Servicios Personalizados
Revista
Articulo
Indicadores
-
Citado por SciELO -
Accesos
Links relacionados
-
Similares en
SciELO
Compartir
Revista Chapingo serie ciencias forestales y del ambiente
versión On-line ISSN 2007-4018versión impresa ISSN 2007-3828
Rev. Chapingo ser. cienc. for. ambient vol.18 no.2 Chapingo may./ago. 2012
https://doi.org/10.5154/r.rchscfa/2010.08.049
Producción, pérdida de peso y tasas de descomposición de hojarasca en cafetales tradicional y rústico, y selva mediana, en Veracruz, México
Production, weight loss and descomposition rates of leaf litter in traditional and rustic coffee systems and medium tropical forest in Veracruz, Mexico
Luis VillavicencioEnríquez
University of Bangor, Wales. Correoe: luvienz@yahoo.com
Recibido: 11 de agosto, 2010
Aceptado: 16 de abril, 2012
RESUMEN
Se realizó un estudio para analizar la producción, pérdida de masa y tasa de descomposición de hojarasca en parcelas agroforestales con Sistema Tradicional de Café (STC), Sistemas Rústico de Café (SRC) y Selva mediana subperennifolia (Smsp), en San Miguel, Veracruz, México. En cada sistema se establecieron tres cuadrantes al azar (1000 m2). La colecta de hojarasca producida por el dosel se realizó cada 15 días, durante un año calendario. La descomposición de la hojarasca se evaluó en bolsas de polietileno que contenían10 g (peso seco) de las especies dominantes y una mezcla representativa por sistema. Las bolsas se colectaron en siete fechas durante 352 días. La tasa de descomposición (k) fue alta para Piper hispidum y para la hojarasca en SRC, en todas las fechas de muestreo, indicando un posible efecto del microclima o de la calidad de hojarasca. Las k menores se obtuvieron en Robinsonella mirandae/Coffea arabica y Mastichodendron capirii, en STC y Smsp. El resto de hojarascas mostraron tasas medianas de descomposición; R. mirandae no mostró diferencias entre sistemas. El estudio demostró la importancia de la producción y calidad de hojarasca, así como de los factores medioambientales, en la descomposición, en los sistemas de estudio.
Palabras clave: Agroforestería, ecología forestal, descomposición de materia orgánica, producción primaria.
ABSTRACT
A study was conducted to analyze production, mass loss and decomposition rates of leaf litter in agroforestry plots with traditional coffee system (TCS), rustic coffee system (RCS) and medium tropical forest (mtf), in San Miguel, Veracruz, Mexico. In each system, three quadrants were randomly established (1000 m2). The collection of leaf litter produced by the canopy was performed every 15 days, during a calendar year. Leaf litter decomposition was evaluated in litterbags containing 10 g (dry weight) of the dominant species and a representative mixture per system. Litterbags were collected on seven dates during 352 days. The decomposition rate (k) was high for Piper hispidum and leaf litter in RCS, in all sampling dates, indicating a possible effect of microclimate or quality of leaf litter. The lowest k values were obtained in Robinsonella mirandae/Coffea arabica and Mastichodendron capirii, in TCS and mtf. The rest of the leaf litter showed average rates of decomposition; Robinsonella mirandae showed no differences among systems. The study demonstrates the importance of leaf litter quality and production, and the environmental factors in the decomposition of the study systems.
Key words: Agroforestry, forest ecology, organic matter decomposition, primary production.
INTRODUCCIÓN
La producción primaria neta (PPN) es un proceso básico en los ecosistemas terrestres. En él se establece el vínculo entre la descomposición orgánica y los procesos de ciclaje de nutrientes, que es la ruta más importante de transferencia de energía dentro del ecosistema (Aerts & De Caluwe, 1997; ÁlvarezSánchez, 1995; ÁlvarezSánchez & Guevara, 1993; Meentemeyer, Box, & Thompson, 1982). La NPP se distribuye de cuatro formas: 1) se almacena como biomasa (incluyendo las raíces), 2) se segrega de materia orgánica soluble, 3) se consume por animales e insectos y 4) se deposita como hojarasca en el suelo. La producción anual de cantidades grandes de hojarasca es característica de ecosistemas tropicales, particularmente, en las selvas perennifolias y subperennifolias. También se caracterizan por la heterogeneidad de la hojarasca que está influida por la cantidad, calidad y estacionalidad (Burghouts, Ernsting, Korthals, & De Vries, 1992).
Usualmente, la descomposición se mide como la pérdida de peso a través del tiempo. Algunos factores considerados en la descomposición de materia orgánica son la influencia de microorganismos descomponedores, emanación de CO2, fraccionamiento isotópico y enriquecimiento de 13C en los perfiles del suelo (Bjorn & Comstedt, 2007). La mayoría de los estudios sobre la descomposición en selvas y bosques, se han centrado en los componentes aéreos del árbol, como el follaje (Melillo et al., 1989; Proctor, 1983; Sundarapandiam & Swamy, 1999), cortezas, ramas y madera (Harmon, Whigham, Sexton, & Olmsted, 1995).
Para Aerts (1997) existen tres factores de importancia que controlan los procesos de descomposición en los ecosistemas: el clima, la calidad del recurso y las colonias de microorganismos descomponedores. Estos microorganismos se consideran el factor principal en las zonas con condiciones climáticas extremas (Bjorn & Comstedt, 2007; Couteaux, Bottner, & Berg, 1995; Melillo et al., 1993; Swift, Heal, & Anderson, 1979; Zhou et al., 2008). Teóricamente, la hojarasca se compone de una fracción lábil de azúcares y proteínas que se descompone con rapidez, y de otra fracción más recalcitrante, formada de lignina, fenoles, celulosa y hemicelulosa que se descomponen lentamente (Binkley, 1986).
Dos etapas básicas están involucradas en el proceso de descomposición. La primera implica la fragmentación física y química que sufre la materia orgánica por medio de herbívoros pequeños, insectos y otros organismos. Posteriormente, los microorganismos como bacterias y hongos reducen aún más la materia. Ésta se mineraliza en moléculas orgánicas básicas como amonio, fosfato, dióxido y agua, que permanecen disponibles para las plantas y microorganismos o que pueden ser lixiviados fuera del sistema. La segunda etapa en el proceso de descomposición es el catabolismo, donde la materia orgánica se divide en partes todavía más pequeñas, a través de procesos químicos (Aerts, 1997; Swift & Anderson, 1989). Una vez fragmentada la hojarasca, sus componentes se mezclan con el resto del sustrato en el suelo, y los componentes más lábiles como el N, P y fenoles son lavados por la acción del agua, principalmente. Estos influyen en la primera etapa del proceso de descomposición, cuando la mineralización y la humificación ocurren; después, otros compuestos más resistentes como la lignina, fenoles y taninos actúan como principales agentes para desacelerar el proceso de descomposición. Las primeras etapas de descomposición se ven fuertemente influidas por el clima, las concentraciones de nutrientes solubles en agua y carbohidratos estructurales en hojarasca, mientras que las últimas etapas de la descomposición por la concentración de lignina (Berg, 2000). El modelo más utilizado para describir el proceso de descomposición ha sido el exponencial sencillo o negativo (Jenny, Gessei, & Bingham, 1949), al igual que en estudios realizados en los trópicos (ÁlvarezSánchez & BecerraEnriquez, 1996; Cuevas & Medina, 1988; Frangi & Lugo, 1985; Gong & Ong, 1983; Harmon et al., 1995; Landsberg & Gower, 1997; Saldarriaga, 1994; Songwe, Okali, & Fesehun, 1995).
En México, en los estudios de descomposición de hojarasca se ha utilizado el método de bolsas para descomposición (litterbags) o la observación directa de la pérdida de peso en campo. Tales estudios se han realizado en ecosistemas como: selva baja caducifolia (MartínezYrizar, 1980; 1984), selva caducifolia secundaria (XulucTolosa, Vester, RamírezMarcial, CastellanosAlbores, & Laurece, 2003), zonas áridas (Maya & Arriaga, 1996; Montaña, Ezcurra, & Carrillo,1988), bosques templados (Ezcurra & Becerra, 1987), bosque de pinoencino y pastizales (Montaña et al., 1988), selva alta perennifolia (ÁlvarezSánchez & Guevara, 1993) y selva mediana subperennifolia (Harmon et al., 1995). Este estudio se realizó con el objeto de estudiar la influencia de los procesos básicos de producción y descomposición de hojarasca en cafetales tradicionales y rústicos, y selva mediana subperennifolia, para el funcionamiento y manejo de estos sistemas.
MATERIALES Y MÉTODOS
El municipio de Amatlán de los Reyes está situado en la latitud 18° 51' N y longitud 96° 55' O, a una altitud de 830 m, con una superficie total de 148,88 ha. La precipitación media anual es de 1,913 mm y la temperatura media anual de 23.5 °C. El clima es semicálido húmedo con lluvias en verano (A)C (m) a (i')g (García, 1987). Los suelos se clasifican como vertisoles y rendzinas con un pH de 6.0 (Food and Agriculture Organization [FAO], 2007).
Se establecieron tres cuadrantes (100 m2) representativos para cada uno de los siguientes sistemas agroforestales: 1) Sistema Tradicional de Café (STC), 2) Sistema Rústico de Café (SRC) y 3) Sistemas de selva mediana subperennifolia (Smsp). En cada sitio se colocaron aleatoriamente tres trampas de red de polietileno (abertura de 1 cm) con forma de embudo para colecta de hojarasca (1 m2). Las trampas se colocaron a una altura aproximada de 50 cm del suelo, para evitar daños por microorganismos o por humedad al permitir un flujo mayor de aire (Swift et al., 1979).
La hojarasca fresca se colectó cada 15 días durante un año calendario (2006). Cada colecta se procesó separando el material que no fuera hojarasca y aquél dañado por microorganismos, insectos o animales; también de acuerdo con las especies dominantes y otras. La hojarasca se limpió manualmente con agua destilada y se secó por 48 h en un horno a 60 °C. La producción de peso seco (kg·ha1) se midió por sistema, por especies dominantes y otras (Anderson & Ingram, 1989; Palm & Rowland, 1997). Para medir la descomposición se prepararon 252 bolsas de polietileno de 10 x 10 cm y 1 mm de apertura de malla, para permitir la entrada de microorganismos y humedad (Swift et al., 1979). Las bolsas se llenaron con un peso seco de 10 g de hojarasca de las especies dominantes y mezclas representativas por sistema (Cuadro 1).
Las series de bolsas se colocaron en los sitios a nivel del suelo. Éstas se recolectaron durante los intervalos de muestreo, los días 1, 11, 22, 44, 88, 176 y 352. En cada muestreo, el material restante en las bolsas con hojarasca se procesó para obtener el peso seco por medio de limpiado y secado en estufa (48 h a 60 °C) (Palm & Rowland, 1997). La pérdida de peso se determinó con el modelo exponencial simple:
Wt = W0 ekt
Donde W0 y Wt son el peso al inicio del experimento y después del tiempo t (años), respectivamente; k es la constante de la tasa de descomposición.
La constante k se calculó de acuerdo con la fórmula de Olson (1963):
Ln (x0 / xt) = kt
Donde x0 es el peso original de la hojarasca, xt es el peso remanente en el momento t.
El análisis de los datos se realizó con ANDEVA univariadas y regresiones simples, para determinar la correlación entre la pérdida de peso y la calidad de hojarasca (Steel & Torrie, 1986).
RESULTADOS Y DISCUSIÓN
Los resultados de la producción total de hojarasca (Cuadro 2) muestran que en el STC se obtuvo la producción mayor a lo largo del año con 9,121.45 t·ha1·año1, seguido por Smsp y SRC con 8,190.03 y 5,752.66 t·ha1·año1, respectivamente. Estos resultados son similares a los reportados por Didham (1998) en rangos de bosque continuo, donde la producción de hojarasca fue de 6,196 a 7,948 kg·ha1·año1, y a los de McDonald y Healey (2000), quienes reportaron una media de producción de hojarasca de 9,319 kg·ha1·año1 en selva tropical secundaria en Jamaica. También concuerdan con la revisión realizada por Proctor, Anderson, Fogden, y Vallack (1983), la cual muestra medias similares de producción de hojarasca en otros bosques tropicales.
El peso promedio total de hojarasca recogida en el STC fue 9,121.50 kg·ha1·año1. Las especies dominantes fueron Cecropia obtusifolia (27.6 %), Heliocarpus appendiculatus (18.2 %) y R. mirandae (14.1 %). El total de hojarasca colectada en el SRC fue 5,752.7 kg·ha1·año1, y las especies con mayor producción fueron R. mirandae (14.3 %), H. appendiculatus (13.5 %), Stemmaldenia donellsmithii y Croton officinalis (11.3 %). El total de hojarasca colectada en Smsp fue 8,190 kg·ha1·año1, con C. officinalis (27.5 %), Syderoxylon capiri (17.4 %), P. hispidum (1.9 %) y R. mirandae (10.2 %) como principales especies productoras (Cuadro 2). C. arabica tuvo un pequeño aporte de hojarasca en el STC y SRC, similar al encontrado por Beer (1988).
La producción mayor de hojarasca se obtuvo durante la época seca (enero a mayo). Una segunda temporada de producción se estableció al final de la época de lluvias, en el mes de noviembre (Figura 1) y coincide con la temporada de huracanes en el golfo de México Los cambios en la producción de hojarasca pueden ser un efecto de la fenología de las especies y la estacionalidad climática. Estos resultados son similares a los mostrados por ÁlvarezSánchez y Guevara (1993).
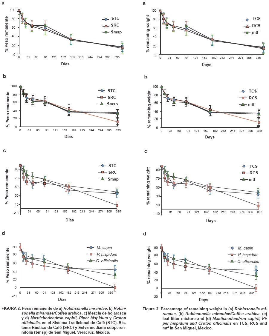
Pérdida de peso de la hojarasca a través del tiempo
La pérdida de peso de la hojarasca durante la estación seca (enero a junio), mostró patrones característicos de la primera fase de descomposición con una pérdida acelerada de peso y una consecuente desaceleración durante la temporada de lluvias (de julio a diciembre). En todos los sistemas R. mirandae se descompuso rápidamente durante los primeros 176 días, casi de forma lineal. Sin embargo, mostró un ritmo mucho más lento durante los últimos 176 días con un porcentaje de peso restante de 14 a 16 % y sin diferencias en la pérdida de peso entre los sistemas (Figura 2a). La pérdida de peso promedio durante la estación seca (0 a 176 días) fue de 65 % y durante la temporada de lluvias (176 a 352 días) 17 % más. No hubo diferencias significativas entre los sistemas y sus réplicas. Se observaron tendencias similares de las tasas de descomposición en las bolsas que contenían R. mirandae/C. arabica y la hojarasca mezclada (Figura 2b y 2c). Durante los primeros 176 días se observó una pérdida rápida de peso y una tasa de descomposición de peso seco remanente más lenta en el STC (34.7 y 39.3 %) y Smsp (43.3 y 33.3 %). En el SRC, los pesos restantes en R. mirandae/C. arabica y la Mezcla de hojarasca siguieron la misma tendencia en los primeros 176 días, pero mostraron diferencias en pérdida de peso a los 352 días con un peso restante de tan sólo 8 % (la pérdida mayor de peso) y 12.7 %, respectivamente, para cada especie.
La pérdida de peso en las bolsas con R. mirandae/C. arabica fue de 55 a 62 %; no mostraron diferencias durante la estación seca en los tres sistemas. En cambio, durante la temporada de lluvias se observó la pérdida mayor de peso, 87 % en SRC, en comparación con 67 % de pérdida en la última fecha de muestreo (día 352) para STC y Smsp (Figura 2b).
En el STC, la especie dominante M. capirii (Figura 2d) mostró la pérdida menor de peso (44.7 % peso restante), seguido por C. officinalis en Smsp (30.7 %) y P hispidum en SRC (0.7 %). La Mezcla de hojarasca mostró patrones diferentes de pérdida en los tres sistemas, siguiendo el orden de STC > Smsp > SRC con pérdidas de 60, 64 y 92 %, respectivamente. Esto puede deberse a las diferencias en las calidades de hojarasca contenidas en las bolsas. La pérdida de peso en hojarasca de especies dominantes del sistema siguió diferentes patrones. M. capirii y C. officinalis tuvieron pérdidas aproximadas de 55 % durante la estación seca y no registraron más pérdidas durante la temporada de lluvias. Tal vez, durante los primeros 176 días, M. capirii y C. officinalis perdieron la mayor parte de sus compuestos solubles y nutrientes que servían como alimento para colonias de descomponedores, debido a factores del ambiente. Por su parte, P. hispidum perdió alrededor de 65 % de peso seco durante la estación seca y el 100 % al final del experimento.
En todos los sistemas, el peso seco restante varió en el siguiente orden de magnitud: R. mirandae > R. mirandae/C. arabica > Mezcla de hojarasca > Especies dominantes (P. hispidum > C. officinalis > M. capirii). La pérdida inicial de peso relativo varió significativamente entre las mezclas de especies y sistemas, pero no entre repeticiones. Cecropia obtusifolia y otras especies como Dipholis minutiflora, Cordia alliodora, Malinkara zapota y M. capirii, tienen hojas grandes y desarrollan una cutícula cerosa y gruesa que puede resistir a la descomposición. Por su parte, otras especies como Inga spp., tienen un ritmo más rápido de descomposición debido a que carecen o tienen capas menores de cutícula que las especies mencionadas.
Variación en las tasas de descomposición de la hojarasca (k) a través del tiempo
Los coeficientes de la tasa de descomposición (k) para todas las especies variaron de 0.1278 (R. mirandae/C. arabica, en Smsp) a 3.912 (P. hispidum). Los valores de k fueron comparativamente mayores en toda la hojarasca probada, en los últimos 176 días de incubación. La k anual estimada fue ligeramente superior en R. mirandae (Figura 3a) que en R. mirandae/C. arabica (Figura 3b); los valores más bajos se obtuvieron en la Mezcla de hojarasca (Figura 3c) y en M. capirii y C. officinalis (Figura 3d). Los valores de R. mirandae oscilaron entre 0.05 y 3.912 (días 11 y 352, respectivamente), y para R. mirandae/C. arabica variaron de 0.1278 a 3.912 (día 11 y 352, en el mismo orden).
En el SRC, el valor más bajo se registró en la Mezcla de hojarasca al inicio del experimento y se mantuvo así la mayor parte del tiempo, oscilando alrededor de 0.1508 (día 11) (Figura 3c). M. capirii registró el valor mayor al inicio del experimento (1.1054) y se conservó igual durante la estación seca (primeros 176 días), aunque al comienzo de la temporada de lluvias los índices de descomposición fueron menores a 1.0788. Las k mayores se registraron después del día 22 del experimento (Figura 3d), lo cual muestra, cómo la primera fase de descomposición tuvo un efecto mayor en la descomposición de hojarasca. C. officinalis (Figura 3c) mostró la k menor al inicio del experimento y se mantuvo constante durante la mayor parte del experimento. Las tasas medias de descomposición de P. hispidum registraron 0.301 g, en promedio, durante los primeros 11 días, y los valores más altos, así como la pérdida mayor de peso seco (3.912 g) se presentaron al final del experimento (Figura 3d).
Los cambios en k de las hojarascas no siguieron la misma tendencia en todos los sistemas (Figura 3). La mayoría de las curvas de R. mirandae en el STC y Smsp; R. mirandae/C. arabica en el STC, SRC y Smsp; la Mezcla de hojarasca en el STC y SRC; y las de P. hispidum, mostraron un incremento rápido, seguido por una disminución en la descomposición a través del tiempo. En cambio, las curvas de R. mirandae en el SRC, la Mezcla de hojarasca en Smsp, y M. capirii fueron asintóticas, lo que prueba que no hubo mayor incremento en k, después de 200 días. En la hojarasca de C. officinalis (hojarasca de baja calidad), k se incrementó en un inicio, para disminuir rápidamente después de 200 días; la curva presentó forma de cúpula. Las formas diferentes en las curvas y los valores desiguales en los coeficientes de regresión, indicaron los diferentes cambios en k de la hojarasca para cada sistema.
El ANDEVA mostró que las tasas de descomposición de la hojarasca no variaron significativamente entre las repeticiones de cada sistema, pero sí entre la hojarasca, los sistemas y el tiempo de muestreo. Todas las ecuaciones polinomiales de regresión fueron altamente significativas (P < 0.01) (Cuadro 3). La interacción fue significativa entre el tiempo y tipo de hojarasca por sistema. Esto implica que los cambios en k a través del tiempo no fueron exactamente iguales en los sistemas, sino que varían con respecto a las diferencias de los mismos (Figura 3).
Pérdida de peso en hojarasca a través del tiempo
Hay muchos conductores de descomposición que incluyen el efecto del entorno (macro y microclimático), la calidad del sustrato (Meentemeyer, 1978) y la composición de la comunidad de organismos descomponedores (Aerts, 1997; Aerts & De Caluwe, 1997; Parton et al., 2007; Swift et al., 1979). Estas pérdidas se deben a la influencia del catabolismo, remoción o exportación y consiguiente trituración y lixiviación. El porcentaje medio de pérdida de peso seco se determinó para cada una de las mezclas probadas en las bolsas de hojarasca sobre el tiempo de incubación in situ.
Una k inicial rápida fue seguida de una tasa más lenta. Esto indica un proceso de descomposición aparentemente divido en dos fases controladas por diferentes factores: una fase inicial con un ritmo más rápido de k en peso, seguida de una fase con tasas de descomposición más lentas. Esto es congruente con los resultados reportados por otros autores (Anderson & Swift, 1983; Loranger, Ponge, Imbert, & Lavalle, 2002; Sundarapandian & Swamy, 1999; Swift & Anderson, 1989; XulucTolosa et al., 2003).
Durante los 352 d se observó en la colecta de las bolsas, que diferentes tipos de microorganismos, insectos y hongos, influyeron en el proceso de descomposición. Las diferencias en la pérdida de peso entre los sistemas (SRC, STC y Smsp) pudieron ser causadas por factores ambientales o la variación en la calidad del sustrato (Sundarapandiam & Swamy, 1999). Esto puede estar vinculado con la primera fase de descomposición de la hojarasca, ya que se encuentra fuertemente relacionada con las concentraciones de los compuestos solubles en agua (Berg, 2000), así como por la fragmentación realizada por los microorganismos e insectos pequeños. Mientras tanto, las tasas de descomposición de la segunda fase están más influidas por el contenido de lignina de la hojarasca, lo que demora la descomposición y afecta al suelo y a la hojarasca de los alrededores (Chadwick, Quideau, Graham, & Wood, 1998, 2001; Couteaux et al., 1998; Melillo, Aber, & Muratore, 1982; Preston & Trofymow, 2000). La k relativa fue más lenta durante la segunda fase de descomposición (176352 días), debido posiblemente a la acumulación de elementos recalcitrantes, como lignina y fenoles. Estos disminuyeron las tasas de descomposición de los recursos al no ser consumidos, por no ser una fuente de energía para la mayoría de los organismos descomponedores.
Las pérdidas mayores de peso relativo durante la temporada de lluvias se presentaron en P. hispidum y todas las bolsas colocadas en el SRC. Esto podría deberse a determinantes de las condiciones físicas del sitio, como el contenido de humedad del suelo, la temperatura y sus efectos sobre la actividad de los microorganismos descomponedores (Facelli & Pickett, 1991). En el presente estudio, durante todas las fechas de muestreo, los coeficientes k fueron altos para toda la hojarasca a prueba en el SRC y para la especie dominante C. officinalis. Esto probablemente indica un efecto del microclima o de la Mezcla de hojarascas, en las tasas de descomposición. Las tasas menores de descomposición se obtuvieron en M. capirii y en la Mezcla de hojarasca en el STC y Smsp, mientras que el resto de la hojarasca mostró tasas medias. Éstas tuvieron un incremento durante la estación seca (días 1 a 176) y se desaceleró durante la temporada de lluvias, para mantenerse relativamente constante durante la última etapa del experimento (176352 d). Sin embargo, además de P. hispidum, también la Mezcla de hojarasca y R. mirandae/C. arabica en el SRC perdieron peso rápidamente al inicio, seguidas de R. mirandae en los tres sistemas. P. hispidum mostró la mayor pérdida de peso al final del experimento.
La composición química de la hojarasca (calidad de hojarasca) en algunos casos puede ser afectada por la mezcla general compuesta de las especies arbóreas del dosel. La descomposición no varió entre los sitios, por lo menos para R. mirandae, R. mirandae/C. arabica y la Mezcla de hojarasca (STC y Smsp). Todo parece indicar, que cada uno de los sistemas de prueba que conforman la hojarasca general depositada en el suelo pudieran ser los principales responsables de la descomposición, junto con las dinámicas de descomposición (Beer, 1988; Liu, Daily, Ehrlich, & Luck, 2003) y la variación climática anual, particularmente, en las estaciones de seca y de lluvias (Beer, 1988; Dantas & Phillipson, 1989; Jackson, 1978; Kumar & Deepu, 1992; Liu, Fox, & Xu, 2003; Proctor, 1983; Proctor et al., 1983; Scott & Binkley, 1997).
CONCLUSIONES
Los resultados de este estudio parecen indicar que las fechas de producción máxima de hojarasca están relacionadas con la precipitación, la variación de la temperatura y la fenología. Las tasas de descomposición de hojarasca mostraron que la calidad de la misma y sus diferentes mezclas probadas son los principales impulsores de la descomposición. Estos resultados muestran la importancia que tiene la composición de especies arbóreas del dosel y su producción de hojarasca en los sistemas nativos, agroforestales tradicionales y rústicos. En este sentido, es importante hacer hincapié en la necesidad de estudios a largo plazo sobre la producción de hojarasca y las tasas de descomposición. Los estudios serían de utilidad para confirmar periodicidad estacional, establecer relaciones entre la precipitación, producción y calidad de la hojarasca e implementar mejoras de sustentabilidad.
AGRADECIMIENTOS
Agradezco al Consejo Nacional de Ciencia y Tecnología (CONACYT) en México, a la Doctora Morag McDonald y al Doctor Lauro BucioAlanís, por su apoyo incondicional durante la realización de esta investigación. También reconozco al Doctor Fergus Sinclair, por su apoyo en la University of Wales, Bangor.
REFERENCIAS
Aerts, R. (1997). Climate, leaf litter chemistry and leaf litter decomposition in terrestrial ecosystems, a triangular relationship. Oikos, 79, 439449. Obtenido de http://www.jstor.org/stable/3546886 [ Links ]
Aerts, R., & De Caluwe, H. (1997). Nutritional and mediated controls on leaf litter decomposition species. Ecology, 78, 24460. Obtenido de http://www.jstor.org/stable/2265993 [ Links ]
ÁlvarezSánchez, J. (1995). Descomposición y ciclo de nutrientes en ecosistemas terrestres mexicanos. México, D.F.: UNAM. [ Links ]
ÁlvarezSánchez, J., & BecerraEnríquez, R. (1996). Leaf decomposition in a Mexican rain forest. Biotropica, 28, 657667. Obtenido de http://www.jstor.org/stable/2389052 [ Links ]
ÁlvarezSánchez, J., & Guevara, S. (1993). Litterfall dynamics in a mexican lowland tropical rain forest. Tropical Ecology, 34, 127142. Obtenido de http://www.jstor.org/stable/2389052 [ Links ]
Anderson, J. M., & Ingram, J. S. I. (1989). Tropical soil biology and fertility, a handbook of methods. Wallingford: CAB International. [ Links ]
Anderson, J. M., & Swift, M. J. (1983). Decomposition in tropical forests. In, S. L. Sutton, T. C. Withmore, & Chadwick, A.C. (Eds.), Tropical rain forest, ecology and management (pp. 287309). Oxford: Blackwell. [ Links ]
Beer, J. (1988). Litter production and nutrient cycling in coffee (Coffea arabica) or Cacao (Theobroma cacao) plantations with shade trees. Agroforestry Systems, 7, 103114. doi: 10.1007/ BF00046846 [ Links ]
Berg, B. (2000). Initial rates and limit values for decomposition of Scots pine and Norway spruce needle litter, a synthesis for Nfertilized forest stands. Canadian Journal of Forest Research, 30, 122135. Obtenido de http://www.nrcresearchpress.com/doi/abs/10.1139/x9994?journalCode=cjfr [ Links ]
Binkley, D. (1986). Forest nutrition management. New York: Wiley. [ Links ]
Bjorn, B., & Comstedt, D. (2007). Isotope fractionation and 13C enrichment in soil profiles during the decomposition of soil organic matter. Journal of Oecologia, 153, 1. doi: 10.1007/s0044200707008 [ Links ]
Burghouts, T. B. A., Ernsting, G., Korthals, G. W., & De Vries, T. H. (1992). Litterfall, leaflitter decomposition and litter invertebrates in primary and selectively logged dipterocarp forest in Sabah, East Malaysia. Philosophical Transactions of the Royal Society, 335, 407416. Obtenido de http://www.jstor.org/stable/55627 [ Links ]
Chadwick, O. A., Quideau, S. A., Graham, R. C., & Wood, H. B. (1998). Organic carbon sequestration under chaparral and pine after four decades of soil development. Geoderma, 83, 227242. doi: 10.1016/S00167061(97)001420 [ Links ]
Chadwick, O. A., Quideau, S. A., Graham, R. C., & Wood, H. B. (2001). A direct link between forest vegetation type and soil organic matter composition. Geoderma, 104, 4160. doi: 10.1016/S00167061(01)000556 [ Links ]
Cuevas, E., & Medina, E. (1988). Nutrient dynamics within amazonian forests. II. Fine root growth, nutrient availability, and leaf litter decomposition. Oecologia, 76, 222235. Obtenido de http://www.jstor.org/stable/4218661 [ Links ]
Couteaux, M. M., Bottner P., & Berg, B. (1995). Litter decomposition, climate and litter quality. Trends in Ecology and Evolution, 10, 6366. doi: 10.1016/S01695347(00)889788 [ Links ]
Dantas, M., & Phillipson, J. (1989). Litterfall and litter nutrient content in primary and secondary amazonian 'Terra Firme' rain forest. Journal of Tropical Ecology, 1 (5), 2736. Obtenido de http://www.jstor.org/stable/2559607 [ Links ]
Didham, R. K. (1998). Altered leaflitter decomposition rates in tropical forest fragments. Oecologia, 116, 397406. Obtenido de http://www.jstor.org/stable/4222100 [ Links ]
Ezcurra, E., & Becerra, J. (1987). Experimental decomposition of litter in a Tamaulipan cloud forest, A comparison of four simple models. Biotropic, 4(19), 290296. Obtenido de http://www.jstor.org/stable/2388624 [ Links ]
Facelli J. M., & Pickett T. A. (1991). Plant litter, its dynamics and effects on plant community structure. The Botanical Review, 57(1). doi: 10.1007/BF02858763 [ Links ]
Food and Agriculture Organization (FAO). (2007). Mapa mundial de suelos, leyenda revisada. Roma, Italia: Sociedad Española de la Ciencia del Suelo. [ Links ]
Frangi, J. L., & Lugo A. E. (1985). Ecosystem dynamics of a floodplain subtropical forest. Ecological Monographs, 55, 351369. Obtenido de http://www.jstor.org/stable/1942582 [ Links ]
García, E. (1987). Modificaciones al sistema climático de Köppen (4a ed.). México. D.F.: UNAM. [ Links ]
Gong, W. K., & Ong, J. E. (1983) Litter production and decomposition in a coastal hill dipterocarp forest. In S. L. Sutton, T. C. Whitmore, & A. C. Chadwick (Eds.), Tropical rain forest, ecology and management (pp. 275285). Oxford: Blackwell Scientific Publications. [ Links ]
Harmon, M. E., Whigham, D. F., Sexton, J., & Olmsted, I. (1995). Decomposition and mass of dead wood in the dry tropical forests of the Northeastern Yucatán Península, México. Biotropica, 27, 305316. [ Links ]
Jackson, J. F. (1978). Seasonality of flowering and leaffall in a brazilian subtropical lower montane moist forest. Biotropica, 10, 3842. Obtenido de http://www.jstor.org/stable/2388103 [ Links ]
Jenny, H., Gessel, S. P., & Bingham, F. T. (1949). Comparative study of decomposition of organic matter in temperate and tropical regions. Soil Science, 68, 419432. Obtenido de http://journals.lww.com/soilsci/Citation/1949/12000/Comparative_Study_of_Decomposition_Rates_of.1.aspx [ Links ]
Kumar B. M., & Deepu J. K. (1992). Litter production and decomposition dynamics in moist deciduous forests of the Western Ghats in peninsular India. Forest Ecology Management 50, 181201. doi: 10.1016/03781127(92)903357 [ Links ]
Landsberg, J. J., & Gower, S. T. (1997). Applications of physiological ecology to forest management. San Diego, CA, USA: Academic Press. [ Links ]
Liu, J., Daily, G. C., Ehrlich, P. R., & Luck, G. W. (2003). Effects of household dynamics on resource consumption and biodiversity. Nature, 421, 530533. Obtenido de https://fp.auburn.edu/sfws/ditchkoff/.../Liu%20et%20al%202003.pdf [ Links ]
Liu, W., Fox, J. E. D., & Xu, Z. (2003). Litterfall and nutrient dynamics in a montane moist evergreen broadleaved forest in Ailao Mountains, SW China. Plant Ecology, 164, 157170. doi: 10.1023/A:1021201012950 [ Links ]
Loranger G., Ponge J. F., Imbert, D., & Lavelle, P. (2002). Leaf decomposition in two semievergreen tropical forests: Influence of litter quality. Biology Fertility Soils, 35, 247252. doi: 10.1007/s0037400204673 [ Links ]
MartínezYrizar, A. (1980). Tasas de descomposición de materia orgánica foliar de especies arbóreas de selvas en clima estacional. Tesis, UNAM, Ciudad de México, México. [ Links ]
MartínezYrizar, A. (1984). Procesos de producción y descomposición de hojarasca en selvas estacionales. Tesis de maestría, UNAM, Ciudad de México, México. [ Links ]
Maya, Y., & Arriaga, L. (1996). Litterfall and phenological patterns of the dominant over storey species of a desert scrub community in northwestern Mexico. Journal of Arid Environments, 34, 2335. doi: 10.1006/jare.1996.0090 [ Links ]
McDonald, M. A., & Healey, J. R. (2000). Nutrient cycling in secondary forests in the blue mountains of Jamaica. Forest Ecology and Management 139, 257278. doi: 10.1016/S03781127(00)004424 [ Links ]
Melillo, J. M., Aber, J. D., Linkins, A. E., Ricca, A., Fry, B., & Nadelhoffer, K. J. (1989). Carbon and nitrogen dynamics along the decay continuum, plant litter to soil organic matter. Plant and Soil 115, 189198. Obtenido de http://wikis.lib.ncsu.edu/images/1/1b/MEA_760_Melillo_1989.pdf [ Links ]
Melillo, J. M., Aber, J. D., & Muratore, J. F. (1982). Nitrogen and lignin control of hardwood leaf litter decomposition dynamics. Ecology, 63, 621626. Obtenido de http://www.jstor.org/stable/1936780 [ Links ]
Melillo, J. M., McGuire, A. D., Kicklighter, D. W., Moore, B., VorosMarty, C. J., & Schloss, A. L. (1993). Global climate change and terrestrial net primary production. Nature, 363, 234240. Obtenido de http://www.mendeley.com/research/globalclimatechangeandterrestrialnetprimaryproduction/ [ Links ]
Meentemeyer, V. E. (1978). Macroclimate and lignin control of decomposition rates. Ecology, 59, 465472. doi: 10.2307/1936576 [ Links ]
Meentemeyer, V. E., Box, O., & Thompson, R. (1982). World patterns and amounts of terrestrial plant litter production. BioScience, 32, 125128. Obtenido de http://www.jstor.org/stable/1308565 [ Links ]
Montaña, C., Ezcurra, A., Carrillo, A., & Delhoume J. P. (1988). The decomposition of litter, grasslands of northern Mexico, a comparison between arid and non arid environments. Journal of Arid Environments, 14, 5560. Obtenido de http://horizon.documentation.ird.fr/exldoc/pleins_textes/pleins_textes_6/b_fdi_3940/43444.pdf [ Links ]
Olson, J. S. (1963). Energy storage and the balance of producers and decomposers in ecological systems. Ecology, 44, 322331. Obtenido de http://www.jstor.org/stable/1932179 [ Links ]
Palm, C. A., & Rowland, A. P. (1997). A minimum dataset for characterization of plant quality for decomposition. In G. Cadisch, & K. E. Giller (Eds). Driven by nature, plant litter quality and decomposition (pp. 379392). Wailingford: CAB. [ Links ]
Parton, W., Silver, W. L., Burke, I. C., Grassens, L., Harmon, M. E., Currie, W. S., & Fasth, B. (2007). Globalscale similarities in nitrogen release patterns during longterm decomposition. Science, 315, 362364. Obtenido de http://www.planta.cn/forum/files_planta/science_361_148.pdf [ Links ]
Preston, C. M., & Trofymow, J. A. (2000). Variability in litter quality and its relationship to litter decay in Canadian forests. Canadian Journal Botany, 78, 12691287. doi: 10.1139/cjb78101269 [ Links ]
Proctor J. (1983). Tropical forest litter fall. I. Problems of data comparison. In S. L. Sutton, T. C. Whitmore, & A. C. Chadwick (Eds.), Tropical rain forest, ecology and management (pp. 267273). Oxford: Blackwell Scientific Publications. [ Links ]
Proctor, J., Anderson, J. M., Fogden, S., & Vallack, H. W. (1983). Ecological studies in four contrasting lowland rain forests in Gunung Mulu National Park, Sarawak. 2. Litterfall, litter standing crop and preliminary observations on herbivory. Journal of Ecology, 71, 261283. Obtenido de http://www.mendeley.com/research/ecologicalstudiesfourcontrastinglowlandrainforestsgunungmulunationalparksarawakiilitterfalllitterstandingcroppreliminaryobservationsherbivory/ [ Links ]
Saldarriaga, J. G. (1994). Recuperación de la selva de "Tierra Firme" en el alto río Negro. Amazonia colombianavenezolana. Estudios en la Amazonia Colombiana. Colombia: Ed. Presencia. [ Links ]
Scott, N. A., & Binkley, D. (1997). Foliage litter quality and annual net N mineralization, Comparison across North American forest sites. Oecologia, 111, 151159. Obtenido de http://warnercnr.colostate.edu/~dan/papers/Oecologia_111_1997.pdf [ Links ]
Songwe N. C., Okali D. U. U., & Fasehun F. E. (1995). Litter decomposition and nutrient release in a tropical rainforest, Southern Bakundu Forest Reserve, Cameroon. Journal of Tropical Ecology, 11, 333350. Obtenido de http://www.jstor.org/stable/2560217 [ Links ]
Steel, R., & Torrie, J. H. (1986). Bioestadística, principios y procedimientos (2a ed). Mexico, D. F.: McGrawHill. [ Links ]
Sundarapandian, S. M., & Swamy, P. S. (1999). Litter production and leaflitter decomposition of selected tree species intropical forests at Koydyar in the Western Ghats, India. Forest Ecology and Management, 123, 231244. [ Links ]
Swift, M. J., & Anderson J. M. (1989). Decomposition. In H. Lieth, M. J. A. Werger, (Eds.), Tropical rain forest ecosystems, biogeographical and ecological studies. Ecosystems of the World 14A (pp. 547569). New York: Elsevier Science. [ Links ]
Swift, M. J., Heal, O. W., & Anderson, J. M. (1979). Decomposition in terrestrial ecosystems. Oxford: Blackwell Scientific Publications. [ Links ]
XulucTolosa, F. J., Vester, H. F. M., RamírezMarcial N, CastellanosAlbores, J., & Lawrence, D. (2003). Leaf litter decomposition of tree species in three sucessional phases of tropical dry secondary forest in Campeche, Mexico. Forest Ecolology Management, 174, 401412. doi: 10.1016/S03781127(02)000592 [ Links ]
Zhou, G., Guan, L., Wei, X., Tang, X., Liu, S., Liu, J., Zhang, D., & Yan, J. (2008). Factors influencing leaf litter decomposition, an intersite experiment across China. Plant and Soil, 311, 6172. doi:10.1007/s1110400896585 [ Links ]













