Servicios Personalizados
Revista
Articulo
Indicadores
-
Citado por SciELO -
Accesos
Links relacionados
-
Similares en
SciELO
Compartir
Revista Chapingo serie ciencias forestales y del ambiente
versión On-line ISSN 2007-4018versión impresa ISSN 2007-3828
Rev. Chapingo ser. cienc. for. ambient vol.17 no.2 Chapingo ago. 2011
https://doi.org/10.5154/r.rchscfa.2010.05.034
Tiempos y rendimientos del aserrío en la región de El Salto, Durango, México
Lumber yield and production time in the El Salto region of Durango, México
Juan Abel NájeraLuna1*; Oscar A. AguirreCalderón2; Eduardo J. TreviñoGarza2; Javier JiménezPérez2; Enrique JuradoYbarra2; José Javier CorralRivas3; Benedicto VargasLarreta4
1 Programa de Doctorado en Ciencias en Manejo de Recursos Naturales. Facultad de Ciencias Forestales. Universidad Autónoma de Nuevo León. Carretera Nacional km 145. A. P. 41. Linares, Nuevo León, C. P. 67700. MÉXICO. Teléfono (821)212 42 51. Correo electrónico: jalnajera@yahoo.com.mx.
2 ProfesorInvestigador. Facultad de Ciencias Forestales. Universidad Autónoma de Nuevo León. Carretera Nacional km 145. A. P. 41. Linares, Nuevo León, C. P. 67700. MÉXICO. Teléfono (821)212.42.51.
3 ProfesorInvestigador. Facultad de Ciencias Forestales. Universidad Juárez del Estado de Durango. Rio Papaloapan y Boulevard Durango. S/N, Col. Valle del Sur, Durango, Dgo. C. P. 34120. MÉXICO.
4 ProfesorInvestigador. Instituto Tecnológico de El Salto. Mesa del Tecnológico S/N, El Salto, Durango. C. P. 34942. MÉXICO.
Recibido: 28 de mayo, 2010
Aceptado: 15 de diciembre, 2010
RESUMEN
Para conocer el efecto de las características de las trozas que influyen en el tiempo y rendimiento de la madera aserrada, se realizó la evaluación de los indicadores de productividad en cinco aserraderos de la región de El Salto, Durango, México. Trozas de cinco categorías diamétricas, tres de longitud y seis de conicidad fueron consideradas en el análisis. Para estimar los tiempos de procesamiento, se utilizó la metodología de "vuelta a cero", mientras que para determinar el rendimiento de madera, se relacionó el volumen de madera en rollo y el volumen resultante en productos aserrados de 412 trozas de pino. Estas trozas cubicaron un volumen de 293.73 m3 rollo sin corteza y 323.93 con corteza, las cuales generaron 7,085 tablas de diferentes dimensiones y clases con un volumen aserrado de 169.01 m3, lo que indica un rendimiento en madera aserrada del 57.5 % sin corteza y 52.17 % con corteza. El tiempo promedio para aserrar 1,000 pies tablares se estimó en 25.09 minutos. La productividad fue de 7.57 m3h1 y la velocidad de alimentación de 46.47 m·min1. Se encontró que el rendimiento en madera aserrada es afectado por el diámetro, largo y conicidad de las trozas.
Palabras clave: Ergonomía, madera aserrada, trozas, aserraderos.
ABSTRACT
To determine log characteristics that affect lumber yield and production time, a study was conducted of productivity indicators at five sawmills in the El Salto region of Durango, Mexico. Logs of five diameter classes, three lengths and six taper classes were analyzed. To estimate logsawing times, the "back to zero" methodology was used; for determining lumber yield, volume in cubic meters inside and outside of bark of 412 pine logs was calculated and compared with the resulting volume in lumber products. Total inside and outsidebark volumes were 293.73 and 323.93 m3 of roundwood, respectively, which yielded 7,085 board feet and 169.01 m3 of sawed wood, which represents a 57.5 % and 52.17 % conversion of insidebark and outsidebark volumes, respectively, to sawn boards. The average time for sawing 1,000 board feet was estimated at 25.09 minutes for a production of 7.57 m3h1, with an average carriage feed rate of 46.47 m·min1. Our findings indicate that lumber recovery is affected by log diameter, length and taper.
Key words: Ergonomics, lumber, logs, sawmills.
INTRODUCCIÓN
La eficiencia operacional y económica de los procesos de transformación del recurso forestal en productos para la industria maderera son factores básicos para su sobrevivencia. La industria de transformación de la madera que no se ocupe de mejorar sus rendimientos y consecuentemente reducir sus costos de producción, asume un serio riesgo de perder en competitividad y paralizar sus actividades por ineficiente (Biasi y Pereira da Rocha, 2007). En la industria forestal, el conocimiento de los indicadores de productividad es de interés en toda administración ya que posibilita que las decisiones sobre el desempeño industrial y uso eficiente de la materia prima sean tomadas anticipadamente ante situaciones adversas, reduciendo gastos y pérdidas en el proceso productivo (Valério et al., 2009). El término rendimiento se refiere a la relación entre el volumen de madera en rollo y el volumen resultante en productos aserrados (Aguilera et al., 2005; Valério et al., 2007), el cual es afectado por el diámetro, clase, calidad y forma de las trozas a procesar, los tiempos empleados en los procesos, el patrón de corte, el tipo de sierra, la calidad y dimensiones de los productos generados, la habilidad y capacidad del operario y las condiciones de mantenimiento del equipo; por lo que algunos estudios se han centrado en conocer el efecto que tienen esas variables sobre el rendimiento de la madera aserrada y sugerir acciones correctivas (Steele, 1984; Zavala y Hernández, 2000; García et al., 2001; Wang et al., 2003; Scanavaca y Garcia, 2003; Ferreira et al., 2004; Murara et al., 2005; Quirós et al., 2005). La región de El Salto, Durango, México, se caracteriza por basar su economía en las actividades relacionadas con el aprovechamiento y transformación de la madera; sin embargo, no se conoce el efecto que tienen el diámetro, la longitud y la conicidad de la trocería en cuanto al rendimiento real en madera aserrada y los tiempos de procesamiento, por lo que el objetivo del presente estudio es la estimación de los indicadores de productividad considerando cinco categorías diamétricas, tres de longitud y seis de conicidad en la trocería de pino para que a partir de su estimación se identifiquen áreas de oportunidad que permitan mejorar el proceso de transformación de la madera en esta importante región forestal de México.
MATERIALES Y MÉTODOS
Localización del área de estudio
El estudio se realizó en la región de El Salto, Durango, la cual se localiza en el sistema montañoso denominado Sierra Madre Occidental. Las alturas sobre el nivel del mar fluctúan entre 1,400 y 2,600 metros. El clima es semihúmedo templado o semifrío, que se torna templado o semiseco en el lado oriental de la sierra. Por su ubicación geográfica, la zona presenta diversas condiciones de vegetación que va desde masas puras de encino y pino y en su mayor parte bosques mezclados de pinoencino (UCODEFO 6, 1997).
Métodos de trabajo usados en la región
La longitud de la troza procesada en los aserraderos de la región fluctúa entre 4.88 y 6.09 m (16 a 20 pies) más refuerzo; la mayoría de la trocería pertenece al género Pinus y un bajo porcentaje a Quercus; las trozas se separan por largo y en ocasiones por categorías diamétricas (Hernández y Wiemann, 2006). En el aserrío generalmente se utilizan torres verticales de sierra banda de 8 a 10 pulgadas de ancho. La separación de la madera se realiza en seis clases, aunque en algunos aserraderos no se realiza tal clasificación, por lo que se comercializa como millrun (mezcla de clases). Los gruesos más comunes en los que se asierra la madera son de 2.22, 3.18 y 3.81 cm (7/8, 5/4, 6/4 pulgadas), listones de 10.16 cm (4 pulgadas) de ancho, tablones de 7.62 x 7.62 y 10.16 x 10.16 cm (3 x 3 y 4 x 4 pulgadas), así como medidas en pedidos especiales; los anchos de la madera van de 10.16 a 30.48 cm (4 a 12 pulgadas) y largos desde 0.6096 a 6.096 m (2 a 20 pies) más refuerzos.
Métodos
La toma de información de campo se realizó durante el año 2009 en los aserraderos de los ejidos El Brillante, La Victoria y San Pablo, así como en dos aserraderos completamente automatizados identificados como Bogli y Langer, pertenecientes al Centro de Bachillerato Tecnológico Forestal Núm. 1 de El Salto, Durango, mediante observaciones directas del proceso de aserrío y mediciones de las dimensiones de las trozas y de los productos aserrados resultantes del proceso.
Determinación del tamaño de muestra
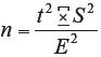
Para estimar el número de trozas necesarias en la determinación del rendimiento y alcanzar un error de muestreo del 5 % y una confiabilidad del 95%, se utilizó la siguiente expresión (Dobie, 1975; citado por Zavala, 1996; Yang y Pulkki, 2002):

Donde:
n= Trozas necesarios para estimar el rendimiento de madera aserrada.
t= Valor tabular de tStudent al 95% de confiabilidad.
S2= Varianza de la población.
E= Error de muestreo deseado (%).
De acuerdo a lo anterior, el número de trozas se estableció como se muestra en el Cuadro 1.

Categorías de diámetro, largo y conicidad de las trozas.
Para establecer las categorías diamétricas de las trozas, se consideraron todos los diámetros menores sin corteza presentes en los patios de trocería, encontrando valores de 15 a 65 cm (5.9 a 25.5 pulgadas), para lo cual se establecieron cinco categorías diamétricas con un ancho de clases de 10 cm (3.93 pulgadas). En lo que respecta a la longitud de las trozas destinadas al aserrío, éstas se dimensionan a 4.88, 5.48 y 6.09 m (16, 18 y 20 pies) más refuerzos; por tal motivo se establecieron 3 categorías de longitud; en la primera se ubicaron las trozas con dimensiones menores o igual a 4.88 m (16 pies); en la segunda, trozas mayores de 4.88 hasta 5.48 m (16 a 18 pies), y en la tercera las trozas mayores a 5.48 m (18 pies); mientras que para la conicidad se encontraron valores máximos de 6 cm/m; esto significa que por cada metro de longitud de la troza el diámetro aumenta 6 cm; para tal efecto, se establecieron seis categorías de conicidad, una por cada centímetro. La conicidad de la troza es la diferencia entre el diámetro de la base y el diámetro de la punta con la distancia que las separa (Scanavaca y García, 2003; Vignote y Martínez, 2005), por lo que en su determinación se utilizó la siguiente relación:

Donde:
C= Conicidad de la troza (cm/m).
DM=: Diámetro mayor sin corteza (cm).
Dm= Diámetro menor sin corteza (cm).
l= Largo de la troza (m).
La distribución de las trozas por categoría diamétrica, por largo y conicidad se muestra en el Cuadro 2.
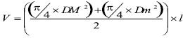
Determinación del volumen de las trozas
Una vez que las trozas fueron seleccionadas y marcadas, se procedió a medirlas para determinar su volumen con y sin corteza; en este caso fue utilizada la fórmula de Smalian (Husch et al., 2003), la cual se expresa en la siguiente ecuación:

Donde:
V = Volumen (n3rollo).
DM= Diámetro mayor con y sin corteza (m).
Dm= Diámetro menor con y sin corteza (m).
l= Longitud (m).
Determinación del volumen de las tablas
Cada tabla producida durante el proceso de aserrío fue marcada con el código de la troza de la cual se originó, con la intención de cuantificar el volumen aserrado por troza; posteriormente cada tabla fue medida al milímetro realizando seis mediciones en el grueso de la misma distribuidas en los extremos y parte central de cada canto, tres mediciones en ancho en las mismas posiciones que los gruesos y una medición en la parte central de la tabla para obtener el largo. Para la cubicación de la madera aserrada se consideró a los productos como un paralelepípedo, por lo que el volumen de cada pieza de madera aserrada se determinó con los valores promedio en cada caso y mediante la siguiente relación (Romahn et al., 1987):

Donde:
V = Volumen de la tabla (m3).
g= Grueso (m).
a= Ancho (m).
l= Longitud (m).
Determinación del rendimiento de madera aserrada
Con base en el volumen de las tablas y conociendo el de las trozas que las generaron, se determinó el porcentaje de rendimiento a través de la siguiente fórmula (Quiros et al., 2005):

Donde:
R = Rendimiento de madera aserrada (%).
Va = Volumen de las tablas aserradas (m3).
Vr = Volumen de las trozas (m3rollo).
Determinación de la productividad del aserrío
La productividad se obtuvo al relacionar el volumen de madera aserrada entre el tiempo transcurrido en su proceso, considerando desde el momento que se empezó a producir el primer corte en la troza hasta que se realizó el último, utilizando para tal efecto la siguiente expresión (García et al., 2001):

Donde:
P = Productividad del aserrío (m3/h).
Va = Volumen aserrado (m3).
Tt = Tiempo total de aserrío (h).
Métodos de cronometraje empleado para el estudio de tiempos
Para conocer los tiempos del proceso, se utilizó el método de "vuelta a cero"; el cual consiste en tomar el cronometraje de los diferentes ciclos de trabajo de inicio a fin y regresar el cronómetro a "cero" para iniciar el cronometraje de un nuevo ciclo de trabajo (Villagómez y García, 1986). La aproximación del cronometraje fue de 1/100 de segundo. Los ciclos de trabajo se identificaron como tiempos productivos e improductivos (Björheden, 1991), obteniendo las siguientes actividades:
TIEMPO PRODUCTIVO:
Tiempo de carga de la troza
Tiempo en segundos (se cronometró a partir de la colocación del primer gancho maderero en la troza seleccionada para acercarla y asegurarla al carro escuadra).
Tiempo de avance del carro escuadra
Se cronometró el tiempo en que la troza inició el movimiento hacia la sierra banda y culminó cuando se detuvo el movimiento del carro escuadra.
Tiempo de retroceso del carro escuadra
Se tomó a partir del regreso del carro escuadra a la posición inicial para empezar un nuevo avance.
Tiempo de volteos de las trozas en el carro escuadra
Se tomó en el momento de contacto del gancho maderero para girar la troza en otra posición para buscar otros planos de corte.
TIEMPO IMPRODUCTIVO:
Tiempo improductivo necesario
Se consideró el tiempo invertido en el mantenimiento u otra actividad para resolver imprevistos propios de trabajo.
Tiempo improductivo innecesario
Se consideró el tiempo empleado para realizar actividades ajenas al proceso de aserrío, como descansos, conversación entre operarios y otras acciones no productivas.
Determinación del tiempo de aserrío de 1000 pies tablares
Finalmente, y a partir de la información que se generó en el aserrío de la madera, se determinó el tiempo necesario para aserrar 1000 pies tablares (pt) utilizando la siguiente relación:

Donde:
T = Tiempo para aserrar 1000 pies tablares (min).
Tt = Tiempo total del aserrío (min).
Va= Volumen aserrado (pt).
Procedimiento estadístico
Para identificar diferencias significativas en los indicadores de productividad por aserradero, categorías diamétricas, de largo y conicidad de las trozas, se realizó un análisis de varianza y comparaciones de medias mediante pruebas de rangos múltiples de Duncan a un nivel de significancia de 0.05 y 95 % de confiabilidad. El proceso del análisis de datos se llevó a cabo utilizando el procedimiento GLM del paquete estadístico SAS/STAT (SAS Institute Inc., 2004).
RESULTADOS Y DISCUSIÓN
Tiempos y rendimientos generales
En el Cuadro 3 se observa que el rendimiento en madera aserrada en la región de El Salto corresponde al 57.5 % sin corteza; lo anterior indica que por cada m3rollo (m3r) que es aserrado es posible obtener 244 pt, considerando que un metro cúbico de madera en rollo equivale a 424 pt. El tiempo estimado para aserrar 1,000 pt mostró valores extremos de 6.24 a 101 minutos influido por el diámetro, longitud y conicidad de las trozas, estableciéndose el promedio en 25.09 minutos, de los cuales 19.56 minutos corresponden al tiempo productivo, específicamente en los avances y retrocesos del carro escuadra para efectuar los cortes en las trozas. La productividad mostró valores de 1.40 a 22.70 metros cúbicos rollo por hora efectiva de trabajo (m3r·h1) con un promedio de 7.57 m3r·h1, equivalentes a 3,208 pies tablares por hora (pt·h1), que distribuidos entre el número de operarios que participan en el proceso, en este caso un promedio de cuatro, resulta entonces en una eficiencia de 802 pies tablares/hombremáquina/hora. La velocidad de alimentación se estimó en 46 m/min con valores extremos de 99 a 9 m/min. Zavala y Hernández (2000), determinaron un rendimiento en madera aserrada del 51 % sin corteza en trocería de pino proveniente de San Pedro el Alto, Zimatlán, Oaxaca, lo cual resultó menor en 6.5 % al rendimiento estimado para la región de El Salto, Durango. En relación al rendimiento obtenido por categoría diamétrica, los autores no encontraron una tendencia de aumento en el rendimiento con el aumento en diámetro de las trozas ya que el reportado resultó ser muy similar con valores de 49 a 51 % para trozas de 30 a 65 cm, lo cual coincide con la tendencia observada en este estudio.
Tiempos y rendimientos por aserradero
Los resultados del Cuadro 4 muestran diferencias significativas entre los indicadores de productividad por aserradero (P<0.05), resultando mayor el rendimiento en la madera del aserradero Langer del CBTF1 con el 66 %, mientras que el menor rendimiento se observó en el aserradero del ejido San Pablo con un 54 %; la diferencia anterior se explica porque el promedio de tablas generadas por troza es 5 tablas menor en el aserradero Langer, lo que indica menor número de cortes y por lo tanto mayor rendimiento. La productividad fue estadísticamente diferente entre aserraderos (P<0.05), de tal forma que mientras el aserradero del ejido La Victoria presentó la mayor productividad al aserrar en promedio 11.89 m3r·h1, influido por una mayor velocidad de alimentación que se estableció en 62 m/min, los aserraderos del CBTF1 resultaron con una productividad de 3.82 a 4.46 m3r/h debido a una mayor inversión de tiempo en la carga de trozas en el carro escuadra, los avances, retrocesos, volteo de las trozas y una menor velocidad de alimentación. Lo anterior contribuyó para que se registraran tiempos de aserrío para 1,000 pt de 35 minutos en el aserradero Langer, hasta 41 minutos en el Bogli del CBTF1, mientras que en el aserradero del ejido La Victoria se registró el menor tiempo con 13.66 minutos. García et al. (2001) determinaron un rendimiento real en trocería de pino en cuatro aserraderos del sur del estado de Jalisco, México, de 61.72 % equivalente a obtener 262 ptm3r. En relación a la productividad, los autores encontraron un promedio de 2.95 m3r·h1, la cual es inferior en 4.62 m3r·h1 a la obtenida en este estudio; tal diferencia se atribuye al largo de las trozas, ya que mientras en el sur de Jalisco utilizaron trozas de 2.44 m (ocho pies), en la región de El Salto, Durango, el largo de las trozas aserradas osciló de 3.04 a 6.09 m (10 a 20 pies).
Tiempos y rendimientos por categoría de diámetro
El Cuadro 5 presenta los resultados obtenidos en los tiempos y rendimientos por categoría diamétrica, donde se observan diferencias significativas (P<0.05) en el rendimiento sin corteza entre las categorías de 26 a 35 y 36 a 45 cm. El mayor rendimiento se observó en las categorías de los 15 a 35 cm debido a un menor número de cortes realizados para obtener las tablas; sin embargo, no se observó una tendencia de aumento en el rendimiento con el incremento en el diámetro de las trozas. En cuanto a la productividad, ésta experimenta un incremento a medida que aumenta el diámetro, mientras que la velocidad de alimentación mostró una tendencia inversa; es decir, a medida que aumenta el diámetro de las trozas, disminuye la velocidad de alimentación debido a la posibilidad de riesgo por roturas de la sierra cinta ante diámetros mayores. De igual forma, el tiempo para aserrar 1,000 pt disminuye al aumentar el diámetro de las trozas estableciéndose desde 44 minutos para la categoría de 15 a 25 cm, hasta 17 minutos en las categorías mayores a 56 cm. Murara et al. (2005) estimaron un rendimiento con corteza en madera aserrada de Pinus taeda de Brasil con dos diferentes métodos de aserrío, encontrando de 35.24 a 43.92 % con el sistema de aserrío convencional y de 41.65 a 63.04 % con un sistema de aserrío optimizado, y mencionan además que no observaron una tendencia en el aumento del rendimiento con el incremento en el diámetro de las trozas. Valores de 48.5 % de rendimiento con corteza en madera aserrada fueron encontrados por Velázquez et al. (2006) en Pinus caribea de la Provincia de Pinar del Río, Cuba; también observaron un aumento en el rendimiento en la categoría diamétrica de 16 a 26 cm, el cual fue disminuyendo al incrementarse el diámetro de las trozas; lo anterior concuerda con la tendencia observada en el presente estudio. Valério et al. (2007) observaron que el 17.7 % del volumen de las trozas aserradas de Araucaria angustifolia corresponde a la corteza, mientras que en el presente estudio tal diferencia fue del 9.3 %; encontraron un rendimiento medio para trozas con corteza de 44.9 %, siendo necesario el aserrío de 2.22 m3r para obtener un metro cúbico de madera aserrada, mientras que el rendimiento medio para trozas sin corteza fue del 62.6 %, siendo necesarios 1.59 m3r para obtener un metro cúbico de madera aserrada. En la región de El Salto, Durango, se requieren 1.91 m3r con corteza y 1.73 m3r sin corteza para obtener un metro cúbico de madera aserrada. Meneses y Guzmán (2000) reportan para trocería proveniente de plantaciones de Pinus radiata, que en Chile se necesitan 2.09 m3r y en Nueva Zelanda 1.85 m3 de madera en rollo para producir un metro cúbico de madera aserrada.
Tiempos y rendimientos por categoría de conicidad de las trozas
En el Cuadro 6 se muestran los resultados del rendimiento por categoría de conicidad, observando diferencias significativas (P<0.05) entre las categorías de 01 cm·m1, 3.14 y 4.15 cm·m1, la tendencia observada es que a medida que aumenta la conicidad de las trozas, el rendimiento, la productividad y la velocidad de alimentación disminuyen; sin embargo, el tiempo promedio para aserrar 1,000 pt es relativamente constante para todas las categorías de conicidad evaluadas con valores de 21 a 27 minutos. Scnavaca y Garcia (2003) estimaron para Eucalyptus urophylla con una conicidad de 0.0156 cm·m1, rendimientos en madera aserrada de 42.54 %, no encontrando un efecto directo de la conicidad en el rendimiento de la madera; señalan que cuando los árboles son jóvenes, los fustes adquieren una forma cónica y que con el paso de los años se tornan cilíndricos disminuyendo su conicidad. Por su parte, Grosser (1980) establece que la conicidad influye en el rendimiento de madera aserrada sólo cuando se presentan valores superiores a 1 cm·m1 en el diámetro o 3 cm·m1 en la circunferencia de las trozas, lo cual explica el efecto de la conicidad en el rendimiento obtenido en este estudio.
Tiempos y rendimientos por categoría de largo de las trozas
Respecto a la longitud de las trozas, en el Cuadro 7 se presentan los resultados donde se observan diferencias significativas (P<0.05) en los indicadores de productividad, observando la tendencia que a medida que la longitud de la troza aumenta, disminuye el rendimiento, mientras que la productividad experimenta un aumento al igual que la velocidad de alimentación. El tiempo promedio para aserrar 1,000 pt es de 27 minutos para trozas menores a 16 pies y disminuye hasta 20 minutos en trozas mayores a 18 pies. En lo que respecta al rendimiento considerando el largo de las trozas, Steele (1984) menciona que el rendimiento en madera aserrada decrece con el incremento en longitud debido al efecto de la forma de la troza, puesto que a mayor largo es más probable que la troza se encorve y pierda la rectitud ocasionando problemas para encontrar la adecuada geometría del aserrío, lo cual concuerda con la tendencia observada en el presente estudio.
CONCLUSIONES
El rendimiento sin corteza en los aserraderos de la región de El Salto, Durango, es de 57.5 %, equivalente a obtener 244 pt por cada metro cúbico de madera en rollo, o bien, se requieren 1.73 m3rollo para obtener un metro cúbico de madera aserrada. El tiempo para procesar 1,000 pt se estableció en 25.09 minutos de los cuales 19.56 corresponden a los avances y retrocesos del carro escuadra. La productividad promedio se estimó en 7.57 m3r·h1 y la velocidad de alimentación fue de 46.47 m·min.
No se encontró un incremento del rendimiento con el aumento en el diámetro de las trozas; sin embargo, la productividad experimenta un incremento con el aumento del diámetro mientras que la velocidad de alimentación disminuye ante trozas de diámetros grandes. Se encontró además que el rendimiento, la productividad y la velocidad de alimentación disminuyen a medida que aumenta la conicidad de las trozas. El largo de las trozas influye en el rendimiento de madera aserrada, puesto que a medida que aumenta su longitud, el rendimiento disminuye pero se aumenta la productividad.
AGRADECIMIENTOS
Los autores agradecen a la Fundación Produce Durango, A.C., por el financiamiento brindado al proyecto 1020070452 Evaluación Integral del Proceso Productivo Maderable, del cual se generó el presente trabajo. Al Fondo de Cooperación Internacional en Ciencia y Tecnología Unión EuropeaMéxico (FONCICYT, Proyecto: 92739), por propiciar la colaboración entre las instituciones involucradas en este trabajo.
LITERATURA CITADA
AGUILERA, A.; INZUNZA, L.; ALZAMORA, R.; TAPIA, L. 2005. Evaluación del costo de producción para faenas de aserrío portátil. Bosque. 26(2): 107114. [ Links ]
BIASI, C. P.; PEREIRA DA ROCHA, M. 2007. Rendimento em madeira serrada e quantificação de resíduos para três espécies tropicais. Floresta. 37(1): 95108. [ Links ]
BJÖRHEDEN, R. 1991. Basic time concepts for intcinational comparisons of time study reports. International Journal of Forest Engineering. 2(2): 3339. [ Links ]
FERREIRA, S.; LIMA, J. T.; SILVA DA, S. C.; TRUGILHO, P. F. 2004. Influência de métodos de desdobro tangenciais no rendimento e na qualidade da madeira de clones de Eucalyptus spp. Cerne. 10(1): 1021. [ Links ]
GARCÍA, J. D.; MORALES, L.; VALENCIA, S. 2001. Coeficientes de aserrío para cuatro aserraderos banda en el Sur de Jalisco. ForestaAN. Nota técnica Núm. 5. UAAAN, Saltillo, Coah. 12 p. [ Links ]
GROSSER, D. 1980. Defeitos da madeira. Série técnica FUPEF. Núm. 2. 62 p. [ Links ]
HERNÁNDEZ, R.; WIEMANN, M. C. 2006. Lumber processing in selected sawmills in Durango and Oaxaca, México. General Technical Report FPLGTR167. Madison, WI: U.S. Department of Agriculture, Forest Service, Forest Products Laboratory. 14 p. [ Links ]
HUSCH, B.; MILLER, C.; BEERS, T. 2003. Forest mensuration. 4th Ed. John Wiley & Sons. Hoboken, New Jersey. 443 p. [ Links ]
MENESES, M.; GUZMÁN, S. 2000. Productividad y eficiencia en la producción forestal basadas en las plantaciones de pino radiata. Bosque. 21(2): 311. [ Links ]
MURARA, M. I.; DA ROCHA, M. P.; TIMOFEICZYK, R. J. 2005. Rendimento em madeira serrada de Pinus taeda para duas metodologias de desdobro. Floresta. 35(3): 473483. [ Links ]
QUIRÓS, R.; CHINCHILLA, O.; GÓMEZ, M. 2005. Rendimiento en aserrío y procesamiento primario de madera proveniente de plantaciones forestales. Agronomía Costarricense. 29(2): 715. [ Links ]
ROMAHN DE LA V. C. F.; RAMÍREZ, H. M.; TREVIÑO, G. J. L. 1987. Dendrometría. Serie de apoyo académico Núm. 26. División de Ciencias Forestales. UACh, Chapingo, México. 387 p. [ Links ]
SAS INSTITUTE INC. 2004 SAS/STAT® 9.1.2. User's Guide. Cary, NC: SAS Institute Inc. [ Links ]
SCANAVACA, L.; GARCIA, J. N. 2003. Rendimento em madeira serrada de Eucalyptus urophylla. Scientia Forestalis. 63: 3243. [ Links ]
STEELE, P. H. 1984. Factors determining lumber recovery in sawmilling. Gen. Tech. Rep. FPL39. Madison, WI: U.S. Department of Agriculture, Forest Service, Forest Products Laboratory. 8 p. [ Links ]
UCODEFO 6. 1997. Memoria general de predios del programa de manejo forestal 19972007. El Salto, Durango, México. 207 p. [ Links ]
VALÉRIO, Á. F.; WATZLAWICK, L. F.; BALBINOT, R.; WINCKER, M. V.; FILHO, A. F. 2009. Modelagem para a estimativa do rendimento no desdobro de toras de Araucaria angustifolia (Bertol.) Kuntze. Floresta. 39(3): 619628. [ Links ]
VALÉRIO, Á. F.; WATZLAWICK, L. F.; DOS SANTOS, R, T.; BRANDELERO, C.; KOEHLER, H. 2007. Quantificação de resíduos e rendimento no desdobro de Araucaria angustifolia (Bertol.) O. Kuntze. Floresta. 37(3): 387397. [ Links ]
VELÁZQUEZ, V. D.; MANZANARES, A. K.; GUYAT, D. M. A.; SÁNCHEZ, T. E. 2006. Rendimiento de materia prima en un aserradero de la Provincia de Pinar del Río, Cuba. Revista Forestal Baracoa. 25(1): 97104. [ Links ]
VIGNOTE, P. S.; MARTÍNEZ, R. I. 2005. Tecnología de la madera. Ediciones MundiPrensa Libros S.A. Tercera Edición. Madrid, España. 687 p. [ Links ]
VILLAGÓMEZ, L. M.; GARCÍA, A. D. 1986. El estudio de trabajo y su aplicación en las operaciones de abastecimiento forestal. Ciencia Forestal en México. 59(11): 162180. [ Links ]
WANG, S. Y.; LIN, CH. J.; CHIU, CH. M. 2003. Effects of thinning and pruning on knots and lumber recovery of Taiwania (Taiwania cryptomerioides) planted in the LuKuei area. J Wood Sci. 49: 444449 [ Links ]
YANG, K. CH.; PULKKI, R. E. 2002. Sample Size Determination and Probability Level Estimation. Taiwan J For Sci. 17(2): 135141. [ Links ]
ZAVALA, Z. D.; HERNÁNDEZ, C. R. 2000. Análisis del rendimiento y utilidad del proceso de aserrío de trocería de pino. Madera y Bosques. 6(2): 4155. [ Links ]
ZAVALA, Z. D. 1996. Coeficientes de aprovechamiento de trocería de pino en aserraderos banda. Ciencia Forestal en México. 21(79): 165181. [ Links ]













