Servicios Personalizados
Revista
Articulo
Indicadores
-
Citado por SciELO -
Accesos
Links relacionados
-
Similares en
SciELO
Compartir
Therya
versión On-line ISSN 2007-3364
Therya vol.1 no.2 La Paz ago. 2010
https://doi.org/10.12933/therya-10-15
Artículos
Estudio mastofaunístico del Parque Nacional Malinche, Tlaxcala, México
José Antonio Ruiz-Soberanes1 y Graciela Gómez-Álvarez1
1 Laboratorio de Vertebrados, Facultad de Ciencias, Universidad Nacional Autónoma de México. Circuito Exterior, Ciudad Universitaria, México, D. F. E-mail: rusoberanes@yahoo.com.mx (JARS), ggal1@prodigy.net.mx (GGA)
Sometido: 15 abril 2009.
Revisado: 29 abril 2010.
Aceptado: 5 junio 2010.
Resumen
Se realizó un inventario de los mamíferos silvestres que habitan en el Parque Nacional Malinche a través de capturas y registros de rastros. La distribución de cada especie a lo largo del volcán Malinche se determinó en cuatro tipos de vegetación: cultivos (15 especies), bosque de pino (27 especies), bosque de pino-aile y oyamel (19 especies), y zacatonal de alta montaña (cuatro especies). Durante 2007 y 2008, se registraron un total de 27 especies pertenecientes a 22 géneros, 14 familias y 7 órdenes, incluyendo 5 especies endémicas a México (Sylvilagus cunicularius, Peromyscus difficilis, P. melanotis, Neotomodon alstoni y Sorex oreopolus). Los mamíferos del volcán Malinche representan el 40.3 % de las especies de mamíferos del estado de Tlaxcala.
Palabras clave: Eje Neovolcánico Transversal, inventario, mamíferos silvestres, Parque Nacional Malinche, Tlaxcala.
Abstract
An inventory of wild mammals that inhabit the Malinche National Park was done through captures and records of traces. The distribution for each species along the Malinche Volcano was determined within four vegetation types: crops (15 species), pine forest (27 species), pine-alder-fir forest (19 species), and mountain grassland (four species). During 2007 and 2008, a total of 27 species from 22 genera, 14 families and 7 orders were recorded, including 5 endemic species to Mexico (Sylvilagus cunicularius, Peromyscus difficilis, P. melanotis, Neotomodon alstoni, and Sorex oreopolus). Mammals from the Malinche Volcano represent 40.3% of the total mammal species for the state of Tlaxcala.
Key words: Inventory, Malinche National Park, Tlaxcala, Trans-Mexican Volcanic Belt, wild mammals.
Introduction
El eje Neovolcánico Transversal es una de las zonas de mayor importancia de mamíferos de México y uno de los principales centros de endemismo (Fa y Morales 1993), debido a que es una zona con compleja topografía, altitudes y climas. Aunado a lo anterior, la historia geológica de México provee un mosaico de ambientes, hábitat y microhábitat para un importante número de especies residentes y migratorias, siendo responsable de un intricado patrón de distribución de éstas (Fa 1989; Rzedowski y Rzedowski 1989).
El volcán Malinche se ubica dentro de esta cordillera, entre los estados de Tlaxcala y Puebla, y representa una montaña aislada (Meade 1986), con una elevación de 4,461 msnm, siendo la quinta elevación más importante de México (Yarza de la Torre 1971). La gran importancia del Parque Nacional Malinche, localizado en este volcán, es que está destinado a la protección y conservación de sus recursos naturales y al mantenimiento de flora y fauna en general.
Estudios realizados en otras localidades del eje Neovolcánico Transversal refieren la presencia de 36 especies de mamíferos en la sierra del Ajusco (Aranda et al. 1980), 59 en el sur de la cuenca de México (Monroy-Vilchis et al. 1999), y 19 en el Parque Nacional Pico de Orizaba (Martínez 2000). Para el Parque Nacional Malinche, se mencionan 37 especies de mamíferos registradas a partir de una revisión bibliográfica (Fernández 2005). No obstante, en dicha localidad, no se conoce un listado de mamíferos, producto de una investigación campo.
Por tal motivo, el objetivo del estudio es realizar un inventario de mamíferos que habitan el Parque Nacional Malinche, mediante capturas y búsqueda de rastros indirectos, así como registrar la distribución de las especies a lo largo del volcán (desde las faldas a 2,600 msnm hasta las partes más altas a 4,400 msnm).
Materiales y Métodos
El área de estudio esta ubicada en el volcán Malinche o Matlalcueyatl. Cuenta con una extensión de 45,711 ha, de las cuales 33,032 corresponden al estado de Tlaxcala y 12,679 al estado de Puebla (Melo 1977) y tiene una altitud máxima de 4,461 msnm (Fig. 1). El Parque Nacional Malinche presenta dos tipos de clima: por debajo de los 2,800 msnm es un clima templado con una temperatura entre los 18 y 12 °C y por encima de los 2,800 msnm es un clima semifrío donde la temperatura fluctúa entre los 12 y 5 °C (García 1964). En el Parque Nacional Malinche existen tres asociaciones vegetales naturales, bosque de pino, bosque de pino-aile y oyamel y zacatonal de alta montaña, además de otras zonas inducidas como los cultivos. Las especies predominantes dentro del bosque de pino son Pinus hartwegii, P. leiophylla, P. montezumae, P. pseudostrobus y P. teocote. En el bosque de pino-aile y oyamel se encuentran las especies de pino antes mencionadas, así como el aile (Alnus jorullensis) y el oyamel (Abies religiosa), y en el zacatonal de alta montaña se observan pastos que crecen en amplios macollos de hasta 1m de altura, siendo la especie (Festuca tolucensis) la que conforma esta comunidad vegetal (Villers et al. 2006). Los cultivos de temporal dominantes en esta zona son básicamente el trigo (Triticum aestivum) y el maíz (Zea mays), aunque alternadamente se siembran leguminosas como el chícharo (Pisum sativum) y la haba (Vicia faba). Entre las plantaciones frutales hay manzanos (Malus pumilas), duraznos (Prunus persica), capulín (Prunus capulí) y tejocote (Crataegus pubescens; Gómez-Álvarez 2002).
El estudio se realizó durante junio y diciembre de 2007, y marzo y junio de 2008. En cada mes, por espacio de una semana, se realizaron capturas y búsqueda de rastros. El permiso de captura que se utilizó fue SGPA/DGVS/03954/07 expedido por la Dirección General de Vida Silvestre de la Subsecretaría de Gestión para la Protección Ambiental de la Secretaria del Medio Ambiente y Recursos Naturales (SEMARNAT). Para la captura de murciélagos se instalaron tres redes de nylon (12 x 2.5 m) en un horario de 18:00 a 1:00 horas. Se colocaron cerca de los cuerpos de agua, entre la vegetación, sobre los caminos, al exterior de algunos refugios y en oquedades en las paredes de las cañadas donde potencialmente podrían encontrarse los organismos, debido a la disponibilidad de alimento y refugio. Los mamíferos pequeños se capturaron con 65 trampas "Sherman" plegables colocadas a lo largo de transectos altitudinales en los cuatro tipos de vegetación que conforman el parque. Estas trampas se cebaron con una mezcla de crema de cacahuate, plátano, avena y vainilla (Romero-Almaraz et al. 2000). En el caso de los soricomorfos se colocaron dos líneas de desvío con 25 trampas "Pitfall" en cada línea, ubicadas principalmente en sitios con abundante hojarasca. Para la colecta de los mamíferos medianos se utilizaron cinco trampas "Tomahawk" (0.48 x 0.15 x 0.15 m) y cinco trampas "Havahart" (tres de 1.07 x 0.28 x 0.33 m y dos de 0.61 x 0.18 x 0.18 m) cebadas con atún, huevo cocido o sardina y colocadas en sitios donde se registró actividad de mamíferos, dando prioridad a sitios como madrigueras y cuerpos de agua, para maximizar el esfuerzo de captura. Todas las trampas se colocaron durante el día de 7:00 a 17:00 horas; fueron revisadas al día siguiente de 7:00 a 12:00 horas, aproximadamente.
Los registros indirectos consistieron en la búsqueda de excretas, huellas, pelo y revisión de egagrópilas de lechuzas (Tyto alba). Dichas egagrópilas se colectaron durante el trabajo de campo, para su posterior análisis en el laboratorio. Se humedeció cada una de manera manual, separando las partes óseas como cráneos o mandíbulas, las cuales se identificaron con las claves de Hall (1981). Se colocaron 10 estaciones olfativas para registro de huellas en los cuatro tipos de vegetación que conforman el parque. Cada estación olfativa consistió en preparar un círculo de tierra tamizada de aproximadamente 1 m de diámetro, en cuyo centro se colocó el atrayente olfativo (sardina) en una pastilla hecha de yeso, dejándola activa por una noche y revisándola al siguiente día (11:00 horas aproximadamente). De los 30 ejemplares capturados, 12 se prepararon como ejemplares de museo por ser organismos que no se pudieron identificar en campo, y el resto fueron liberados después de ser identificados en la zona de estudio. Los ejemplares preparados se depositaron en la Colección de Mamíferos del Parque Nacional Malinche, Tlaxcala, a cargo de Graciela Gómez Álvarez en el Laboratorio de Vertebrados de la Facultad de Ciencias de la Universidad Nacional Autónoma de México (con números de catálogo 185 a 197). Se identificaron con las claves Hall (1981) y Álvarez et al. (1994). Para la identificación de huellas y excretas se utilizó la guía de huellas y otros rastros de los mamíferos grandes y medianos de México (Aranda 2000).
La lista taxonómica se elaboró tomando en cuenta los ejemplares del Laboratorio de Vertebrados de la Facultad de Ciencias, UNAM, capturados desde 1987 a 2002, utilizando los mismos sitios de muestreo y técnicas utilizadas en el presente estudio, y aquellos colectados y registrados en el presente trabajo. La lista se presenta de acuerdo a la nomenclatura y orden taxonómico referida por Ramírez-Pulido et al. (2005a).
Las curvas de acumulación se realizaron con los programas EstimateS 8.0 (Colwell 2006) y Statistica 8.0 (Statsoft 2008) y se ajustaron con el modelo de Clench (1979). Con el objeto de analizar las curvas de acumulación por grupo de mamíferos. Se consideró el tamaño corporal de los mismos, determinando tres grupos de acuerdo con Ceballos et al. (2002): mamíferos pequeños (de 1 a 100 g), mamíferos medianos (de 101g a 10 kg) y grandes mamíferos (de 10 kg en adelante), asimismo se tomó en cuenta un cuarto grupo correspondiente a los murciélagos.
Resultados
Durante las cuatro visitas al área de estudio se colectaron 30 ejemplares de mamíferos; a partir de los rastros indirectos se identificaron a: Didelphis virginiana, Dasypus novemcinctus, Sciurus aureogaster, Lynx rufus, Urocyon cineroargenteus, Sylvilagus sp. y posibles rastros de Canis latrans, además de encontrar en 15 egagrópilas analizadas, especies como Peromyscus melanotis, P. maniculatus, Microtus mexicanus y Sorex orepolus. A los anteriores se sumaron 185 organismos colectados en la misma zona de estudio, lo cual hace un total de 215 ejemplares, agrupados en 27 especies, pertenecientes a 22 géneros, 14 familias y siete órdenes (Tabla 1).
El orden mejor representado es Rodentia con 12 especies (44.4%), seguido de Carnivora con ocho especies (29.7%), Lagomorpha y Chiroptera con dos especies cada uno (14.8%) y Didelphimorphia, Cingulata y Soricomorpha con una especie cada uno (11.1%). El Parque Nacional Malinche comprende el 40.3% de las especies reportadas para el estado de Tlaxcala (67 especies; Fernández et al. en prep.), de las cuales cinco especies son endémicas a México (Sylvilagus cunicularius, Peromyscus difficilis, P. melanotis, Neotomodon alstoni y Sorex oreopolus; Tabla 1). Un dato importante es que se capturó por primera vez en el Parque Nacional Malinche la especie endémica Netomodon alstoni. Ninguna de la especies de mamíferos que habitan en el parque se encuentran listadas en la NOM-059-SEMARNAT-2001 (SEMARNAT 2002). Sin embargo, en la lista roja de especies amenazadas de la Unión Internacional para la Conservación de la Naturaleza (IUCN 2009), S. oreopolus y S. cunicularius están consideradas especies amenazadas y M. mexicanus como especie vulnerable. En cuanto a la composición de los mamíferos del Parque Nacional Malinche se puede notar que el 63% de las especies comparten afinidad Neártica-Neotropical y el 37% de las especies son de afinidad exclusivamente Neártica; no existen aquellas de afinidad exclusivamente Neotropical.
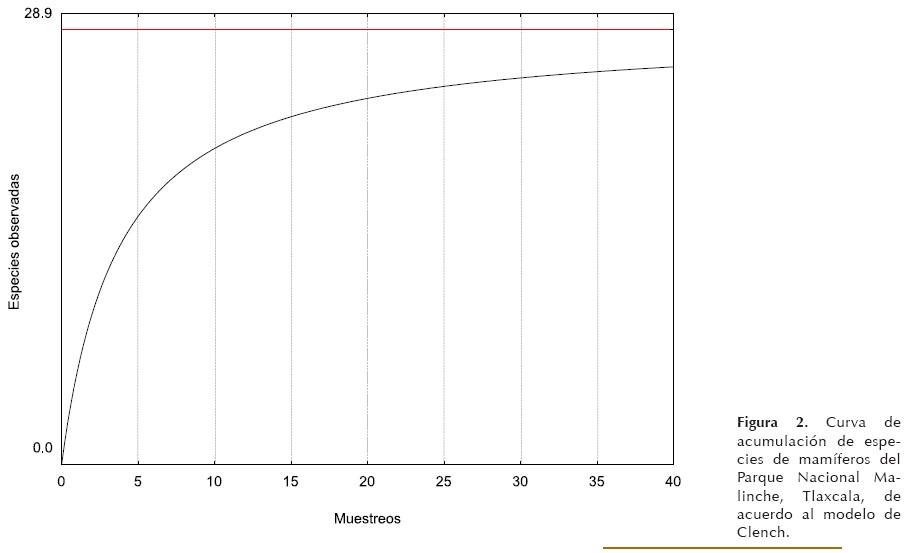
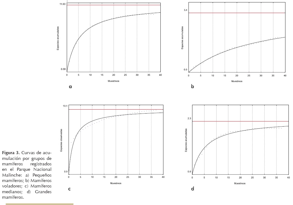
Respecto a la calidad del inventario, se registraron 27 taxa, lo que equivale al 93% de las especies que habitan el Parque Nacional Malinche (Fig. 2). Al analizar los grupos de las especies registradas por separado, se registró el 85%, con referencia al número total predicho por el modelo de Clench (1979), de pequeños mamíferos (P. difficilis, P gratus, P. leucopus, P. maniculatus, P. melanotis, Reithrodontomys fulvescens, N. alstoni, M. mexicanus, Liomys irroratus y S. oreopolus)- El 98%, con referencia al número total predicho por el modelo de Clench (1979), de mamíferos de talla mediana (D. virginiana, D. novemcinctus, S. cunicularius, S. floridanus, S. aureogaster, S. variegatus, T. umbrinus, U. cineroargenteus, Mustela frenata, Spilogalegracilis, Conepatus leuconotus, Bassariscus astutus y Procyon lotor), el 86%, con referencia al número total predicho por el modelo de Clench (1979), de grandes mamíferos (L. rufus y C. latrans) y sólo el 58% de las especies de murciélagos de la región (Fig. 3).La distribución de los mamíferos en el Parque Nacional Malinche por tipo de vegetación fue de 15 especies en los cultivos, 27 en el bosque de pino, 19 en el bosque de pino-aile y oyamel y 4 en el zacatonal de alta montaña. En la zona de cultivo se encontraron las ocho especies del orden Carnivora (L. rufus, U. cineroargenteus, C. latrans, M. frenata, S. gracilis, C. leuconotus, B. astutus y P. lotor) registradas para el parque, además del tlacuache (D. virginana), el armadillo (D. novemcinctus), el ardillón (S. variegatus), la tuza (T. umbrinus), el murciélago cenizo (Lasiurus cinereus), el murciélago (Myotis velifer) y el ratón (P. maniculatus). El bosque de pino fue la zona donde se registraron todas las especies de mamíferos que habitan el Parque Nacional Malinche. En el bosque de pino-aile y oyamel se obtuvieron registros de las ocho especies de múridos (Tabla 1), así como el ratón espinoso (L. irroratus) y la ardilla gris (S. aureogaster). Mediante rastros indirectos como huellas, excretas, cráneos y pelo, se observó la presencia de seis especies de carnívoros: el lince (L. rufus), el coyote (C. latrans), la comadreja (M. frenata), el zorrillo manchado (S. gracilis), el zorrillo espalda blanca (C. leuconotus) y el mapache (P. lotor), al igual que dos especies de conejos: S. cunicularius y S. floridanus, y la musaraña (S. oreopolus). Por último, en el zacatonal de alta montaña sólo se capturaron los lagomorfos S. cunicularius y S. floridanus y dos roedores de la familia Cricetidae (P. maniculatus y P. melanotis).
Discusión
De acuerdo a los resultados obtenidos la lista de especies de mamíferos del Parque Nacional Malinche esta cercana a su totalidad, registrando el 93% de las especies del volcán. Sin embargo, el número de especies es bajo en comparación con otras zonas del eje Neovolcánico Transversal. Ejemplo de ello es la lista de los mamíferos de la sierra del Ajusco, en la cual se refieren 36 especies de mamíferos (Aranda et al. 1980) y la lista del sur de la cuenca de México, donde se reportan 59 especies (Monroy-Vilchis et al. 1999). Un factor relacionado con la baja riqueza de especies en el Parque Nacional Malinche, es su característica de volcán aislado de otras zonas montañosas, lo cual puede influir en el flujo genético con poblaciones de otras zonas. Sumado a esta problemática, el tamaño pequeño de la reserva (45,711 ha) podría estar provocando que se formen poblaciones endogámicas y como consecuencia, se reduzcan las poblaciones hasta llegar a la extinción (Zunino y Zullini 2003).
El porcentaje de pequeños roedores (33.3%) en el Parque Nacional Malinche obedece a que la mayoría de las especies de este orden generalmente se distribuyen en las regiones áridas o templadas como el eje Neovolcánico Transversal (Ceballos et al. 2002). Otro factor importante reside en que es uno de los grupos más fecundos, ya que los roedores (P. difficilis, Pgratus, P. leucopus, P. maniculatus, P. melanotis, R. fulvescens, N. alstoni, M. mexicanus y L. irroratus) del Parque Nacional Malinche presentan tasas reproductivas altas durante todo el año, teniendo dos o más camadas al año y de tres a seis crías por parto (Castro-Campillo et al. 2005; Chávez 2005a, b; Chávez y Ceballos 2005; Chávez y Espinosa 2005; Espinosa y Chávez 2005; González y Cervantes 2005; Ramírez-Pulido et al. 2005b; Sánchez y Oliva 2005). Dicha capacidad ayuda a que las poblaciones se mantengan estables, y por otro lado, provean un recurso alimenticio importante para otros organismos como carnívoros, aves y reptiles.
Resulta relevante mencionar que es el primer registro de especie endémica a México, Neotomodon alstoni en el Parque Nacional Malinche y con distribución restringida al eje Neovolcánico Transversal, amplía su distribución dentro del estado de Tlaxcala y a lo largo de la cordillera Neovolcánica, ya que no se habían documentado registros previos en la zona (Hall 1981; Stephen et al. 1985; Chávez y Gallardo 1993; Ceballos y Oliva 2005b). Dentro del Orden de los carnívoros se confirmó la presencia, mediante algunos registros indirectos, de especies como el lince (L. rufus) con 14 excretas, el mapache (P. lotor) con cuatro excretas, el coyote (C. latrans) con seis excretas, un cráneo y ocho huellas, y la zorra gris (U. cineroargenteus) con cuatro excretas, pero es posible que sus poblaciones estén muy disminuidas. Con esto, se hace notar la necesidad de estudiar a fondo dichas especies para su evaluación.
Del total de especies registradas por Fernández (2005), 12 no se registraron en el presente estudio: Ictiodomys mexicanus, Neotoma mexicana, Peromyscus levipes, Reithrodontomys chrysopsis, R. megalotis, R. sumichrastri, Mephitis macroura, Sorex saussurei, S. ventralis, Artibeus aztecus, Eptesicus fuscus y Myotis lucifuga. Esto puede tener su explicación en que la lista teórica de especies reportada (Fernández 2005) se elaboró a partir de una recopilación bibliográfica de trabajos faunísticos realizados en el parque y no de un estudio que involucre un muestreo de campo, el cual verifique la presencia de especies de mamíferos en la zona. Ejemplo de lo anterior es la inclusión del murciélago Mormoops megalophylla y el coatí Nasua narica, los cuales se distribuyen principalmente en zonas neotropicales (Fernández 2005), pero no se registraron en este estudio.
Todas las especies de mamíferos que habitan el Parque Nacional Malinche se ven afectadas por la reducción del hábitat y sería importante analizar las poblaciones para establecer programas de protección o conservación (Chávez et al. 1990). Algunos de los principales factores que causan la disminución de las poblaciones en esta zona, son la cacería y la reducción del hábitat. La cacería indiscriminada ha tenido un gran impacto sobre los mamíferos silvestres, causando el decremento de poblaciones de una gran variedad de especies (Ceballos y Galindo 1984). Sin embargo, el principal factor de riesgo para los mamíferos en esta zona parece ser la reducción del hábitat, debido a que se ha observado en el parque actividades relacionadas a la tala indiscriminada dentro del bosque. De continuar el deterioro ambiental en la zona de estudio y no tomarse medidas de manejo y conservación adecuadas en las próximas décadas, indudablemente estarán en serio peligro muchas de las especies de mamíferos que se distribuyen localmente. Ejemplo de ello es el coyote (C. latrans), que no ha sido observado recientemente, según la información proporcionada por los guardabosques y lugareños de pueblos aledaños. Sin embargo, se encontró un cráneo y se registraron huellas durante los recorridos en el parque. Una situación semejante se ha presentado con la zorra gris (U. cineroargenteus) y el mapache (P. lotor) que de acuerdo a los habitantes de las faldas del volcán se veían con más frecuencia. Los resultados de este estudio demuestran que en el Parque Nacional Malinche, habitan 27 especies de mamíferos, aunque posiblemente pudieran encontrarse algunas especies más. Al analizar los resultados de las curvas de acumulación por grupo, se observa que se ha registrado un alto porcentaje (más del 85%) de las especies de pequeños, medianos y grandes mamíferos; a excepción de los quirópteros. Para este grupo se registró un bajo porcentaje de especies (58%) y se requiere más tiempo para registrar mayor número de especies.
Lo anterior es debido a que el tamaño y composición de un inventario de especies varía con el tiempo (Adler y Lauenroth 2003). Una especie puede ampliar o reducir su distribución en función de cambios en el ambiente y pueden no ser detectables todos lo años (Jiménez-Valverde y Hortal 2003). Por lo tanto, conviene tener presente que un inventario real no llega a completarse casi nunca y la estimación final del número de especies depende de la resolución temporal y espacial que empleemos en el muestreo (Adler y Lauenroth 2003). De acuerdo a los hábitos de las especies, sus áreas de distribución y las características de la zona de estudio, las posibles especies faltantes en el inventario pueden ser soricomorfos, murciélagos y roedores, por lo que es deseable realizar estudios enfocados a dichos grupos de mamíferos.
En cuanto a la distribución altitudinal se observa que el mayor número de registros se obtuvo en la zona de bosque de pino (2,800 a 3,300 msnm), seguido del bosque de pino-aile y oyamel (3,300 a 4,000 msnm), cultivos (2,600 a 2,800 msnm) y el zacatonal de alta montaña (4,000 a 4,400 msnm). Es posible que entre los factores que determinan las diferencias de distribución de los animales, se encuentren la disponibilidad de alimento (Morrison et al. 1981), la cobertura vegetal y la época de apareamiento (Aragón et al. 1993; Chávez y Gallardo 1993; Sánchez et al. 1996; Galindo-Leal y Krebs 1997; Mandujano 1997).
El número de especies de pequeños roedores presentes en el bosque de pino y bosque de pino-aile y oyamel se debe a varios factores. Estos organismos son especialistas en su dieta, es decir que su alimento está disponible preferentemente en las zonas boscosas, y por consiguiente, sólo tienen movimientos altitudinales en dicha zona; a excepción de P. maniculatus y P. melanotis, los que se adaptan a distintos ambientes, y son de dieta generalista, razón por lo que P. maniculatus se distribuye a lo largo del parque y P. melanotis desde el bosque de pino hasta el zacatonal de alta montaña. Aunado a lo anterior, se reproducen durante todo el año y sus camadas son grandes (de cinco a nueve crías por parto), teniendo de dos a tres camadas por año (Castro-Campillo et al. 2005; Ramírez-Pulido et al. 2005b).
La única especie de musaraña (S. oreopolus) se registró en los bosques de pino y pino-aile y oyamel, ya que sus desplazamientos los realiza principalmente debajo del estrato inferior del bosque, zona donde construye sus refugios (Ceballos y Oliva 2005b). Otros mamíferos como el tlacuache D. virginiana y el cacomixtle B. astutus se registraron principalmente en los cultivos. Al presentar un patrón altamente oportunista, cuentan con disponibilidad de alimento como restos de comida arrojada de los pueblos aledaños, frutos de los árboles (como el capulín), algunas plántulas y el aguamiel de los magueyes, asimismo encuentran un sitio adecuado en las cañadas para formar sus madrigueras (Nava 2005; Zarza y Medellín 2005).
Los carnívoros de talla mediana como: la zorra gris U. cineroargenteus, la comadreja M. frenata, el mapache P. lotor y los zorrillos C. leuconotus y S. gracilis se registraron en las zonas de bosque de pino y bosque de pino-aile y oyamel. Estos organismos coexisten con las presas que consumen normalmente como: ratones, aves, lagomorfos, pequeños reptiles, así como frutos (Ceballos 2005; Ceballos y Oliva 2005a; Mendoza y Ceballos 2005; Servín y Chacón 2005; Valenzuela 2005). Además estas zonas proveen un sitio apropiado para refugiarse de las condiciones ambientales y protegerse de sus depredadores. Las incursiones en los cultivos de estos organismos se dan principalmente cuando la disponibilidad de alimento en las zonas boscosas disminuye, teniendo que recorrer mayores distancias en busca de alimento (Jiménez et al. 1999).
Los lagomorfos del parque se distribuyen desde el bosque de pino hasta el páramo de altura. Son herbívoros y se alimentan principalmente de pastos, utilizando zacatonales y maleza como sitios adecuados para construir madrigueras (Cervantes et al. 2005; Lorenzo y Cervantes 2005).
El coyote (C. latrans) y el lince (L. rufus), se registraron principalmente dentro de la zona de bosque de pino-aile y oyamel, hallando también rastros en el bosque de pino y los cultivos. Estos organismos habitan el bosque debido a la densidad de ratones y lagomorfos que hay en esta zona; además el bosque les provee un sitio adecuado para refugiarse y desplazarse fácilmente, ya sea para cazar a sus presas o para no ser presa fácil de los pobladores.
Agradecimientos
Agradecemos al personal del Laboratorio de Vertebrados de la Facultad de Ciencias, de la UNAM y de la Estación Científica La Malinche (ECLM) por su apoyo en la estancia durante las visitas a campo. Al personal de la Colección Nacional de Mamíferos (CNMA) del Instituto de Biología, UNAM por el espacio prestado para la identificación de algunos organismos. Muy especialmente a S. R. Reyes Gómez, N. Pacheco Coronel y J. L. Pérez por su apoyo en la colecta e identificación de las especies. A. J. Vargas Cuenca por la asesoría en la identificación de roedores, y a M. Á. Blanco, D. González, A. Vázquez, R. Arce, A. Puente, B. Brito, R. González, D. Reygadas, L. Ruiz y A. Medina por su apoyo durante las visitas a campo.
Referencias
Adler, P. B., y W. K. Laurenroth. 2003. The power of the time: spatiotemporal scaling of species diversity. Ecological Letter 6:749-756. [ Links ]
Álvarez, T., S. T. Alvarez-Castañeda, y J. C. López Vidal. 1994. Claves para murciélagos mexicanos. Centro de Investigaciones Biológicas del Noroeste, S. C. y Escuela Nacional de ciencias Biológicas-Instituto Politécnico Nacional (CIBNOR/ENCB-IPN). México, Distrito Federal. [ Links ]
Aragón, Ε. Ε., Ν. A. Millan, y C. Baudoin. 1993. Ciclos de actividad y organización espacial de las ardillas Spermophilus spilosoma y S. mexicanus (Rodentia: Sciuridae) en el desierto Chihuahuense Durango, México. Pp. 273-287 in Avances en el Estudio de los Mamíferos de México (Medellín, R. A., y G. Ceballos, eds.). Publicaciones especiales, Vol. 1, Asociación Mexicana de Mastozoología, A. C. México, Distrito Federal. [ Links ]
Aranda, M. 2000. Huellas y otros rastros de los mamíferos grandes y medianos de México. Comisión Nacional para el Conocimiento y Uso de la Biodiversidad e Instituto de Ecología, A. C. Xalapa, México. [ Links ]
Aranda, M., C. Martínez del Río, R. Colmenero, y S. Magallón. 1980. Los mamíferos de la Sierra del Ajusco. Comisión Coordinadora para el Desarrollo Agropecuario del Distrito Federal. 1a Ed. México, Distrito Federal. [ Links ]
Castro-Campillo, Α., M. Martínez-Coronel, U. Aguilera, y J. Ramírez-Pulido. 2005. Peromyscus melanotis (J. A. Allen y Chapman 1897) ratón. Pp. 754-756 in Los Mamíferos Silvestres de México (Ceballos, G., y G. Oliva, coords.). Comisión Nacional para el Conocimiento y Uso de la Biodiversidad y Fondo de Cultura Económica. México, D. F. [ Links ]
Ceballos, G. 2005. Spilogalegracilis (Merriam 1890) zorrillo manchado. Pp. 392-393 in Los Mamíferos Silvestres de México (Ceballos, G., y G. Oliva, coords.). Comisión Nacional para el Conocimiento y Uso de la Biodiversidad y Fondo de Cultura Económica. México, D. F. [ Links ]
Ceballos, G., y C. Galindo. 1984. Mamíferos silvestres de la cuenca de México. Limusa. México, Distrito Federal. [ Links ]
Ceballos, G., J. Arroyo-Cabrales, y R. Α. Medellín. 2002. Mamíferos de México. Pp. 377-413 in Diversidad y conservación de los mamíferos Neotropicales. Comisión Nacional para el Conocimiento y Uso de la Biodiversidad-Universidad Nacional Autónoma de México (CONABIO-UNAM). México, Distrito Federal. [ Links ]
Ceballos, G., y G. Oliva. 2005a. Mustela frenata (Lichtenstein 1831) comadreja. Pp. 380-381 in Los Mamíferos Silvestres de México (Ceballos, G., y G. Oliva, coords.). Comisión Nacional para el Conocimiento y Uso de la Biodiversidad y Fondo de Cultura Económica. México, Distrito Federal. [ Links ]
Ceballos, G., y G. Oliva. 2005b. Mamíferos silvestres de México Comisión Nacional para el Conocimiento y Uso de la Biodiversidad y Fondo de Cultura Económica. México, Distrito Federal. [ Links ]
Cervantes, F. Α., P. Delgado, y Α. L. Colmenares. 2005. Sylvilagus cunicularius (Waterhouse 1848) conejo. Pp. 842-843 in Los Mamíferos Silvestres de México (Ceballos, G., y G. Oliva, coords.). Comisión Nacional para el Conocimiento y Uso de la Biodiversidad y Fondo de Cultura Económica. México, Distrito Federal. [ Links ]
Chávez, C. J. M. Ramos, y Ν. Trigo. 1990. Plan de manejo integral para el Parque Nacional "La Malinche" y su área de amortiguamiento. Cuadernos del CIIH, UNAM: Serie Seminarios 1:217-237. [ Links ]
Chávez, T. C. 2005a. Neotomodon alstoni (Merriam 1898) ratón de los volcanes. Pp. 699-701 in Los Mamíferos Silvestres de México (Ceballos, G., y G. Oliva, coords.). Comisión Nacional para el Conocimiento y Uso de la Biodiversidad y Fondo de Cultura Económica. México, Distrito Federal. [ Links ]
Chávez, J. C. 2005b. Peromyscusgratus (Merriam 1898) ratón piñonero. Pp. 735-736 in Los Mamíferos Silvestres de México (Ceballos, G., y G. Oliva, coords.). Comisión Nacional para el Conocimiento y Uso de la Biodiversidad y Fondo de Cultura Económica. México, Distrito Federal. [ Links ]
Chávez, T. C., y L. Α. Espinosa. 2005. Peromyscus leucopus (Rafinesque 1818) ratón. Pp. 744-745 in Los Mamíferos Silvestres de México (Ceballos, G., y G. Oliva, coords.). Comisión Nacional para el Conocimiento y Uso de la Biodiversidad y Fondo de Cultura Económica. México, Distrito Federal. [ Links ]
Chávez, T. J. C., y G. Ceballos. 2005. Peromyscus difficilis (J. A. Allen 1891) ratón. Pp. 729-730 in Los Mamíferos Silvestres de México (Ceballos, G., y G. Oliva, coords.). Comisión Nacional para el Conocimiento y Uso de la Biodiversidad y Fondo de Cultura Económica. México, Distrito Federal. [ Links ]
Chávez, T. C., y R. Gallardo. 1993. Demografía y reproducción de Neotomodon alstoni en la Sierra de la Ajusco, México. Pp. 317-331 in Avances en el Estudio de los Mamíferos de México (Medellín, R. A., y G. Ceballos, eds.). Publicaciones especiales, Vol. 1, Asociación Mexicana de Mastozoología, A. C. México, Distrito Federal. [ Links ]
Colwell, R. K. 2006. Estimates: statistical estimation of species richness and shared species from samples (Software and User's Guide). Versión 8.0. [ Links ]
Espinosa, L. Α., y T. C. Chávez. 2005. Liomys irroratus (Gray, 1868) ratón espinoso. Pp. 628-629 in Los Mamíferos Silvestres de México (Ceballos, G., y G. Oliva, coords.). Comisión Nacional para el Conocimiento y Uso de la Biodiversidad y Fondo de Cultura Económica. México, Distrito Federal [ Links ]
Fa, J. Ε. 1989. Conservation-motivated analysis of mammalian biogeography in the trans-Mexican Neovolcanic Belt. National Geographic Research 5:296-316. [ Links ]
Fa, J. Ε., y L. M. Morales. 1993. Mammals of Mexico: priorizing diversity. Pp. 319-361 in Biological diversity of Mexico: origins and distribution (Ramamoorthy, T. P., R. Bye, A. Lot y J. Fa, eds.). Oxford University Press. New York. [ Links ]
Fernández, J. Α., F. Cervantes, y M. C. Corona. En preparación. Lista de mamíferos de Tlaxcala: diversidad y conservación. [ Links ]
Fernández, J. Α. 2005. Mamíferos. Pp. 137-148 in Biodiversidad del Parque Nacional Malinche, Tlaxcala, México (Fernández, J. A., y J. C. López-Domínguez, eds.). Coordinación General de Ecología Estado de Tlaxcala. México. [ Links ]
Galindo-Leal, C., y C. J. Krebs. 1997. Habitat structure and demographic variability of habitat specialist: the rock mouse (Peromyscus difficilis). Revista Mexicana de Mastozoología 2:72-89. [ Links ]
García, Ε. 1964. Modificaciones al Sistema de Clasificación Climático de Köppen (para adaptarlo a las condiciones de la República Mexicana) 2a Ed. Corregida y aumentada 1973. Instituto de Geografía., UNAM. México, Distrito Federal. [ Links ]
Gómez-Álvarez, G. 2002. Descripción de las comunidades de aves del volcán Maliche, Tlaxcala. Tesis Doctoral, Facultad de Ciencias, Universidad Nacional Autónoma de México. México, Distrito Federal. [ Links ]
González, R. M., y F. Α. Cervantes. 2005. Microtus mexicanus (Saussure 1861) meteorito. Pp. 659-660 in Los Mamíferos Silvestres de México (Ceballos, G., y G. Oliva, coords.). Comisión Nacional para el Conocimiento y Uso de la Biodiversidad y Fondo de Cultura Económica. México, Distrito Federal. [ Links ]
Hall, Ε. R. 1981. The mammals of North America. 2a Ed. John Wiley & Sons. NewYork. International Union for Conservation of Nature and Natural Resources (IUCN). 2009. IUCN Red List of Threatened Species. Version 2009.2. www.iucnredlist.org [ Links ]
Jiménez, G. Α., M. Α. Zuñiga, y J. Α. Niño. 1999. Mamíferos de Nuevo León, México. Universidad Autónoma de Nuevo León. México. [ Links ]
Jímenez-Valverde, Α., y J. Hortal. 2003. Las curvas de acumulación de especies y la necesidad de evaluar la calidad de los inventarios biológicos. Revista Ibérica de Aracnología 8:151-161. [ Links ]
Lorenzo, C. ,y F. Α. Cervantes. 2005. Sylvilagus floridanus (J. A. Allen 1890) Conejo. Pp. 843-845 in Los Mamíferos Silvestres de México (Ceballos, G., y G. Oliva, coords.). Comisión Nacional para el Conocimiento y Uso de la Biodiversidad y Fondo de Cultura Económica. México, Distrito Federal. [ Links ]
Mandujano, S. 1997. Densidad poblacional de la ardilla gris del pacífico (Sciurus colliaei) en un bosque tropical de caducifolio de Jalisco. Revista Mexicana de Mastozoología 2:90-96. [ Links ]
Martínez, J. 2000. Mastofauna de la vertiente occidental (Este) del Parque Nacional Pico de Orizaba, Puebla. Universidad Autónoma de Puebla. [ Links ]
Meade, Α. M. 1986. Monografía de Contla. Centro de Estudios Monográficos de Tlaxcala, México. [ Links ]
Melo, G. C. 1977. Parques Nacionales (Conferencias). Instituto de Geografía, UNAM. Series varios. Tomo 1 No. 2. [ Links ]
Mendoza, D. Α., y G. Ceballos. 2005. Conepatus leuconotus (Lichtenstein 1832) zorrillo espalda blanca. Pp. 386-387 in Los Mamíferos Silvestres de México (Ceballos, G., y G. Oliva, coords.). Comisión Nacional para el Conocimiento y Uso de la Biodiversidad y Fondo de Cultura Económica. México, Distrito Federal. [ Links ]
Monroy-Vilchis, O., H. Rangel-Cordero, M. Aranda, Α. Velázquez, y F. J. Romero. 1999. Los mamíferos de hábitats templados del sur de la Cuenca de México. Pp. 142-153 in Biodiversidad de la Región de Montaña del Sur de la Cuenca de México (Velázquez, A., y F. J. Romero, eds.). Universidad Autónoma Metropolitana y Secretaría del Medio Ambiente. México, Distrito Federal. [ Links ]
Morrison, D. W., R. M. Edmunds, G. L. Linscombe, y J. W. Goertz. 1981. Evaluation of specific scent station variables in Northcentral Louisiana. Association Fish and Wild. Agencies 35:281-291. [ Links ]
Nava, V. V. 2005. Bassariscus astutus (Lichtenstein, 1830) cacomixtle. Pp. 408-409 in Los Mamíferos Silvestres de México (Ceballos, G., y G. Oliva, coords.). Comisión Nacional para el Conocimiento y Uso de la Biodiversidad y Fondo de Cultura Económica. México, Distrito Federal. [ Links ]
Ramírez-Pulido, J., J. Arroyo-Cabrales, y Α. Castro-Campillo. 2005a. Estado actual y relación nomenclatural de los mamíferos terrestres de México. Acta Zoológica Mexicana 21:21-82. [ Links ]
Ramírez-Pulido, J., Α. Sánchez, U. Aguilera, y Α. Castro-Campillo. 2005b. Peromyscus maniculatus (Wagner 1845) ratón. Pp. 748-750 in Los Mamíferos Silvestres de México (Ceballos, G., y G. Oliva, coords.). Comisión Nacional para el Conocimiento y Uso de la Biodiversidad y Fondo de Cultura Económica. México, Distrito Federal. [ Links ]
Romero-Alamaraz, M. L., C. Sánchez-Hernández, C. García-Estrada, y R. D. Owen. 2000. Mamíferos pequeños. Manual de técnicas de captura, preparación, preservación y estudio. Facultad de Ciencias, UNAM, Instituto de Biología, UNAM, Centro de Investigaciones Biológicas, UAEM. primera edición. [ Links ]
Rzedowski, J., y G. C. Rzedowski. 1989. Sinopsis numérica de la flora fanerogámica del Valle de México. Acta Botánica Mexicana 8:15-30. [ Links ]
Sánchez, C., C J. Alvarez, y M. L. Romero. 1996. Biological and ecological aspects of Microtus oaxacensis y Microtus mexicanus. Southwestern Naturalist 41:95-98. [ Links ]
Sánchez, O., y G. Oliva. 2005. Reithrodontomys fulvescens (J. A. Allen 1894) ratón. Pp. 780-782 in Los Mamíferos Silvestres de México (Ceballos, G., y G. Oliva, coords.). Comisión Nacional para el Conocimiento y Uso de la Biodiversidad y Fondo de Cultura Económica. México, Distrito Federal. [ Links ]
SEMARNAT. 2002. Norma Oficial Mexicana NOM-059-SEMARNAT-2001, Protección ambiental-especies nativas de México de flora y fauna silvestre-Categorías de riesgo y especificaciones para su inclusión, exclusión o cambio- Lista de especies en riesgo. Diario Oficial de la Nación, segunda sección.
Servín, J., y Ε. Chacón. 2005. Urocyon cineroargenteus (Schreber 1775) zorra gris. Pp. 354-355 in Los Mamíferos Silvestres de México (Ceballos, G., y G. Oliva, coords.). Comisión Nacional para el Conocimiento y Uso de la Biodiversidad y Fondo de Cultura Económica. México, Distrito Federal. [ Links ]
Statsoft. 2008. STATISTICA (data analysis software system and computer program manual). Version 8.0. Statsoft, Inc. Tulsa, OK. [ Links ]
Stephen, L. W., J. Ramírez-Pulido, y R. J. Baker. 1985. Peromyscus alstoni. Mammalian Species 242:1-4. [ Links ]
Valenzuela, G. D. 2005. Procyon lotor (Linnaeus 1758) mapache. Pp. 415-417 in Los Mamíferos Silvestres de México (Ceballos, G., y G. Oliva, coords.). Comisión Nacional para el Conocimiento y Uso de la Biodiversidad y Fondo de Cultura Económica. México, Distrito Federal. [ Links ]
Villers, R. L., F. Rojas, y P. Tenorio. 2006. Guía Botánica del Parque Nacional Malinche, Tlaxcala-Puebla. 1a Ed. Universidad Nacional Autónoma de México, Centro de Ciencias de la Atmósfera e Instituto de Biología. México, Distrito Federal. [ Links ]
Yarza de la Torre, Ε. 1971. Los volcanes de México. Ed. Aguilar. segunda edición. México, Distrito Federal. [ Links ]
Zarza, H., y R. Α. Medellín. 2005. Didelphis virginiana (Kerr, 1792) tlacuache. Pp. 108110 in Los Mamíferos Silvestres de México (Ceballos, G., y G. Oliva, coords.). Comisión Nacional para el Conocimiento y Uso de la Biodiversidad y Fondo de Cultura Económica. México, Distrito Federal. [ Links ]
Zunino, M., y Α. Zullini. 2003. Biogeografía la dimensión espacial de la evolución. Fondo de Cultura Económica. México, Distrito Federal. [ Links ]
Nota
Editor asociado Consuelo Lorenzo.













