Servicios Personalizados
Revista
Articulo
Indicadores
-
Citado por SciELO -
Accesos
Links relacionados
-
Similares en
SciELO
Compartir
Revista Chapingo serie ciencias forestales y del ambiente
versión On-line ISSN 2007-4018versión impresa ISSN 2007-3828
Rev. Chapingo ser. cienc. for. ambient vol.20 no.2 Chapingo may./ago. 2014
https://doi.org/10.5154/r.rchscfa.2013.11.040
Cratylia argentea: un arbusto forrajero potencial en sistemas silvopastoriles. Rendimiento y calidad de accesiones según las edades de rebrote y estaciones climáticas
Cratylia argentea: a potential fodder shrub in silvopastoral systems. Yield and quality of accessions according to regrowth ages and climatic seasons
Braulio Valles-De la Mora*; Epigmenio Castillo-Gallegos; Eliazar Ocaña-Zavaleta; Jesús Jarillo-Rodríguez
Centro de Enseñanza, Investigación y Extensión en Ganadería Tropical, Facultad de Medicina Veterinaria y Zootecnia, Universidad Nacional Autónoma de México. km 7.5 Carretera Martínez de la Torre-Tlapacoyan. C. P. 93600. Veracruz, MÉXICO. Correo-e: braulio_36@hotmail.com Tel.: 01 232 32 43941 (*Autor para correspondencia).
Recibido: 22 de octubre, 2013
Aceptado: 26 de junio, 2014
RESUMEN
En los sistemas silvopastoriles, las leguminosas arbustivas de alta calidad nutricional representan una alternativa para la escasez de pastos en periodos secos del año. En este estudio se evaluó el efecto de diferentes edades de rebrote (6, 9, 12 y 15 semanas) en tres épocas del año (lluvia, invierno y seca, 2007-2008) de cuatro accesiones de Cratylia argentea (18516, 18666, 18668 y 18676) en Veracruz, México, para el rendimiento de materia seca (RMS), fibra en detergente neutro (FDN), fibra en detergente ácido (FDA), lignina (Lig), proteína cruda (PC) y degradación in situ de MS (DISMS). El rendimiento de materia seca (RMS) (media ± error estándar) fue afectado por la época y la edad de rebrote, pero no se encontró efecto por la accesión o sus interacciones. El mayor RMS se logró en la temporada de secas (3632 ± 306 kg·ha-1), lo que representó 45 % del rendimiento del forraje total, seguido por la temporada de lluvias (33 %, 2615 ± 188 kg·ha-1) y la temporada de invierno (22 %, 1733 ± 61 kg·ha-1). Se encontraron efectos significativos en la edad de rebrote en las tres épocas para FDN, FDA, Lig y PC. La mayor DISMS ocurrió en las temporadas de lluvias y secas promediando 66 y 65 %, respectivamente, después de 72 h de incubación. La temporada de secas fue el mejor período para RMS y DISMS. Estos resultados sugieren que C. argentea es una fuente confiable de forraje para sistemas silvopastoriles.
Palabras clave: Rendimiento de materia seca, composición química, efectos estacionales, leguminosas forrajeras arbustivas, Veracruz, México.
ABSTRACT
In silvopastoral systems, high nutritional quality shrub legumes represent an alternative to shortage of grasses in dry periods of the year. The effect of different regrowth ages (6, 9, 12 and 15 weeks) in three climatic seasons (rainy, winter and dry seasons, 2007-2008) of four Cratylia argentea accessions (18516, 18666, 18668 and 18676) were evaluated in Veracruz, Mexico, for dry matter yield (DMY), neutral detergent fiber (NDF), acid detergent fiber (ADF), lignin (Lig), crude protein (CP) and in situ DM degradation (ISDMD). Dry matter yield (mean ± standard error) was affected by season and regrowth age, but not by accession or interactions. The dry season showed the largest DMY (3632 ± 306 kg·ha-1), representing 45 % of total forage yield, followed by the rainy (33 %, 2615±188 kg·ha-1) and winter (22 %; 1733 ± 61 kg·ha-1) seasons. For NDF, ADF, Lig and CP, statistical effects were found for regrowth age in all three seasons. The largest ISDMD occurred in the rainy and dry seasons, reaching average values of 66 and 65 % at 72 h of incubation, respectively. The dry season was the best period for DMY and ISDMD, making Cratylia argentea a reliable feed resource for silvopastoral systems.
Keywords: Dry matter yield, chemical composition, seasonal effects, shrub forage legumes, Veracruz, Mexico.
INTRODUCCIÓN
Ha sido ampliamente documentado que la productividad dentro de los sistemas silvopastoriles se puede mejorar sustancialmente cuando se incluyen leguminosas arbustivas, en comparación con los sistemas que se basan exclusivamente en gramíneas forrajeras (Dagang & Nair, 2003; Mahecha & Angulo, 2012; Shelton, 2000). La cría de ganado en zonas tropicales es una actividad altamente dependiente de las lluvias y las fluctuaciones de temperatura del aire durante todo el año (Calvosa, Chuluunbaatar, & Fara, 2007), que conducen a un déficit de forraje en la temporada de secas e invierno, y un excedente en la temporada de lluvias (Enríquez, Hernández, Pérez, Quero, & Moreno, 2003). Por lo tanto, se ha recomendado el uso de leguminosas arbustivas con alta calidad nutricional que pueden prosperar en el momento del año cuando la mayoría de los pastos no son la alternativa para hacer frente a la escasez de alimentos en la temporada de secas. Asimismo, las leguminosas arbustivas tienen el beneficio adicional de producir más forraje que los pastos, son más tolerantes al mal manejo, tienen la capacidad de rebrotar, proporcionar forraje de buena calidad y tienen otros usos como fuente de leña, rompevientos, y control de erosión en laderas; además de mejorar la fertilidad del suelo (Holmann, Lascano, & Plazas, 2002). Sin embargo, no todos los árboles o arbustos forrajeros producen cantidades suficientes de biomasa para alimentar al ganado. Se ha documentado que la edad de rebrote y las temporadas climáticas afectan el rendimiento y la calidad del forraje de las especies forrajeras leñosas (Casanova-Lugo, Petit-Aldana, Solorio-Sanchez, Parsons, & Ramírez-Avilés, 2014).
La edad al corte de árboles forrajeros en diferentes estaciones del año (temporada de secas vs. temporada de lluvias) y en diferentes etapas de desarrollo (floración vs. vegetativo) también puede influir en el rebrote. La defoliación, descrita en términos de frecuencia se refiere a qué tan a menudo se cortan o se ramonean los árboles. En muchos estudios se informa que el mayor rendimiento total de biomasa se obtiene en los intervalos de cosecha más largos. En este aspecto, se han llevado a cabo estudios con Cratylia argentea (Desvaux) O. Kuntze con el fin de identificar las accesiones superiores con un buen rendimiento, principalmente durante periodos prolongados de sequía. En Colombia, Andersson, Peters, Schultze-Kraft, Franco, y Lascano (2006) evaluaron 38 accesiones de C. argentea y encontraron una gran variación en las características agronómicas de la colección de germoplasma, en términos de mayor producción de materia seca (MS), en particular en la estación seca. Las accesiones CIAT 18674 y CIAT 22406 se identificaron como prometedoras para la producción de MS. En Quintana Roo, México, se llevó a cabo un experimento por Sosa, Cabrera, Pérez y Ortega (2008), donde se evaluaron 10 leguminosas forrajeras, entre ellas C. argentea, mostrando un efecto significativo de la época y de la edad de corte en el rendimiento de materia seca de esta leguminosa. Estos autores observaron que el rendimiento entre las especies varió dentro de cada temporada, destacando C. argentea como la más productiva, tanto en la temporada de secas (0.6 t MS·ha-1) como en la lluviosa (2.6 t MS·ha-1). Del mismo modo, se observó un efecto de edad de rebrote: específicamente, cuando la edad del rebrote aumentó, el rendimiento fue, de 0.7 a 1.8 t MS·ha-1. Para esta variable, Lobo y Acuña (2004) reportaron que C. argentea cosechada a los 90 días produjo más biomasa (3.9 t MS·ha-1) que a los 60 días (1.3 t MS·ha-1); estos mismos autores señalaron que la edad de rebrote afecta la disponibilidad de la biomasa, independientemente de la altura de rebrote.
Cratylia argentea es una leguminosa arbustiva, que alcanza una altura de hasta 3 m, y se encuentra en una amplia gama de entornos, desde Perú hasta el oeste del estado de Ceará en Brasil. Se adapta a las condiciones de fertilidad del suelo y a alturas bajas a medias cercanas a 1,200 m. Tiene un valor nutritivo superior al de otras leguminosas arbustivas, además de que sólo tiene pequeñas cantidades o no contiene taninos (Bernal et al., 2008; Celis, Sánchez, & Parra, 2004; Sturm, Tiemann, Lascano, Kreuzer, & Hess, 2007). Es muy resistente a la sequía y se mantiene verde y productiva durante la temporada de secas, hasta por siete meses (Rodríguez & Guevara, 2002; Sosa et al., 2008), produciendo más forraje que muchas otras leguminosas arbustivas (Suárez, Ramírez, & Velásquez, 2008b), superando las 9 t·ha-1·año-1 (Sosa et al., 2008).
En el trópico mexicano, el ganado pasta principalmente en pasturas nativas, las cuales son pobres en calidad y poseen una marcada estacionalidad en su crecimiento, debido a las variaciones climáticas que afectan la productividad de forraje, principalmente durante la época seca y de invierno. Sin embargo, el comportamiento estacional de C. argentea es desconocido para los trópicos húmedos del estado de Veracruz, México, y por lo tanto, el objetivo de este estudio fue evaluar el efecto de diferentes edades de rebrote sobre el rendimiento y calidad del forraje de cuatro accesiones de C. argentea en tres épocas del año.
MATERIALES Y MÉTODOS
Descripción del sitio
El experimento se llevó a cabo en el municipio de Tlapacoyan, Veracruz, México (20° 04' N, 97° 06' O, altitud 112 m). Los suelos son ultisoles caracterizados por un pH de 5.3; materia orgánica (MO), 0.49 %; nitrógeno total (N), 0.10 %; fósforo (P), 33.4 mg·kg-1. Los valores para el potasio (K), calcio (Ca), magnesio (Mg), sodio (Na) y capacidad de intercambio catiónico (CIC) son: 0.35, 1.45, 2.12, 0.24 y 9.35 cmol·kg-1, respectivamente; con los siguientes componentes de textura: arena, arcilla y limo de 28, 39 y 34 %, respectivamente. El clima es cálido y húmedo, con tres estaciones definidas: a) lluvia, con precipitaciones altas y temperaturas altas (de agosto a noviembre), b) invierno o "viento del norte" con escasas precipitaciones y temperaturas bajas (de diciembre a marzo) y, c) temporada de secas, con escasas precipitaciones y temperaturas altas (de abril a julio). En la Figura 1 se muestra la precipitación (mm) y las temperaturas máximas y mínimas (°C) para el periodo experimental.
Elaboración del experimento
Se evaluaron cuatro accesiones de la leguminosa forrajera de C. argentea, con números de accesión CIAT (Centro Internacional de Agricultura Tropical, Cali, Colombia): 18516, 18666, 18668 y 18676. Las parcelas experimentales (10 x 3 m) se plantaron el 01 de septiembre de 2006, con plantas espaciadas 1 m de distancia entre y dentro de la fila. Cada parcela se dividió en cuatro subparcelas que corresponden a cuatro edades de rebrote: 6, 9, 12 y 15 semanas de edad, de acuerdo con Toledo y Schultze-Kraft (1982). Para evitar efectos de borde, se utilizaron las dos hileras centrales, excluyendo las plantas en ambos extremos de la fila. Cerca de 11 meses (24-27 de agosto de 2007) después de la plantación, se realizó una primera cosecha de estandarización, y después de eso, se hicieron evaluaciones para la temporada de lluvias los días: 10 y 29 de octubre, 24 de noviembre y 10 de diciembre de 2007; para las edades de rebrote; 6, 9, 12 y 15 semanas, respectivamente. Para la evaluación de la temporada de invierno, las parcelas fueron cosechadas en las siguientes fechas: 31 de enero, 20 de febrero, 12 de marzo y 2 de abril de 2008; y para la estación seca, el 19 de mayo, 4 de junio y 15 y 25 de julio de 2008. En todos los casos, la altura de corte fue de 70 cm sobre el nivel del suelo. Las variables de respuesta fueron: rendimiento de materia seca (RMS, kg·ha-1), proteína cruda (PC, g·kg-1MS), fibra en detergente neutro (FDN, %), fibra en detergente ácido (FDA, %), lignina (Lig, %) y degradación in situ de la materia seca (DISMS, %) a 72 h.
Análisis de laboratorio
El material colectado fue separado en tallos de hasta 3 mm de espesor, hojas (pecíolo), que representa el material potencialmente consumible, y los tallos de más de 3 mm. Cada componente se pesó, y se tomó una muestra de 500 g por componente, la cual fue secada en un horno de aire forzado a 65 °C durante 72 h para determinar el porcentaje de materia seca y calcular el RMS (Toledo & Schultze-Kraft, 1982). La proteína cruda se determinó como % N x 6.25, según Kjeldahl (Association of Official Analytical Chemists [AOAC], 2005). Las determinaciones de fibra en detergente neutro, FDA y Lig se realizaron según Van Soest (1963), utilizando un digestor de fibra Ankom200 (Ankom Technology, Macedon, Nueva York, EE.UU.). La digestión de materia seca in situ se estimó de acuerdo con Ørskov y McDonald (1970), con tiempos de incubación de 3, 6, 9, 12, 24, 48 y 72 h; los parámetros de degradación se obtuvieron ajustando los datos en el modelo descrito por Ørskov, Hovell, y Mould (1980):
y = a + b (1 - e-ct)
Donde:
y = MS degradada en el tiempo "t" (%)
a = Fracción rápidamente degradable (intercepción) (%)
b = Fracción lentamente degradable (%)
a + b = MS Potencialmente degradable (grado de degradación) (%)
c = Tasa de degradación (fracción degradable por hora)
t = Tiempo de incubación en el rumen (h)
e = Base de los logaritmos naturales
Análisis estadístico
El diseño experimental fue de bloques completos al azar con tres bloques o repeticiones, utilizando la pendiente del terreno como criterio para el bloqueo. Cada uno de los tres bloques tenía cuatro parcelas, una por accesión. El análisis de varianza (ANOVA) se realizó con PROC MIXED del Sistema de Análisis Estadístico (SAS, 1999). Además, los datos de RMS se ajustaron al modelo de crecimiento exponencial:
y = aebx
Donde:
y = RMS (kg·ha-1)
a = RMS cuando x = 0
b = Tasa constante expresada en unidades x inversas (1·x-1)
x = Edad de rebrote en semanas; el ajuste se hizo por separado para cada estación.
Este modelo describe el crecimiento de la población, cuando la población tiene suficientes nutrientes y espacio para crecer. Sin embargo, también se puede utilizar para describir el crecimiento de la planta durante periodos cortos, cuando el tiempo, el suelo o ambos se convierten en factores limitantes para el crecimiento de plantas. Este modelo describe una constante doble de tiempo, i. e. el tiempo que se necesita para aumentar el RMS por un factor de dos, que puede ser calculado como ln(2)/b, que indica la eficiencia con la que la biomasa vegetal produce más biomasa (Motulsky & Christopoulus, 2003).
Se analizaron las variables de rendimiento de materia seca y de calidad con PROC MIXED. El modelo incluyó los efectos fijos de accesión y edades de rebrote, el efecto aleatorio de bloque y la parcela como unidad sobre la que se hicieron las mediciones repetidas (estaciones), teniendo en cuenta las siguientes estructuras de covarianza: simetría compuesta, no estructurada, Huynh-Feldt, autorregresiva, autorregresiva con varianza heterogénea y autorregresiva con media móvil. Una vez que se eligió la estructura de covarianza más apropiada, se llevó a cabo el análisis de varianza final con la prueba de "t" para comparación de medias.
Para DISMS, se ajustó una curva determinada para cada combinación de la accesión y edad de rebrote, por lo que cada parámetro puede ser analizado de forma individual como variable de respuesta en el análisis de la varianza.
RESULTADOS Y DISCUSIÓN
Rendimiento de materia seca de acuerdo con la temporada y edad de rebrote
El análisis de la varianza para RMS detectó diferencias (P < 0.0001) para el efecto de la temporada y la edad de rebrote. Las tres temporadas fueron diferentes, con medias (± error estándar) para la temporada de lluvias, invierno y secas de ± 188 kg·ha-1, 1783 ± 61 kg·ha-1 y 3632 ± 306 kg·ha-1, lo que representó una distribución de forraje anual de 33, 22 y 45 %, respectivamente. Durante las tres temporadas, los valores medios por accesión 18516, 18666, 18668 y 18676 fueron 2311 ± 261 kg·ha-1, 3048 ± 321 kg·ha-1, 2567 ± 280 kg·ha-1 y 2781 ± 301 kg·ha-1, respectivamente. Independientemente de la época, la producción de forraje no mostró diferencias estadísticamente significativas dentro de las edades de rebrote. Además, las accesiones se comportaron de manera similar, a pesar de que CIAT 18666 tuvo un rendimiento más alto que los otros. En el caso de CIAT 18668 a las 15 semanas en la temporada de secas, se registró una reducción del rendimiento de MS, pero no fue posible explicar este hecho (Cuadro 1).
Aunque no se encontró efecto en el RMS relacionado con la edad de rebrote, excepto durante la temporada de lluvias a las 12 semanas (CIAT 18516), los resultados coinciden con Sosa et al. (2008), utilizando C. argentea y otras leguminosas, en Chetumal, México (1,200 mm de lluvia, 70 % humedad relativa en verano). Se evaluaron edades de rebrote a los 3, 6, 9 y 12 semanas y se encontró que, independientemente de la temporada, los rendimientos más altos se obtuvieron a las 12 semanas de rebrote. En la temporada de secas, todas las leguminosas, incluyendo C. argentea, tuvieron rendimientos bajos, promediando 0.6 t·ha-1. Este valor es considerablemente menor que el de 3.6 ± 0.32 t·ha-1 promediado durante las cuatro edades de rebrote. También en la temporada de secas, Rodríguez y Guevara (2002) encontraron en Venezuela que las mismas cuatro accesiones evaluadas aquí, mostraron un rango de producción de forraje (hojas) de 651 a 862 kg·ha-1 por corte, valores cercanos a los datos de Plazas y Lascano (2005) quienes encontraron, en la región del piedemonte, en los llanos colombianos, que el rendimiento promedio del forraje en la temporada de secas fue de 594 kg·ha-1, con 52 % de hojas, mientras que el rendimiento en la temporada de lluvias fue de 3,337 kg·ha-1con 66 % de hojas. A pesar del menor rendimiento de forraje en lluvias, C. argentea mostró buen rebrote de hoja verde. También en Colombia, en el piedemonte amazónico, Suárez et al. (2008b) estimaron la biomasa de hojas de C. argentea cada 12 semanas y encontraron que esta leguminosa sembrada en suelos de terraza produjo 5,200 kg·ha-1. Este valor es mucho mayor que los que se encontraron en nuestro experimento, para cualquier época del año, y podría deberse a una mejor fertilidad del suelo en esa región, principalmente en términos de materia orgánica (3.1%) y nitrógeno (3.1%). Enríquez et al. (2003) reportaron que en Isla, Veracruz, México (lluvias de verano: 1.000 mm·año-1) la temporada de secas abarcó sólo el 25 % del rendimiento anual total, con 55 y 20 %, para la temporada de lluvias y de invierno, respectivamente. Asimismo, en Anzoátegui, Venezuela (1.044 mm·año-1), Rodríguez y Guevara (2002) mencionaron que estas mismas accesiones producen más forraje en la temporada de lluvias, mientras que el rendimiento en la temporada de secas era sólo de 37 % de lo alcanzado en la temporada de lluvias.
Cratylia argentea acumuló RMS consumible de una manera exponencial (Cuadro 1). Aunque las temporadas de lluvia y seca mostraron prácticamente los mismos valores para el parámetro a, siendo en ambos casos mayor que el de la temporada de invierno, y, por otro lado, los valores de b para las temporadas de invierno y seca eran prácticamente los mismos y más altos que los de la temporada de lluvias, estos hechos podrían ser considerados como resultados de las ecuaciones, en lugar de igualdades de rendimientos de MS. En todos los casos, el coeficiente de determinación (R2) fue bajo. De acuerdo con las ecuaciones, el tiempo para duplicar el rendimiento fue mayor en la época de lluvia (6.8 semanas) en comparación con el de la temporada de invierno (5.5 semanas) y la temporada de secas (5.4 semanas), que fue prácticamente igual entre ellos. La cantidad de tiempo requerido para lograr un RMS de 3000 kg·ha-1 fue más corto en la temporada de secas (9.7 semanas), seguido de la temporada de lluvias (12.4 semanas) y, finalmente, la temporada de invierno (15.3 semanas). En cada edad de rebrote, por temporada, no se encontraron diferencias significativas (P ≥ 0.0001), excepto en la temporada de secas a las 12 semanas, donde la accesión 18516 produjo menos forraje (3,269 ± 561 kg MS·ha-1) que el resto de los materiales (rango 4,400-6,067 kg MS·ha-1). Esta ausencia de diferencia en edad y accesión en los tres periodos fue observada por Rodríguez y Guevara (2002), quienes evaluaron, en Colombia, durante las estaciones lluviosas y de seca, 10 accesiones de C. argentea, entre las cuales estaban las reportadas aquí.
En las tres temporadas climáticas, la edad de rebrote afectó a todas las variables, excepto FDA en la temporada de secas. Por otra parte, ni la accesión ni la interacción accesión x edad de rebrote mostraron efectos sobre todos los indicadores en las temporadas de lluvia y de invierno. Lo contrario ocurrió en la temporada de secas en el que la interacción accesión x edad de rebrote afectó a todas las variables (Cuadro 2).
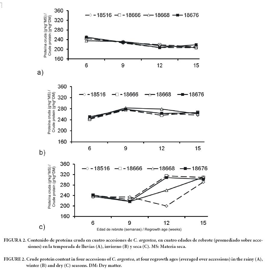
Contenido de proteína cruda por temporada y edad de rebrote
En la Figura 2 se muestran los niveles de proteína cruda en C. argentea por temporada. Los valores de proteína cruda fueron: 224 ± 2.5 g·kg-1MS, 263 ± 2.4 g·kg-1MS and 259 ± 5.8 g·kg-1MS para la temporada de lluvias, invierno y de seca, respectivamente. Hubo una reducción en el contenido de PC conforme la edad de rebrote aumentó en las cuatro accesiones en la temporada de lluvias, mientras que en la temporada de invierno estos valores se mantuvieron estables, y por el contrario, en la temporada de secas el contenido de PC aumentó con la edad (P < 0.0001), en particular a las 12 y 15 semanas de rebrote. Se desarrollaron ecuaciones de regresión lineal (Y = a + bx) para cada accesión con el fin de buscar variaciones en este parámetro, obteniéndose los siguientes resultados para las accesiones 18516, 18666, 18668 and 18676: Y = 24.17 - 0.007x, R2 = 0.43668 x 10-6; Y = 22.69 + 0.198, R2 = 0.54; Y = 22.31 + 0.27, R2 = 0.75; Y = 22.82 + 0.25x, R2 = 0.64, respectivamente.
Los niveles de proteína cruda aquí obtenidos son similares o diferentes a los encontrados por otros investigadores. En Antioquía, Colombia, se informó que en la temporada de secas, la altura de corte y la edad de rebrote no afectaron el contenido de proteína cruda de las leguminosas, lo que resultó en un estrecho rango de valores: 191 a 207 g·kg-1 (Santana & Medina, 2005). Este rango es similar al obtenido aquí sólo para dos accesiones a las 12 y 15 semanas de rebrote en la temporada de lluvias, y una accesión a las 12 semanas en la temporada de secas. Nuestros valores restantes son superiores en todos los casos. En el Departamento del Cauca, Colombia (1,800 mm de lluvia anual), se evaluaron 38 accesiones de C. argentea, incluidas las accesiones 18516, 18668 y 18676, reportando valores de PC en hojas de 184 a 237 g·kg-1 (Andersson et al., 2006). Estas concentraciones coinciden con el rango de valores obtenidos en este experimento. Por lo tanto, nuestros resultados y los de la literatura muestran que la concentración de PC en follaje de C. argentea está regularmente por encima del nivel del 20 %, siendo superior a la de muchas especies de árboles que actualmente se utilizan en los sistemas de producción animal, como Guazuma ulmifolia Lam. y Gliricidia sepium (Jacq.) Kunth ex Walp. (Solorio, Armendariz, & Ku, 2000), Calliandra calothyrsus Meisn., Clitoria fairchildiana R. A. Howard, Cassia siamea Lam. (Narváez & Lascano, 2004); Lysiloma latisiliquum (L.) Benth., Moringa oleífera Lam., Schizolobium excelsum Vogel(García et al., 2008) y Erythrina fusca Lour. (Suárez et al., 2008b).
FDN, FDA y lignina según la temporada y la edad de rebrote
El Cuadro 3 muestra los contenidos medios de FDN, FDA y Lig, según la temporada y la edad del rebrote. El análisis de varianza reveló que la respuesta de estas variables a la edad de rebrote cambió de acuerdo a la temporada. El contenido de FDN fue similar para las edades de rebrote de seis a 12 semanas y aumentó alrededor de seis unidades porcentuales a las 15 semanas de rebrote. La fibra en detergente neutro se comportó de manera diferente en la temporada de invierno: a las tres semanas de rebrote, la FDN fue menor, y luego aumentó alrededor de siete unidades porcentuales en las semanas de rebrote seis y nueve, para disminuir alrededor de tres unidades porcentuales a las 15 semanas de rebrote. Ni FDA ni Lig siguieron el crecimiento esperado con el patrón de edad de rebrote. Tal comportamiento coincide con Andersson et al. (2006). Ellos encontraron que en el periodo de alta precipitación, las mayores concentraciones de FDN y FDA, para las tres accesiones mencionadas, fueron más bajas (42 y 26 %) en comparación con el periodo seco (43 y 29 %), lo que indica que la época del año afectó la calidad de los materiales estudiados. Sin embargo, los valores reportados por estos autores son menores que en el presente experimento para FDN y FDA, pero similar a otros, que se encuentran en una revisión del potencial de las leguminosas arbustivas para la producción animal (Olivares, Jiménez, Rojas, & Martínez, 2005), con un 60 y 64 %, respectivamente.
FDN, FDA y Lig aumentaron con la edad en el momento de la cosecha en la temporada de lluvias. Aunque los valores de lignina son altos, esto se debe más al método analítico (FDA) que solubiliza más de la mitad de la lignina en los pastos tropicales, pero relativamente poco en leguminosas tropicales (Lowry, Conlan, Schlink, & McSweeney, 1994).
Se sabe que gran parte de la variación en los forrajes de calidad, además de las variaciones en condiciones ambientales (suelo, clima, fertilización), material genético y manejo, la proteína cruda es uno de los componentes más variables en los pastos (Juarez & Bolaños, 2007). Además, la PC tiene un patrón de comportamiento inverso al crecimiento de la planta, es decir, que disminuye con la edad, debido a una menor actividad metabólica de la planta y menor proporción de contenido celular, que es donde se encuentra la mayoría de la proteína vegetal. En los pastos, el contenido de FDN se asocia con el crecimiento de forraje, pero en las leguminosas este efecto no es muy claro; por lo tanto, FDN no cambia con la edad. En este sentido, Phengsavanh y Frankow-Lindberg (2013) al trabajar con cinco accesiones de leguminosas forrajeras, Aeschynomene histrix Poiret BRA 9690, Canavalia brasiliensis Mart. ex. Benth. CIAT 17009, Stylosanthes guianensis Mart. ex Benth CIAT 184, and S. guianensis CIAT 184 Composite and Vigna unguiculata L. Walp.CIAT 1088-4, sometidas a tres tratamientos de intervalos de cosecha (21, 30 y 45 días), encontraron que el contenido de PC fue mayor con el intervalo de cosecha más corto, mientras que lo contrario era cierto para el contenido de fibra (fibra cruda, fibra en detergente ácido y fibra en detergente neutro).
La edad de corte o cosecha tiene el mayor efecto en la calidad del forraje y esto no es la excepción en el caso de C. argentea. En el caso de la PC, a pesar de una variación moderada, en todos los casos siempre fue superior al 20 %, lo que representa un nivel más que aceptable para el ganado.
Cinética de degradación de la materia seca de hojas y tallos
En general, los parámetros del modelo de Ørskov y McDonald (1970): la fracción rápidamente degradable (a), fracción lentamente degradable (b), MS potencialmente degradable (fracciones a + b), y la tasa de degradación (c), no fueron afectadas por la accesión, semana o su interacción (P > 0.05). El parámetro 'a' se vio afectado por semana, accesión x semana y accesión en la temporada de lluvias, invierno y secas, respectivamente (P < 0.05). Los parámetros 'b' y 'c' sólo se vieron afectados por la accesión en la temporada de secas. La degradabilidad potencial (a + b) por accesión y edad de cosecha fueron muy similares en las temporadas de lluvia y seca, pero con alta variación en la temporada de invierno (Cuadro 4).
El parámetro 'a' es consistente con los valores encontrados para esta especie. Otros autores reportaron un valor de 36 % para C. argentea, mientras que otras leguminosas presentaron un rango de 29-60 % para esta variable (Flores, Bolivar, Botero, & Ibrahim, 1998). Otros investigadores han reportado valores similares en leguminosas nativas leñosas tropicales (Cecconello, Benezra, & Obispo, 2003). Además, los valores de la tasa de degradación (c) coinciden con el rango de 7 a 8 %, reportado por Flores et al. (1998).
La Figura 3 muestra la cinética de degradación de materia seca (hojas + tallos < 3 mm) en el rumen, de acuerdo con el modelo de Ørskov y McDonald (1970), para accesiones, edades de corte y épocas. Durante la temporada de lluvias, la degradación por accesión y por semana tiene un patrón muy similar, alcanzando en ambos casos, un valor de 66 y 65 %, respectivamente, a las 72 h. En el caso de nueve semanas se observa una degradación más acelerada en las primeras 6 h de incubación. En el invierno se tiene una ligera variación en accesiones y edad de cosecha. En el primer caso, las accesiones CIAT 18668 y 18676 se destacaron sobre el resto, mientras que para la edad de rebrote, la tendencia fue la esperada, y los valores de digestibilidad más altos se presentaron a las nueve semanas (R2 = 0.96), pero esta tendencia no correspondió con los resultados de FDN, FDA y Lig para el mismo periodo. En la temporada de secas, las tendencias fueron muy similares para las accesiones y las edades de cosecha (Cuadro 4).
Durante las estaciones lluviosas y secas, los valores de degradabilidad in situ de la MS a 48 h, tanto para las accesiones como para las edades de rebrote estuvieron por encima del 60 %. Valores inferiores a 35 % en hojas de C. argentea cosechadas cada tres meses fueron reportados por Suárez, Carulla, y Velásquez (2008a).
El rendimiento de las accesiones en los periodos mencionados contrastó notablemente durante la temporada de invierno, donde tanto las accesiones como las edades de corte mostraron una variación considerable. En el caso de las accesiones, el rango fue de 37 a 65 %, mientras que por temporada fue de 45 a 80 %.
Los sistemas agroforestales ofrecen una alternativa sostenible para aumentar la biodiversidad vegetal, y aumentar los niveles de producción animal con menor dependencia de insumos externos. El alto rendimiento y calidad del forraje de C. argentea durante la temporada de secas representa una alternativa para el uso de concentrados comerciales, lo que resulta en un ahorro significativo para los pequeños productores en el trópico mexicano. Un estudio desarrollado por Holmann et al. (2002) reportaron que el uso de C. argentea en un sistema de corte y acarreo reduce el costo económico para la producción de leche y carne en un 13 % cuando esta leguminosa se ofrece como único suplemento en el momento del ordeño.
CONCLUSIONES
Cratylia argentea es un recurso forrajero confiable para la temporada de secas en los sistemas silvopastoriles, principalmente por su alto rendimiento en esta temporada. La producción de forraje se incrementó a medida que las edades de rebrote también aumentaron. La ausencia de efectos de la accesión y su interacción con la temporada o semana indican que las accesiones se comportaron de manera similar durante la prueba. La calidad de los materiales evaluados sugiere su uso en las primeras edades de rebrote (nueve a 12 semanas), y su alto contenido de PC y digestibilidad observada en las temporadas de lluvia y seca muestran el gran potencial de las accesiones evaluadas; sin embargo, hay que tener en cuenta que el alto contenido de lignina podría dar lugar a una disponibilidad limitada o ineficaz de proteína cruda, especialmente para los rebaños con altos requerimientos de proteína, como el ganado lechero y animales en crecimiento.
AGRADECIMIENTOS
Este trabajo recibió apoyo por parte del Programa de Apoyo a Proyectos de Investigación e Innovación Tecnológica (PAPIIT) con el número de proyecto IN202410, financiado por la Universidad Nacional Autónoma de México.
REFERENCIAS
Association of Official Analytical Chemists (AOAC). (2005). Official methods of analysis (18 ed). Gaithersburg, MD, USA: Author. [ Links ]
Andersson, M. S., Peters, M., Schultze-Kraft, R., Franco, L. H., & Lascano, C. E. (2006). Phenological, agronomic and forage quality diversity among germplasm accessions of the tropical legume shrub Cratylia argentea. Journal of Agricultural Science, 144, 237-248. doi:10.1017/S0021859606006034 [ Links ]
Bernal, B. L., Ávila, P., Ramírez, G., Lascano, C. E., Tiemann, T., & Hess, H. (2008). Efecto del ensilaje y el heno de Calliandra calothyrsus, Flemingia macrophylla, Cratylia argentea y Vigna unguiculata sobre la producción de gas in vitro. Asociación Latinoamericana de Producción Animal, 16, 101-107. Obtenido de http://www.bioline.org.br/pdf?la08014 [ Links ]
Calvosa, C., Chuluunbaatar, D., & Fara, K. (2007). Livestock and climate change. Rome, Italy: International Fund for Agricultural Development (IFAD). Obtenido de http://www.ifad.org/lrkm/factsheet/cc.pdf [ Links ]
Casanova-Lugo, F., Petit-Aldana, J., Solorio-Sanchez, F. J., Parsons, D., & Ramírez-Avilés, L. (2014). Forage yield and quality of Leucaena leucocephala and Guazuma ulmifolia in mixed and pure fodder banks systems in Yucatan, Mexico, Agroforestry Systems, 88, 29-39. doi:10.1007/s10457-013-9652-7 [ Links ]
Cecconello, C. G., Benezra, S. M., & Obispo, E. N. (2003). Composición química y degradabilidad ruminal de los frutos de algunas especies forrajeras leñosas en un bosque seco tropical. Zootecnia Tropical, 21, 149-165. Obtenido de http://www.scielo.org.ve/scielo.php?pid=S0798-72692003000200004&script=sci_arttext [ Links ]
Celis, P. G. A., Sánchez, G. H., & Parra, P. A. (2004). Calidad nutritiva de las arbustivas forrajeras Malvaviscus arboreus, Codariocalyx gyroides y Cratylia argentea en la zona de ladera de los Departamentos de Cauca y Valle, Colombia. Revista CORPOICA, 5, 56-59. Obtenido de http://www.corpoica.org.co/SitioWeb/Archivos/Revista/8ArbustivasForrajeras_pp56-59_RevCorpo_v5n1.pdf [ Links ]
Dagang, A. B. K., & Nair, P. K. R. (2003). Silvopastoral research and adoption in Central America: Recent findings and recommendations for future directions. Agroforestry Systems, 59, 149-155. doi: 10.1023/A:1026394019808 [ Links ]
Enríquez, Q. J. F., Hernández, G. A., Pérez, P. J. A., Quero, C. A. R., & Moreno, C. J. G. (2003). Densidad de siembra y frecuencias de corte en el rendimiento de Cratylia argentea (Desvaux) O. Kuntze en el sur de Veracruz. Técnica Pecuaria en México, 41, 75-84. Obtenido de http://www.tecnicapecuaria.org.mx/trabajos/200303285853.pdf [ Links ]
Flores, O. I., Bolivar, D. M., Botero, J. A., & Ibrahim, M. A. (1998). Parámetros nutricionales de algunas arbóreas leguminosas y no leguminosas con potencial forrajera para la suplementación de ruminantes en el trópico. Livestock Research for Rural Development, 10, 1-5. Obtenido de http://www.lrrd.org/lrrd10/1/cati101.htm [ Links ]
García, M. D. E., Medina, R. M. G., Clavero, C. T., Cova, J. L., Domínguez, C., & Baldizan, A. (2008). Caracterización nutritiva del follaje de seis especies forrajeras con énfasis en sus perfiles polifenólicos. Revista Científica FCV-LUZ, 18, 188-196. Obtenido de http://www.redalyc.org/pdf/959/95918211.pdf [ Links ]
Holmann, S. F., Lascano, A. C., & Plazas, B. C. (2002). Evaluación ex-ante de Cratylia argentea en sistemas de producción de doble propósito en el Piedemonte de los Llanos Orientales de Colombia. Pasturas Tropicales, 24, 2-11. Obtenido de http://tropicalgrasslands.info/index.php/tgft/pages/view/Pasturas [ Links ]
Juárez, H. J., & Bolaños, E. D. (2007). Las curvas de dilución de la proteína como alternativa para la evaluación de pastos tropicales. Universidad y Ciencia. Trópico Húmedo, 23, 81-90. Obtenido de http://www.publicaciones.ujat.mx/publicaciones/uciencia/junio_2007/9%20-%20190UC.pdf [ Links ]
Lobo, M., & Acuña, V. (2004). Effect of regrowth age and cutting height on productivity of Cratylia argentea cv. Veraniega. In F. Holmann, & C. Lascano (Eds), Feeding systems with forage legumes to intensify dairy production in Latin America and the Caribbean (pp. 54-58). Cali, Colombia: CIAT (Centro Internacional de Agricultura Tropical), Tropileche Consortium; Addis Ababa, Ethiopia: SLP (System-wide Livestock Programme); Nairobi, Keny: ILRI (International Livestock Research Institute). Obtenido de http://cgspace.cgiar.org/bitstream/handle/10568/830/Tropileche.pdf?sequence=1 [ Links ]
Lowry, J. B., Conlan, L. L., Schlink, A. C., & McSweeney, C. S. 1994. Acid detergent dispersible lignin in tropical grasses. Journal of the Science of Food and Agriculture, 65, 41-49. doi: 10.1002/jsfa.2740650108 [ Links ]
Mahecha, L. L., & Angulo, J. (2012). Nutrient management in silvopastoral systems for economically and environmentally sustainable cattle production: A case study from Colombia. In J. Whalen (Ed.), Soil fertility improvement and integrated nutrient management - a global perspective (pp. 201-216). [ Links ]
Motulsky, H., & Christopoulus, A. (2003). Fitting models to biological data using linear and nonlinear regression. GraphPad PRISM v. 4.0. A practical guide to curve fitting. San Diego, CA, USA: GraphPad Software Inc. Obtenido de http://www.graphpad.com/manuals/Prism4/RegressionBook.pdf [ Links ]
Narváez, V. N., & Lascano, A. C. (2004). Caracterización química de especies arbóreas tropicales con potencial forrajero en Colombia. Pasturas Tropicales, 26, 66-74. http://tropicalgrasslands.info/index.php/tgft/pages/view/Pasturas [ Links ]
Olivares, P. J., Jiménez, G. R., Rojas, H. S., & Martínez, H. P. A. (2005). Uso de las leguminosas arbustivas en los sistemas de producción animal en el trópico. Revista Electrónica de Veterinaria, 6(5), 1-19. Obtenido de http://www.redalyc.org/articulo.oa?id=63617216006 [ Links ]
Ørskov, E. R., & McDonald, I. (1970). The estimation of protein degradability in the rumen from incubation measurements weighted according to rate of passage. Journal of Agricultural Science, 92, 499-503. doi: 10.1017/S0021859600063048 [ Links ]
Ørskov, E. R., Hovell, De B. F. D., & Mould, F. (1980). The use of the nylon bag technique for the evaluation of feedstuffs. Tropical Animal Production, 5, 195-213. Obtenido de http://www.fao.org/ag/aga/agap/frg/tap53/53_1.pdf [ Links ]
Phengsavanh, P., & Frankow-Lindberg, B. E. (2013). Effect of harvesting interval on biomass yield and nutritive value of five tropical forage legumes (Aeschynomene histrix 'BRA 9690', Canavalia brasiliensis 'CIAT 17009', Stylosanthes guianensis 'CIAT 184' and 'Composite' and Vigna unguiculata 'CIAT 1088-4') in Lao PDR. Grassland Science, 59(2), 80-86. doi: 10.1111/grs.12017 [ Links ]
Plazas, B. C. H., & Lascano, A. C. (2005). Utilidad de Cratylia argentea en ganaderías de doble propósito del Piedemonte de los Llanos Orientales de Colombia. Pasturas Tropicales, 27, 65-72. Obtenido de http://tropicalgrasslands.info/index.php/tgft/pages/view/Pasturas [ Links ]
Rodríguez, P. I., & Guevara, D. E. (2002). Producción de materia seca y valor nutritivo de la leguminosa arbustiva Cratylia argentea en el sur del estado Anzoátegui, Venezuela. Revista Científica FCV-LUZ, 12(2), 589-594. Obtenido de http://www.saber.ula.ve/revistacientifica/n12/pdfs/articulo_56.pdf [ Links ]
Santana, R. M. O., & Medina, S. M. (2005). Producción de materia seca y calidad forrajera de Cratylia argentea (Desv.) O. Kuntze bajo tres alturas y edades de corte en bosque húmedo tropical. Livestock Research for Rural Development, 17(10). Consultado 17-02-2010 en http://www.lrrd.org/lrrd17/10/sant17116.htm [ Links ]
Shelton, M. (2000). Tropical forage tree legumes in agroforestry systems. Unasylva, 51, 25-32. Obtenido de ftp://ftp.fao.org/docrep/fao/x3989e/x3989e05.pdf [ Links ]
Solorio, S. F. J., Armendariz, Y. I., & Ku, V. J. (2000). Chemical composition and in vitro dry matter digestibility of some fodder trees from South-east México. Livestock Research for Rural Development, 12(4). Consultado 22-03-2013 en http://www.cipav.org.co/lrrd/lrrd12/4/solo124a.htm [ Links ]
Sosa, R. E., Cabrera, T. E., Pérez, R. D., & Ortega, R. L. (2008). Producción estacional de materia seca de gramíneas y leguminosas forrajeras con cortes en el estado de Quintana Roo. Técnica Pecuaria en México, 46, 413-426. Obtenido de http://www.tecnicapecuaria.org.mx/trabajos/200810022003.pdf [ Links ]
Statistical Analysis System (SAS). (1999). SAS/STAT User's Guide. Release 8.0 Edition. Cary, USA: Autor. [ Links ]
Sturm, C. D., Tiemann, T. T., Lascano, C. E., Kreuzer, M., & Hess, H.D. (2007). Nutrient composition and in vitro ruminal fermentation of tropical legume mixtures with contrasting tannin contents. Animal Feed Science and Technology, 138, 29-46. doi: 10.1016/j.anifeedsci.2006.11.008 [ Links ]
Suárez, S. J. C., Carulla, F. J. E., & Velásquez, R. J. (2008a). Composición química y digestibilidad in Vitro de algunas especies arbóreas establecidas en el piedemonte Amazónico. Zootecnia Tropical, 26, 231-234. Obtenido de http://sian.inia.gob.ve/repositorio/revistas_ci/ZootecniaTropical/zt2603/pdf/suarez_j2.pdf [ Links ]
Suárez, S. J. C., Ramírez, P. B., & Velásquez, R. J. (2008b). Comportamiento agronómico de cinco especies forrajeras bajo el sistema de corte y acarreo en suelos de terraza y mesón en el piedemonte amazónico colombiano. Zootecnia Tropical, 26, 347-350. Obtenido de http://sian.inia.gob.ve/repositorio/revistas_ci/ZootecniaTropical/zt2603/pdf/suarez_j.pdf [ Links ]
Toledo, M. J., & Schultze-Kraft, R. (1982). Metodología para la evaluación agronómica de pastos tropicales. En J. M. Toledo (Ed.), Manual para la evaluación agronómica (pp. 91-111). Cali, Colombia: Red Internacional de Evaluación de Pastos Tropicales-Centro Internacional de Agricultura Tropical (CIAT). [ Links ]
Van Soest, P. J. (1963). Use of detergents in the analysis of fibrous feeds. II. A rapid method for the determination of fiber and lignin. Journal of the Association of Official Analytical Chemists, 46, 829-835. [ Links ]












