Introducción
En tiempos recientes se ha incrementado el interés, por parte de especialistas en psicología y educación, acerca de la cognición de la persona común relativa al conocimiento y el conocer, para lo cual se ha acuñado el término “creencias epistemológicas” para diferenciarlo del saber erudito de un filósofo. El término se refiere al conjunto de creencias que las personas poseen y que afectan su relación de cómo se llega a conocer algo y en qué consiste ese proceso de conocer para lograr comprender la realidad. Esto incluye, entre otros, la definición de conocimiento, cómo se construye, cómo es evaluado, dónde reside y cómo sucede (Hofer, 2002).
El objetivo principal de este estudio fue comprender la relación que existe entre las creencias epistemológicas acerca de la naturaleza del conocimiento y el proceso de conocer y la comprensión de múltiples textos. Un segundo objetivo fue examinar la recuperación del proceso respecto a la resolución de los distintos instrumentos para destacar la influencia de la epistemología personal y el conocimiento del tema, además de comparar y explorar las distintas dimensiones y niveles de las creencias epistemológicas en relación con el conocimiento previo y la elaboración de inferencias en el tema del acoso escolar (bullying).
De forma reciente los lectores, sobre todo los estudiantes universitarios, están expuestos a la lectura de múltiples textos, los cuales en ocasiones son polémicos o contradictorios. En este sentido, nos preguntamos si el lector puede discernir entre sus propias prenociones acerca de un tema; en este caso, sobre el acoso escolar, y la información que lee en textos sobre este tema con diferente nivel de complejidad y rigurosidad.
En nuestro caso estuvimos interesados en analizar cuatro variables: 1) las creencias epistemológicas acerca de un tema particular -el acoso escolar-; 2) las creencias epistemológicas generales e independientes del tema; 3) la identificación de inferencias en múltiples textos de diferentes fuentes; 4) el conocimiento previo del tema de acoso. Las dos primeras tienen que ver con las creencias epistemológicas y las dos últimas con la comprensión lectora.
Marco analítico
Hay investigadores que han encontrado relación entre las creencias epistemológicas y los procesos de comprensión. La mayoría de estos estudios parten de William Perry (1970), Hoffer y Pintrich (1997), Schommer (1990; 2004), Pajares (1996), y más recientemente las investigaciones de Bråten et al. (2008) y Bråten, Britt, Strømsø y Rouet (2011). Además, hay suficiente evidencia para asegurar que las creencias epistemológicas tienen una fuerte relación con la motivación y el rendimiento académico (Bråten et al., 2008). En su evolución desde Perry pasando por Schommer, luego Hofer y Pintrich hasta llegar a la propuesta de Bråten et al. (2011), similar a la formulación de Muis, Bendixen y Haerle (2006), se describen cuatro dimensiones de las creencias epistemológicas, dos relativas a la naturaleza del conocimiento: simplicidad y certeza y otras dos relacionadas con el proceso de conocer: fuente y justificación. El argumento es que a mayor especificidad mejor poder de explicación, es decir, se puede partir de la exploración grosso modo de las creencias epistemológicas generales, pero una vez que se evalúan en el sentido del tema particular que se explora, como puede ser el cambio climático o el acoso escolar, la medida es más sensible a variables básicas para la comprensión, como el conocimiento previo y la elaboración de inferencias.
Esta investigación partió de un marco teórico sobre las creencias epistemológicas y sus dimensiones, sobre la comprensión entendida como la elaboración de inferencias de contenido y la intertextualidad (Hartman, 1994), como la serie de conexiones que hace un lector cuando lee uno o varios textos, y el modelo de documentos de Bråten y colaboradores que se basa fundamentalmente en la lectura de múltiples textos y los ajustes que el lector va realizando para adecuar sus estrategias de lectura a la o las tareas que debe realizar; entre otras, la construcción intertextual que permite al lector vincular pasajes de un texto con otro y argumentos que pueden estar opuestos. Es aquí donde un lector puede tomar posición y estar más de acuerdo con uno de los autores y disentir de otro. Pero también es posible que un solo documento contenga argumentos opuestos y el lector se apoye en otros textos para tomar una posición más fundamentada. En suma, este modelo opera con múltiples representaciones tanto de la información como de la tarea.
Antecedentes
Schommer (2004) hace una breve reseña de los estudios sobre las creencias personales acerca del conocimiento. Afirma, como otros, que el estudio pionero es el de William G. Perry (1970) que concluyó, entre otras cosas, que los estudiantes en los primeros grados universitarios, de manera cándida o simple, creen que el conocimiento es estable y proviene de una autoridad omnipresente que posee el conocimiento. Al paso de los años en la universidad, los estudiantes consideran estas creencias de manera más sofisticada o compleja, que el conocimiento es provisional y que proviene de la racionalidad empírica y de la investigación. Schommer (1990) afirma que Perry sugirió que los estudiantes transitan por las creencias epistemológicas según el nivel de desarrollo en que se encuentran. En los primeros estadios, con cierto grado de ingenuidad, creen que el conocimiento es correcto/incorrecto y que la autoridad conoce la respuesta. En estadios más avanzados consideran que hay múltiples posibilidades acerca del conocimiento.
Para Perry la naturaleza de las creencias afecta la forma de estudiar. Propone cuatro grandes categorías:
El dualismo: hay una visión correcta o incorrecta del mundo. La autoridad (el experto) sabe la verdad y la comparte con el estudiante.
La multiplicidad consiste en la diversidad e incertidumbre. La verdad es cognoscible. Todas las perspectivas son igualmente válidas. Cada persona tiene el derecho de tener su opinión.
El relativismo donde la persona quien crea el significado; el conocimiento es relativo y contextualizado.
Compromiso con relativismo, se refiere al compromiso con los valores, las relaciones y la identidad personal (Hofer y Pintrich, 1997: 91-92).
Schommer (2004) propone que el desarrollo de estas creencias no es sincrónico y congruente entre sus dimensiones, ya que un estudiante puede creer al mismo tiempo en la complejidad del conocimiento y creer de modo simple que es estable y absoluto; es decir, en el primer caso se considera sofisticado y evolucionado en tanto que en el segundo está en un nivel ingenuo.
Asimismo, Schommer (2004), apoyado en Bronfenbrenner (1979), advierte la necesidad de tomar en cuenta otras variables y sistemas como una ecología de la cultura, de las variables cognitivas y motivacionales que intervienen y se interconectan con el sistema de epistemologías personales (2004: 23). Propone seis sistemas interconectados de diversas maneras: la cultura, las creencias acerca del conocimiento, acerca de las formas de conocer, acerca del aprendizaje, la dinámica del aula y la autorregulación del aprendizaje (ibid.: 24).
Schommer (2004) estudió cómo las creencias epistemológicas influyen en la comprensión lectora y las competencias académicas. Su principal contribución es la sugerencia de que las creencias epistemológicas pueden ser un sistema de dimensiones relativamente independientes. Es decir, cada dimensión es un continuum en sí misma y no un paquete de creencias que funcionan de forma unitaria y monolítica en cada individuo.
Hofer y Pintrich (1997) se propusieron investigar cómo las creencias epistemológicas se conectan con las creencias disciplinares y qué otros vínculos se pueden hacer en cognición y motivación. Para este fin presentan una revisión del estado del arte en materia de creencias y conocimiento. Sobre todo, con relación a la naturaleza del conocimiento, el proceso de conocer y cómo evaluar el conocimiento. En principio, encuentran la necesidad de que se delimite el concepto de creencias epistemológicas acerca del conocimiento y del proceso de conocer, porque en los estudios revisados no es homogéneo.
Veamos, entonces, cómo se conceptualizan estas cuatro dimensiones: la certeza y la simplicidad del conocimiento y en el proceso de conocer: la fuente y la justificación.
La certeza se puede caracterizar como una visión que parte del conocimiento como absoluto, estable e inmutable a través del tiempo, hasta otro extremo donde el conocimiento está sujeto a un proceso constante de cambio y desarrollo, aquí los estudiantes consideran el conocimiento siempre tentativo y en evolución versus estable y verdadero; se refiere al grado en que se ve el conocimiento como fijo o más líquido. En grados ingenuos, la verdad absoluta existe con certeza. En niveles más sofisticados, el conocimiento es tentativo y evolutivo.
En la simplicidad se identifica una postura personal acerca de la estructura del conocimiento y oscila entre una posición ingenua donde el conocimiento está ya formado de manera discreta en componentes aislados, hasta la posición más sofisticada donde el conocimiento es complejo. Esta dimensión define el grado en que los estudiantes consideran la estructura del conocimiento como un conjunto de conceptos interrelacionados y teorías complejas o como una acumulación simple de hechos aislados e inconexos entre sí. Esta dimensión del conocimiento se ve como en un continuo, desde una acumulación de hechos hasta conceptos y categorías altamente interrelacionados. En la visión ingenua está la idea del conocimiento como concreto y de hechos cognoscibles; en los niveles más sofisticados los individuos ven el conocimiento como relativo, contingente y contextual.
La fuente del conocimiento, visto como proceso, varía desde la posición ingenua donde hay una autoridad omnisciente, que puede ser un autor, un texto u otra figura de autoridad, para imponer el conocimiento, hasta una posición donde el conocimiento se adquiere a través de experiencias individuales e interacción con otros. En una postura ingenua, el origen del conocimiento se ubica fuera de la persona. Aprendices más sofisticados creen ser ellos mismos progenitores del conocimiento, aquí se evalúa hasta qué punto los estudiantes se consideran a sí mismos como una fuente válida de conocimiento y no creen que el conocimiento debe ser transmitido y elaborado únicamente por los expertos.
La justificación para conocer hace referencia a las creencias sofisticadas acerca de cómo el conocimiento debe justificarse y contrastarse, mediante el empleo de estrategias de razonamiento, comprobación empírica y la evaluación crítica de fuentes diversas, en contraposición a las creencias ingenuas, que debe construirse atendiendo a aquello que cada uno siente o percibe que es correcto o “está bien” en el momento: ‘‘what feels right at the time” (Hofer, 2004: 46). Va desde justificar el conocimiento sobre la base de que lo que uno siente está bien, hasta el uso de reglas o normas de investigación (método), evaluación e integración de múltiples fuentes de información.
Apoyados en este modelo de creencias epistemológicas, el grupo noruego de Bråten, Strømsø y Samuelstuen (2008) estudiaron el efecto de dos dimensiones de creencias sobre la comprensión a un tema en múltiples textos; el cambio climático y las dimensiones de simplicidad y fuente del conocimiento particulares al tema. Encontraron que los estudiantes con altos grados de sofisticación en la dimensión de simplicidad tienen mejor comprensión, es decir, creer que el conocimiento sobre el cambio climático es complejo, con conceptos interrelacionados y teorías temporales favorece la comprensión. Sin embargo, los estudiantes que poseían la dimensión fuente del conocimiento en su grado de ingenuidad tuvieron mejor comprensión, es decir, creen que el conocimiento lo dictan e imponen los expertos, como figuras de autoridad. Más aún, los mejores niveles de comprensión de múltiples textos sobre un mismo tema los encontraron en la combinación de sofisticación en la dimensión de simplicidad junto con niveles de ingenuidad en la dimensión fuente del conocimiento. Estos resultados les permiten afirmar que la convicción de que el conocimiento se construye por el individuo hace que los lectores se concentren mucho en la interpretación subjetiva y no tanto en el texto y el autor. Los resultados demostraron que poseer creencias en un nivel sofisticado no siempre es suficiente y destacan con evidencia que en ocasiones las creencias ingenuas son mejores auxiliares para la comprensión de múltiples textos.
Tres años después este mismo grupo propuso el modelo de documentos para referirse a la lectura de múltiples textos y por tanto a la intertextualidad (Bråten et al., 2011), bajo la premisa de que actualmente las personas tienen diferentes fuentes de información al realizar la lectura de varios textos que abordan un mismo tema. Ahora bien, un lector puede hacer vínculos intratextuales, intertextuales y extratextuales (Hartman, 1994). Bråten y sus colaboradores piensan que las creencias epistemológicas juegan un papel importante en el denominado modelo de documentos. Para Perfetti (citado por Bråten), el objetivo de este modelo es describir el tipo de estructuras representacionales que se producen para aprender desde múltiples textos. Este modelo de documentos parte de la propuesta de Kintsch (1988; 1998) (modelo Construcción-Integración) tratando de superarla, ya que añade a la noción de conocimiento previo, la idea que el lector tiene de las diferentes fuentes (Britt y Perfetti, citado por Bråten et al., 2011). En esencia, explica la forma en que un lector competente intenta comprender el contenido de múltiples textos sobre un mismo tema tratado desde diferentes perspectivas o fuentes, que incluso pueden ser contradictorias o polémicas. También aborda la forma en la que los lectores construyen representaciones mentales coherentes de comparación, identificando semejanzas y diferencias. Hay, además, una representación que hace el lector sobre el autor (por ejemplo, credenciales, perspectivas), sobre el documento (por ejemplo, fecha y editorial), sobre los objetivos retóricos (audiencia), de manera que el lector puede dar por verdadera la información o dudar de ella y buscar otra forma de verificarla. También hay una representación de los fines o tareas que se desprenden de la lectura. La Tabla 1 muestra la comparación de las creencias epistemológicas de acuerdo con su dimensión, entre los dos modelos, según este grupo de investigadores.
Tabla 1 Comparación entre modelos y creencias asociadas
| Simplicidad | Certeza | Fuente | Justificación | |
|---|---|---|---|---|
| Modelo de construcción-integración | Sofisticado: Define tareas como integración, aspira a una representación coherente, monitorea y acepta una comprensión integrada. | Conocimiento provisional y evolucionado: Corrobora para crear un esquema argumentativo. | Trasmitido por expertos: Otorga criterio de verdad a la información; busca el conocimiento de los expertos. | Adaptado: Establece puentes entre diferentes perspectivas; utiliza un esquema argumentativo para organizar una situación modelo. |
| Ingenuo: Define tareas como acumulación, aspira a tener un catálogo de elementos. Confía en parafrasear; acepta una comprensión fragmentada. | Conocimiento absoluto: Procesa información superficial en cada texto para encontrar respuestas correctas. | El sujeto construye el conocimiento: Hace menos diferencia entre lo confiable y lo poco confiable; corrobora menos. | Mal adaptado: Utiliza estrategias metacognitivas. Utiliza menos el esquema de una situación modelo. | |
| Modelo de construcción intertextual | Sofisticado: Desconfía de la información de fuentes simples. | Provisional y evolucionado: Define las tareas cono la exploración de diferentes fuentes; tiene como objetivo entender diferentes perspectivas; usa un esquema argumentativo | Trasmitido por expertos: Define la tarea como el proceso de entender el punto de vista de los expertos; pone atención a las características relevantes de la fuente. | Adaptado: Presta atención y evalúa la fuente. |
| Ingenuo: Cree en fuentes sencillas. | Absoluto: Define las tareas como encontrar las respuestas verdaderas; aspira a reproducir soluciones incuestionables; acepta la identificación de información correcta. | El sujeto construye conocimiento: Define la tarea como la elaboración de un punto de vista personal; subestima la necesidad de otras fuentes. | Mal adaptado: Presta poca atención a evaluar el origen de la fuente. |
Fuente.: adaptado a partir deBråten et al. (2011: 59).
Finalmente Ferguson (2015), al reseñar las principales aportaciones de este grupo noruego, propone que la “justificación adaptativa” incluye la corroboración y atención a la fuente de la información y que las creencias epistemológicas sofisticadas se dan cuando el estudiante reconoce la necesidad de evaluar la información por sus cualidades y las herramientas propias de cada disciplina. De aquí la necesidad de que las nuevas habilidades de lectura deban incluir un foco epistémico tanto como una serie de estrategias para lidiar con la incertidumbre.
Ahora bien, hay una discusión importante que introducen Berding y colaboradores (2017) al proponer que se diferencien las creencias epistemológicas en general; es decir, no de tipo académico; las creencias específicas en contextos académicos y las particulares en un campo disciplinar o dominio específico al que todo estudiante ha sido expuesto. E incluso afirman que las creencias particulares sobre un dominio tienen un mayor impacto en el aprendizaje que las creencias epistemológicas en general. Pero advierten que no hay información suficiente, por lo que es menester seguir investigando la relación de las creencias epistemológicas en diferentes dominios disciplinares y sus implicaciones para el aprendizaje.
Los estudios más recientes incorporan metodologías cualitativas o mixtas tratando de superar las limitaciones de los estudios eminentemente cuantitativos. Leila Ferguson junto con Bråten y Strømsø, en 2012, apoyados metodológicamente en estudios de Greene y colaboradores (2008), exploran los componentes y el cambio que ocurre durante la lectura de múltiples textos contradictorios. Greene y Yu (2014) retoman la entrevista, antes utilizada por Perry, para comparar expertos y novatos en biología e historia. Utilizaron los pensamientos en voz alta, la observación y la entrevista.
En México hay estudios que basándose en este marco teórico han realizado investigaciones con diferentes poblaciones. Zanotto y Gaeta (2017) estudiaron a cinco doctorandos de Pedagogía, en el marco de un seminario de investigación, utilizando una metodología mixta. Los resultados las llevaron a clasificar a los estudiantes a partir de sus creencias ingenuas o sofisticadas en cuanto a la naturaleza del conocimiento y al proceso de conocer. La mayoría de estos estudiantes poseen un perfil ingenuo de creencias epistemológicas sobre la naturaleza del conocimiento y el proceso de conocer, lo cual llama la atención de los autores dado que son estudiantes de posgrado y se esperaría que tuvieran creencias sofisticadas. Estos lectores no desplegaron estrategias de lectura intertextual sino más bien intratextual. Encontraron una relación significativa entre las creencias más sofisticadas sobre la fuente del conocimiento y justificación, lo que asocian a una mejor comprensión del tema de las lecturas y al tipo de creencia que desplegaron con relación al conocimiento.
Hernández (2017) estudió las creencias en estudiantes de posgrado y afirma que éstas son representaciones no necesariamente conscientes, pero que sí juegan un papel en la realización de ciertas actividades. En su estudio relaciona las creencias y la escritura académica, concluyendo que éstas se ven influidas por las denominadas comunidades de práctica; es decir, que cada disciplina configura un tipo de creencia acera del canon de su escritura: reproductiva, transmisiva, transaccional o constructiva.
En este estudio veremos algunas diferencias con relación a los hallazgos que hemos mostrado en estudios precedentes, las cuales quizá se deben a la disciplina de donde provienen nuestros participantes, al tema común que elegimos: el acoso escolar, o a otros factores que pueden indagarse a través de nuevos estudios.
Las inferencias
La comprensión del discurso implica una función inferencial compleja. Partiendo de contenidos descritos en un texto, el lector elabora un conjunto de proposiciones explícitas o inferidas y, al mismo tiempo, construye un modelo mental de la situación del texto a partir de las ideas o proposiciones disponibles. El resultado final es que siempre acabamos procesando más información de la que leemos de manera explícita, puesto que unimos lo que hemos leído u oído con aquello que sabemos acerca de algo.
Las inferencias se consideran una acción imprescindible en la comprensión del discurso y evidentemente en la lectura. Hay autores que afirman que incluso, las inferencias dependen del tipo y género de texto e incluso de la cultura (León, 2001). García Madruga y colaboradores (1999) hacen una clasificación a partir de diferentes posiciones teóricas, las minimalistas y las constructivistas. Las enunciaremos sucintamente ya que nuestro objetivo fundamental sólo es dejar establecida su importancia en la comprensión de la coherencia de un texto.
De acuerdo con la teoría constructivista, la representación mental de un texto supone muchas inferencias que incluyen información explícita y conexiones globales entre las proposiciones (León, 2001; García et al., 1999). Las inferencias que se generan después de leer un texto pueden ser: consecuentes causales, pragmáticas, instrumentales o predictivas. Éstas ofrecen información complementaria a lo ya leído y comprendido (León, 2001).
Si tomamos la clasificación de García et al. tenemos la siguiente tipología:
Inferencias de causa-efecto dentro de la estructura del texto. Pueden denominarse inferencias causales o puente porque son un eslabón que conecta una cadena de acontecimientos. Hay otras inferencias puente que conectan diversas partes del texto y que no necesariamente están presentes de forma consecutiva.
Las obligatorias o necesarias, que pueden ser también las referenciales; por ejemplo, las anafóricas, que consisten en la omisión de una palabra para hacer leíble el texto, o bien el uso de pronombres:
Las elaborativas son de mayor complejidad. Enriquecen el texto porque establecen conexiones con lo que el lector ya sabe y no está escrito. Es decir, no es necesario dar más información porque el lector posee la información cultural o contextual que rodea al texto.
Las cognitivas, de suma importancia, operan de forma controlada y hacen uso del conocimiento general semántico y pragmático.
Definición del problema
Sabemos que el proceso lector se basa en múltiples representaciones, de las que no están excluidas las creencias epistemológicas, sus diferentes dimensiones y niveles. Asimismo, sostenemos que hacen falta más estudios para conocer las representaciones que se activan durante la lectura.
Podemos afirmar que los individuos tenemos una base de creencias, entre otras, las epistemológicas y que éstas se ven influidas por el sistema escolar que nos ha dejado cierta huella, el contexto cultural y el campo temático o la propia disciplina que crea ciertas lógicas discursivas y metodológicas.
En nuestro caso, la presente investigación busca entender la relación entre las creencias acerca de la naturaleza del conocimiento y el proceso de conocer y la comprensión lectora de múltiples textos sobre un tema específico: el acoso escolar (bullying). Con base en esto planteamos las siguientes preguntas generales:
¿Existe asociación positiva entre las creencias epistemológicas particulares y generales?
¿Las creencias epistemológicas acerca de la naturaleza del conocimiento y el proceso de conocer están relacionadas con el desempeño lector?
Cuando se solicita recuperar información de múltiples textos leídos sobre un tema, ¿qué influye más: las creencias particulares sobre el tema o las creencias epistemológicas?
Las hipótesis que nos propusimos probar son:
Las creencias epistemológicas acerca de la naturaleza del conocimiento y el proceso de conocer un tema específico están relacionadas con el desempeño lector en la comprensión de múltiples textos.
Cuando se solicita la recuperación del proceso lector, a partir de la recuperación de la información contenida en múltiples textos sobre un solo tema, las creencias particulares influyen más que las creencias epistemológicas generales.
La toma de posición personal acerca de un tema, después de la lectura de múltiples textos, está relacionada con las creencias epistemológicas acerca de la naturaleza del conocimiento y el proceso de conocer.
Método
Se realizó un estudio descriptivo y correlacional de corte cuantitativo y transeccional porque las evaluaciones se realizaron en un periodo específico de tiempo.
Se trata de una muestra a conveniencia de 36 estudiantes universitarios; 29 eran estudiantes de la licenciatura en Psicología de la Universidad de Guadalajara, del tercer semestre y siete participantes pertenecían a un programa de maestría en el área de la educación de la misma universidad, los cuales cursaban también su tercer semestre.
Del total de participantes la mayoría fueron mujeres, con más del 90%; con una media de edad para los estudiantes de psicología de 19.6 años (DE = 1.5) y para los alumnos de maestría con una edad media de 39.6 años (DE = 10.2).
Instrumentos
Para responder a las hipótesis que nos planteamos utilizamos cuatro diferentes materiales, para evaluar igual número de factores, que entregamos a los estudiantes en una carpeta que contenía:
Datos generales de identificación.
Cuestionario de conocimiento previo del tema Acoso Escolar, como medio para cuantificar en términos ordinales el conocimiento previo que se posee.
Cuestionario de creencias epistemológicas. El instrumento utilizado fue la escala de Likert, de 1 a 5, donde 1 significa estar “totalmente en desacuerdo” hasta 5 que significa “totalmente de acuerdo”, con el fin de evaluar las creencias personales en dos distintos niveles, uno general y otro relativo al tema particular, y todos los reactivos (61 en total) asociados a cuatro dimensiones epistemológicas del conocimiento: simplicidad, certeza, fuente y justificación. El instrumento se basó en Schommer (1990; 2004) y Berding y colaboradores (2017).
Tres textos diferentes acerca del acoso escolar. 1) El reportaje de un periódico español El País, de un caso real en Estados Unidos que narra la historia de un padre que justifica el castigo a su hijo que hace acoso escolar; 2) un artículo de opinión en la revista mexicana Nexos donde argumenta que el acoso escolar se ha exagerado últimamente como una moda psicológica porque éste siempre ha existido, y 3) un artículo científico del Anuario de Psicología Clínica y de la Salud en donde se describe y explica el acoso escolar.
Cuestionario cerrado en el que evaluamos la comprensión de los textos a partir de la identificación y selección ante la presentación de inferencias puente y elaborativas, ya que son las que conectan los acontecimientos descritos o argumentados. La consigna consistió en elegir las inferencias que se desprendían estrictamente de la lectura. Las inferencias fueron elaboradas previamente y por separado por cada uno de los investigadores y sometidas a valoración de un experto en el tema.
Una entrevista estructurada. Al final de las pruebas escritas, arriba señaladas, a cada alumno y por separado se le hicieron preguntas abiertas sobre el proceso que siguieron para contestar las pruebas escritas, explorando si sus respuestas estuvieron influidas o no por su conocimiento previo, y saber si emplearon alguna estrategia lectora con múltiples fuentes.
Procedimiento
Una vez que los investigadores nos presentamos al grupo de estudiantes, se les hizo una breve introducción al estudio y sus objetivos, pidiéndoles responder las pruebas escritas de manera individual.
A cada estudiante se le entregó una carpeta con los instrumentos y las consignas de cada tarea. Para identificar a cada uno, respetando el anonimato, se les pidió escribir un nombre ficticio, elegido por cada uno con la instrucción de respetar el género. Una vez terminadas las tareas, cada estudiante fue entrevistado por el equipo de investigadores (2) y un auxiliar entrenado. Algunos datos relevantes se presentan en la Tabla 2.
Tabla 2 Características de la muestra
| Total de participantes | N | Mínimo | Máximo | Media |
Desviación estándar |
|---|---|---|---|---|---|
| Total de participantes | 36 | ||||
| Psicología | 29 | ||||
| Posgrado | 7 | ||||
| Género (Mujer) | 34 | ||||
| Edad | 19 | 59 | 23.50 | 9.15 | |
| Conocimiento previo | 6 | 13 | 8.90 | 1.77 | |
| Inferencias texto 1 | 4 | 11 | 8.33 | 1.84 | |
| Inferencias texto 2 | 3 | 11 | 7.97 | 1.68 | |
| Inferencias texto 3 | 4 | 10 | 8.31 | 1.47 | |
| Inferencias totales | 16 | 31 | 24.61 | 3.86 |
Fuente.: elaboración propia.
Resultados
En los análisis que a continuación presentamos, se persiguen varios objetivos; el primero fue establecer la presencia o ausencia, así como la fuerza de asociación entre variables personales y de conocimiento previo.
Un aspecto importante fue conocer si están relacionados el conocimiento previo sobre el tema del acoso y el desempeño lector en la identificación de inferencias en múltiples textos. Lo que se encontró fue que los valores de ambas variables no están correlacionados de manera significativa, r s = 0.043, p = 0.803. Para todos los participantes el conocimiento previo en general es básico y con poca variabilidad, diríamos con un nivel informado, pues en la prueba correspondiente, de un total de 16 puntos máximo posible, sólo tres participantes obtuvieron entre 12 y 13 puntos, con una media general de 9 puntos.
En una exploración de concordancia entre los valores obtenidos en la variable de conocimiento previo y cada una de las diferentes dimensiones de creencias epistemológicas; justificación, simplicidad, certeza y fuente de conocimiento, tanto en el aumento o disminución, según un mayor o menor nivel de conocimiento previo del tema, no se encontró correlación alguna, positiva o negativa.
Como se puede observar en la Figura 1, en todos los participantes, que fueron ordenados de manera ascendente según su puntaje en el número de inferencias identificadas, la dimensión de creencia relativa a la justificación del conocimiento es visiblemente más alta que en las otras tres dimensiones, del mismo modo le sigue con un mayor puntaje la dimensión de certeza, pero esto es menos evidente.

Figura 1 Media de puntajes por participante en las 4 diferentes dimensiones de creencias epistemológicas
Un análisis a detalle de las relaciones entre los dos niveles de creencias: un nivel relacionado al tema, particular, y el otro nivel general para cada una de las dimensiones, se muestra en las gráficas de la Figura 2.

Figura 2 Media de puntajes en la escala Likert por participante en cada una de las cuatro dimensiones de creencias epistemológicas, en sus dos niveles: general y particular
Lo que se observa en la Figura 2 es cada una de las dimensiones de creencias epistemológicas con el puntaje medio para cada participante ordenado en la abscisa de manera ascendente, de acuerdo con el número de inferencias obtenido. Para la creencia epistemológica de justificación del conocimiento existe un nivel de congruencia alto entre el nivel general y particular de dicha dimensión, es decir, coincide la postura personal en términos generales y respecto del tema particular en esta dimensión, lo cual comparado con las otras dimensiones es la más consistente, mostrando además un nivel sofisticado en dicha creencia en ambos niveles, por ejemplo, se sostiene esta afirmación en el nivel general “cuando leo algo interesante, trato de compararlo con el conocimiento de múltiples fuentes”, que tiene congruencia con esta otra afirmación a nivel del tema particular: “cuando leo sobre temas relacionados con el acoso escolar, intento llegar a una comprensión personal del contenido”. Lo cual no ocurre en las demás dimensiones, incluso muestran posturas antagónicas en el nivel general y el relativo al tema, en las dimensiones de certeza y simplicidad esto es más evidente.
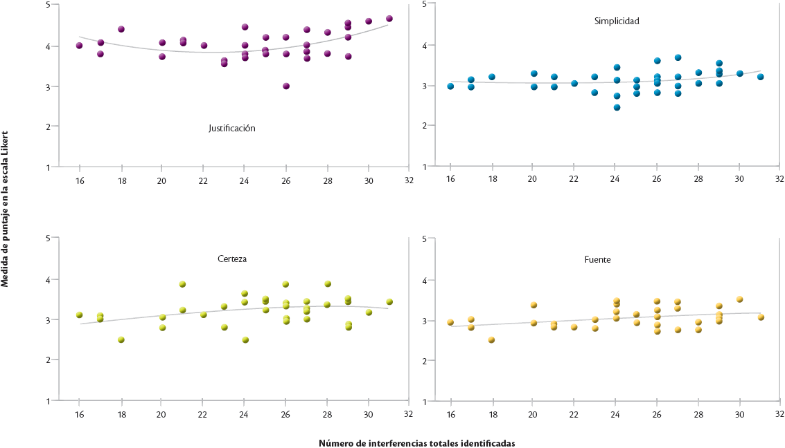
En la Figura 3 se puede observar que para todas las dimensiones, conforme aumenta el número de inferencias identificadas en los tres textos, también aumenta, aunque de manera leve, el grado de sofisticación de la creencia, la línea de regresión de segundo grado ayuda a confirmar esta relación positiva, lo cual es más evidente en las dimensiones de justificación y de certeza.

Figura 3 Media de puntajes en escala Likert para cada una de las dimensiones y número de inferencias totales identificadas en los textos
En la entrevista estructurada posterior a la evaluación en los distintos instrumentos se categorizó y midió la frecuencia de respuestas. Se etiquetaron en una base de datos que distinguía a los lectores con mayor número de inferencias correctas (alto desempeño) de aquellos que obtuvieron menor número de aciertos (bajo desempeño), con la intención de hacer un análisis de las diferencias en sus creencias entre unos y otros.
Se analizaron ocho casos de alto desempeño y nueve de bajo, sobre todo a partir de identificar las creencias en su nivel sofisticado e ingenuo.
Tabla 3 Frecuencia de ocurrencia de creencias en la entrevista, según su dimensión y grado comparado con el desempeño lector
| Dimensiones | Alto desempeño lector | Bajo desempeño lector | ||
|---|---|---|---|---|
| sofisticada | ingenua | sofisticada | ingenua | |
| Fuente | 5 | 5 | 4 | 1 |
| Justificación | 7 | 2 | 4 | 2 |
| Certeza | 3 | 2 | 2 | 1 |
| Simplicidad | - | 2 | - | - |
Fuente.: elaboración propia.
Las dos primeras dimensiones corresponden al proceso de conocer (fuente y justificación) y son más mencionadas que las dos últimas que se refieren a la naturaleza del conocimiento (certeza y simplicidad). Esto es interesante, porque muestra la capacidad que tienen los lectores de reportar (verbalizar) su proceso mental en el que están presentes las creencias. A partir de esta capacidad de reportar hay una clara diferencia entre los mejores lectores y aquéllos de menor desempeño. Los primeros no sólo tienden a tener creencias más sofisticadas, sino que además reportan un mayor número de éstas.
Analicemos ahora la naturaleza del conocimiento. Los lectores, en ambos casos, tienden a creer que el conocimiento es evolutivo, pero también que tiene verdades absolutas. Esto quizá es menos nítido que otras creencias ya que sólo difieren en un participante. En cambio, no hay creencias sofisticadas con relación a creer que el conocimiento es relativo; muy pocos lectores con alto desempeño piensan ingenuamente que el conocimiento es concreto y basado en hechos cognoscibles. En suma, parece que se cree que el conocimiento es evolutivo, pero al mismo tiempo concreto.
Con relación al proceso de conocer, destaca la justificación de las demás dimensiones. A pesar de tener, como ya decíamos, más reportes en los mejores lectores, ambos grupos tienden a tener creencias sofisticadas y reportar que el proceso de conocer obedece a que el conocimiento se basa en normas y reglas científicas. Los mejores lectores están en igualdad de respuestas con relación a los de bajo rendimiento al creer que la persona construye el conocimiento y que es importante la interacción con otros. Consideramos que es posible hipotetizar la influencia de la escuela con relación a la justificación y la fuente (proceso de conocer).
Líneas arriba veíamos que según los resultados de Bråten et al. (2008), los estudiantes que sostienen creencias sofisticadas sobre la fuente y creen que el conocimiento es una construcción personal, obtienen resultados más pobres que los estudiantes que tienen creencias ingenuas sobre la fuente y ven el conocimiento como algo transmitido por expertos.
Discusión
La comprensión lectora, cuando se leen múltiples textos de distintas fuentes, no sólo depende de las propiedades de los textos y de las características del lector, sino de lo que el lector hace para comprender aquello que lee, por lo que el papel de las inferencias en la comprensión de un tema a partir de múltiples textos se vuelve más relevante, pues la diversidad de textos con posturas contrarias, contenido debatible y/o complementario convierte la tarea de comprensión en un proceso complejo en la toma de postura y reafirmación con creencias personales previas para aprender los diferentes contenidos textuales.
La concepción personal acerca del conocimiento y del proceso de conocer, creencias epistemológicas sobre la práctica científica, el conocimiento válido y los procesos y productos de la ciencia, son estructuras de conocimiento que operan diferencialmente según la dimensión de que se trate y que se desarrollan como resultado individual de prácticas en distintos contextos: familiar, escolar y cultural, aunque este estudio no permitió profundizar la variable cultural, más allá de la escolaridad y la disciplina de estudio, no por ello dejamos de reconocer su importancia. Las dimensiones analizadas en el presente estudio: fuente, certeza, simplicidad y justificación, confirman su independencia entre sí, así como entre sus niveles general y particular. Los datos señalan un sistema de creencias epistemológicas personales que puede tener al mismo tiempo ciertas dimensiones en un grado sofisticado y otras en un grado ingenuo, además, dentro de una misma dimensión, como el caso de la certeza y la simplicidad, las creencias pueden ser al mismo tiempo ingenua en lo general pero sofisticada en lo particular, este contraste, pensamos, depende en buena medida del tema específico del acoso escolar combinado con la disciplina académica de los participantes.
Todas las dimensiones de creencias epistemológicas muestran un nivel de sofisticación o complejidad alto para la mayoría de los participantes, lo cual es independiente del nivel de competencia lectora y cantidad de conocimiento previo; en su nivel general y particular o relativo al tema del acoso escolar, esto es más evidente para la dimensión de la justificación del conocimiento (Hofer y Pintrich, 1997), que señala la naturaleza del saber, y se refiere a cómo los individuos justifican y evalúan el conocimiento.
Respecto a la cantidad de conocimiento previo sobre el acoso escolar (bullying) no se encontró relación alguna con las distintas dimensiones de creencias, así como tampoco con el número total de inferencias como indicador de la comprensión lectora, lo cual indica que el conocimiento y experiencia previa que poseen los participantes sobre el tema del acoso escolar es estable y similar entre ellos.
Al evaluar las creencias epistemológicas en dos niveles, específicas al tema y generales, se observó que su comportamiento es contrario en dos dimensiones: certeza y simplicidad, ambas contrastan en sus niveles, es decir, para el nivel especifico o de tema su grado es sofisticado, pero para el nivel general el grado es simple o ingenuo, ambas dimensiones pertenecen a la categoría naturaleza del conocimiento. Este hallazgo no tiene antecedentes en estudios previos, lo que indica que los participantes mantienen creencias sobre el acoso escolar como conocimiento tentativo e incompleto y donde falta mayor investigación para llegar a un nivel de certidumbre completo y estable en este tema.
En general, cuando se comparan el total de inferencias como medida de la competencia lectora con cada una de las dimensiones, se observa una correlación positiva, es decir, un mayor nivel de competencia se relaciona con un mayor nivel de sofisticación para cada una de las creencias. Lo cual indica que un mayor nivel de desempeño lector ayuda a poseer creencias sofisticadas en cada una de las dimensiones, o al contrario, poseer creencias ingenuas acerca del conocimiento y del proceso de conocer está relacionado con un menor desempeño lector, sobre todo en la identificación de inferencias en distintos textos con un nivel de dificultad similar.
Los lectores menos hábiles, aquellos con menor número de inferencias correctas, en su totalidad tienen creencias generales ingenuas (verdades absolutas) pero son ligeramente más sofisticadas en cuanto al tema particular. En cuanto a la dimensión de simplicidad creen que el conocimiento es relativo y complejo (grado sofisticado); pero en la dimensión de fuente del conocimiento es donde más difieren con los lectores competentes. Estos lectores tienen la creencia de que el conocimiento se transmite por una autoridad (grado ingenuo), lo cual contrasta con los resultados en Bråten et al. (2008).
Conclusiones
Buena parte de las investigaciones sobre el paradigma de un modelo de explicación de la competencia lectora se han basado en la lectura de un texto, cuando lo que proponen autores como Bråten, Ferguson, Gil y colaboradores, entre otros, es el cambio de paradigma a un modelo de lectura multitextual, esto fomentado por la revolución tecnológica que permite, entre otros, la disponibilidad y acceso a vastas cantidades de información que tratan sobre un mismo tema junto con una fuerte necesidad de reflexión para los jóvenes estudiantes, sobre todo, que vuelven compleja la tarea de comprensión y de posicionamiento para defender una postura; temas cotidianos como el cambio climático, las causas del cáncer, las formas sanas de convivencia, disminución de la contaminación y cómo enfrentar casos de acoso en la escuela, todos temas de interés y complejos por las múltiples respuestas que se pueden encontrar.
Un modelo de documentos (Bråten et al., 2011) requiere de los lectores valorar e integrar múltiples representaciones que hacen del contenido de las diversas lecturas, que de manera frecuente pueden no sólo ser complementarias sino incluso polémicas y contradictorias. Es una tarea cognitiva compleja que puede denominarse como un modelo de la situación combinada (Bråten et al., 2011).
A partir de los resultados discutidos más arriba podemos formular algunas conclusiones y aportes del presente estudio. La primera se deriva de la relación entre los dos niveles, general y especifico al tema, en cada una de las cuatro dimensiones de las creencias epistemológicas analizadas y el desempeño lector medido como la correcta discriminación de inferencias para cada uno de los textos evaluados en el presente estudio. Las posiciones personales respecto a algunas dimensiones son dualistas, es decir, combinan grados de sofisticación e ingenuidad entre sus niveles.
En la dimensión de justificación del conocimiento, en sus niveles general y especifico al tema, observamos claramente un nivel de sofisticación elevado, lo cual replica en parte lo encontrado por Zanotto (2017) y Sarmiento (2009, citado por Zanotto), donde las dimensiones pertenecientes a la categoría del proceso de conocer (justificación y fuente) obtienen grados de sofisticación mayores en comparación con las dimensiones pertenecientes a la categoría naturaleza del conocimiento. Sin embargo, nuestros resultados no coinciden en parte con lo encontrado por Bråten et al. (2008), para ellos un mejor desempeño lector se encontró en un perfil combinado de sofisticación en la dimensión justificación, junto con ciertos grados de ingenuidad en la fuente del conocimiento. En nuestros análisis encontramos un perfil de alto desempeño lector en la combinación sofisticada de la dimensión justificación, fuente y certeza del conocimiento.
En el análisis de la función de la variable conocimiento previo, vemos que no tuvo efecto sobre el nivel de desempeño lector, pero también que no tuvo relación con alguna de las creencias en sus cuatro dimensiones o con alguna combinación de ellas en particular. Estudios previos en el área de la comprensión han demostrado que los lectores con altos niveles de conocimiento previo se benefician mejor de las preguntas literales y los lectores con niveles bajos de conocimiento previo lo hacen de las preguntas inferenciales (Vidal-Abarca et al., citado en Gil, 2009). Del mismo modo, Vega (2011, citado por Zanotto, 2017) no encontró relación entre el nivel de conocimiento previo del tema y la comprensión de múltiples textos evaluando procesos inferenciales, comprensión superficial y procesos de autorregulación durante la lectura. Una limitación en esta investigación es que no evaluamos inferencias intertextuales, sólo intratextuales; de acuerdo con Gil (2009), las primeras suelen tener menos puntajes debido a la complejidad de la tarea.
Finalmente, la posición personal de los estudiantes no pudo ser evaluada nítidamente durante la entrevista estructurada, porque no dieron prioridad a los testimonios acerca de sus creencias. Es posible inferir que es menos frecuente hacer reflexionar a los alumnos acerca de sus creencias personales sobre el conocimiento en general o sobre un tema en particular, en nuestro sistema educativo escolarizado, que la toma de posición respecto de un tema. En este caso la totalidad de estudiantes acordó que el acoso escolar es un tema polémico, que las lecturas les hicieron reflexionar y que indudablemente no están de acuerdo en que suceda. Lo que es más evidente es que la escuela privilegia la lectura desde los contenidos y omite la reflexión sobre las creencias acerca del proceso de conocimiento que se generará a partir de determinada información nueva o ya conocida.










nueva página del texto (beta)



