Servicios Personalizados
Revista
Articulo
Indicadores
-
Citado por SciELO -
Accesos
Links relacionados
-
Similares en
SciELO
Compartir
Revista Chapingo serie ciencias forestales y del ambiente
versión On-line ISSN 2007-4018versión impresa ISSN 2007-3828
Rev. Chapingo ser. cienc. for. ambient vol.20 no.2 Chapingo may./ago. 2014
https://doi.org/10.5154/r.rchscfa.2013.04.016
Índice de sitio para plantaciones de Pinus greggii Engelm. En Metztitlán, Hidalgo, México
Site index for Pinus greggii Engelm. Plantations in Metztitlán, Hidalgo, Mexico
Jonathan Hernández-Ramos1*; J. Jesús García-Magaña2; Edgar H. Olvera-Delgadillo3; Juan C. Velarde-Ramírez4; Xavier García-Cuevas1; H. Jesús Muñoz-Flores5
1 Instituto Nacional de Investigaciones Forestales, Agrícolas y Pecuarias (INIFAP), Campo Experimental Chetumal. Carretera Chetumal-Bacalar km 25. C. P. 77000. Chetumal, Quintana Roo, MÉXICO. Correo-e: forestjonathanhdez@gmail.com; hernandez.jonathan@inifap.gob.mx. Tel.: (983) 83 20 167 (*Autor para correspondencia).
2 Universidad Michoacana de San Nicolás de Hidalgo (UMSNH), Facultad de Agrobiología. Paseo de la Revolución núm. 1, col. Emiliano Zapata. C. P. 60080. Uruapan, Michoacán, MÉXICO.
3 Comisión Nacional Forestal (CONAFOR). Av. 4 esquina con Av. 11 s/n, col. Plutarco Elías Calles. C. P. 42035. Pachuca de Soto, Hidalgo, MÉXICO.
4 Asesoría Técnica Forestal (ATF). Calle Aluminio núm. 88, col. Ampliación Revolución. C. P. 60153. Uruapan, Michoacán, MÉXICO.
5 INIFAP. Río Duero núm. 3, col. Manantiales. C. P. 60053. Uruapan, Michoacán, MÉXICO.
Recibido: 10 de abril, 2013
Aceptado: 20 de marzo, 2014
RESUMEN
Los índices de productividad son esenciales en la planeación del manejo forestal sustentable. El índice de sitio es la metodología más utilizada en la clasificación de la calidad de las áreas forestales. Sin embargo, la mayoría de los macizos forestales y plantaciones no cuentan con tal información que apoye la planeación de las actividades silvícolas. Por ello, el objetivo fue estimar el índice de sitio de las plantaciones forestales de Pinus greggii Engelm., establecidas en la parte serrana del municipio de Metztitlán, Hidalgo. Los modelos de Schumacher, Chapman-Richards y Weibull se ajustaron con 233 observaciones de edad-altura provenientes de un análisis troncal. De acuerdo con el valor más bajo del cuadrado medio del error, el valor más alto de R2 y la distribución de residuales, se seleccionó el modelo de Schumacher para la construcción de la curva guía y el sistema de curvas anamórficas y polimórficas. Se establecieron cinco etiquetas de índice de sitio para las alturas 12, 14, 16, 18 y 20 m con calidades de estación V, IV, III, II y I, respectivamente. Se obtuvo buena estimación del crecimiento de la altura dominante en función de la edad, ya que considera todas las condiciones existentes dentro de las plantaciones.
Palabras clave: Calidad de estación, Schumacher, crecimiento, altura dominante, curva guía.
ABSTRACT
Productivity indices are essential to sustainable forest management planning. Site Index is the primary method used to classify the quality of forest sites. However, this information is not available to aid in the planning of silvicultural interventions for most forest stands and plantations. Therefore, the objective was to estimate the site index for forest plantations of Pinus greggii Engelm., which were already established in the mountainous region of the municipality of Metztitlán, Hidalgo. Schumacher, Chapman-Richards and Weibull functions were fitted to 233 age-height data pairs obtained from stem analysis. Based on the lowest value of the mean square error, the highest R2 value and the distribution of residuals, the Schumacher model was selected for the construction of the guide curve and the families of anamorphic and polymorphic curves. Five site index labels were established for heights of 12, 14, 16, 18 and 20 m with site qualities of V, IV, III, II and I, respectively. A good representation of dominant height growth as a function of age was achieved given that all conditions existing within the plantations were considered in the models.
Keywords: Site quality, Schumacher model, growth, dominant height, guide curve.
INTRODUCCIÓN
La clasificación de áreas forestales, de acuerdo con su productividad, es indispensable en la planeación del manejo sostenible de los recursos forestales. El índice de sitio (IS) es el indicador más utilizado como medida de productividad forestal, por representar la máxima capacidad de cosecha de madera de un bosque en un tiempo determinado (Álvarez, Barrio, Diéguez, & Rojo, 2004; Cornejo, Pereyra, Mares, Valencia, & Celestino, 2005; Madrigal, Moreno, & Vázquez, 2005; Torres, 2001). En la estimación de la productividad de las áreas se pueden considerar factores intrínsecos (interacción de variables de la masa con la edad) o factores extrínsecos (clima, suelo y vegetación). Los primeros son, a través de la altura dominante, los más adecuados para el cálculo del IS, debido a la baja afectación por la densidad o los tratamientos silvícolas aplicados (Álvarez et al., 2004; De los Santos-Posadas, Montero-Mata, & Kanninen, 2006). Las metodologías para el cálculo del IS han evolucionado en los últimos años; antes se utilizaban modelos de crecimiento lineales simples ahora se emplean modelos exponenciales complejos (Rodríguez-Acosta & Arteaga-Martínez, 2005), y las familias de curvas anamórficas y polimórficas que se utilizaban individualmente ahora se han integrado para mejorar la calidad de las estimaciones de crecimiento (Torres, 2001).
En la búsqueda de una producción forestal sustentable se han ocasionado cambios importantes en las prácticas de manejo forestal (Madrigal et al., 2005) y se ha fomentado el establecimiento de plantaciones. Por ello, es inminente la necesidad de incorporar herramientas silvícolas confiables que permitan al administrador forestal tomar decisiones que orienten el manejo y aprovechamiento a la sustentabilidad. Actualmente, la falta de información sobre el potencial productivo de los terrenos forestales del estado de Hidalgo y las pocas herramientas silvícolas para cada una de las especies bajo aprovechamiento han ocasionado la sobreexplotación, el mal manejo y el deterioro de los recursos forestales debido a la mala planeación de las actividades silvícolas en los programas de manejo forestal (PMF). De igual forma, lo anterior provoca que las plantaciones forestales no alcancen el máximo rendimiento maderable y, por consiguiente, la tasa de retorno de la inversión se prolongue.
Debido a la importancia del cálculo del IS para la planeación de las actividades de aprovechamiento forestal, en el afán de un manejo sustentable de los recursos, se planteó el objetivo de estimar el IS para plantaciones forestales de Pinus greggii Engelm., establecidas en la parte serrana del municipio de Metztitlán, Hidalgo. Los resultados de este trabajo formarán parte de las herramientas de planeación para los administradores forestales en las actividades de aprovechamiento, manejo y extracción de los recursos maderables en la región.
MATERIALES Y MÉTODOS
Área de estudio
El área de estudio se ubica en el ejido de Fontezuelas, municipio de Metztitlán, Hidalgo, a una altitud que oscila entre los 2,000 y 2,500 m. El clima es tipo semiseco (de acuerdo con la clasificación de Köppen modificada por García [1988]) con clave climática BS1 Kw1 y los suelos son de tipo Feozem háplico y Regosol eútrico (Instituto Nacional de Estadística Geográfica e Informática [INEGI], 1992).
Se colectaron 25 árboles de plantaciones de P. greggii provenientes de 65 ha, los cuales se sometieron a un análisis troncal; se seleccionaron árboles dominantes, distribuidos en todas las condiciones de crecimiento de la especie. Los datos obtenidos se ordenaron por categoría de edad.
La información se procesó con el paquete estadístico SAS 9.0 (Statistical Analysis System [SAS], 1992) y se probaron los modelos de crecimiento de Schumacher, Chapman-Richards y Weibull para ajustar una ecuación no lineal con el fin de predecir la altura dominante en función de la edad. El modelo de mejor ajuste se seleccionó considerando el valor más bajo del cuadrado medio del error (CME), el valor máximo del coeficiente de determinación (R2) y la distribución de residuales.
Modelo de crecimiento de Schumacher: 
Modelo de crecimiento de Chapman-Richars: 
Modelo de crecimiento de Weibull: 
Donde:
H = Altura dominante (m).
A = Edad (años).
β's = Parametros de estimación.
Para verificar el cumplimiento de los supuestos de la regresión, se realizó la prueba de Shapiro-Wilk (P = 0.05). Además, las frecuencias relativas y acumuladas de los residuos se representaron gráficamente y se localizaron las formas para parecerse a una línea recta con respecto a la probabilidad de una distribución normal y las parcelas de sus porcentajes se localizaron para parecerse a una curva de Gauss (SAS, 1992).
Para el desarrollo de la familia de curvas de crecimiento en altura se llevó acabo según la metodología de la curva guía, que consistió en ajustar los datos para los tres modelos de crecimiento y armonizar la curva con la edad de referencia (Barreto-Medel, Frederic, Nepveu, y Álvarez-Lazo, 2011; Crechi, Fassola, Keller, y Barth, 2011; García, Flores, y Benavides, 2007; Jerez-Rico, Moret-Barillas, y Carrero-Gámez, 2011; Montero y Kanninen, 2003).
En el Cuadro 1 se muestran los tres modelos de crecimiento (Schumacher, Chapman-Richards y Weibull) utilizados para el cálculo de la altura dominante del IS, familia de curvas y calificación de IS en sus formas anamórficas y polimórficas. Las familias de curvas anamórficas y polimórficas se construyeron despejando los parámetros de escala o de forma de la ecuación generada, ya que éstos determinan el tipo de familias de curvas. Para las curvas anamórficas, el parámetro asintótico se despejó de la ecuación de IS y se sustituyó en la ecuación original, considerando el valor asintótico implícito y los parámetros de forma comunes. Las curvas se generaron variando la edad y el IS, y manteniendo constante la edad base (Andenmatten & Letourneau, 2000; García, Parraguirre, & Rodríguez, 1992; Mares, Cornejo, Valencia, & Flores, 2004; Sánchez & Castillo, 2001). Para graficar la familia de curvas polimórficas y calificar el IS de las plantaciones, se despejó β1 (parámetro dependiente del sitio) para obtener las expresiones del Cuadro 1. En este caso se consideró que el valor asintótico es constante para todos los sitios y lo que varió fue la velocidad de crecimiento.
RESULTADOS Y DISCUSIÓN
Como resultado del análisis troncal, se obtuvieron 233 pares de datos de altura dominante y edad de 25 árboles dominantes de P. greggii, en donde las edades en la masa fluctuaron de 3 a 28 años. En la Figura 1 se muestra la representación gráfica de tal información.
Como resultado del análisis de varianza de los tres modelos utilizados, en el Cuadro 2 se observan los estadísticos de ajuste y los parámetros estimados para los datos de edad-altura dominante de P. greggii.
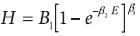
Comparando la bondad de ajuste de los modelos utilizados, la ecuación de Schumacher resultó ser la mejor de acuerdo con los valores del CME, R2 y la distribución de residuales. Al verificar el cumplimiento de los supuestos de regresión con la prueba de Shapiro-Wilk, se obtuvo que hay normalidad de los errores en el modelo (W = 0.985466). Además, los residuales se comportaron como una línea recta respecto de la distribución normal y los porcentajes se asemejaron a una campana de Gauss (Figura 2).
La ecuación de Shumacher quedó de la siguiente manera:

Definiendo la edad base en 30 años (E0), se obtuvo la siguiente expresión para el cálculo del índice de sitio (IS):

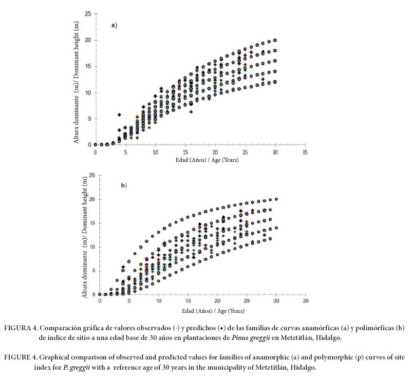
Definida la edad base y la tendencia de la curva guía con la ecuación anterior, se decidió utilizar cinco etiquetas de IS correspondientes a los 12, 14, 16, 18 y 20 m. Las familias de curvas anamórficas y polimórficas se construyeron sustituyendo los valores en la ecuación en su forma respectiva, como se muestra a continuación:
Forma anamórfica: 
Forma polimórfica: 
En la Figura 3 se observan las familias de curvas de índice de sitio de tipo anamórficas y polimórficas, las cuales permiten clasificar las plantaciones de acuerdo con su potencial de productividad, permitiendo diferenciar con claridad la calidad de estación de las mismas.
El sistema de ecuaciones representado en la Figura 3 expresa la calidad de sitio para la altura dominante en plantaciones de P. greggii. Además, la tendencia de crecimiento de las curvas es similar a lo encontrado para otras especies de Pinus (Cornejo et al.,2005; Madrigal et al.,2005; Mares et al.,2004; Rodríguez & Arteaga, 2005; Sánchez & Castillo, 2001; Vargas-Larreta, Álvarez-González, Corral-Rivas, & Aguirre-Calderón, 2010).
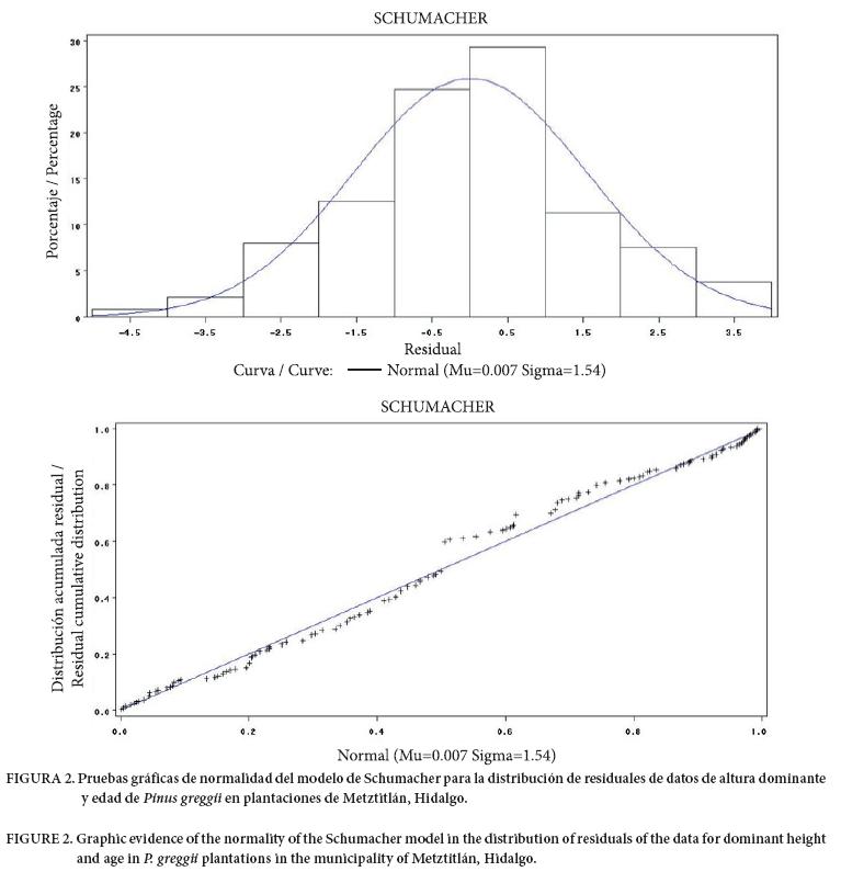
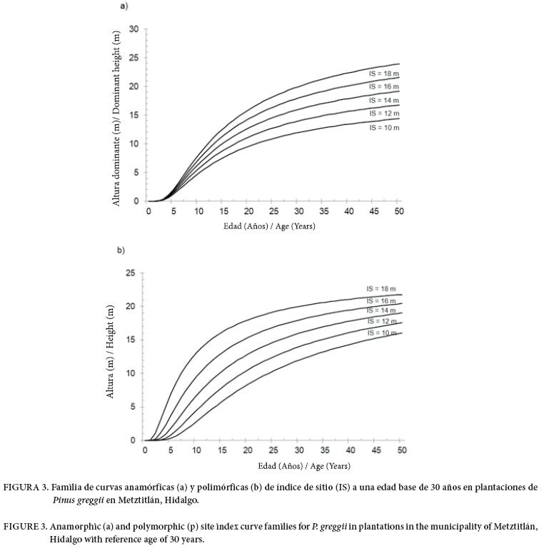
Las familias de curvas se compararon con base en la fidelidad con que se representaban los valores observados. En la Figura 4a se observa que las curvas anamórficas de IS estimadas cubren la tendencia del intervalo de dispersión de los datos, lo que demuestra que el método propuesto es adecuado para el objetivo del trabajo. En el caso de la familia de curvas polimórficas (Figura 4b) se observa que a edades menores, las curvas sobrestiman, mientras que a edades mayores, las curvas generadas para clases de IS altas tienden a subestimar los valores observados.
A partir de la curva guía, la edad base definida en 30 años y las cinco curvas en los IS, establecidas en 12, 14, 16, 18 y 20 m, se pudo elaborar el sistema de curvas anamórficas y polimórficas que representan el crecimiento y productividad de las áreas a través de la altura dominante de P. greggii, tal como lo mencionan Gómez-Tejero, De los Santos-Posadas, Fierros-González, y Valdez-Lazalde (2009).
CONCLUSIONES
El modelo de Schumacher fue el de mejor ajuste de los datos de edad-altura dominante, por lo que fue el más apropiado para describir el crecimiento en altura de P. greggii en función de la edad. Las curvas polimórficas generadas sobrestiman el crecimiento en altura de los árboles de los rodales con índice de sitio de mayor calidad a edades tempranas, y subestiman dicho crecimiento en calidades de sitio pobres. Las familias de curvas anamórficas representan el intervalo de dispersión de los valores con mayor fidelidad, por lo que son las adecuadas para calificar el índice de sitio de plantaciones forestales de P. greggii en el municipio de Metztitlán, Hidalgo. El modelo de Schumacher puede utilizarse para construir curvas de índice de sitio en la región del municipio de Metztitlán, Hidalgo, y las ecuaciones generadas deberán aplicarse dentro del intervalo de las variables dimensionales y las edades consideradas en el estudio. Por otro lado, si esta información de índice de sitio desea utilizarse en un intervalo más amplio será necesaria la validación de los datos presentados.
REFERENCIAS
Álvarez, G. J., Barrio, A. M., Diéguez, A. U., & Rojo, A. A. (2004). Metodología para la construcción de curvas de calidad de estación. Cuadernos de la Sociedad Española de Ciencias Forestales, 18(1), 303-309. Obtenido de http://www.secforestales.org/web/images/stories/c18.pdf [ Links ]
Andenmatten, E., & Letourneau, F. (2000). Curvas de índice de sitio y crecimiento en altura para Pinus ponderosa (Dougl.) Law, de aplicación en la región Andino Patagónica de Chubut y Río Negro, Argentina. Secretaría de Agricultura, Ganadería, Pesca y Alimentación, Instituto Nacional de Tecnología Agropecuaria. Obtenido de http://inta.gob.ar/ [ Links ]
Barreto-Medel, H., Frederic, M., Nepveu, G., & Álvarez-Lazo, C. D. (2011). Curvas anamórficas de índice de sitio para plantaciones de Pinus caribea Morelet var. Caribea Barret y Golfari de la empresa forestal integral MACURIJE (IFI) en la provincia de Pinar del Río, Cuba. Revista Chapingo Serie Ciencias Forestales y del Ambiente, 17(2), 245-252. doi: 10.5154/r.rchscfa.2010.06.035 [ Links ]
Cornejo, O. E. H., Pereyra, G. J. A., Mares, A. O., Valencia, M. S., & Celestino F. L. (2005). Índice de sitio para Pinus montezumae Lamb. en la región de Cd. Hidalgo, Michoacán. Revista Fitotecnia Mexicana, 28(3), 213-219. Obtenido de http://www.redalyc.org/articulo.oa?id=61028305 [ Links ]
Crechi, E. H., Fassola, E. H., Keller, A. E., & Barth S. R. (2011). Desarrollo de funciones de índice de sitio para Eucalyptus grandis cultivado en la Mesopotamia Argentina. Revista de Investigación Agropecuaria, 37(3), 238-248. Obtenido de http://dialnet.unirioja.es/servlet/articulo?codigo=3959721 [ Links ]
De los Santos-Posadas H. M., Montero-Mata, M., & Kanninen, M. (2006). Curvas dinámicas de crecimiento en altura dominante para Terminalia amazónica (Gmel.) Excell en Costa Rica. Agrociencia, 40(1), 521-532. Obtenido de http://www.colpos.mx/agrocien/Bimestral/2006/jul-ago/art-11.pdf [ Links ]
García, E. (1988). Modificaciones al sistema de clasificación climática de Köppen. México: Offset Larios. [ Links ]
García, C. X., Flores, G. J. G., & Benavides, S. J. D. (2007). Índice de sitio para Cedrela odorata L. (Cedro Rojo) en Quintana Roo. Ciencia Forestal en México, 4(32), 101-148. Obtenido de http://revistas.inifap.gob.mx/index.php/Forestales/article/view/1184/1182 [ Links ]
García, C. X., Parraguirre, C., & Rodríguez, B. (1992). Modelos de crecimiento para una plantación de caoba (Swietenia macrophylla King). Revista Ciencia Forestal en México, 17(71), 87-102. Obtenido de http://revistas.inifap.gob.mx/index.php/Forestales/article/view/1184/1182 [ Links ]
Gómez-Tejero, J., De los Santos-Posadas, H. M., Fierros-González, A. M., & Valdez-Lazalde, J. R. (2009). Modelos de crecimiento en altura dominante para Eucalipto grandis Hill ex Maiden y E. urophylla S. T. Clake en Oaxaca, México. Revista Fitotecnia Mexicana, 32, 161-169. Obtenido de http://www.redalyc.org/articulo.oa?id=61011222011 [ Links ]
Instituto Nacional de Estadística Geográfica e Informática (INEGI). (1992). Síntesis geográfica del estado de Hidalgo. México, D. F.: Autor. [ Links ]
Jerez-Rico, M., Moret-Barillas, A. Y., & Carrero-Gámez, O. E. (2011). Curvas de índice de sitio basadas en modelos mixtos para plantaciones de Teca (Tectona grandis L.f.). Agrociencia, 45(1), 135-145. Obtenido de http://scielo.unam.mx/pdf/agro/v45n1/v45n1a12.pdf [ Links ]
Madrigal, H. S., Moreno, C. J., & Vázquez, C. I. (2005). Comparación de dos métodos de construcción de curvas de índice de sitio para Pinus pseudostrobus Lindl. Región Hidalgo-Zinapécuaro, Michoacán. Revista Ciencia Nicolaita, 40(1), 157-172. Obtenido de http://www.cic.umich.mx/documento/ciencia_nicolaita/2005/40/Cn40-157.pdf [ Links ]
Mares, A. O., Cornejo, O. E. H., Valencia, M. S., & Flores L. C. (2004). Índice de sitio para Pinus herrerai Martínez en Cd. Hidalgo, Michoacán. Revista Fitotecnia Mexicana, 27(1), 77-80. Obtenido de http://www.revistafitotecniamexicana.org/documentos/27-1%20Especial%201/16r.pdf [ Links ]
Montero, M., & Kanninen, M. (2003). Índice de sitio para Terminalia amazonia en Costa Rica. Agronomía Costaricense, 23(1), 29-35. Obtenido de http://www.redalyc.org/articulo.oa?id=43627103 [ Links ]
Rodríguez-Acosta, M., & Arteaga-Martínez, B. (2005). Índice de sitio para Pinus chiapensis (Martínez) Andresen, en los estados de Veracruz y Puebla, México. Revista Chapingo Serie Ciencias Forestales y del Ambiente, 11(1), 39-44. Obtenido de http://www.redalyc.org/articulo.oa?id=62911106 [ Links ]
Sánchez, V. N. M., & Castillo, S. R. F. (2001). Calidad de estación para Pinus chiapensis (Mart.) Andresen en el Rincón, Oaxaca, México. Revista Forestal Veracruzana, 3(2), 9-12. Obtenido de http://www.redalyc.org/articulo.oa?id=49703202 [ Links ]
Statistical Analysis System (SAS). (1992). SAS/STAT User's Guide. Release 6.03 ed. Cary, NC, USA: SAS Institute Inc. [ Links ]
Torres, R. J. M. (2001). Curvas de índice de sitio de forma y escala variable en investigaciones forestales. Revista Agrociencia, 35(1), 87-98. Obtenido de http://www.colpos.mx/agrocien/Bimestral/2001/ene-feb/art-8.pdf [ Links ]
Vargas-Larreta, B., Álvarez-González, J. G., Corral-Rivas, J. J., & Aguirre-Calderón, A. (2010). Construcción de curvas dinámicas de índice de sitio para Pinus cooperi Blanco. Revista Fitotecnia Mexicana, 33(4), 343-351. Obtenido de http://www.redalyc.org/articulo.oa?id=61015520008 [ Links ]













