Servicios Personalizados
Revista
Articulo
Indicadores
-
Citado por SciELO -
Accesos
Links relacionados
-
Similares en
SciELO
Compartir
Ingeniería agrícola y biosistemas
versión On-line ISSN 2007-4026versión impresa ISSN 2007-3925
Ing. agric. biosist. vol.10 no.1 Chapingo ene./jun. 2018 Epub 24-Ago-2018
https://doi.org/10.5154/r.inagbi.2017.10.014
Artículo científico
Modelos basados en termodinámica clásica para predecir las propiedades de biodiésel
1Instituto Politécnico Nacional, Estudios de Posgrado e Investigación de ESIME-Culhuacán. Av. Santa Ana, núm. 1000, San Francisco Culhuacán, Delegación Coyoacán, Ciudad de México, C. P. 04430, MÉXICO.
2Universidad de Bogotá Jorge Tadeo Lozano, Departamento de Ingeniería Química. Carretera 4, núm. 22-61, Bogotá, C. P. 110311, COLOMBIA.
3Instituto Politécnico Nacional, Centro de Desarrollo de Productos Bióticos. Carretera Yautepec-Jojutla km 6.5, Calle Ceprobi, núm. 8, Col. San Isidro, Yautepec, Morelos, C. P. 62570, MÉXICO.
Objetivo:
Obtener un modelo basado en la ecuación de estado clásica de Peng-Robinson (EEC- PR) para evaluar las expresiones termodinámicas iniciales (propiedades de primera y segunda derivadas) en biodiésel.
Metodología:
Se presentó una dependencia de temperatura modificada para la transformación del volumen de la ecuación cúbica de estado de Peng-Robinson, esto con el fin de predecir las propiedades termofísicas del biodiesel. El combustible estudiado está compuesto por cinco ésteres metílicos de ácidos grasos (palmitato, estereato, oleato, linoleato y linolenato de metilo), que son los constituyentes primarios del biodiesel.
Resultados:
Los resultados mostraron que el enfoque presentado en este trabajo puede mejorar la predicción de las propiedades de segundo orden (el módulo de compresibilidad isentrópica, las capacidades caloríficas y la velocidad del sonido) si se mantiene la precisión de las propiedades primarias (presión de vapor y densidad del líquido).
Limitaciones del estudio:
El biodiesel es altamente corrosivo, por lo que se emplea en mezclas con otros carburantes como las gasolinas; sin embargo, el modelo sólo es aplicable en las propiedades de biodiesel y no en mezclas.
Originalidad:
Se utilizan dos conceptos en la ecuación de Peng-Robinson: la función α(T) y la transformación del volumen. El segundo concepto se implementó porque las propiedades termodinámicas de segundo orden necesitan densidades y derivadas precisas respecto del volumen total. Adicionalmente, la función α(T) se seleccionó a través de una búsqueda sistemática entre una amplia gama de correlaciones reportadas.
Conclusiones:
El modelo termodinámico propuesto puede predecir, con sólo pocos datos experimentales, propiedades que tienen impacto en la representación de eventos de aspersión, atomización y combustión en motores diésel.
Palabras clave biocombustible; Ecuación de Peng-Robinson; simulación; propiedades de segundo orden
Objective:
To obtain a model based on the classical Peng-Robinson equation of state (PR-EOS) to evaluate the initial thermodynamic expressions (first- and second-derivative properties) in biodiesel.
Methodology:
A modified temperature dependence was used to transform the volume of the Peng-Robinson cubic equation of state to predict the thermophysical properties of biodiesel. The fuel studied is composed of five fatty acid methyl esters (methyl palmitate, stearate, oleate, linoleate and linolenate), which are the primary constituents of biodiesel.
Results:
The results showed that the approach presented in this work can improve the prediction of second-order properties (isentropic bulk modulus, heat capacities and speed of sound) if the accuracy of the primary properties is maintained (vapor pressure and liquid density).
Study limitations:
Biodiesel is highly corrosive and is used in mixtures with other fuels such as gasoline; however, the model is only applicable to the properties of biodiesel and not mixtures.
Originality:
Two concepts in the Peng-Robinson equation are used: the α(T) function and volume transformation. The second concept was implemented because second-order thermodynamic properties need accurate densities and derivatives with respect to the total volume. Additionally, the α(T) function was selected through a systematic search among a wide range of reported correlations.
Conclusions:
The proposed thermodynamic model can predict, with only a few experimental data, properties that have an impact on the representation of spray, atomization and combustion events in diesel engines.
Keywords biofuel; Peng-Robinson equation; simulation; second-order properties
Introducción
Actualmente, la biomasa y los biocombustibles se consideran combustibles alternativos prometedores y sostenibles debido a su renovabilidad, reducción de emisión de gases tóxicos y biodegradabilidad. El uso directo de aceites vegetales en motores diésel ha sido poco exitoso debido a sus propiedades: baja volatilidad, reactividad de las moléculas insaturadas y alta viscosidad, que pueden provocar coquización en los inyectores del motor, depósitos de carbón y orificios taponados durante el funcionamiento prolongado del motor. La reacción de transesterificación es el método más utilizado para mejorar dichas propiedades.
Cualquier materia prima de triglicéridos presentes en los aceites vegetales y las grasas animales (incluidos los lípidos de algas) se puede transesterificar para producir biodiésel; el cual se define como un combustible oxigenado compuesto de mono-alquil ésteres de ácidos grasos de cadena larga, y está designado por la American Society of Testing Materials (ASTM, 2005) como B100.
El alcohol más usado en la producción de biodiésel es el metanol, por lo que se dice que está compuesto por una mezcla de ésteres metílicos de ácidos grasos (FAMEs, por sus siglas en inglés). Además, la distribución de los FAMEs en dicho combustible depende directamente de los ácidos grasos que están presentes en el material empleado en su síntesis. Los ésteres grasos más comunes en el biodiésel (Figura 1) son los que se obtienen del ácido palmítico, esteárico, oleico, linoleico y linolénico. Esto es válido para la mayoría de las materias primas del biodiésel, como los aceites de soya, girasol, canola, palma y cacahuate (Knothe, 2010).

Figura 1 Compuestos de ésteres metálicos de ácidos grasos (FAMEs) predominantes en las materias primas más comunes de biodiésel.
Varios estudios se han orientado a establecer una relación heurística entre las propiedades del combustible, y la composición y estructura molecular de los ácidos grasos (Schönborn, Landommatos, Williams, Allan, & Rogerson, 2009). En este sentido, se ha observado que la variabilidad de la materia prima del biodiésel (presencia o ausencia de cualquier FAME, así como la cantidad) generará diferencias en la estructura molecular de este combustible. Estas diferencias conducen a patrones distintivos en las tasas de liberación de energía del combustible y la formación de contaminantes. La medición experimental de tales propiedades, para todos los tipos y mezclas de biodiésel, es impráctica y costosa. Por otra parte, los datos experimentales necesarios para desarrollar modelos termodinámicos son escasos para grandes moléculas complejas; no obstante, dichos modelos ofrecen una manera simple e inmediata de predecir las propiedades físicas del biodiésel (Csernica & Hsu, 2011; Huber, Lemmon, Kazakov, Ott, & Bruno, 2009; Olivera, Ribeiro, Queimada, & Couthinho, 2011; Olivera, Teles, Queimada, & Coutinho, 2009). Sin embargo, se considera que una ecuación cúbica de estado (ECE), de base molecular, es necesaria para lograr una aproximación superior de las propiedades termodinámicas.
El enfoque de la Teoría Estadística de Fluidos Asociativos (SAFT, por sus siglas en inglés) (Chapman, Gubbins, Jackson, & Radosz, 1990; Perdomo, Perdomo, Millán, & Aragón, 2014) proporciona una ECE que toma en cuenta las anisotropías del fluido, debidas tanto a la forma molecular como a fuerzas direccionales. El enfoque SAFT-VR (Gil-Villegas, Galindo, Whitehead, Jackson, & Burgess, 1997), mediante el cual los fluidos son modelados como cadenas de esferas duras unidas tangencialmente que interactúan con potenciales de rango variable, se ha utilizado para modelar el equilibrio líquido-vapor de tres compuestos de FAMEs del biodiésel (Perdomo & Gil-Villegas, 2010); los cuales pueden asociarse debido a la presencia de sitios de atracción de corto alcance. Dichos sitios, así como la interacción intermolecular entre segmentos de tres monómeros, se modelaron por potenciales de pozo cuadrado de rango variable.
El enfoque anterior también se implementó en el modelado de mezclas de biodiésel, utilizando la regla de mezclado correspondiente y un parámetro de interacción binaria entre especies para la energía diferencial. Con lo anterior, es posible determinar las capacidades térmicas isocóricas, la velocidad del sonido y el diagrama de fases de mezclas de FAMEs binarias y ternarias (Perdomo & Gil-Villegas, 2011). A pesar de lo riguroso del enfoque, las ECE clásicas han sido aplicadas con éxito en la industria química para describir las propiedades termodinámicas de una amplia gama de fluidos puros y mezclas. Las ECE se emplean sólo para estimaciones del equilibrio de fase, ya que se sabe que éstas fallan en la descripción de las propiedades termodinámicas de la segunda derivada; sin embargo, su simplicidad y amplia aplicabilidad han justificado los esfuerzos continuos para su mejoramiento.
Por lo anterior, el objetivo del presente trabajo fue obtener un modelo basado en la ecuación clásica de estado de Peng-Robinson (PR-ECE) (Peng & Robinson, 1976) para evaluar las expresiones termodinámicas iniciales (propiedades de primera y segunda derivadas) en biodiésel. Para ello, se emplearon dos conceptos que se han aplicado comúnmente a la PR-ECE: la función α(T) dependiente de la temperatura y la transformación del volumen. En el primer caso, se implementó la función α(T) propuesta por Gasem, Gao, Pan, y Robinson (2001), para mejorar la predicción de la presión de vapor en FAMEs puros. Es importante resaltar que la selección de la función α(T) fue el resultado de una búsqueda sistemática de correlaciones reportadas en la literatura. Por su parte, el concepto de transformación del volumen se usó debido a que las propiedades termodinámicas de segundo orden necesitan densidades y derivadas precisas respecto del volumen total, y la función α(T) original no tiene influencia significativa en la descripción de las propiedades volumétricas.
Materiales y métodos
Desarrollo del modelo
La metodología empleada para modelar los sistemas de biodiésel se basó en la PR-ECE de volumen trasladado (VTPR-ECE) clásica (Ecuación 1) (Ahlers & Gmejling, 2001; González-Pérez, Coquelet, Paricard, & Chapoy, 2017; Peng & Robinson, 1976).
Donde
y
T c , P c , R, y v son la temperatura crítica, la presión crítica, la constante universal de los gases y el volumen molar, respectivamente. El parámetro de transformación c se define como la diferencia entre el volumen calculado y el experimental, ambos a la temperatura reducida (T r ) considerada, y se obtiene mediante la ecuación de Rackett (1970):
donde Z c = P c / Rρ c T c es un factor de compresibilidad crítico. Las constantes c 1 , c 2 y c 3 deben optimizarse para cada mezcla particular de biocombustible. Por su parte, α es una función del modelo, dependiente de la temperatura, que ha sido objeto de varios estudios para mejorar la precisión de las ECE. Muchas α propuestas utilizan un polinomio de orden alto en el factor acéntrico o la temperatura, para correlacionar las presiones de vapor de manera más precisa. Para este estudio, se seleccionó la α propuesta por Gasem et al. (2001):
donde ω es el factor acéntrico que caracteriza la no esfericidad de las interacciones moleculares. Las constantes A, B, C, D y E también se deben optimizar para los compuestos de biodiésel considerados.
Para estimar el ω se implementó el método de contribución de grupo propuesto por Constantinou, Gani, y O'Connell (1995), el cual no requiere de otras propiedades primarias. El Cuadro 1 muestra los grupos primario y secundario necesarios para representar los FAMEs del biodiésel. Una vez que se establece el marco (grupos y ocurrencias), el ω se calcula de la siguiente manera (Constantinou et al., 1995):
Cuadro 1 Información de contribución del grupo para la estimación del factor acéntrico de los cinco compuestos de biodiésel considerados en este trabajo.
| Grupo | ω 1i,2j | MEC 16:0 | MEC 18:0 | MEC 18:1 | MEC 18:2 | MEC 18:3 | |||||
|---|---|---|---|---|---|---|---|---|---|---|---|
| Ni | Mj | Ni | Mj | Ni | Mj | Ni | Mj | Ni | Mj | ||
| Primer orden | |||||||||||
| CH3 | 0.29602 | 2 | 2 | 2 | 2 | 2 | |||||
| CH2 | 0.14691 | 13 | 15 | 13 | 11 | 9 | |||||
| CH=CH | 0.25224 | 0 | 0 | 2 | 4 | 6 | |||||
| CH2COO | 0.75574 | 1 | 1 | 1 | 1 | 1 | |||||
| Segundo orden | |||||||||||
| CH2-CHm=CHn | -0.0115 | 0 | 0 | 1 | 2 | 0 | |||||
Fuente: Constantinou et al. (1995).
donde a ω = 0.4085, b ω = 0.5050 y c ω = 1.1507 son constantes universales, ω 1i es la contribución del grupo de primer orden de tipo i que ocurre N i veces y ω 2j es la contribución del grupo de segundo orden de tipo j que ocurre M j veces. Ambas contribuciones están involucradas, Aω = 1 (Constantinou et al., 1995).
Ajuste de los datos
El conjunto completo de parámetros θ ≡ (A, B, C, D, E, c 1 , c 2 , c 3 ) se determinó para cada uno de los FAMEs más empleados comercialmente (Cuadro 2) (Hoekman, Broch, Robbins, Ceniceros, & Natarajan, 2012); de los cuales el metil palmitato (MEC 16:0) y el estearato de metilo (MEC 18:0) son saturados, y el oleato de metilo (MEC 18:1), el linoleato de metilo (MEC 18:2) y el linolenato de metilo (MEC 18:3) son insaturados. Para ello, se ajustó la función α(T) propuesta a los valores teóricos de presión de vapor de los datos experimentales del equilibrio líquido-vapor correspondientes a los FAMEs estudiamos por Rose y Supina (1961). La región crítica se excluyó de la regresión de los parámetros.
Cuadro 2 Grupo de parámetros θ para los cinco ésteres metílicos de ácidos grasos considerados.
| MEC 16:0 | MEC 18:0 | MEC 18:1 | MEC 18:2 | MEC 18:3 | |
|---|---|---|---|---|---|
| A | 1.9904 | 2.6131 | 2.3646 | 4.4464 | 1.9303 |
| B | 0.9278 | 0.9356 | 0.0043 | 0.5957 | 0.0014 |
| C | 0.0906 | 0.6382 | 0.2285 | 0.6195 | 0.0017 |
| E | 0.4376 | 0.2930 | 0.3522 | 0.9063 | 0.7524 |
| D | 0.0778 | -0.5060 | -0.0027 | -1.1680 | -0.0383 |
| c1 | -0.3921 | -0.2942 | -0.4221 | -0.2302 | -0.2881 |
| c2 | 1.6488 | 1.7821 | 1.3134 | 1.9822 | 1.7439 |
| c3 | 0.0981 | 0.0146 | 0.0154 | 0.0321 | 0.0048 |
En los procedimientos de optimización clásicos, los parámetros relevantes se optimizan ya sea para el equilibrio líquido-vapor o para las propiedades de segunda derivada, pero no ambos simultáneamente. Debido a la dificultad para calcular las propiedades de la segunda derivada mediante la ECE clásica, por su dependencia directa con la estructura molecular del fluido, se empleó la siguiente función objetivo relativa de mínimos cuadrados (Liang, Maribo-Mogensen, Thmosen, Yan, & Kontogeorgis, 2012):
donde N
e
son el número de datos experimentales para las presiones de vapor
Para determinar un conjunto multiparámetro óptimo, se implementó un método de minimización híbrido, combinando algoritmos de búsqueda global y búsqueda local. Además, se empleó un procedimiento iterativo para obtener los valores más adecuados: 1) se estimaron los valores de los parámetros del componente puro con los valores originales (c 1 , c 2 , c 3) propuestos por Dietrichs, Rarey, y Mehling (2006), 2) se realizó una regresión con los coeficientes A a E en la función α(T) modificada, 3) se estimaron los parámetros del componente puro con nuevos valores (c 1 , c 2, c3) y 4) se repitieron los pasos 1 a 3 hasta que se obtuvo la convergencia deseada.
Para reducir el dominio de la convergencia se utilizó el método simplex, posteriormente se aplicó el método de pseudo-segundo orden de Levenberg-Marquardt (Nocedal & Wright, 2000), hasta que el gradiente de la función alcanzó su valor mínimo, es decir:
Para verificar el parámetro de ajuste óptimo, se construyeron curvas de presión de vapor saturado, representando P vs T y el modelo de Clausius-Clapeyron, para cada FAME.
Modelado de las propiedades termofísicas en sistemas de biodiésel
Esta sección presenta las expresiones y los procedimientos numéricos para calcular las propiedades clave requeridas en el estudio de la calidad del biodiésel, su combustión y el diseño del sistema de inyección en motores.
Punto de ebullición: a presión atmosférica y llamado punto de ebullición normal, es la base para predecir las propiedades críticas y aquellas dependientes de la temperatura, tales como presión de vapor, densidad, calor latente de vaporización, viscosidad y tensión superficial; las cuales son necesarias para modelar la combustión del biodiésel (Yuan, Hansen, & Zhang, 2003). No obstante, los rangos amplios de temperatura requeridos para estas propiedades hacen que sea difícil medirlas experimentalmente. Por lo que, los puntos de ebullición exactos de los ésteres de ácidos grasos puros y sus mezclas en biodiésel son útiles para predecir las propiedades del combustible y, consecuentemente, son importantes para modelar la combustión.
Presión de vapor en compuestos puros de biodiésel: se puede estimar a temperatura constante si se implementa un procedimiento sencillo para satisfacer los criterios de equilibrio líquido-vapor. Para ello, es necesario obtener una aproximación inicial del valor de presión P k menor que la presión crítica, y luego recalcularlo con la relación de recurrencia:
donde ϕ es el coeficiente de fugacidad (más detalles se brindan en el Apéndice 1).
La presión de vapor en las mezclas de combustible también es útil para evaluar el nivel de riesgo en las diferentes etapas de producción de biodiésel, así como en su almacenamiento y transporte.
Capacidad calorífica del líquido: es una medida de la cantidad de energía requerida por un mol (o unidad de masa) de una sustancia para elevar su temperatura una unidad. Esta medida es de gran importancia en el diseño de procesos industriales y cálculos de ingeniería (como destilación, diseños de intercambio de calor, estimación de entalpías de reacción en función de la temperatura, análisis termodinámico de combustión, etc.). La ignición y la combustión en los motores diésel están fuertemente influenciadas por el combustible atomizado, y éste a su vez se ve afectado por las capacidades caloríficas y el calor de vaporización.
Las capacidades caloríficas (Ecuación 10) de los sistemas de biodiésel pueden calcularse mediante dos metodologías (Diedrichs, Rarey, & Mehling, 2006). La primera parte de las expresiones termodinámicas que dan una relación entre las cantidades medibles y la entropía después de aplicar las relaciones apropiadas:
donde
Velocidad del sonido y módulo de compresibilidad isentrópica. Las diferencias en las propiedades físicas, entre el biodiésel y el diésel a base de petróleo, pueden cambiar el tiempo de inyección de combustible en el motor y las características de combustión (Schönborn et al., 2009; Tat & Van Gerpen, 2003). Las propiedades que tienen mayor efecto en el tiempo de inyección son la velocidad del sonido (v s ; Liang et al., 2012) y el módulo de compresibilidad isentrópica. En este trabajo se predijeron los valores de dichas propiedades de los componentes y las mezclas de biodiésel, a los rangos de temperatura y presión más comunes en los sistemas de inyección.
Una vez obtenida la v s , el módulo de compresibilidad isentrópica (β) se determinó mediante la siguiente expresión (Tat & Van Gerpen, 2003):
Sistema multicomponente de biodiésel
Con el fin de predecir las propiedades físico-químicas de las mezclas de FAMEs, se implementaron las reglas de mezclado de la teoría clásica de un fluido, las cuales están definidas por el siguiente conjunto de ecuaciones (Diedrichs et al., 2006; Peng & Robinson, 1976):
donde
Los coeficientes a i , b i y c i se calcularon a partir de las Ecuaciones 2, 3 y 4, y x i es la fracción molar de la fase líquida del componente i en la mezcla considerada. Para calcular los equilibrios vapor-líquido, específicamente la presión en el punto de burbuja (o de rocío, P*), el coeficiente de fugacidad del componente i en una mezcla de FAMEs se escribe como (Peng & Robinson, 1976):
Por su parte, la fracción molar en la fase vapor del componente i está expresada en términos de T, P* y x i como:
donde к i es el coeficiente de distribución denotado por:
La P* se obtuvo a través de un procedimiento convencional de Rachford-Rice, sin ninguna suposición acerca de la idealidad en las mezclas de FAMEs, lo cual se ha hecho en varias investigaciones (Yuan, Hansen, & Zhang, 2005); para ello se resolvió la siguiente ecuación:
donde ψ representa la fracción vaporizada en el sistema, que puede tomar cualquier valor entre 0 y 1. El procedimiento de iteración comenzó estimando el punto de burbuja como:
donde P i sat se calculó mediante el procedimiento explicado en el Apéndice 1.
Todos los cálculos se realizaron en el lenguaje MatLab Ver. 8.5 (Mathworks Inc. Natick, Massachusetts, EUA).
Resultados y discusión
El Cuadro 3 muestra los parámetros de la
relación de Clausius-Clapeyron (
Cuadro 3 Parámetros de la relación de Clausius-Clapeyron de los ésteres metílicos de ácidos grasos (FAMEs) para los compuestos de biodiésel estudiados en este trabajo, comparados con los datos experimentales de Scott et al. (1952) y su porcentaje de desviación correspondiente
| FAME | α1 | γ | r2 | Datos experimentales | Datos calculados | Porcentaje de desviación |
|---|---|---|---|---|---|---|
| MEC 16:0 | 9.3431 | -4,199.03 | 0.999 | 80,219.1 | 73,562 | 1.1 |
| MEC 18:0 | 9.5402 | -4,496.95 | 0.999 | 85,703.8 | 74,673 | 5.7 |
| MEC 18:1 | 9.3945 | -4,395.05 | 0.997 | 84,446.8 | 76,077 | 7.4 |
| MEC 18:2 | 9.4120 | -4,397.86 | 0.999 | 83,610.4 | 77,697 | 7.7 |
| MEC 18:3 | 9.5566 | -4,472.14 | 0.999 | 84,573.4 | 73,800 | 7.2 |
1α y γ: constantes de Clausius-Clapeyron.
Cuadro 4 Valores de las constantes cp 0 a cp 7 para los ésteres metílicos de ácidos grasos.
| MEC 16:0 | MEC 18:0 | MEC 18:1 | MEC 18:2 | MEC 18:3 | |
|---|---|---|---|---|---|
| cp0 | 120.529 | 247.115 | 90.2385 | 190.986 | 79.5913 |
| cp1 | 0.0801627 | -0.0916606 | 0.14118 | 0.020213 | 0.214648 |
| cp2 | 345.62 | 276.94 | 234.797 | 437.371 | 290.379 |
| cp3 | 2952.37 | 556.17 | 613.529 | 3,052.11 | 1,213.24 |
| cp4 | 289.038 | 408.997 | 335.768 | 287.222 | 81.4323 |
| cp5 | 734.653 | 1,311.85 | 1,405.31 | 746.631 | 578.752 |
| cp6 | 301.639 | 472.702 | 431.66 | 321.956 | 474.881 |
| cp7 | 1,593.55 | 2,825.71 | 2,867.76 | 1,624.33 | 2,799.79 |
Fuente: Huber et al. (2009).
Cuadro 5 . Entalpías estándar de fase gaseosa a 298.15 K para los compuestos de biodiésel estudiados en este trabajo.
| FAME | (hv (Kcal·mol-1) |
|---|---|
| MEC 16:0 | -167.8 |
| MEC 18:0 | -177.3 |
| MEC 18:1 | -147.2 |
| MEC 18:2 | -116.1 |
| MEC 18:3 | - 85.6 |
FAME: éster metílico de ácido graso. Fuente: Osmond et al. (2007).
Adicionalmente, es necesaria una predicción buena de la presión de vapor y, por consiguiente, del calor de vaporización para tener una precisión razonable en las propiedades de segunda derivada, ya que están directamente relacionada con el cambio en la capacidad calorífica en la región de vaporización (Ecuación 20).
Es importante mencionar que el modelo propuesto en este documento es el resultado de una prueba sistemática de varias funciones α(T) reportadas en la literatura y revisadas por Gasem et al. (2001). Ellos encontraron buenas aproximaciones para los datos de presión de vapor obtenidos. Sin embargo, no obtuvieron una coincidencia similar para las propiedades de segunda derivada, donde fueron notorias las altas desviaciones en la velocidad del sonido.
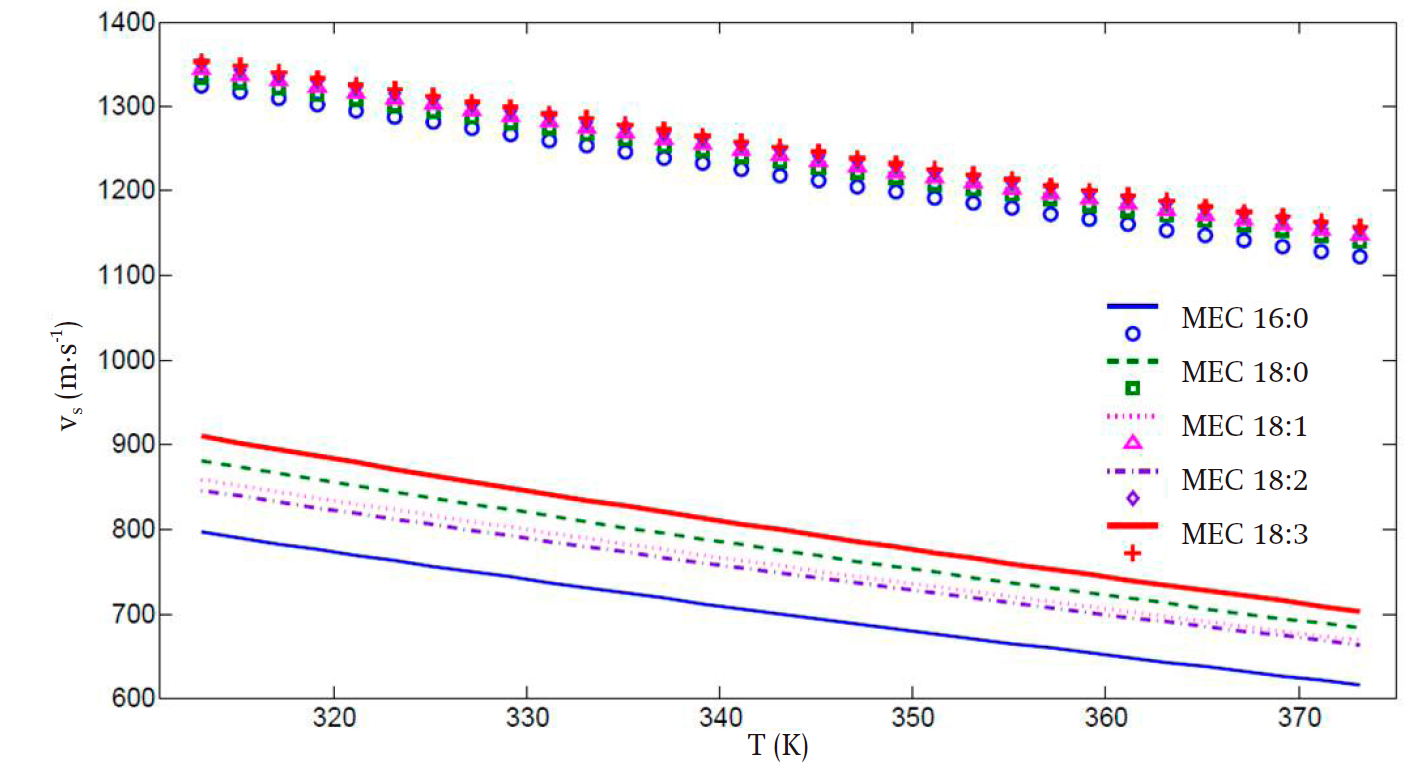
La Figura 2 presenta la predicción de la velocidad del sonido para los cinco FAMEs cuando sólo se implementa la α(T) propuesta por Soave sin ninguna corrección de volumen. Como se puede observar, los valores predichos están en desacuerdo con los experimentales, a pesar de la buena predicción de la presión de vapor. Además, para los FAMEs saturados, la presencia de dobles enlaces en su estructura molecular hace que la predicción sea muy difícil, especialmente a bajas temperaturas.

Figura 2 Velocidad del sonido (vs) predicha (líneas) para los ésteres metílicos de ácidos grasos utilizando la función α(T) de Soave.
Para abordar los problemas antes mencionados, se modificó la transformación del volumen traducido para generar dependencia en la curva de la presión de vapor con respecto al volumen ((P/(ρ), obteniendo así congruencia en ambos conjuntos de variables (derivadas simples y dobles), sin perder capacidad predictiva en los valores de presión de vapor.
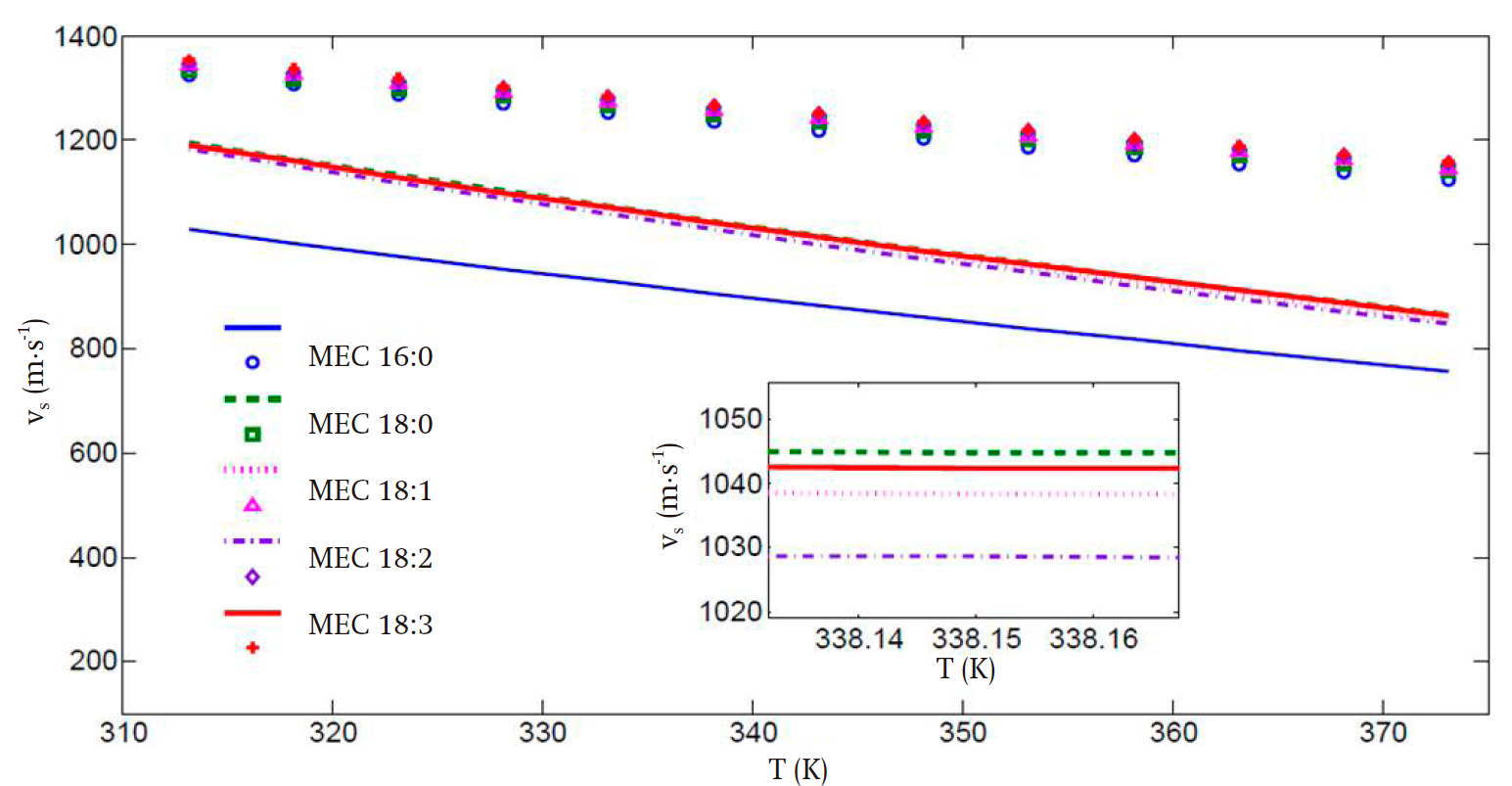
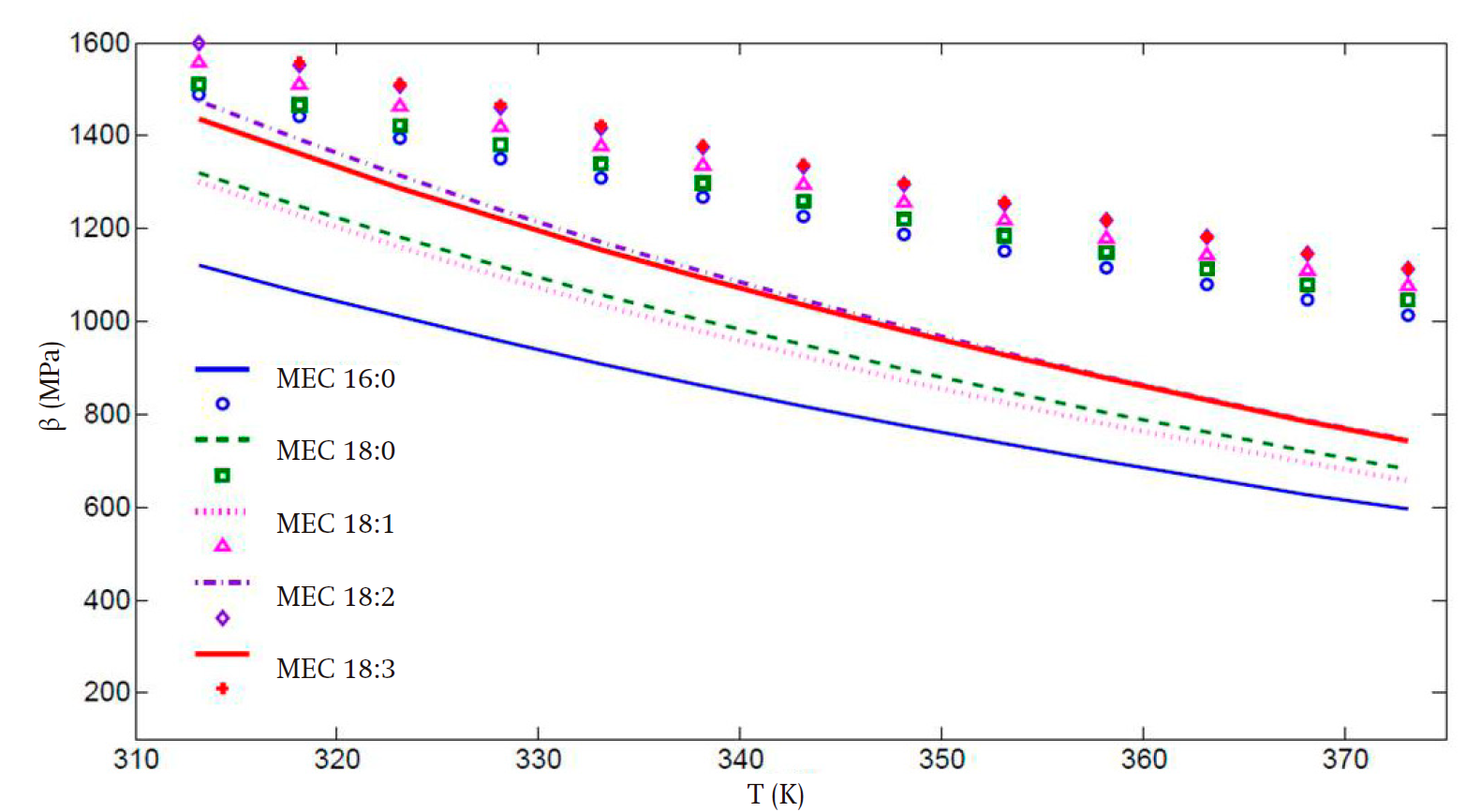
Las Figuras 3 y 4 presentan los valores predichos de la velocidad del sonido y el módulo de compresibilidad, respectivamente. A pesar de las desviaciones, especialmente en el régimen de temperatura alta, la mejora es notable cuando se incorpora la transformación del volumen, en comparación con los valores presentados en la Figura 2. Lo anterior con la ventaja de que el conjunto de parámetros obtenido compensa las predicciones del equilibrio líquido-vapor y las propiedades de segunda derivada. De esta forma, las propiedades clave de los componentes del biodiésel se pueden predecir con el mismo conjunto de valores para todos los regímenes de temperatura y presión considerados. Esta es una ventaja práctica de lo reportado en este trabajo que vale la pena destacar.

Figura 3 Velocidad del sonido (v) vs temperatura (T) calculada para todos los ésteres metílicos de ácidos grasos, usando los parámetros de la transformación del volumen. El recuadro interior presenta los mismos datos, pero en una escala más fina en la región de temperatura alta.

Figura 4 Módulo de compresibilidad isentrópica (β) vs temperatura (T) calculada para todos los ésteres metílicos de ácidos grasos, usando el parámetro de transformación del volumen.
Se puede observar que, para la velocidad del sonido, las desviaciones promedio de los valores teóricos contra los experimentales, para los FAMEs con alto número de carbono, son de 14 y 21 % en el régimen de temperatura baja y alta, respectivamente. Estos resultados son claramente superiores en comparación con los de la Figura 2, en donde las desviaciones correspondientes en los regímenes de temperatura baja y alta son de 35 y 38 %, respectivamente. Además, en la Figura 3, se presenta un comportamiento más uniforme para todos los FAMEs con altos números de carbono.
En la compresibilidad isentrópica no se observa el mismo comportamiento mencionado arriba, ya que existe una desviación creciente de 17 a 29 % para todos los FAMEs, a medida que la temperatura aumenta.
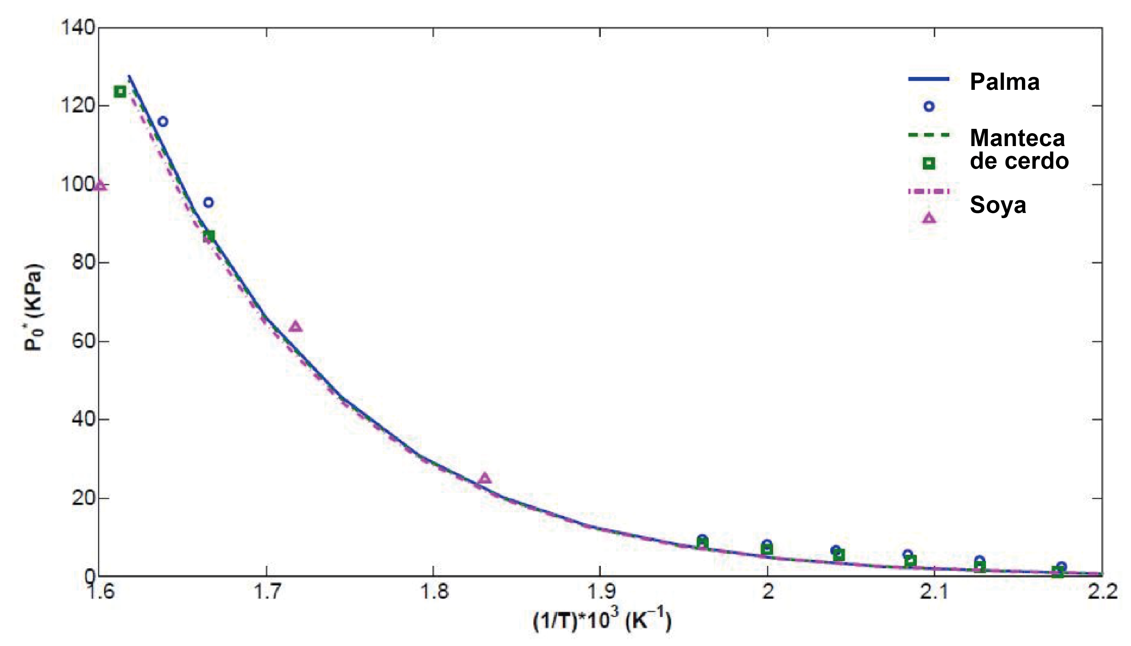
Una vez que se determinaron los valores óptimos del conjunto de parámetros, se realizaron las estimaciones de las propiedades de biodiésel. Para ello, se implementó una sola regla de mezclado de la teoría de un fluido Van der Waals (Ecuaciones 13 y 14) para tener en cuenta los efectos de cuando se trata de un sistema de FAMEs multicomponente. Se analizó el biodiésel proveniente de palma, soya y manteca de cerdo; su composición se tomó de Goodrum (2002), y los resultados del P* se reportan en la Figura 5. En dicha figura se puede apreciar el buen ajuste entre las predicciones obtenidas (una vez que se incorporan los criterios de Rachford-Rice, Ecuación 18) y los datos experimentales de Goodrum (2002). De acuerdo con estos resultados, se puede inferir que una regla de mezclado simple es suficiente para considerar los efectos de mezclado en los ésteres de metilo de cadena larga.

Figura 5 Valores predichos (líneas) del punto de burbuja vs el inverso de la temperatura (1/T), para los biodiésel comerciales obtenidos a partir de aceite de palma, manteca de cerdo y aceite de soya. Los círculos y cuadrados corresponden a los valores predichos de la ecuación de Antoine (Yuan et al., 2005), y los triángulos a los valores experimentales reportados por Goodrum (2002).
El modelo propuesto logra una mejora notoria en la predicción de las propiedades de la segunda derivada, como la capacidad calorífica (isocórica e isobárica), el módulo de compresibilidad y la velocidad del sonido. Es importante señalar que la precisión de la predicción de las propiedades del vapor líquido se mantiene con el mismo conjunto de parámetros ajustados. Además, el modelo depende de información experimental muy limitada (sólo propiedades críticas de FAMEs puros) y no necesita otras propiedades primarias para su determinación. Por lo anterior, puede convertirse en una herramienta valiosa tanto para el diseño de sistemas de inyección de biodiésel como para la interpretación del proceso de combustión.
Conclusiones
Los resultados revelan que la ECE clásica, con sólo una modificación en la función α(T), no puede describir con precisión las propiedades físico-químicas del biodiésel. Sin embargo, ajustar los parámetros de componentes puros puede mejorar significativamente las predicciones de velocidad del sonido y del módulo de compresibilidad, si se tienen en cuenta los datos experimentales en la función objetivo que se optimizará.
En el caso de las mezclas de FAMEs (sistemas reales de biodiésel), una sola regla de mezclado fue suficiente para obtener una similitud buena con los resultados experimentales reportados en la literatura. Así, en este trabajo se presenta un modelo de naturaleza predictiva, basado en principios físicos, que permite obtener, con el mismo conjunto de parámetros, las propiedades físico-químicas necesarias para evaluar el desempeño y la calidad de los biocombustibles en procesos como la atomización y combustión en motores diésel. En general, el método propuesto resulta ser bueno para las propiedades estáticas, pero no es tan fácil de aplicar para las propiedades dinámicas. Sin embargo, se considera un buen enfoque, ya que ofrece una manera de obtener un ajuste cualitativo de la velocidad del sonido con los datos experimentales disponibles.
Agradecimientos
El primer autor agradece al “Programa Institucional de Formación de Investigadores" del Instituto Politécnico Nacional, México, el segundo autor al Consejo Nacional de Ciencia y Tecnología, México, por el apoyo otorgado y el tercer autor al Departamento de Investigación de la Fundación Universitaria “Los Libertadores”, Colombia, por su apoyo parcial en esta investigación.
REFERENCIAS
Ahlers, J., & Gmehling, J. (2001). Development of an universal group contribution equation of state: I. prediction of liquid densities for pure compounds with a volume translated Peng-Robinson equation of state. Fluid Phase Equilibria, 191(1-2), 177-188. doi: 10.1016/S0378-3812(01)00626-4 [ Links ]
American Society of Testing Materials (ASTM). (2005). Standard specification for diesel fuel blend stock (B100) for middle distillate fuels, Designation: D 6751-03a. Philadelphia: Author. [ Links ]
Chapman, W. G., Gubbins, K. E., Jackson, G., & Radosz, M. (1990). New reference equation of state for associating fluids. Industrial & Engineering Chemistry Research, 29(8), 1709-1721. doi: 10.1021/ie00104a021 [ Links ]
Constantinou, L., Gani, R., & O’Connell, J. P. (1995). Estimation of the acentric factor and the liquid molar volume at 298 K using a new group contribution method. Fluid Phase Equilibria , 103(1), 11-22. doi: 10.1016/0378-3812(94)02593-P [ Links ]
Csernica, S. N., & Hsu, J. T. (2011). Reverse-phase ternary phase diagram, tie lines, and plait point for commercial biodiesel-glycerol-methanol. Industrial Engineering Chemistry Research, 50(2), 1012-1016. doi: 10.1021/ie101262u [ Links ]
Diedrichs, A., Rarey, J., & Mehling, J. G. (2006). Prediction of liquid heat capacities by the group contribution equation of state vtpr. Fluid Phase Equilibria , 248(1), 56-69. doi: 10.1016/j.fluid.2006.07.009 [ Links ]
Gasem, K. A. M., Gao, W., Pan, Z., & Robinson, R. L. (2001). A modified temperature dependence for the Peng-Robinson equation of state. Fluid Phase Equilibria , 181(1-2), 113-1245. doi: 10.1016/S0378-3812(01)00488-5 [ Links ]
Gil-Villegas, A., Galindo, A., Whitehead, P. J., Jackson, G., & Burgess, A. N. (1997). Statistical associating fluid theory for chain molecules with attractive potentials of variable range. The Journal of Chemical Physics, 106(10), 4168-4186. doi: 10.1063/1.473101 [ Links ]
González-Pérez, A., Coquelet, C., Paricaud, P., & Chapoy, A. (2017). Comparative study of vapour-liquid equilibrium and density modelling of mixtures related to carbon capture and storage with the SRK, PR, PC-SAFT and SAFT-VR Mie equations of state for industrial uses. Fluid Phase Equilibria , 440, 19-35. doi: 10.1016/j.fluid.2017.02.018 [ Links ]
Goodrum, J. W. (2002). Biomass & Bioenergy. Industrial Engineering Chemistry Research , 22(3), 205-211. [ Links ]
Hoekman, S. K., Broch, A., Robbins, C., Ceniceros, E., & Natarajan, M. (2012). Review of biodiesel composition, properties, and specifications. Research and Science Energy Reviews, 16(1), 143-169. doi: 10.1016/j.rser.2011.07.143 [ Links ]
Huber, M. L., Lemmon, E. W., Kazakov, A., Ott, L. S., & Bruno, T. J. (2009). Model for the thermodynamic properties of a biodiesel fuel. Energy & Fuels, 23(7), 3790-3797. doi: 10.1021/ef900159g [ Links ]
Knothe, G. (2010). Biodiesel and renewable diesel: A comparison. Progress in Energy and Combustion, 36(3), 364-373. doi: 10.1016/j.pecs.2009.11.004 [ Links ]
Liang, X., Maribo-Mogensen, B., Thmosen, K., Yan, W., & Kontogeorgis, G. M. (2012). Approach to improve speed of sound calculation within pc-saft framework. Industrial Engineering Chemical Research, 51(45), 14903-14914. doi: 10.1021/ie3018127 [ Links ]
Nocedal, J., & Wright, S. J. (2000). Numerical optimization. New York: Springer Series. [ Links ]
Olivera, M. B., Ribeiro, V., Queimada, A. J., & Coutinho, J. A. P. (2011). Modeling phase equilibria relevant to biodiesel production: A comparison of gE models, cubic EoS, EoS-gE and association EoS. Industrial & Engineering Chemical Research, 50(4), 2348-2358. doi: 10.1021/ie1013585 [ Links ]
Olivera, M. B., Teles, A. R. R., Queimada, A. J., & Coutinho, J. A. P. (2009). Phase equilibria of glycerol containing systems and their description with the cubic-plus-association (CPA) equation of state. Fluid Phase Equilibria , 280(1-2), 22-29. doi: 10.1016/j.fluid.2009.03.011 [ Links ]
Osmont, A., Catoire, L., & Gkalp, I. (2007). Thermochemistry of methyl and ethyl esters from vegetable oils. International Journal of Chemical Kinetics, 39(9), 481-491. doi: 10.1002/kin.20264 [ Links ]
Peng, D. Y., & Robinson, D. B. (1976). A new two-constant equation of state. Industrial & Engineering Chemical Fundamentals, 15(1), 59-64. doi: 10.1021/i160057a011 [ Links ]
Perdomo, F. A., & Gil-Villegas, A. (2011). Predicting thermophysical properties of biodiesel fuel blends using the saft-vr approach. Fluid Phase Equilibria , 306(1), 124-128. doi: 10.1016/j.fluid.2011.02.021 [ Links ]
Perdomo, F. A., & Gil-Villegas, A. (2010). Molecular thermodynamic of biodiesel fuel compounds. Fluid Phase Equilibria , 293(2), 182-189. doi: 10.1016/j.fluid.2010.03.011 [ Links ]
Perdomo, F. A., Perdomo, L., Millán, B., & Aragón, J. L. (2014). Design of improvement of biodiesel fuel blends by optimization of their molecular structures and compositions. Chemical Engineering Research and Design, 92(8), 1482-1494. doi: 10.1016/j.cherd.2014.02.011 [ Links ]
Rackett, H. G. (1970). Equation of state for satured liquids. Journal of Chemistry Engineering Data, 15(4), 514-517. doi: 10.1021/je60047a012 [ Links ]
Rose, A., & Supina, W. R. (1961). Vapor pressure and vapor-liquid equilibrium data for methyl esters of the common saturated normal fatty acids. Journal of Chemical & Engineering Data, 6(2), 173-179. doi: 10.1021/je60010a003 [ Links ]
Schönborn, A., Ladommatos, N., Williams, J., Allan, R., & Rogerson, J. (2009). The influence of molecular structure of fatty acid monoalkyl esters on diesel combustion. Combustion and Flame, 156(7), 1396-1412. doi: 10.1016/j.combustflame.2009.03.011 [ Links ]
Scott, T. A., MacMillan, D., & Melvin, E. H. (1952). Vapor pressures and distillation of methyl esters of some fatty acids. Industrial and Engineering Chemistry, 44(1), 172-175. doi: 10.1021/ie50505a049 [ Links ]
Tat, M. E., & Van Gerpen, J. H. (2003). Speed of sound and isentropic bulk modulus of alkyl monoesters at elevated temperatures and pressures. Journal of the American Oil Cchemists’ Society, 80(12), 1249-1256. doi: 10.1007/s11746-003-0850-6 [ Links ]
Yuan, W., & Hansen, A. C. (2009). Computational investigation of the effect of biodiesel fuel properties on diesel engine NOx emissions. International Journal of Agricultural & Biological Engineering, 2(2), 41. doi: 10.3965/j.issn.1934-6344.2009.02.041-048 [ Links ]
Yuan, W., Hansen, A. C., & Zhang, Q. (2005). Vapor pressure and normal boiling point predictions for pure methyl esters and biodiesel fuels. Fuel, 84(7-8), 943-950. doi: 10.1016/j.fuel.2005.01.007 [ Links ]
Yuan, W., Hansen, A. C., & Zhang, Q. (2003). Predicting the physical properties of biodiesel for combustion modeling. Transactions of the American Society of Agricultural Engineering, 46(6), 1486-1493. Retrieved from https://elibrary.asabe.org/azdez.asp?AID=15631&T=2 [ Links ]
Apéndice. Detalle de las estimaciones
A.1 Presión de vapor en compuestos puros de biodiésel
En una sustancia pura, la presión de vapor está dada por la solución de los criterios de equilibrio líquido-vapor, que están determinados por las siguientes condiciones:
donde ( representa el coeficiente de fugacidad, y para la VTPR-ECE está dado por (Peng & Robinson, 1976):
donde
Las expresiones anteriores se emplean en la relación de recurrencia (Ecuación 9) en el apartado “Modelado de las propiedades termofísicas en sistemas de biodiésel”.
A.2 Capacidades caloríficas del líquido
Las estimaciones de este parámetro comienzan a partir de las siguientes relaciones:
donde
Para estimar la capacidad de calor de un gas ideal en compuestos de biodiésel, se implementó la expresión "Planck-Einstein", ajustada para varios FAMEs y dada por Huber et al. (2009):
en donde la T está en unidades de K y la
Las predicciones de la capacidad calorífica para la función α seleccionada se realizaron a partir la manipulación de la Ecuación 25, quedando en el texto principal como la Ecuación 10. Para evaluar explícitamente las derivadas requeridas en la Ecuación 24, se empleó la relación:
La segunda forma de calcular las capacidades caloríficas proviene de su definición termodinámica; es decir, del cambio de entalpía con la temperatura (Diedrichs et al., 2006):
con
donde h D es la entalpía de referencia, dada por la diferencia entre su valor para una sustancia dada medida en una configuración experimental y su valor calculado para un gas ideal h id, ambos a una T y P específicas (Diedrichs et al., 2006):
La entalpía de un gas ideal está en función de la temperatura y se calcula como:
Para estimar (arbitrariamente) la h id (T 0 ), de los FAMEs estudiados, se empleó el calor de formación estándar de un gas ideal de Osmont, Catoire, y Gkalp (2007), el cual se determinó mediante cálculos de química cuántica.
A.3 Calor latente de vaporización
Para modelar de la combustión de biodiésel, un parámetro clave es el calor latente de vaporización (entalpía de vaporización, Δh v ); la cual ha sido estudiada para determinar su influencia en las emisiones de óxidos de nitrógeno (Yuan & Hansen, 2009). Además, la Δh v es un parámetro importante para estudiar el proceso de atomización de combustible en un motor diésel. A partir de la ecuación de Clausius-Clapeyron, se obtiene una conexión cuantitativa entre la pendiente de la curva de presión de vapor y la entalpía de vaporización:
El comportamiento PVT del vapor y el líquido se puede describir en términos del factor de compresibilidad como:
Si se combinan las Ecuaciones 33 y 34 se obtiene la siguiente relación, en términos de propiedades reducidas:
Las entalpías estándar de la fase gaseosa, obtenidas a la temperatura de referencia (298.15 K) para los cinco FAMEs, se presentan en el Cuadro 5.
Nomenclatura
a,b |
Constantes de Peng-Robinson |
c |
Parámetro de transformación de volumen |
Cp |
Capacidad calorífica a presión constante |
Cv |
Capacidad calorífica a volumen constante |
Mj |
Número de contribuciones del grupo de segundo orden |
Ne |
Número de puntos de datos experimentales para presión de vapor. |
Ni |
Número de contribuciones del grupo de primer orden |
P |
Presión |
Pi sat |
Presión de vapor en compuestos puros de biodiésel |
Pvap |
Presión de vaporización |
P0* |
Presión de vapor en el punto de burbuja |
R |
Constante universal de los gases |
T |
Temperatura |
Tc, Pc, Zc |
Condiciones al punto crítico |
Tr, Pr |
Temperatura y presión reducidas |
v |
Volumen molar |
xi |
Fracción molar del componente i en fase líquida |
yi |
Fracción molar del componente i en fase de vapor |
Z |
Factor de compresibilidad |
Letras griegas
α(T) |
Función del modelo dependiente de la temperatura |
α, γ |
Constantes de Clausius-Clapeyron |
β |
Módulo de compresibilidad isentrópica |
Δhv |
Entalpía de vaporización |
ΔHid |
Entalpía del gas ideal |
ϕ |
Coeficiente de fugacidad |
κi |
Coeficiente de distribución del componente i |
n s |
Velocidad del sonido |
ρ |
Densidad |
ω |
Factor acéntrico |
ω1i |
Contribución del grupo de tipo primer orden |
ω2j |
Contribución del grupo de tipo segundo orden |
ψ |
Fracción vaporizada del biodiésel |
Recibido: 23 de Octubre de 2017; Aprobado: 02 de Febrero de 2018










texto en 


