Servicios Personalizados
Revista
Articulo
Indicadores
-
Citado por SciELO -
Accesos
Links relacionados
-
Similares en
SciELO
Compartir
Tecnología y ciencias del agua
versión On-line ISSN 2007-2422
Tecnol. cienc. agua vol.9 no.2 Jiutepec mar./abr. 2018 Epub 24-Nov-2020
https://doi.org/10.24850/j-tyca-2018-02-07
Articles
Factors that affect agricultural production under irrigation conditions: How to measure and study their effect
1Colegio de Postgraduados, Montecillo, México, espinosa.jose@colpos.mx
2Colegio de Postgraduados, Montecillo, México, epalacio@colpos.mx
3Colegio de Postgraduados, Montecillo, México, tijerina@colpos.mx
4Colegio de Postgraduados, Montecillo, México, ortiz@colpos.mx
5Colegio de Postgraduados, Montecillo, México, exebio@colpos.mx
6Colegio de Postgraduados, Montecillo, México, clandero@colpos.mx
Several groups of factors affect the yield of agricultural crops under irrigation, including meteorological conditions, the management of crops and land, and those related to the soil’s spatial variability. The first group of factors can seriously affect crop yields and little can be done to lessen their effect. Management factors depend largely on decisions made by producers and available cultivation methods. The third group depends on the soil’s spatial variability, which has a notable negative effect on crop yield in general, but mainly in the case of producers who rent several plots that have been cultivated by other producers, which vary due to the soil’s physical conditions and the management practices used by former producers. In irrigation district “Río Mayo” in the state of Sonora, crops have been monitored for several years using remote satellite sensors, and it has been possible to measure the effects of these factors and generate recommendations to reduce the negative impacts on yields. The objective of this work is to show the results obtained and the way of making them known to the producers through available Internet viewers.
Keywords Precision agriculture; evapotranspiration; vegetation indices; remote sensing; spatial variability
Hay varios grupos de factores que afectan el rendimiento de los cultivos agrícolas bajo riego; entre ellos destacan los meteorológicos, los de manejo y los relativos a la variabilidad espacial de los terrenos. Los primeros pueden afectar de forma seria los rendimientos y es poco lo que puede hacerse para aminorar su efecto. Los de manejo dependen en gran parte de las decisiones que tomen los productores y de los medios que disponen para realizar sus actividades. El tercer grupo, que depende de la variabilidad espacial de los terrenos, tiene un notable efecto para los productores que rentan tierras que han sido cultivadas por otros productores o que presentan variabilidad debido a condiciones físicas del suelo y la forma en que se han manejado. En el Distrito de Riego 038 de Río Mayo, en Sonora, México, se le ha dado el seguimiento a los cultivos durante varios años mediante sensores remotos satelitales y se han podido medir los efectos de estos factores, así como generar recomendaciones para aminorar los impactos negativos en los rendimientos. El objetivo de este trabajo es mostrar los resultados obtenidos y la manera de hacerlos del conocimiento de los productores, mediante un visor en Internet.
Palabras clave agricultura de precisión; evapotranspiración; índices de vegetación; percepción remota; variabilidad espacial
Introduction
In the process of agricultural production, especially when using irrigation, several factors affect yields. Among them, three groups that impact production and crop yields can be mentioned.
The first group consists of meteorological factors such as frost, torrential rains, changes in temperatures, cyclones, etc. These are very difficult to control and in most cases it is not possible to do so. However, their possible effects can be measured, some of the possible effects can be estimated, and some actions to reduce their negative impacts can be carried out.
Automatic weather stations are devices with sensors that have the ability to record and collect data on environmental variables that measure the main factors that affect crop productivity. They also contain software to perform automatic calculations that process the information and make it available to agricultural producers. Among the information they provide, maximum and minimum temperatures, precipitation and daily reference evapotranspiration are of great interest. A portion of the Sonora Automatic Meteorological Stations Network (REMAS) is located in the Río Mayo irrigation district. A pair of stations located in the center of the irrigation district use daily data as a basis for measuring climate effects. This device can be used to estimate the thermal effects on crops and the evapotranspiration demand, which affect processes such as photosynthesis, the basis of life on the planet.
The second group refers to factors related to the management of crops and soil, which are also important for obtaining good yields. A good farmer knows how and when he should carry out the activities that allow him to achieve good yields, especially if he has the economic and mechanical means to carry them out. However, it is possible to improve water and soil productivity by monitoring crops using relatively new technologies, such as the use of remote sensors, which are efficient tools for detecting spatial and temporal differences in the factors that impact crop productivity, and for correcting the crops. Satellite-based remote sensing is also a very important tool to measure the soil’s spatial variability in the development of crops, in order to carry out the necessary corrections to reduce this variation and its pernicious effects.
The Postgraduate College (COLPOS) was invited to participate in the project "Participatory multi-level EO-assisted tools for Irrigation water management and Agricultural Decision-Support" (PLEIADeS), funded by the European Commission, since 2006. This project has used remote sensing to monitor the development of crops in irrigation districts 038 Río Mayo, 041 Río Yaqui, and 051 Costa de Hermosillo. In the district of Río Mayo, vegetation indexes have been used to monitor the development of crops, mainly wheat, which represent around 70% of the cultivated area. This monitoring has been supported by the participation of participating producers. The present work summarizes the results obtained, emphasizing the important impacts that have been observed over the years as a result of climate change.
Materials and methods
Irrigation district 038 Río Mayo is located in northwestern Mexico, in the southern portion of the state of Sonora, between 26.71 and 27.25 degrees North and 109.37 degrees West 109.8, with a watering surface of 98,520 ha. The main source of water is the "Adolfo Ruiz Cortínez" dam, which has a capacity of 1,100 cubic hectometers, in addition to 130 deep wells.
To monitor the crops, images from the Landsat 5, 7 and 8 satellites were used, as well as Spot 5 and 6, Deimos and RapidEye.
The Irrigation District is operated by the Limited Liability Company, constituted by 16 Irrigation Modules and has 11,582 registered users.
As it was mentioned before, to evaluate the meteorological aspects, daily data were used from two meteorological stations, the SEMAY of the REMAS and the Etchojoa.
The third group is spatial variability. For the spatial monitoring of soil and temporal phenological development of crops, vegetation indices were used, such as the Normalized Differences Vegetation Index of (NDVI) (Rouse, Hass, Schell, & Deering, 1974), and the Moisture Stress Index (MSI) (Rock, Vugelmann, Williams, Voglemann, & Hoshizaki, 1986).
The NDVI is constituted by the reflectance in the red and near infrared bands according to the following formula:
Where:
This index ranges between -1 and 1. Negative values usually occur where there is water, values lower than 0.2 are usually shown where there is bare soil and for green vegetation the values usually range from 0.25 to values close to 1 when the vegetation is in full development.
The MSI is the ratio between the middle infrared and near infrared bands, as shown below:
Where:
The 0.25 to 0.5 range indicates that the crops are not stressed; as this increases the stress increases until reaching 1 when the crops reach the permanent wilting percentage.
For several years, a linear relationship has been found between the NDVI index values and wheat crop yields. Thus, the International Water Management Institute (IWMI) carried out research in India, which it presented in its Report 28 called "Performance Evaluation of the Bhakra Irrigation System, India, using Remote Sensing and GIS Techniques”(R. Sakthvadivel, Thiruvengadachari, Amerasinge, Bastiaanssen, & Molden, 1999). This work found a relationship between the NDVI and wheat yield using 274 test plots. It presents the graph and the function, with the productivity of the different sections in this district of 1.5 million hectares, which is shown in Figure 1.
In Mexico, a similar relationship has been found in Río Mayo irrigation district 038. For example, the article "Earth Observation as a Support to Improve Water Use in Irrigated Agriculture" (Palacios, Palacios, Rodríguez, & Palacios, 2010) shows a relationship between the yield observed on 26 plots of wheat producers and their average NDVI values observed during the development of this crop, similar to that obtained in India, as shown in Figure 2.
This paper also shows how the evapotranspiration of the wheat crop could be estimated using the relationship ETc = Kc ETr, where ETc is the crop evapotranspiration and ETr is the reference evapotranspiration, which can be calculated using the Penman-Monteith formula and Kc culture coefficient. And it can be estimated based on the NDVI values, as several authors have shown, including Choudhry, Ahmed, Idso, Reginato and Daughtry (1994). And specifically for the cultivation of wheat, Calera and González-Piqueras. (2007) found a linear relationship between the Kc and the NDVI value obtained from each Landsat image, whose value is:
The same article by Palacios et al. (2010) shows a similar relationship obtained in Río Mayo irrigation district 038, which is:
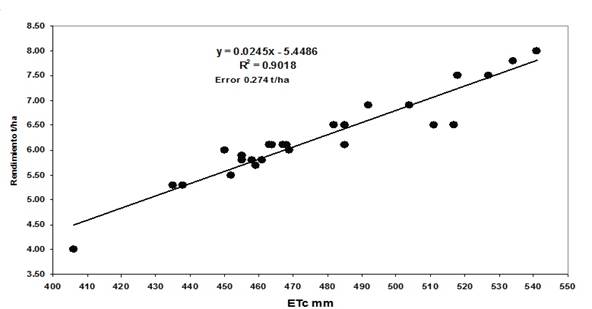
The crop evapotranspiration estimated with this function for each of the 26 plots was related to the yield obtained, and a function with a good statistical adjustment resulted, as shown in Figure 3.
Finally, the article mentioned shows a non-linear relationship between the MSI and wheat yield, which is:
With R 2 = 0.794 and a standard error of 0.443 t / ha, the function is inverse, as expected. So, if the MSI increases, the performance decreases. It is worth mentioning that values close to the unit of this index indicate that the plants have reached the permanent wilting percentage.
During agricultural years 2013-2014 and 2014-2015, meteorological conditions that were unfavorable for the wheat crop were present. Namely, the number of cold hours decreased, especially in the year 2014-2015, and consequently the heat units were not enough to achieve good yields. The yield decreased nearly 30% during that agricultural year, as will be shown later.
It has been observed that crops require certain amounts of energy to achieve each stage of their development. These amounts of energy are estimated according to the accumulated degree days. A relationship has also been seen between the variation in the NDVI index and the accumulated degree days, (Miller, Lanier, & Brandt, 2001) as shown in Figure 4, where the accumulated days (Growing Degree Days (GDD)) are shown on the x-axis and the variation in the NDVI (thick line) and the Simple Ratio on the y-axis:
Where R and NIR were already defined.
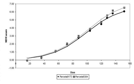
The accumulation of the NDVI development curve is a sigmoid that is a curve in the form of an S, which can be adjusted to a mathematical function such as logistics. For example, Figure 5 shows the accumulated values of the NDVI of two plots in module 15, where it is observed that in plot 9173 the accumulated value of the index was below that of plot 9384, and in effect, in the former a yield of 6.8 t / ha of wheat was obtained and in the latter the yield was 7.1 t / ha. Figure 5 also presents the fit to a logistic function for both cases, with a continuous line.
Results and discussion
Meteorological effects
As already indicated, in the agricultural cycles 2013-2014 and 2014-2015, possibly due to the effects of climate change, meteorological conditions unfavorable to achieving satisfactory yields were present, as shown in Table 1, which shows the effect of climate variability during these three years on the average yields in irrigation district’s Module 15, with heat units (HU) calculated for both the total and for the days with the highest NDVI value obtained from the Landsat 7 and Landsat 8 satellite images.
Table 1 Information on Module 15.
| Año | Max NDVI | UC. Total | Rend. t/ha | Día Max ndvi | UC.Val.Max |
|---|---|---|---|---|---|
| 2013 | 0.89 | 2331 | 6.91 | 128 | 1663 |
| 2014 | 0.73 | 2169 | 6.62 | 144 | 1573 |
| 2015 | 0.77 | 1809 | 5.19 | 96 | 1180 |
The total heat units were higher in 2013 and there is a linear proportionality between these values and the average yields observed in this module. The same occurs with the values of the NDVI indexes and the heat units accumulated when the maximum value of the NDVI occurred during anthesis (at 128 days in 2013 and 96 days in 2015). That is to say that due to the lack of cold hours, the anthesis advanced one month, and we note that the yield decreased by 25%. Similar conditions were present in other modules in the irrigation district. Using the data from 5 modules, a linear function was obtained between the accumulated values of the Heat Units up to the maximum value of the NDVI, which is presented below:
With R2 = 0.919; Standard Error = 0.269 t / ha
It is evident that little can be done to avoid the negative effects of weather. However, producers should be aware of the problems that may arise, so that when presenting the information on the internet, there is notification in advance when a lack of cold hours is known, and consequently, a lower accumulation of HU. This could result in a late anthesis, as has been shown, and so the possible decrease in the yield in wheat or similar crops can be taken into consideration.
The effects of management
Regarding the possibility of detecting problems during the growth of crops, an important aid for making decisions that prevent yield reductions is using the viewer (Espinosa, 2013) that is available on the internet, through which the producer can watch the development of the crop by observing the coloration that it generates in NDVI in the plots, observing the homogeneity of the growth of the crop, and the accumulated graph of the NDVI, which can be compared with that obtained from the previous year. Thus, the producer may have an idea about the expected yield, as shown in Figure 5. If the curve that is generated is lower than the previous year, under the assumption that it is a similar crop, the suspicion that something is not right arises.
This will allow the producer to find the reasons for the expected reduction, in order to correct the possible problems, as shown in Figure 6.
The Satellite Monitoring System of the 038 Río Mayo Irrigation District, is available at: http://hidro.colpos.mx:8080/sig-mon/
On this website the user does not need to register but to type the following where the Name is asked: demo; Password: demo and user type: user and then click to enter. Upon entering a list of the module numbers is displayed. Assuming that the plot is in Module 15, this number is searched in the list and a click on it is given, then the plots of that module will appear in the center of the screen. To find the plot, it is necessary to give the account number of the user registry to look for the plot for its position within the module (Espinosa-Espinosa, Palacios-Vélez, Tijerina-Chávez, Flores-Magdaleno, & Quevedo-Nolasco, 2017).
In general, a presentation has been made of the knowledge of users to look for their plots. It is interesting that the status of the plots according to the color of the NDVI index can be seen in detail, not only for the most recent date the satellite has passed, but also the cumulative values of the index for previous years and the progress of the current year, as seen in Figure 6.
The effects of variability
Another factor that has been studied is the effect of soil variability on crop yields, which affects not only wheat yields but also all crops in general that are established in the irrigation district.
Spatial variability in the plots is common. Sometimes this variability is very significant and therefore it negatively affects crop yields. For this reason, so-called precision agriculture has been developed. However, it is feasible to detect this variability through satellite images, observing the variability in the pixel values.
On the other hand, it is very common for water districts in Mexico to buy water rights from small plots; that is, a producer can rent several plots and in these cases the spatial variability can increase, mainly due to the variability that exists among these plots and also the variability within each plot.
As an example, a hypothetical case of a parcel containing 27 plots of approximately 5 ha each will be presented within irrigation module number 15 in Río Mayo irrigation district 038, which is comprised of more than 6 000 hectares. The size of the community parcels there is typically 5 ha on average and large areas are rented, in some cases adding up to 1 000 hectares.
For the example, a land of plots was selected in the central part of the module, and it was possible to evaluate the spatial variability of this surface, planted with wheat, using the image from the Landsat 8 satellite corresponding to February 14, 2016, when the highest average value of the NDVI was reached,
The average NDVI value of the 27 plots was quite acceptable, so a good yield was achieved. However, a higher yield could have been achieved if there had not been spatial variability, which existed mainly at the borders between plots, as can be seen in Figure 7, which on the right side shows the iso-level curves for the NDVI. In this same figure, a graph is presented showing a 140 ha area divided into 19 bars, each one showing the area that corresponds to it. The average NDVI value of all the bars was 0.877, with a standard deviation of 0.068, so its coefficient of variation was 7.78%, which is an index of variability.
Conclusions and recommendations
Of the three groups of factors that influence crop yields, weather or climate factors have a significant influence. But little can be done to modify their negative effects. However, by monitoring its evolution through measurements taken by automatic weather stations, some forecasts to moderate its economic impacts can be made and the negative impact on the producer´s economy can be evaluated so that he can make early decisions to reduce possible losses.
Regarding management factors, knowledge of the spatial and temporal monitoring of the phenological development of the crop, through the NDVI and the MSI, allows the producer to know the crop conditions by viewing the conditions in the plots. The producer is able to make decisions to try to improve the conditions of the crop, if needed, through consulting the information provided by the viewer found on the web page, such as the variation of the coloration generated by changes in the NDVI, as well as the relative position of the value obtained from this index every time the satellites pass over the irrigation district, which can be compared to the development from previous years.
A critical condition in the development of crops resulting from infestation, disease or water conditions can be seen by the relative position of the NDVI value with respect to the previous step of the satellite, allowing the producer to take the necessary actions in order to reduce crop damage.
The effect of spatial variability, both in a plot and in a group of them, can be seen by the change in the color of the index. In addition, as shown in Figure 7, shore effects and the different conditions of some of the plots in the group managed by a producer can affect the future yield of the crop. To reduce this effect, it will be advisable, if the rent of the plots is for several years, to try to reduce this variability through several actions, such as leveling the land, varying the application of fertilizers, and irrigation approaches.
Support and recommendations by the technical personnel that some modules of the irrigation districts have hired will be of great importance for the producers to achieve better yields. This staff can also provide assistance with the use of the viewer.
Acknowledgements
We want to thank the technical staff of irrigation district 038 for the support they have given us to obtain information on the yields in the irrigation modules of the district.
REFERENCES
Calera, A., & González-Piqueras, J. (2007). Parámetros biofísicos de la cubierta vegetal: relaciones operativas para obtención de mapas de estos parámetros desde las imágenes de satélite. Ciudad Real, España: Grupo de Teledetección, Universidad Castilla La Mancha. Documento de PLEIADeS. [ Links ]
Choudhry, B. J., Ahmed, N. U., Idso, S. B., Reginato, R. J., & Daughtry, C. S. T. (1994). Relations between evaporation coefficients and vegetation indices studied by model simulations. Remote Sensing of Enviroment, 50, 1-7. [ Links ]
Espinosa, J. L. (2013). Tecnologías para ofrecer servicios de asesoramiento en riegos (tesis de maestría). Colegio de Postgraduados, Montecillo, México. [ Links ]
Espinosa-Espinosa, J. L., Palacios-Vélez, E., Tijerina-Chávez, L., Flores-Magdaleno, H., & Quevedo-Nolasco, A. (enero-febrero, 2017). Sistema de monitoreo satelital para el seguimiento y desarrollo de cultivos del Distrito de Riego 038. Tecnología y Ciencias del Agua, 8(1), 95-104. [ Links ]
Miller, P., Lanier, W., & Brandt, S. (2001). Using growing degree days to predict plant stages.pdf. Bozeman, USA: Montana State University. [ Links ]
Palacios, E. V., Palacios, L. S., Rodríguez, J. C., & Palacios, J. S. (2010). Earth Observation as a Support to Impruve Water Use in Irrigated Agriculture. Journal of Agriculture Science and Technology, 4(6) (Serial No. 31), 1-7. [ Links ]
Rock, B. N., Vugelmann, J. E., Williams, D. L. W., Voglemann, A. F., & Hoshizaki, T. (1986). Remote detection of forest damage. Bioscience, 36, 439. [ Links ]
Rouse, J. W., Hass, R. H., Schell, J. A., & Deering, D. W. (1974). Monitoring vegetation systems in great plains with ERTS. Proceedings. Third Earth Resources Technology Satellite Symposium, Greenbelt: NASA SP-351, 3010-317. [ Links ]
Sakthvadivel, R., Thiruvengadachari, S., Amerasinge, U., Bastiaanssen, W. G. M., & Molden, D. (1999). Performance evaluation of Bhakra Irrigation System, India, using remote sensing and GIS techniques (research report 28). Colombo, Sri Lanka: International Water Management Institute. [ Links ]
Received: January 30, 2017; Accepted: November 02, 2017










texto en 









