parte aérea es relativamente pequeña y la raíz es grande, lo que puede garantizar una mayor supervivencia, ya que se evita que la transpiración exceda a la capacidad de absorción. Con respecto a la supervivencia de las tres especies en las diferentes posiciones (debajo, borde y fuera de Eysenhardtia polystachya), no se presentaron diferencias significativas para dos de las especies. Sin embargo, Cedrela dugesii sí presentó diferencias significativas en la supervivencia debajo, borde y fuera de los arbustos. Del Pozo et al. (1989) argumentan que el microclima generado bajo los manchones de vegetación aumenta significativamente la expectativa de vida de las plántulas en comparación con los espacios abiertos, ya que la temperatura media ambiental bajo los arbustos disminuye también considerablemente (Gómez-Aparicio et al., 2004). Así, las plántulas y juveniles establecidos bajo la copa de los matorrales verían favorecida su supervivencia y crecimiento gracias a una reducción parcial de la radiación que, sin llegar a ser limitante para el crecimiento, como la generada por un dosel arbóreo, evita los problemas derivados de la radiación en exceso (Retana et al., 1999; Gómez, 2004). Finalmente, bajo la copa de los matorrales, donde se alcanzan valores intermedios de radiación, se produce la máxima supervivencia sin que se llegue a impedir el crecimiento de las plántulas (Castro et al., 2004). Por el contario, Albizia occidentalis no presentó diferencias significativas debajo, en el borde ni fuera de la planta nodriza. Los resultados muestran una alta mortalidad en A. occidentalis lo que nos sugiere que es una especie menos resistente a las condiciones del sitio de estudio.
La supervivencia final de Ceiba aesculifolia fue de 56% y la mayor mortalidad se presentó de marzo a mayo, muy posiblemente como respuesta a las condiciones climáticas adversas del sitio. Valle-Díaz y colaboradores (2009) reportan que la supervivencia de C. aesculifolia en el mismo sitio de estudio no se vio afectada por el tipo y contenido de nutrientes del suelo por lo que la existencia de la isla de calor, como consecuencia de la influencia de la ciudad adyacente sobre la reserva ecológica podría estar afectando la supervivencia de las plantas. De hecho, las temperaturas del sitio parecen ser una barrera que limita la supervivencia de las reforestaciones del sitio. En los meses más secos del año en el cerro Punhuato se han registrado máximas anuales hasta de 41.4 °C, temperaturas que dificultan la restauración del área de estudio (Valle-Díaz et al., 2009).
La baja supervivencia podría relacionarse con la incidencia de los altos niveles de radiación solar, los cuales también afectan negativamente la supervivencia de estas plantas como se presentó anteriormente con Cedrela dugesii y Ceiba aesculifolia, en las que probablemente las altas temperaturas y bajos niveles de humedad, afectaron negativamente su porcentaje de supervivencia. Es importante señalar que se han estudiado muy poco los aspectos ecofisiológicos de dichas especies, pero en condiciones de poca disponibilidad de agua, la mayoría de las plantas que son tolerantes a la sequía presentan alteraciones en la relación biomasa aérea: biomasa subterránea y este cambio se ve acentuado conforme la sequía aumenta. Además, la tasa de crecimiento también disminuye en condiciones de sequía para evitar una mayor pérdida de agua (Crawford, 1989).
Con relación a los resultados de incremento en altura de las tres especies, Albizia occidentalis presentó el doble de crecimiento en comparación con Ceiba aesculifolia y Cedrela dugesii. El incremento en altura de A. occidentalis probablemente se debe a la capacidad que tiene para disparar su crecimiento con la llegada de las primeras lluvias, de modo que aprovecha al máximo la época lluviosa. Además, es una especie de rápido crecimiento, pues a diferencia de las otras especies A. occidentalis no engrosa el tallo si no que tiende a concentrar toda la energía para elongarse, presentándose en promedio ocho centímetros de crecimiento en una temporada. Es importante señalar que para las tres especies, el mayor crecimiento se obtuvo debajo de Eysenhardtia polystachya, de tal manera que debajo de la nodriza se generan condiciones más favorables para un mejor desarrollo de las plantas. Según Gibson y Nobel (1986), las nodrizas proporcionan a las plántulas de Pterocereus gaumeri un microambiente con menos radiación solar que en los sitios abiertos y consecuentemente con temperaturas más bajas y menor demanda evaporativa.
Eysenhardtia polystachya se muestra como una especie promisoria en la restauración ecológica, especialmente para favorecer el establecimiento de Cedrela dugesii además de disminuir la pérdida de suelo. Esta leguminosa es abundante en sitios perturbados (forma masas casi puras en laderas degradadas), fija nitrógeno atmosférico, muestra tasas de crecimiento altas, produce abundante semilla que es fácil de colectar, tiene porcentajes de germinación hasta 85% y no necesita de tratamientos pregerminativos (Vázquez-Yanes et al., 1999).
Es importante señalar la contribución de este proyecto a la conservación y recuperación de especies prioritarias bajo algún estatus de protección por las leyes ambientales mexicanas. Aun cuando los porcentajes de supervivencia para Albizia occidentalis y Cedrela dugesii fueron de bajos a medianos, si tomamos en cuenta que son especies que se encuentran amenazadas los resultados de supervivencia obtenidos fueron relevantes dadas las condiciones estresantes de las temperaturas máximas del cerro Punhuato (41°C registrados en este estudio y 45 °C registrados en 2007). Dichas temperaturas son probablemente provocadas por la exposición, la geología y por la cercanía de la ciudad de Morelia y el consecuente fenómeno de isla de calor (generación de condiciones microclimáticas adversas en las ciudades y en las zonas periurbanas adyacentes a éstas, Valle-Díaz, 2009).
Concluimos que los resultados de este trabajo contribuyen a la recuperación de un tipo de vegetación que se encuentra prácticamente extinto en la región del Bajío y que aun cuando el bosque tropical caducifolio (BTC) es abundante en toda la vertiente del pacífico mexicano, muchas de las especies reportadas para el BTC del Bajío no se han registrado a menores altitudes.
Agradecimientos
A la Secretaría de Urbanismo y Medio Ambiente de Michoacán, y al personal del Parque Estatal Cerro Punhuato por las facilidades otorgadas para la realización del trabajo. Se agradece también a dos revisores anónimos cuyos comentarios incrementaron la calidad del manuscrito.
Literatura citada
Aguiar M.R. y Sala E.O. 1994. Competition, facilitation, seed distribution and the origin of patches in a Patagonian steppe. Oikos 70:26-34. [ Links ]
Blanco-García A., Sáenz-Romero C., Martorell C., Alvarado-Sosa P y Lindig-Cisneros R. 2011. Nurse-plant and mulching effects on three conifer species in a Mexican temperate forest. Ecological-Engineering 37:994-998. [ Links ]
Calderón de Rzedowski G. y Germán M.T. 1993. Familia Meliaceae. Flora del Bajío y de Regiones Adyacentes. Fascículo 11. Instituto de Ecología, A.C. Centro Regional del Bajío, Pátzcuaro. [ Links ]
Carranza-González E. y Blanco-García A. 2000. Familia Bombacaceae. Flora del Bajío y de Regiones Adyacentes. Fascículo 90.Instituto de Ecología, A.C. Centro Regional del Bajío CONACYT/CONABIO, Pátzcuaro. [ Links ]
Castro J., Zamora R., Hódar J.A. y Gómez J.M. 2002. Use of shrubs as nurse plants: A new technique for reforestation in Mediterranean mountains. Restoration Ecology 10:297-305. [ Links ]
Castro J., Zamora R., Gómez L., Gómez J.M., Hódar J.A. y Baraza E. 2004. uso de matorrales como plantas nodriza en ambientes mediterráneos: evaluación de una nueva técnica de repoblación forestal. Cuadernos de la Sociedad Española de Ciencias Forestales; Actas de la III Reunión sobre Repoblaciones Forestales, Murcia. [ Links ]
Contreras C. y Valverde T. 2002. Evaluation on the conservation status of a rare cactus (Mammillaria crucigera) through the analysis of its population dynamics. Journal of Arid Environments 51:89-102. [ Links ]
Crawford R.M.M. 1989. Studies in Plant Survival. Blackwell Scientific Publications, Oxford. [ Links ]
Del Pozo A.H, Fuentes E.R., Hajek E.R. y Molina J.D. 1989. Zonación microclimática por efecto de los manchones de arbustos en el matorral de Chile central. Revista Chilena de Historia Natural 62:85-94. [ Links ]
Esparza-Olguín L., Valverde T. y Vilchis-Anaya E. 2002. Demographic analysis of a rare columnar cactus (Neobuxbaumia macrocephala) in the Tehuacan Valley, Mexico. Biological Conservation 103:349-359. [ Links ]
Fowler N. 1986. The role of competition in plant communities in arid and semiarid regions. Annual Review of Ecology and Systematics 17:89-110. [ Links ]
Franco A.C. y Nobel P S. 1989. Effect of nurse plants on the microhabitat and growth of cacti. Journal of Ecology 77:870-886. [ Links ]
Gibson A.C. y Nobel P.S. 1986. The Cactus Primer. Harvard University Press, Cambridge. [ Links ]
Godínez-Álvarez H., Valverde T. y Ortega-Baes P. 2003. Demographic trends in the Cactaceae. The Botanical Review 69:173-201. [ Links ]
Gómez J.M. 2004. Importance of burial and microhabitat in Quercus ilex early recruitment: non-additive effects on multiple demographic processes. Plant Ecology 172:287-297. [ Links ]
Gómez-Aparicio L., Zamora R., Gómez J.M., Hódar J.A., Castro J. y Baraza E. 2004. Applying plant facilitation to forest restoration: a meta-analysis of the use of shrubs as nurse plants. Ecological Applications 14:1128-1138. [ Links ]
Gómez-Romero M., Aureoles-Celso E., Marin-Togo M.C. y Lindig-Cisneros R. 2007. Programa de Manejo del Área Natural Protegida "Cerro Punhuato". Secretaría de Urbanismo y Medio Ambiente de Michoacán, Morelia. [ Links ]
Hernández-Gómez M. 2010. Efectos en el desempeño de Ceiba aesculifolia en condiciones de estrés hídrico con fines de restauración ecológica. Tesis de licenciatura, universidad Michoacana de San Nicolás de Hidalgo. 43 pp. [ Links ]
Herrera C.M., Jordano P, López-Soria L. y Amat J.A. 1994. Recruitment of a mast-fruiting, bird-dispersed tree: bridging frugivore activity and seedling establishment. Ecological Monographs 64:315-344. [ Links ]
Holmgren M., Scheffer M. y Huston M.A. 1997. The interplay of facilitation and competition in plant communities. Ecology 78:1966-1975. [ Links ]
Joffre R. y Rambal S. 1988. Soil water improvement by trees in the rangelands of southern Spain. Acta Oecologica 9:405-422. [ Links ]
Madrigal-Sánchez X. 1997. Ubicación fisiográfica de la vegetación en Michoacán, México. Ciencia Nicolaita 15:65-75. [ Links ]
Madrigal-Sánchez X. y Guridi Gómez L. 2002. Los árboles silvestres del municipio de Morelia, Michoacán. México. Ciencia Nicolaita 33:29-58. [ Links ]
Maestre F.T., Bautista S., Cortina J. y Bellot J. 2001. Potential for using facilitation by grasses to establish shrubs on a semiarid degraded steppe. Ecological Applications 11:1641-1655. [ Links ]
Mandujano M., Montaña C., Méndez I. y Golubov J. 1998. The relative contribution of sexual reproduction and clonal propagation in Opuntia rastrera from two habitats in the Chihuahuan Desert. Journal of Ecology 86:911-921. [ Links ]
McAuliffe R.J. 1988.Markovian dynamics of simple and complex desert plants communities. The American Naturalist 131:459-490. [ Links ]
Nolasco H., Vega-Villasante F. y Díaz-Rondero A. 1997. Seed germination of Stenocereus thurberi (Cactaceae) under different solar irradiation levels. Journal of Arid Environments 36:123-132. [ Links ]
NOM-059-SEMARNAT-2010. Protección Ambiental-Especies nativas de México de flora y fauna silvestres-Categorías de riesgo y especificaciones para su inclusión, exclusión o cambio-Lista de especies en riesgo. Diario Oficial de la Federación. 6 de Marzo. 153 pp. [ Links ]
R Development Core Team, 2010.R: A Language and Environment for Statistical Computing. R Foundation for Statistical Computing, Viena. [ Links ]
Retana J., Espelta J.M., Gracia M. y Riba M. 1999. Seedling recruitment in holm-oak forests. En: Rodà F., Retana J., Gracia C.A. y Bellot J. Eds. Ecology of Mediterranean Evergreen Oak Forests, pp. 89-103, Springer-Verlag, Berlín. [ Links ]
Rey PJ. y Alcántara J.M. 2000. Recruitment dynamics of a fleshy-fruited plant (Olea europea): connecting patterns of seed dispersal to seedling establishment. Journal of Ecology 88:622-633. [ Links ]
Rico A.M.L., Gale S.L. y Maxted N. 2008. Estudio taxonómico de Albizia (Leguminosae: Mimosoideae: ingeae) en México y América Central. Anales del Jardín Botánico de Madrid 65:255-305. [ Links ]
Rzedowski J. y Calderón de Rzedowski G. 1987. El bosque tropical caducifolio de la región Mexicana del Bajío. TRACE 12:12-20. [ Links ]
Shreve F. 1931. Physical conditions in sun and shade. Ecology 12:96-104. [ Links ]
Steenbergh W.F. y Lowe C.H. 1969. Critical factors during the first years of life of the saguaro (Cereus giganteus) at Saguaro National Monument, Arizona. Ecology 50:825-834. [ Links ]
Suzán H., Nabhan G.P. y Patten D.T. 1996. The importance of Olneya tesota as nurse plant in the Sonoran Desert. Journal of Vegetation Science 7:635-644. [ Links ]
Valiente-Banuet A. y Ezcurra E. 1991. Shade as a cause of the association between the cactus Neobuxbaumia tetetzo and the nurse plant Mimosa luisana in the Tehuacán Valley, Mexico. Journal of Ecology 7 9:961-971. [ Links ]
Valle-Díaz O., Blanco-García A., Bonfil C., Paz H. y Lindig-Cisneros R. 2009. Altitudinal range shift detected through seedling survival of Ceiba aesculifolia in an area under the influence of an urban heat island. Forest Ecology and Management 258:1511-1515. [ Links ]
Vázquez-Yanes C., Batis-Muñoz A.I., Alcocer-Silva M.I., Gual-Díaz M. y Sánchez-Dirzo C. 1999. Árboles y arbustos potencialmente valiosos para la restauración ecológica y reforestación. Reporte técnico del proyecto J-084-CONABIO. Instituto de Ecología, Universidad Nacional Autónoma de México, México, D.F. [ Links ]
Villaseñor L. y Villaseñor. G.J.F. 1997. Inventario y Evaluación de Abundancia de las Especies de Aves del Cerro Punhuato. Colección de aves. Facultad de Biología, universidad Michoacana de San Nicolás de Hidalgo. [ Links ]













