Servicios Personalizados
Revista
Articulo
Indicadores
-
Citado por SciELO -
Accesos
Links relacionados
-
Similares en
SciELO
Compartir
Revista Chapingo serie ciencias forestales y del ambiente
versión On-line ISSN 2007-4018versión impresa ISSN 2007-3828
Rev. Chapingo ser. cienc. for. ambient vol.21 no.2 Chapingo may./ago. 2015
https://doi.org/10.5154/r.rchscfa.2014.10.046
Characterization of diameter structures of natural forests of northwest of Durango, Mexico
Caracterización de las estructuras diamétricas de los bosques naturales del noroeste de Durango, México
Sacramento Corral-Rivas1; Juan G. Álvarez-González2; José J. Corral-Rivas3; Carlos A. López-Sánchez3*
1 Instituto Tecnológico de El Salto. Mesa del Tecnológico s/n. C. P. 34950. El Salto, Pueblo Nuevo, Durango. MÉXICO.
2 Departamento de Enxeñería Agroforestal, Universidad de Santiago de Compostela. Escuela Politécnica Superior - R/ Benigno Ledo, Campus universitario 27002. Lugo. ESPAÑA.
3 Instituto de Silvicultura e Industria de la Madera. Universidad Juárez del Estado de Durango. Boulevard del Guadiana 501, fracc. Ciudad Universitaria. C. P. 34120. Durango, MÉXICO. Correo-e: calopez@ujed.mx, Tel.: +52 618 8251886 (*Autor para correspondencia).
Received: October 14, 2014.
Accepted: June 29, 2015.
ABSTRACT
The diameter distribution of 44 permanent plots (conifers and broadleaf trees) was modeled using the three-parameter Weibull and Johnson's SB probability density functions (PDFs) in Santiago Papasquiaro, Durango. Four different methods of fitting parameters were used: maximum likelihood (ML), moments (MM), non-linear regression by ordinary least squares (ONLS) and percentiles (MP). The best method of fitting parameters for conifers and broadleaf trees was the method of moments. In modeling the Weibull PDFs, it was assumed that the location parameter (ε) corresponds to the minimum measurable diameter. The scale parameter (λ) was modeled using the method of prediction parameter (PPM) through a linear regression relating to the quadratic mean diameter and dominant height of the stand. Finally, the shape parameter (γ) was indirectly recovered by the method of moments through prediction of the average diameter of the stand. According to the Kolmogorov-Smirnov test (P= 0.05), 71 % of the plots for the group of conifers and 68 % of the plots for the group of broadleaf species come from a population that follows the fitting distribution function.
Keywords: Conifers, broadleaf trees, Weibull function, diameter distribution modeling.
RESUMEN
La distribución diamétrica de 44 parcelas permanentes (coníferas y latifoliadas) se modeló a través de las funciones de densidad de probabilidad (FDP) Weibull de tres parámetros y SB Johnson, en el municipio de Santiago Papasquiaro, Durango. Para ello, se emplearon cuatro métodos de ajuste de parámetros: máxima verosimilitud, momentos, regresión no lineal por mínimos cuadrados ordinarios y percentiles. El mejor método de ajuste para las especies de coníferas y latifoliadas fue el método de momentos. En el modelado de la FDP Weibull se asumió que el parámetro de localización (ε) corresponde al diámetro mínimo inventariable de la distribución. El parámetro de escala (λ) se modeló con el procedimiento de predicción de parámetros a través de un modelo de regresión lineal simple que relaciona γ con el diámetro cuadrático medio y la altura dominante del rodal. Finalmente, el parámetro de forma (γ) fue recuperado indirectamente por el método de momentos a través de la predicción del diámetro medio del rodal. De acuerdo con la prueba de Kolmogorov-Smirnov (P = 0.05), 71 % de las parcelas del grupo de especies de coníferas y 68 % de las parcelas del grupo de latifoliadas provienen de una población que sigue la función de distribución ajustada.
Palabras clave: Coníferas, latifoliadas, función Weibull, modelado diamétrico.
INTRODUCTION
Most forests in Durango share a mixture of Pinus and Quercus species, showing semiregular or irregular diameter distributions with trees of great variety of diameters and often with two or more layers. These forests are considered the first forest reserve in the country, covering 5.4 million hectares and bringing about a quarter of the national forest production in Mexico (Secretaría de Recursos Naturales y Medio Ambiente [SRNyMA], 2006). According to González- Elizondo, González and Márquez (2007), Durango has recorded 21 species of Pinus, representing approximately 20 % of the existing pine species in the world, and 43 species of Quercus. Besides these two genus we found Cupressus, Juniperus, Arbutus and Alnus species (Wehenkel, Corral-Rivas, Hernández-Díaz, & Gadow, 2011).
In forest management, decision making are often based primarily on the growth and yield of a stand (Parresol, 2003), variables whose prediction has been the subject of constant study. The knowledge of the diameter distribution of a stand is an essential tool for decision making in forest management (Cao, 2004; Zhang, Packard, & Liu, 2003), and is one of the main characteristics for determining variables of state, such as basal area, volume and biomass per unit area (Mehtätalo, 2004). Furthermore, when the number of trees in each diameter class is analyzed at the level of species or groups of species, the relationship between number of trees and dimensions indicating reproductive capacity and the number of trees of the lower classes (regenerated) can provide information on strategies for inter- and intraspecific regeneration and on the future trend regarding the evolution of the population (Wright, Muller-Landau, Condit, & Hubbell, 2003).
In the literature there is large number of probability density functions (PDFs) used to describe the diameter distribution of a stand, being the Weibull and Johnson's SB PDFs, two of the most commonly used. Bailey and Dell (1973) pioneers in the use of the Weibull PDFs to describe the diameter distribution of forest stands under traditional forestry, while Hafley and Schreuder (1977) introduced the Johnson's SB distribution (System bounded [Johnson, 1949]) for the characterization of diameter distributions. The purpose of modeling precisely the diameter distribution is to create a system that provides estimates of volume per diameter class and per unit area (Cao, 2004; Jiang & Brooks, 2009; Parresol, 2003). Thus, the problem is the need to accurately predict the FDP parameters that determine the diameter distribution at a specific point in time. When the actual diameter distribution of a stand is known, there are several methods for estimating the parameters of a density function: i) the maximum likelihood method that have several solution procedures (Rennolls, Geary, & Rollison, 1985); ii) the estimation based on different percentiles of the distribution (Bailey & Dell, 1973; Shiver, 1988); iii) the estimation obtained by nonlinear regression by using iterative procedures, and iv) methods based on values of specific moments of the diameter distribution (Shifley & Lentz, 1985). If the aim is to project the density function when the actual number of trees is not known in each diameter class, the methodologies to be used differ from the above and can be classified into one of the following two groups (Hyink & Moser, 1983): i ) parameter estimation methods, and ii) recovery parameter methods. The parameter estimation methodology consists in establishing relationships between different variables of the stand and parameters of the function density fitted to each plot (Schreuder, Hafley, & Bennet, 1979; Smalley & Bailey, 1974). Meanwhile, the parameter recovery method is based on relating stand variables (mainly basal area, dominant height and number of trees per hectare) with percentiles (Cao & Burkhart, 1984) or with moments (Burk & Newberry, 1984; Newby, 1980) of the diameter distribution. The relationships established are used later to recover the parameters of the distribution or density function. In both methods, the value of the stand variables can be obtained at any time from an inventory or from a growth model.
In Mexico, the FDPs have been used in studies developed for a single species plantations using the Weibull PDFs (Maldonado-Ayala & Návar, 2002; Torres- Rojo, Acosta-Mireles, & Magaña-Torres, 1992). However, the reported studies to describe and model the diameter structures of mixed and uneven-aged stands in natural forests in a given time are few and they are limited to compare fitting methodologies (Návar & Contreras, 2000). Thus, the objectives of this study were: i) characterize diameter distributions of species of conifers and broadleaf trees in mixed and uneven- aged forests of northwestern Durango; ii) estimate diameter distributions by means of the best fitting methodology and the Weibull and Johnson's SB PDF; and iii) determine the best methodology to model the theoretical function selected to estimate the diameter distribution of the tree at any age.
MATERIALS AND METHODS
Study area
The study area is located in the northwestern region of Durango, Mexico; in particular, this study was performed in the ejido San Diego Tezains, municipality of Santiago Papasquiaro, geographically located at coordinates 105° 53' 36" -106° 12' 40" W and 24° 48' 16" -25° 13' 32" N. The predominant type of vegetation is pine-oak forests. The height above sea level varies from 1,400 to 3,000 m. The climate is temperate semi cold with a regimen of annual precipitation ranging from 800 to 1,100 mm, and mean annual temperature ranging from 8 °C on the highest areas to 24 °C in the lowest areas (García, 1981).
Data
The data used came from 44 permanent sample plots placed for monitoring growth and production of forests of the ejido San Diego de Tezains and surrounding areas. Plots were established between 2008 and 2009 according to the methodology proposed by Corral-Rivas et al. (2009), trying to cover all types of vegetation, site quality and diameter distributions present in the stands under forest management. The plots are quadrangular (50 x 50 m) and are distributed under a systematic sampling grid (with equidistant points of 5 km); it is intended to remeasure at intervals of five years. The variables recorded in the trees with a breast height diameter (measured at 1.3 meters above ground), equal or greater than 7.5 cm were: tree species, diameter at breast height (d, with two cross measurements in mm), total tree height (h in cm), stem height (m), azimuth (°) and radius (m) from the center of the plot (intersection of the two diagonals). In each plot were recorded also variables of physiographic information and soil resource such as slope, aspect, soil depth, presence of erosion, thickness layers of organic matter and pine and oak leaves known in Mexico as ocochal.
In the database 27 species of conifers and broadleaf trees were identified for further analysis. Conifers studied belong to the genera Cupressus, Juniperus, Pinus and Pseudotsuga (Cupressus lusitanica Mill., Juniperus deppeana Steud., J. durangensis Martínez, Pinus arizonica Engelm, P. strobiformis Engelm, P. durangensis Martínez, P.engelmannii Carr., P. leiophylla Schl. & Cham., P. lumholtzii Robins et Ferns, P. teocote Schl. & Cham., Pseudotsuga menziesii Mirb). Among the broadleaf trees are species of the genera Alnus, Arbutus, Fraxinus and Quercus (Alnus firmifolia Fernald, Arbutus arizonica [A.Gray] Sarg., Arbutus bicolor S. González, M. González et P. D. Sørensen, Arbutus madrensis S. González, Arbutus tessellata Sørensen, Arbutus xalapensis Kunth, Fraxinus trifoliata Torr., Quercus arizonica Sarg., Q. crassifolia Humb et Bonpl, Q. durifolia Seemen ex Loes, Q. jonesii Trel., Q. laeta Liebm., Q. mcvaughii Spellenb., Q. obtusata Bonpl, Q. rugosa Née and Q. sideroxyla Humb. et Bonpl). Table 1 shows the main descriptive statistics of the final database used in the fitting of the FDPs of the groups of conifers and broadleaf trees.
Models
Fitting PDFs
The diameter information for each group of species was tabulated in classes of 5 cm. The relative frequencies (ratio of the absolute frequency and the total number of trees) were used to fit the tri-parametric Weibull and Johnson's SB PDFs. The expression of the Weibull function is as follows:

where:
ƒ(xi) = Relative frequency estimated for the diameter xi
ε = Location parameter;
λ = Scale parameter;
γ = Shape parameter.
The parameter γ defines the shape of the curve representing the diameter distribution, so if γ < 1, typical curves from uneven-aged stands are obtained; if γ = 1, coincides with the exponential distribution; if 1< γ < 3.6, the curve shows asymmetry to the right; if γ = 3.6, the Weibull approaches to the normal and if γ > 3.6, the curve shows asymmetry to the left.
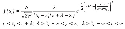
The expression of the Johnson's SB likelihood function is as follows:

where:
ε = Location parameter
λ = Scale parameter
γ and δ = parameters depending on the stand and which must be determined, fulfilling that δ, ε, λ > 0; -∝ < λ < ∝ and being γ + δ · In[yi / (1 - yi)] with yi = (xi - ε) / λ, a variable that follows a normal distribution with a mean equal to 0 and a standard deviation equal to 1 [Z ~ N (0, 1)].
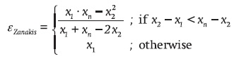
Different studies have compared four procedures to estimate the parameters of the two FDP analyzed: i) maximum likelihood (MVS) (Devore, 1987; Johnson, 1949; Rennolls et al, 1985); ii) moments (MM) (Scolforo, Vitti, Grisi, Acerbi, & Assis, 2003; Shifley & Lentz, 1985); iii) nonlinear ordinary least squares regression (NPOs) (Zhou & McTague, 1996); and iv) percentiles (MP) (Bailey & Dell, 1973; Dubey, 1967; Knoebel & Burkhart, 1991). The location parameter ε for all cases was estimated by the method of Zanakis (1979) due to the good results obtained in the characterization of the diameter distributions of many species in different geographic areas (Álvarez-González & Ruiz-González, 1998; Gorgoso, Álvarez, Rojo, & Grandas-Arias, 2007):

Where:
x1 = Minimum diameter
x2 = Diameter immediately above the minimum diameter
xn = Maximum diameter of the plot
The equations for estimating the remaining parameters of the FDPs evaluated with the procedures ML, MM and MP are shown in Table 2. The j-th percentiles were obtained by grouping the n diameters from the lowest to the highest x1, x2, ..., xn and calculating the next value: Pj = (1 - g) x1 + g (x1+1), where i is the integer of the product n (j / λ) and g the fractional part of that quotient.
The shape parameter g of the Weibull PDFs with ML was estimated by LIFEREG procedure in SAS/STATTM (Statistical Analysis System [SAS Institute Inc.], 2008). Furthermore, the parameters of the Weibull and Johnson's SB density functions by the ONLS method were estimated with the procedure MODEL SAS/ETSTM (SAS Institute Inc., 2008), using the parameters estimated by the MP as initial values.
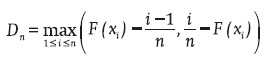
PDF assessment
The goodness of fit of the PDF with the methods used was evaluated by the Kolmogorov-Smirnov nonparametric test (K-S) (Sokal & Rohlf, 1981), which compares the cumulative relative frequency estimated with the cumulative relative frequency observed of the distribution; the most notable difference between the two frequencies is given by the Dn value of the following expression:

where:
F(xi) = Cumulative relative value of distribution fitted to the diameter xi
n = Number of observations
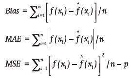
The value Dn is compared to the critical value D*n,α obtained from a table of K-S according to n and a significance level selected. If Dn is greater than the critical value, the null hypothesis that the sample population follow the fitted distribution function, is rejected. Moreover, consistency in the fitting of the PDF for each procedure was assessed by bias, mean absolute error (MAE) and mean square error (MSE) defined by the following expressions

in these criteria:
ƒ(xi) = Observed relative frequency
(xi) = Estimated relative frequency
n = Number of observations
p = Number of parameters of the PDFs
Modeling the parameters of the PDFs
The methods described above allow to estimate the parameters of the PDF when we have a diametric inventory of the stand. However, one of the objectives of this study is to develop methodologies to obtain the parameters of a PDF when we do not have the inventory, only the stand variables. Thus, using stand models that allow to estimate these variables for a future instant, we can estimate a diameter distribution. To do this, there are two methods: i) parameter prediction methods (PPM) and ii) parameter recovery methods (PRM). This study analyzed both methodologies to estimate the future diameter distributions.
Following the PPM, the parameters θ of the PDF estimated by the best fitting methodology is related to the main variables of the stand of the plots used by a simple linear regression model:
θi= f (Dg,Ho,Do,N,G,....)
where:
Dg = Mean square diameter (cm)
Ho = Dominant height (m)
Do = Dominant diameter (cm)
N = Number of trees per hectare
G = Basal area (m2·ha-1)
The parameters Ho and Do of each plot were estimated as the average of the 100 thickest trees per hectare. Since the parameters of the PDFs used are strongly correlated with each other, it is expected that the model errors are also correlated. Therefore, all predictor equations of the parameters were fitted using the simultaneous estimation procedure proposed by Borders (1989). The adjustments were made using the full information maximum likelihood approach (FIML) using the MODEL procedure of SAS/ETS® (SAS Institute Inc., 2008).
Moreover, following the PRM, the MM was used assuming that the location parameter ε corresponds to the minimum diameter measured (7.5 cm). For the Weibull function, we followed the methodology described by Shifley and Lentz (1985), so that the first moment with respect to zero; that is, the average diameter
, and the second moment with respect to the mean; that is, the variance of the diameter distribution (σ2) allowed to calculate the parameters of the Weibull PDFs using equations shown in Table 2. However, the future value of the
of the stand must be estimated, since it cannot be obtained directly from the stand variables (G, N andHo). Since the value of
in a stand is always less than or equal to the value of Dg, a compatibility equation is adjusted which allows the estimation of
from Dg and other variables:

where X is a vector of stand variables that characterize the state of the stand at any age and can be obtained from a static or dynamic stand model and β is a set of parameters depending on the species. The Dg value of stand at any age can be calculated from N and G, which are output variables of any stand model. Finally, once the value of
and Dg of the stand are known, the variance σ2 (moment of second order of the distribution according to the mean) can be calculated by the following mathematical relationship:

in the case of Johnson's SB density function, the parameter recovery methodology for the MM needs to use, in addition to the equation
another fitted equation relating the maximum diameter of the distribution with the stand variables that may be estimated from growth models. With these two equations we can use the ratios of Table 2 to recover λ, γ and δ assuming the location parameter ε corresponds to the minimum diameter measured in the inventory.
RESULTS AND DISCUSSION
Assessing the fitting methods of the PDFs
Table 3 shows the number and percentage of plots that showed similarity in the diameter distribution observed and estimated with both PDFs evaluated for the groups of conifers and broadleaf trees, using the Kolmogorov-Smirnov (K-S) test considering a significance level of P = 0.05. Of the four parameter fitting methods, the MM method had the best results for the Weibull PDF, with 91 and 87 % similarity of diameter distribution in the groups of species of conifers and broadleaf trees, respectively. The ONLS method had the lowest percentage (73 % for conifers and 80 % for broadleaf trees); while for ML and MP, the similarity of plots was almost the same (87 and 86 %) for both groups of species.
Meanwhile, fitting parameters of Johnson's SB PDF, the ONLS method was the most efficient to accept the null hypothesis of the K-S test; i.e., 82 and 66 % similarity in the diameter distribution for conifers and broadleaf trees, respectively. On the contrary, the MM method had the lowest percentage of similar plots for coniferous (64 %) and broadleaf trees (61 %), followed by MP and ML.
In general, the best results of goodness of fit evaluated by statistical bias, EMA and EMC, were obtained by the MM method for the Weibull PDF and with the ONLS method for the Johnson's SB PDF. The sample plots that passed the K-S test in the groups of species of conifers and broadleaf trees had average bias values closer to 0 with the Weibull PDF (0.00015 and -0.00005) than with the Johnson's SB PDF (0.00074 and 0.00098). Also the value of EMA of the Weibull PDF was slightly lower (0.025 and 0.033) compared to the value of the Johnson's SB PDF (0.039 and 0.480) for both groups of species. Finally, the EMC value of the Weibull PDF was also lower (0.035 and 0.046) than the value estimated with the Johnson's SB PDF (0.074 and 0.091) in the two groups of species.
The estimation of the parameters by the procedure ML is the most reliable, considering both PDFs and the two groups of species. Similar results were obtained in previous studies by comparing this procedure with MM and MP (Zhang et al., 2003; Zhou & McTague, 1996). Figure 1 shows the behavior of bias and EMC for diameter class of the two PDF evaluated with the best fitting methodology for the two groups of species. In the graph it can be seen that both PDFs were similar except for the diameter classes less than 20 cm, where the adjustment of the Johnson's SB PDF was more biased and less accurate.
Estimation of the parameters of the future distribution
The change in the distribution of mixed and uneven- aged stands is well modeled by the Weibull PDF achieving to represent all forms of the observed distributions. The Johnson's SB PDF presents problems in modeling distributions too platykurtics and irregular (mainly in young stands), that is shown in the graphics for these stands. This demonstrates the flexibility of the Weibull PDF that requires only the estimation of three parameters compared to the four parameters to be estimated in the Johnson's SB PDF; parsimony evidenced by bias and EMC. Regarding the above, and because the Weibull PDF had better goodness of fit statistics and better results with the K-S test when parameters are estimated by the MM, the rest of the analysis in this paper are limited to this function for modeling future diameter distributions.
By comparing the two methods of modeling parameters (PPM and PRM) for the Weibull PDF, significant differences in the number of plots which passed the Ho with the K-S test (P = 0.05) were obtained.
As already mentioned, the use of PRM using the equations relating the parameters with the moments of the distribution (Table 2) requires the prior adjustment of equations to estimate the
of the future distribution. For the group of conifers, the result of the adjustment of these equations was as follows:

where:
Dg = Mean square diameter (cm)
Ho = Dominant height (m)
N = Number of trees per hectare
G = Basal area (m2·ha-1)
R2 = Coefficient of determination (%)
RMSE = root mean square error
Once the future mean diameter was estimated and the Weibull PDF parameters were recovered with the MM equations in Table 2, 52.3 % of the plots passed the K-S test (P = 0.05) in both groups of species. This value is reduced when compared with the results obtained in the adjustment phase; the reason for this reduction was due to poor estimates of the scale parameter λ.
The PPM methodology was inefficient. In most cases, trying to predict the shape and scale (γ and λ) parameters simultaneously depending on the variables of the stand, it failed to explain more than 20 % of the variability observed; thus, the percentage of the plots that accepted the null hypothesis of the K-S test was very low for both groups of species. These results contrast with relatively good estimates obtained by Gorgoso- Varela and Rojo-Alboreca (2014) and Maldonado-Ayala and Návar (2002). However, we consider that those authors worked with plantations or even-aged stands, whose diameter distributions are easier to characterize compared to mixed and uneven-aged forests used in this study.
The resulting estimates were more accurate than those obtained with the PRM when considering only the scale parameter (λ). For this reason, it was decided to use a combination of both methods to model the future diameter distribution, so that the scale parameter λ was estimated by the following equations:
Conifers: λ = exp(1.2134 + 0.07468 * Dg − 0.0245 * Ho)
(R2 = 0.868; RMSE = 2.01)
Broadleaf trees: λ = exp(0.9183 + 0.05269 * Dg + 0.0197 *Ho)
(R2 = 0.750; RMSE = 2.50)
Moreover, the shape parameter γ was recovered using the MM through the prediction equations of the
estimated. With this procedure, 71 % of the plots of conifers and 69 % of broadleaf trees passed the K-S test; values closest to those obtained in the adjustment phase, considering the accumulated errors due to the use of the equations described above to model the future diameter distributions.
Previous studies have examined the accuracy of prediction methods and recovery parameters and they differ in the results. While some emphasize the predictive ability of indirect estimation method (PRM), others highlight the accuracy and parsimony of the direct prediction method (PPM). Jian and Brooks (2009) studied both methods in Pinus palustris Mill., whose age ranged from 3 to 20 years, with stand densities between 273 and 857 trees·ha-1. The authors found that direct prediction method is more accurate, disagreeing with the results obtained in this study. Cao (2004) tested six methods for predicting the Weibull PDF parameters, including the indirect method PRM and found poor precision compared with other methods tested. The same author also developed an algorithm to predict the parameters of Weibull PDF obtained by means of the ML evaluating the PPM method and found good and more accurate results in the EMC, compared to indirect estimation methods. Leduc Matney, Belli and Baldwin (2001) analyzed two procedures similar to those used in this study, obtaining comparable results; although the system of linear equations with variables of state to predict the parameters of the Weibull PDF showed slightly better results in contrast to the PRM. Meanwhile Gorgoso et al. (2007) found significant advantages to recover the diameter distribution in stands of Betula alba L. when using indirect methods (PRM) by the prediction of the parameters of Weibull PDF by the MM. In general, the method of indirect estimation PRM is effective in predicting the parameters of the Weibull PDF; however, the accuracy is conditional on the level of truncation of the diameter distribution (Borders & Patterson, 1990; Jiang & Brooks, 2009; Vanclay, 1995). So in diameter distributions of second-growth forests and subjected to a regime of uneven- aged management, as those used in this study, the PRM is not recommended due to the high variability of the distribution parameters, especially the scale parameter λ, with respect to the variables of the stand. This study showed a direct relationship among the scale parameter λ, the quadratic mean diameter and dominant height, for that reason it was decided to improve the accuracy using this relationship and recovering the shape parameter using the MM.
Despite the acceptable results, an important part of the diameter distributions analyzed could not be modeled correctly with the proposed methodology, so we recommend trying other techniques in future studies. A line of future research should focus on changes made to the Weibull density function to make it even more flexible, as that proposed by Lai, Xie and Murthy (2003) or the generalization called "Odd Weibull family" proposed by Cooray (2006). Another alternative would be to analyze the use of finite mixtures of one function or different functions that have already been successful in characterizing diameter distributions (Liu, Zhang, Davis, Solomon & Gove, 2002). In any case, the use of these functions for modeling future diameter distributions, would expect to fit a higher number of equations when having more parameters, which would add a new source of error and could limit its use.
CONCLUSIONS
The best estimates were obtained by fitting the three parameters Weibull, density function using the method of moments and modeled later by a combination of methodologies of recovery (shape parameter) and parameter estimates (scale parameter). The use of the proposed methodology allows to estimate the future diameter distribution of a stand and, consequently, some of its state variables, becoming an essential tool for decision making in forest management of natural forests in northwestern Durango, Mexico.
REFERENCES
Álvarez-González, J. G., & Ruiz-González, A. D. (1998). Análisis y modelización de las distribuciones diamétricas de Pinus pinaster Ait., en Galicia. Investigaciones Agrarias: Sistemas Recursos Forestales, 7(2), 123137. Obtenido de http://www.inia.es/IASPF/1998/vol7/06.J.G.ALVAREZ.pdf [ Links ]
Bailey, R. L., & Dell, T. R. (1973). Quantifying diameter distributions with the Weibull function. Forest Science, 19, 97104. [ Links ]
Borders, B. E. (1989). Systems of equations in forest stand modeling. Forest Science, 35, 548556. [ Links ]
Borders, B. E., & Patterson, W. D. (1990). Projecting stand tables: A comparison of the Weibull diameter distribution method, a percentile-based projection method, and a basal area growth projection method. Forest Science, 36, 413424. [ Links ]
Burk, T. E., & Newberry, J. D. (1984). A simple algorithm for moment-based recovery of Weibull distribution parameters. Forest Science, 30, 329332. [ Links ]
Cao, Q. V., & Burkhart, H. E. (1984). A segmented distribution approach for modeling diameter frequency data. Forest Science, 30(1), 129137. [ Links ]
Cao, Q. V. (2004). Predicting parameters of a Weibull function for modeling diameter distribution. Forest Science, 50, 682685. [ Links ]
Cooray, K. (2006). Generalization of the Weibull distribution: The odd Weibull family. Statistical Modelling, 6, 265 277. doi: 10.1191/1471082X06st116oa [ Links ]
Corral-Rivas, J. J., Vargas, L. B., Wehenkel, C., Aguirre, C. O., Álvarez, G. J. G., & Rojo, A. A. (2009). Guía para el establecimiento de sitios de investigación forestal y de suelos en bosques del estado de Durango. Durango, México: Editorial UJED. [ Links ]
Devore, J. L. (1987). Probability and statistics for engineers and the sciences. USA: Brooks/Cole Cengage learning. [ Links ]
Dubey, S. D. (1967). Some percentile estimators for Weibull parameters. Technometrics, 9, 119129. doi:10.1080/00401706.1967.10490445 [ Links ]
García, M. E. (1981). Modificaciones al sistema de clasificación climática de Köppen (4ª ed.). México: Instituto de Geografía, Universidad Nacional Autónoma de México. [ Links ]
Gorgoso, J. J., Álvarez, G. J. G., Rojo, A., & Grandas-Arias, J. A. (2007). Modelling diameter distributions of Betula alba L. stands in northwest Spain with the two-parameter Weibull function. Investigaciones Agrarias: Sistemas Recursos Forestales, 16(2), 113123. Obtenido de http://revistas.inia.es/index.php/fs/article/view/1002/999 [ Links ]
Gorgoso-Varela, J. J., & Rojo-Alboreca, A. (2014). A comparison of estimation methods for fitting Weibull and Johnson's SB functions to pedunculate oak (Quercus robur) and birch (Betula pubescens) stands in northwest Spain. Forest Systems, 23(3), 500505. Obtenido de http://revistas.inia.es/index.php/fs/article/view/4939/2147 [ Links ]
González-Elizondo, M. S., González, E. M., & Márquez, L. M. (2007). Vegetación y eco-regiones de Durango. México: CIIDIR-IPN-Plaza y Valdés, S. A. de C. V. [ Links ]
Hafley, W. L., & Schreuder, H. T. (1977). Statistical distributions for fitting diameter and height data in even-aged stands. Canadian Journal of Forest Research, 7, 481487. doi: 10.1139/x77-062 [ Links ]
Hyink, D. M., & Moser, J. W. (1983). A generalized framework for projecting forest yield and stand structure using diameter distributions. Forest Science, 29, 8595. [ Links ]
Jiang, L., & Brooks, J. (2009). Predicting diameter distributions for young longleaf pine plantations in Southwest Georgia. Southern Journal of Applied Forestry, 33, 2528. [ Links ]
Johnson, N. L. (1949). Systems of frequency curves generated by methods of translation. Biometrika, 36, 149176. doi: 10.1093/biomet/36.1-2.149 [ Links ]
Knoebel, B. R., & Burkhart, H. E. (1991). A bivariate distribution approach to modeling forest diameter distribution at two points in time. Biometrics, 47, 241 253. doi: 10.2307/2532509 [ Links ]
Lai, C. D., Xie, M., & Murthy, D. N. P. (2003). A modified Weibull distribution. Reliability, IEEE Transactions, 52(1), 3337. doi: 10.1109/TR.2002.805788 [ Links ]
Leduc, D., Matney, T., Belli, K., & Baldwin, C., Jr. (2001). Predicting diameter distribution of longleaf pine plantations: A comparison between artificial neural networks and other accepted methodologies. Asheville, NC, USA: U. S. Department of Agriculture, Forest Service, Southern Research Station. Obtenido de http://www.srs.fs.usda.gov/pubs/rp/rp_srs025.pdf [ Links ]
Liu, C., Zhang, L., Davis, C. J., Solomon, D. S., & Gove, J. H. (2002). A finite mixture model for characterizing the diameter distributions of mixedspecies forest stands. Forest Science 48(4), 653661. Obtenido de http://www.fs.fed.us/ne/durham/4104/papers/Gove2002MixtureForestScience.pdf [ Links ]
Maldonado-Ayala, D., & Návar, J. J. (2002). Ajuste y predicción de la distribución Weibull a las estructuras diamétricas de plantaciones de pino de Durango, México. Madera y Bosques, 8(1), 6172. Obtenido de http://www.redalyc.org/articulo.oa?id=61789905 [ Links ]
Mehtätalo, L. (2004). An algorithm for ensuring compatibility between estimated percentiles of diameter distribution and measured stand variables. Forest Science 50, 2032. [ Links ]
Návar, J. J., & Contreras, J. C. (2000). Ajuste de la distribución Weibull a las estructuras diamétricas de rodales irregulares de Pino de Durango, México. Agrociencia, 34, 353361. Obtenido de http://www.redalyc.org/articulo.oa?id=30234312 [ Links ]
Newby, M. (1980). The properties of moment estimators for the Weibull distribution based on the sample coefficient of variation. Technometrics, 22, 187194. doi: 10.1080/00401706.1980.10486133 [ Links ]
Parresol, B. (2003). Recovering of Johnson's SB distribution. Asheville, NC, USA: U. S. Department of Agriculture, Forest Service, Southern Research Station. Obtenido de http://www.srs.fs.usda.gov/pubs/rp/rp_srs031.pdf [ Links ]
Rennolls, K., Geary, D. N., & Rollison, T. J. D. (1985). Characterizing diameter distributions by the use of the Weibull distribution. Forestry, 58(1), 5766. doi: 10.1093/forestry/58.1.57 [ Links ]
Statistical Analysis System (SAS Institute Inc.). (2008). SAS/ STATTM User's Guide, Relase 8.0 Edition. Cary, NC, USA: Author. [ Links ]
Schreuder, H. T., Hafley, W. L., & Bennett, F. A. (1979). Yield prediction for unthinned natural slash pine stands. Forest Science, 25, 2530. [ Links ]
Scolforo, J. R. S., Vitti, F. C., Grisi, R. L., Acerbi, F., & De Assis, A. L. (2003). SB distribution's accuracy to represent the diameter distribution of Pinus taeda, through five fitting methods. Forest Ecology and Management, 175, 489496. doi:10.1016/S0378-1127(02)00183-4 [ Links ]
Shifley, S., & Lentz, E. (1985). Quick estimation of the three-parameter Weibull to describe tree size distributions. Forest Ecology and Management, 13, 195 203. doi:10.1016/0378-1127(85)90034-9 [ Links ]
Shiver, B. D. (1988). Sample sizes and estimation methods for the Weibull distribution for unthinned slash pine plantation diameter distributions. Forest Science, 34(3), 809814. [ Links ]
Smalley, G. W., & Bailey, R. L. (1974). Yield tables and stand structure for loblolly pine plantations in Tennessee, Alabama and Georgia highlands. New Orleans, LA, USA: Forest Service, Southern Forest Experiment Station. [ Links ]
Sokal, R., & Rohlf, F. (1981). Biometry (2a ed.). New York, USA: W. H. Freeman and Company. [ Links ]
Secretaría de Recursos Naturales y Medio Ambiente (SRNyMA) (2006). Programa Estratégico Forestal 2030. Victoria de Durango, Dgo, México: Secretaría de Recursos Naturales y Medio Ambiente del Estado de Durango. [ Links ]
Torres-Rojo, J. M., Acosta-Mireles, M., & Magaña-Torres, O. S. (1992). Métodos para estimar los parámetros de la función Weibull y su potencial para ser predichos a través de atributos de rodal. Agrociencia. Serie Recursos Naturales, 2(2), 5776. [ Links ]
Vanclay, J. (1995). Growth models for tropical forest: A synthesis of models and methods. Forest Science, 41, 742. [ Links ]
Wehenkel, C., Corral-Rivas, J. J., Hernández-Díaz, J. C., & Gadow, K. v. (2011). Estimating balanced structure areas in multi-species forests on the Sierra Madre Occidental, Mexico. Annals of Forest Science, 68, 385 394. doi: 10.1007/s13595-011-0027-9. [ Links ]
Wright, S. J., Muller-Landau, H. C., Condit, R., & Hubbell, S. P. (2003). Gapdependent recruitment, realized vital rates, and size distributions of tropical trees. Ecology, 84(12), 31743185. doi: 10.1890/02-0038 [ Links ]
Zanakis, S. H. (1979). A simulation study of some simple estimators for the three parameter Weibull distribution. Journal of Statistical Computation and Simulation,9,101116.doi:10.1080/00949657908810302 [ Links ]
Zhang, L., Packard, K., & Liu, C. (2003). A comparison of estimation methods for fitting Weibull and Johnson's SB distributions to mixed spruce-fir stands in northeastern North America. Canadian Journal of Forest Research, 33, 13401347. doi: 10.1139/x03-054 [ Links ]
Zhou, B., & McTague, J. P. (1996). Comparison and evaluation of five methods of estimation of the Johnson's system parameters. Canadian Journal of Forest Research, 26(6), 928935. doi: 10.1139/x26-102 [ Links ]












