Introducción
El consumo de agua embotellada en el mundo se ha incrementado de forma considerable no sólo en cantidad sino en variedad de formas comerciales. Asia, Europa y América del Norte son los mayores consumidores de agua embotellada con el 31, 28.2 y 23.7%, respectivamente, del consumo total (EFBW, 2016). El promedio per cápita por año de consumo de agua embotellada en el ámbito global osciló desde 4.6 l hasta 234 l en 2014, donde México es el principal consumidor, con un promedio de 234 l per cápita por año, seguido de Italia y los Emiratos Árabes, con 186 y 153.5 l, respectivamente (Casajuana & Lacorte, 2003; El Economista, 2010).
Hay diferentes categorías de agua embotellada según su origen: agua mineral natural, agua de manantial y agua potable embotellada (denominada agua tratada). Estas aguas embotelladas son reguladas por la Directiva 2009/54 / CE (UE, 2009) y la Directiva 98/83/CE (UE, 1998) para el análisis químico y pruebas microbiológicas.
Estudios recientes en México han demostrado la presencia de contaminantes químicos y microbiológicos en agua embotellada, donde sugieren se realicen programas de monitoreo que garantice la calidad e inocuidad de la misma, pues la presencia de tales elementos puede ser un peligro para la salud humana (Arévalo-Pérez, Martínez-León, Lemus-Pérez, & Rodríguez-Susa, 2014; Gutiérrez, Vega, Ortiz, & Schettino, 2012; Ortiz, Schettino, Gutiérrez, Díaz, & Vega, 2010).
En los últimos años se ha dado a conocer un listado de contaminantes emergentes, que se identifican como problemas importantes en la química ambiental y han despertado un interés creciente por su potencial riesgo para la salud; entre ellos aparecen los ftalatos en agua embotellada (Gil, Soto, Usma, & Gutiérrez, 2012; Yang, Yen, & Wang, 2014).
Los esteres de ftalatos (EF) son empleados de forma amplia como aditivos en la manufactura de plástico, pinturas y cosméticos, para incrementar flexibilidad, trasparencia y durabilidad (Kissin, Liu, Pollick, Brungard, & Chang, 2008). Existen más de 30 tipos de ftalatos, sin embargo los más utilizados son los siguientes: ftalato de di-(2-etil-hexilo) (DEHP, por sus siglas en inglés); ftalato de diisononilo (DINP, por sus siglas en inglés); ftalato de diisodecilo (DIDP, por sus siglas en inglés); ftalato de benzil butilo (BBP, por sus siglas en inglés), y ftalato de dibutilo (DBP, por sus siglas en inglés) (Cano, Cerezo, & Urbina, 2008). La concentración de estos plastificantes en una matriz varía de 1 a 80% del peso total de producto; tales interacciones son muy débiles y conducen a la lixiviación de los ftalatos, a partir de los materiales de plástico (Guart, Bono-Blay, Borrell, & Lacorte, 2014; Moreira, Andre, & Cardeal, 2014; Xu et al., 2010). Por otra parte, existe un conjunto de factores que favorecen esta emigración, como pH, tiempo de contacto y temperatura de almacenamiento, entre otros (Guart et al., 2014).
En México, los estudios de la presencia de ftalatos en agua embotellada son escasos y sólo se conoce un trabajo publicado en la Revista Iberoamericana para la Investigación y el Desarrollo Educativo (García, Bustamante, & García, 2013); por otra parte, existe una gran variedad de marcas de agua embotellada que se comercializan en la Ciudad de México y no se informa si las concentraciones de ftalatos se encuentran dentro de los valores recomendados por la Agencia de Protección de Medio Ambiente de Estados Unidos (EPA) para diferentes ftalatos (EPA, 2015). Asimismo, no se conoce el efecto de la temperatura en las concentraciones de los esteres de ftalatos durante el almacenamiento.
Por todo lo anterior, el objetivo de este estudio fue detectar y cuantificar la presencia de esteres de ftalatos en cuatro marcas de agua embotellada comercializadas en la Ciudad de México y evaluar el efecto de la temperatura en la migración de esteres de ftalatos a través del tiempo.
Materiales y métodos
Toma de muestras
Se llevó a cabo un muestreo aleatorio de cuatro marcas de agua en establecimientos de autoservicio ubicados al sur de la Ciudad de México por un periodo de seis meses (de julio a diciembre de 2014), para un total de 24 muestras de agua embotellada en envases de plástico tipo PET en presentaciones de 1.5 l (n = 6 muestras por marca). Tres de las marcas corresponden con las de mayor consumo en México (Profeco, 2007).
Efecto de la temperatura en la concentración de esteres de ftalatos durante el almacenamiento de aguas embotelladas
A partir de un lote único proveniente de la marca 1 (número de lote: 159), en presentación de 1.5 l, se prepararon tres grupos de muestras para ser almacenadas a temperatura ambiente (22-25 °C); temperatura de refrigeración (8±2 °C) y temperatura de 35±1 °C, que fueron analizadas en el tiempo cero hasta los 70 días, con un intervalo de siete días entre los muestreos, para un total de 11 muestras por tratamiento.
Preparación de la muestras
La extracción de la muestra se realizó mediante líquido-líquido, descrito por Amiridou y Voutsa (2011), con algunas modificaciones que a continuación se describen: se tomaron 250 ml de la muestra y se depositaron en un embudo de separación de 500 ml; se agregaron 50 ml de n-hexano y la mezcla se agitó de modo vigoroso por un minuto; se dejó reposar durante cinco minutos; se repitió el proceso en dos ocasiones. Una vez que se separaron las dos fases (orgánica y acuosa), se desechó la fase acuosa y la fase orgánica se recuperó en un matraz redondo de 125 ml, pasándolo por un papel filtro (Whatman, núm. 2), con 1 g de sulfato de sodio anhidro; cada muestra se hizo por triplicado.
Posteriormente se unieron las fases orgánicas y se evaporó hasta sequedad a temperatura (40 °C) y presión constante en un rotoevaporador (Büchi, Alemania). La muestra se conservó en refrigeración (8+2 °C) hasta su análisis. Al momento de su análisis se resuspendió en 1 ml de acetonitrilo.
Análisis instrumental
Los ftalatos se determinaron en un cromatógrafo de líquidos de alta resolución, acoplado a un detector UV-visible a 230 nm (Hitachi Elite LaChrom), empleando una columna XTerra RP 18 (150 x 3 mm, con un tamaño de partícula de 5 µm), y como fase móvil un sistema de gradiente binario, donde la fase A está compuesta por metanol, y la fase B por agua destilada ultra pura (de 0 a 6 min, 50%, fase A; de 6 a 18 min, 70%, fase A; de 18 a 25 min, 100%, fase A, y de 25 a 30 min, 50%, fase A), para un tiempo total de 30 minutos, con un flujo de 0.7 ml min-1 y un volumen de inyección de 20 µl, empleando un automuestreador (Hitachi L-2200).
Reactivos y materiales
Los estándares de ftalatos: ftalato de dietilo (DEP, por sus siglas en inglés) (CAS núm. 84-66-2); ftalato de dibutilo (DBP) (CAS núm. 84-74-2); ftalato de di-(2-etil-hexilo) (DEHP) (CAS núm. 117-81-7), y ftalato de diisononilo (DINP) (CAS núm. 28553-12-0); todos, con una pureza entre 98 y 99.5%, fueron adquiridos en la empresa Sigma Aldrich Chemistry; mientras que el ftalato de benzil butilo (BBP) se adquirió de la compañía Supelco.
Todos los solventes orgánicos (grado HPLC) y los reactivos químicos (calidad reactivo) provienen de la casa comercial J. T. Baker.
El agua ultra pura se obtuvo a partir de un purificador ELGA Purelab Flex, con una conductividad de 18.2 ΩM.
Cuantificación y parámetros del desempeño del método
La identificación de los compuestos se efectuó mediante el método del estándar externo con el procesador de datos EZ Chrom Elite Versión 3.3.2 SP2, basado en los tiempos de retención y la cuantificación de los ftalatos, a partir del área bajo el pico (factor de respuesta, mVs) versus la curva de calibración. La linealidad del método fue probada con estándares de calibración en cinco niveles de concentración. Un ajuste lineal de las proporciones de los compuestos estudiados mostró altos coeficientes de correlación (R2 > 0.999). El límite de detección y cuantificación se procedió a partir de 3 y 10 veces el valor de la desviación estándar de la concentración más baja de la curva de calibración de cada ftalato (n = 7); el límite de detección (LD) fue de 0.6, 0.3, 0.3, 1.9 y 0.7 µg l-1 para DEP, DBP, BBP, DEHP y DINP, respectivamente; mientras que el límite de cuantificación (LQ) fue de 0.8, 0.3, 0.4, 2.6 y 0.9 µg l-1 para DEP, DBP, BBP, DEHP y DINP, respectivamente. El recobrado se realizó con la menor concentración de cada ftalato en la curva de calibración (valor entre paréntesis), obteniendo valores de 105.8±7.1, 104.1 ± 1.4, 89.5 ± 7.2, 83.3±4.7 y 60.3 ± 2.9 % para DEP (0.125 µg ml-1), DBP (0.062 µg ml-1), BBP (0.062 µg ml-1), DEHP (0.5 µg ml-1) y DINP (0.25 µg ml-1), respectivamente. La repetibilidad y reproducibilidad para los diferentes ftalatos oscilaron entre 2.2 y 10.6, y 4.3 y 21.2, respectivamente. Los resultados de recobrados y precisión para los ftalatos mencionados están dentro de los intervalos establecidos por la NMKL (2009), la cual indica que el recobrado debe estar entre intervalo de confianza de 95% (promedio ± 2DS), y que la desviación típica de la repetibilidad (Sr) debe estar entre ½ y 23 del valor de la desviación típica de la reproducibilidad (SR). En este análisis, Sr representó el 50.2% de SR.
Análisis estadístico
Se realizó un anova para el tratamiento estadístico de los resultados de las diferentes marcas, empleando el test de Kruskal–Wallis. Se analizó una regresión lineal en relación con la presencia de ftalato en función del tiempo. Se hizo un análisis descriptivo de todas las variables analizadas. Todos los análisis estadísticos se efectuaron mediante el paquete de software InfoStat versión 2010 (Grupo InfoStat, FCA, Universidad Nacional de Córdoba, Argentina).
Resultados y discusión
Existen más de 30 tipos de esteres de ftalatos empleados de forma indistinta en la industria del plástico. En nuestras condiciones analizamos cincos esteres de ftalatos en las diferentes marcas de agua embotelladas y sólo se identificaron tres compuestos: DBP, BBP y DEHP, con una frecuencia de 54, 25 y 96%, respectivamente.
En la figura 1 se muestra el patrón de ftalatos obtenidos por las diferentes marcas de agua embotelladas, no existiendo diferencia significativa (p < 0.05) para ninguno de los ftalatos entre las marcas. En el cuadro 1 se tienen las concentraciones obtenidas para los tres ftalatos identificados, donde el DEHP presentó la mayor concentración con relación a DBP y BBP en todas las marcas; en la marca 2 predominaron los tres ftalatos (66%), y en el resto de las marcas prevalecieron el DBP y DEHP.

Figura 1 Resultados de ftalatos en diferentes marcas de agua embotellada comercializadas en la Ciudad de México (línea dentro de la caja = mediana; punto negro = media; líneas con bigotes y punto blanco = percentiles al 10 y 95%).
Cuadro 1 Presencia de esteres de ftalatos en diferentes marcas de agua embotellada comercializadas en la Ciudad de México.
| Marcas | DBP (μg l-1) | BBP (μg l-1) | DEHP (μg l-1) | ||||||
|
Mediana ±
EE (n) |
mín | máx |
Mediana ±
EE (n) |
mín | máx |
Mediana ±
EE (n) |
mín | máx | |
| 1 | 0.280 ± 0.040 (4) | 0.200 | 0.370 | 0.090 ± 0 (1) | 1.190 ± 6.860 (5) | 0.430 | 32.390 | ||
| 2 | 0.400 ± 0.080 (4) | 0.270 | 0.540 | 0.150 ± 0.070 (3) | 0.090 | 0.290 | 0.720 ± 0.730 (6) | 0.150 | 4.840 |
| 3 | 0.300 ± 0.080 (3) | 0.220 | 0.470 | 0.110 ± 0 (1) | 0.810 ± 0.290 (6) | 0.120 | 1.830 | ||
| 4 | 0.240 ± 0.070 (3) | 0.222 | 0.430 | 0.100 ± 0 (1) | 0.560 ± 0.320 (6) | 0.070 | 2.260 | ||
En un estudio realizado en Tailandia, se analizaron los siguientes compuestos: DMP, DEP, DBP y DEHP en agua embotellada, con dos tipos de materiales (tereftalato de polietileno (PET) y polietileno (PE)), encontrando la mayor frecuencia en DMP, seguido de DEP, DEHP y DBP, con valores de 58, 33, 25 y 17%, respectivamente (Kanchanamayoon, Prapatpong, Chumwangwapee, & Chaithongrat, 2012). En Arabia Saudita, de seis marcas de agua embotellada envasadas en PET y PE, se evaluaron seis ftalatos (DMP, DEP, DBP, BBP, DEHP y ftalato de di-n-octilo (DOP, por sus siglas en inglés)), encontrando la mayor concentración en el BBP (Mousa, Basheer, & Rahman-Al-Arfaj, 2013). En Jordania, un estudio hecho en agua embotellada analizó seis ftalatos (DMP, DEP, DBP, BBP, DEHP y DOP, y se identificaron sólo DBP, DEHP y DOP) (Zaater, Tahboub, & Al-Sayyed, 2014). Estos estudios, así como otros que aparecen en el cuadro 2, corroboran que los ftalatos mencionados son los más frecuentes analizados en el ámbito global y que el patrón puede variar en función de la composición del envase plástico o la calidad del agua en la planta embotelladora (Casajuana & Lacorte, 2003; Al-Saleh, Shinwari, & Alsabbaheen, 2011).
Cuadro 2 Resumen de ftalatos en agua embotellada informado en el periodo 2010-2016 en diferentes países.
| Ftalatos estudiados |
Concentración ( |
Material empleado en los envases plásticos | Referencia |
| DEHP, DBP, DEP, DMP, BBP y DNOP | DEHP (0.35 µg l-1) DBP (0.044 µg l-1) DEP (0.033 µg l-1) |
PET 1 y PC 7 Tipo de color claro (CL), azul, ligero (LB), oscuro (DB) y blanco (W) |
Amiridou y Voutsa 2011 |
| DMP, DEP, DBP, BBP y DEHP | DEP (1.7 230 g l-1) BBP (4.5±3 µg l-1) DEHP(0.66±0.21 µg l-1) |
PET | Al-Saleh et al., 2011 |
| DMP, DMTP, DMIP, DBP, BBP y DEHP | DMP(0.005-125 µg l-1) DBP (0.058-0.220 µg l-1) BBP (0.077-0.131 µg l-1) |
No reportado | Guart et al., 2014 |
| DiBP, DBP, BBP y DEHP | DiBP (0.003-0.20 µg l-1) DBP (0.066-0.80 µg l-1) BBP. (0.006-0.10 µg l-1) DEHP(0.016-1.70 µg l-1) |
PET | Keresztes, Tatar, Czegeny, Zaray y Mihucz, 2013 |
| DMP, DEP, DBP, BBP, DEHP y DOP | DBP (0.32-22.340 µg l-1) BBP (0.10-124.5 µg l-1) DEHP (0.01-75 µg l-1) |
PET PVC |
Mousa et al., 2013 |
| DBP, DEHP, BBP, DBP, DBP, DEP, DHP, DMP, DNOP y DINP | DBP (0.06-0.07 µg
l-1) DEHP(1.20-1.60 µg l-1) |
No reportado | Otero et al., 2015 |
| DEP, DBP, BBP, DEHP y DOP | DBP (1.9-13.9 µg
l-1) DEHP(1.1-4.9 µg l-1) DOP (1.8-6 µg l-1) |
No reportado | Zaater et al., 2014 |
| DEP | DEP (0.2-0.76 µg l-1) | PTE | Zare et al., 2015 |
| DEHP, BBP, DBP, DEP, DMP y DOP | DEHP (2.5-2.7 µg l-1) | No reportado | García et al., 2013 |
En este trabajo no se analizó el DMP, aspecto que debe ser corroborado en otros estudios empleando un estándar externo o por espectrometría de masa, pues en el perfil cromatográfico obtenido en nuestras condiciones aparece un pico delante de DEP en las muestras que pudiera ser el mismo; sin embargo, al no poder confirmarse, no se cuantificó.
Las concentraciones encontradas en este trabajo para DBP, BBP y DEHP están en la misma magnitud que lo informado por otros autores en concentraciones que oscilan entre 0.044-1.23 µg l-1, 0.006-124.5 µg l-1 y 0.016-75 µg l-1 para DBP, BBP y DEHP, respectivamente (cuadro 2).
De los diferentes compuestos de ftalatos identificados en agua, sólo el DHEP aparece en el listado de sustancias prioritarias relacionado con las normas de calidad ambiental en el ámbito de la política de aguas (UE, 2008). Asimismo, para el DHEP, la Organización Mundial de la Salud y la Agencia de Protección Ambiental de Estados Unidos han establecido límites máximos permisibles (LMP) de 8 y 6 µg l-1, respectivamente (WHO, 2008; FDA, 2012). En el cuadro 3 se muestra un resumen de las concentraciones de DHEP presentes en las 24 muestras, donde dos muestras (8.3%) sobrepasan el límite máximo permisible de 6 µg l-1; el resto de las muestras (91.7%) cumple con el valor recomendado. Los resultados obtenidos en este trabajo se encuentran en el mismo orden de magnitud que lo reportado en un estudio previo en la Ciudad de México, donde en tres muestras de agua los valores oscilaron entre 2.5 y 2.7 µg l-1 (García et al., 2013). Las muestras que sobrepasaron LMP de DHEP en agua embotellada presentaron valores altos de 24 y 32 µg l-1 y pertenecen a la marca 1; estos resultados son 10 veces superiores a los intervalos reportados para este compuesto a nivel global a temperatura ambiente, que oscila entre 0.1 y 5 µg l-1 (Keresztes, Tatar, Czegeny, Zaray, & Mihucz, 2013; Otero et al., 2015; Zaater et al., 2014); sin embargo, el agua mineral y el empleo de conservantes en bebidas favorecen la migración de los ftalatos y pueden alcanzar valores hasta de 50 µg l-1 y 136 µg l-1, respectivamente (Bosnir et al., 2007). Por otra parte, existe una tendencia a mencionar que el almacenamiento prolongado del agua en estos envases también incrementa la concentración de DHEP (Casajuana & Lacorte, 2003; Keresztes et al., 2013; Guart et al., 2014); sin embargo, en otros estudios se plantea una disminución con el tiempo o no existe diferencia significativa (Amiridou & Voutsa, 2011). En las dos muestras que sobrepasaron el LMP se descarta la posibilidad de una contaminación por parte del procedimiento, porque en cada lote de análisis se emplea un blanco de reactivo para verificar esta posible hipótesis; por otra parte, la dispersión de los resultados encontrados por DHEP en las muestras (cuadro 3) corrobora que no existe un error sistemático en el procedimiento, lo cual nos hace pensar que los altos valores encontrados en las dos muestras de una misma marca pueden deberse a tiempos prolongados de almacenamiento o contaminación durante el proceso de producción, pues corresponden a diferentes lotes.
Cuadro 3 Frecuencia de ocurrencia de DHEP en agua embotellada comercializadas en la Ciudad de México por intervalo de concentración.
| DHEP (μg l-1) | Nd | 0.08-0.5 | 0.51-1.0 | 1.1-5.9 | > 6 |
| Nd | 1 | 10 | 5 | 6 | 2 |
| % | 4.2 | 41.7 | 20.8 | 25.0 | 8.3 |
Nd = no detectado.
Para los compuestos DEP, DBP y DMP no existen legislaciones actuales en agua embotellada para el consumo humano, sin embargo se han establecido valores de recomendación o umbrales por la Agencia de Protección Ambiental de Estados Unidos (EPA) para DEP, DBP y DMP de 555, 455 y 5 000 µg l-1, respectivamente (Kanchanamayoon et al., 2012). Asimismo, en otro trabajo de la misma agencia, se propuso para el BBP un valor de 100 µg l-1 (Mousa et al., 2013). En este trabajo, ambos compuestos están por debajo en dos órdenes de magnitud de los valores de recomendación o umbrales propuesto por la EPA, y en el mismo orden de magnitud que los reportados por otros trabajos (Amiridou & Voutsa, 2011; Guart et al., 2014; Keresztes et al., 2013).
La presencia de ftalatos en agua y alimentos se considera en la actualidad como nuevo contaminante emergente que afecta la inocuidad de los alimentos (Borchers, Teuber, Keen, & Gershwin, 2010; Pintado-Herrera, González-Mazo, & Lara-Martín, 2013). Las normas oficiales mexicanas que abordan el tema de salud ambiental del agua para uso y consumo humano (NOM-041-SSA1-1993; NOM-201-SSA1-2002) no regulan la presencia de estas sustancias, por ello la importancia de los estudios efectuados en agua embotellada en México (García et al., 2013) y de este trabajo, que alertan a las instancias reguladoras de la necesidad de contar con programas de monitoreo para el DEHP y otros ftalatos que se han relacionado de forma directa con enfermedades endocrinas a nivel global.
Efecto de la temperatura en la concentración de esteres de ftalatos durante el almacenamiento de aguas embotelladas
Es conocido que durante la fabricación de diferentes tipos de plásticos se emplean distintos plastificantes (ácido ftálico o ftalatos) para incrementar su elasticidad; sin embargo, al no estar químicamente ligados a la matriz plástica, pueden migrar, aspecto que se favorece por el incremento de la temperatura, el volumen del envase plástico y el pH, entre otros (Keresztes et al., 2013; Xu et al., 2010).
En la figura 2 se muestra la frecuencia de esteres de ftalatos en agua embotellada para distintas temperaturas de almacenamiento, detectando DEHP y DBP en los tres tratamientos, con una concentración (mediana ±EE) de 1.015±0.099 y 0.274±0.012 µg l-1, respectivamente; BBP y DINP se encuentran sólo en 9 y 30% de las muestras analizadas, con valores de mediana de 0.155±0.013 y 0.108±0.035 µg l-1, respectivamente.

Figura 2 Prevalencia de esteres de ftalatos en agua embotellada para distintas temperaturas de almacenamiento.
La baja frecuencia de BBP puede estar relacionada con las características físico-químicas del mismo, donde la mayor frecuencia aparece en el tratamiento de 8±2 °C. En los otros tratamientos sólo se identificó en una muestra. Este comportamiento fue similar cuando se analizaron las cuatros marcas de agua a temperatura ambiente, donde la incidencia fue del 25%. Un estudio donde se evaluó la presencia de esteres de ftalato en 10 marcas de agua embotellada almacenadas a 4 °C y temperatura ambiente encontró que el BBP presentó mayor concentración en temperatura de refrigeración que a temperatura ambiente (Al-Saleh et al., 2011); esto concuerda con los resultados obtenidos en este trabajo. Por otra parte, otros estudios no detectan este tipo de compuesto en agua embotellada (Amiridou & Voutsa, 2011; Otero et al., 2015).
El DINP, como se muestra en la figura 2, aparece con mayor incidencia sólo en el tratamiento de temperatura ambiente (73%), con un valor de mediana de 0.100 ±0.043 µg l-1; tal resultado no se corresponde con lo reportado en las cuatro marcas estudiadas en este trabajo, que no fue detectado, por lo que pensamos que pudo ser alguna contaminación cruzada del procedimiento, pues la presencia de dicho compuesto en agua embotellada no ha sido reportado por otros autores (Otero et al., 2015) y la emigración del mismo a partir del plástico (PVC) es muy baja (Al-Natsheh, Alawia, Fayyada, & Tarawneh, 2015).
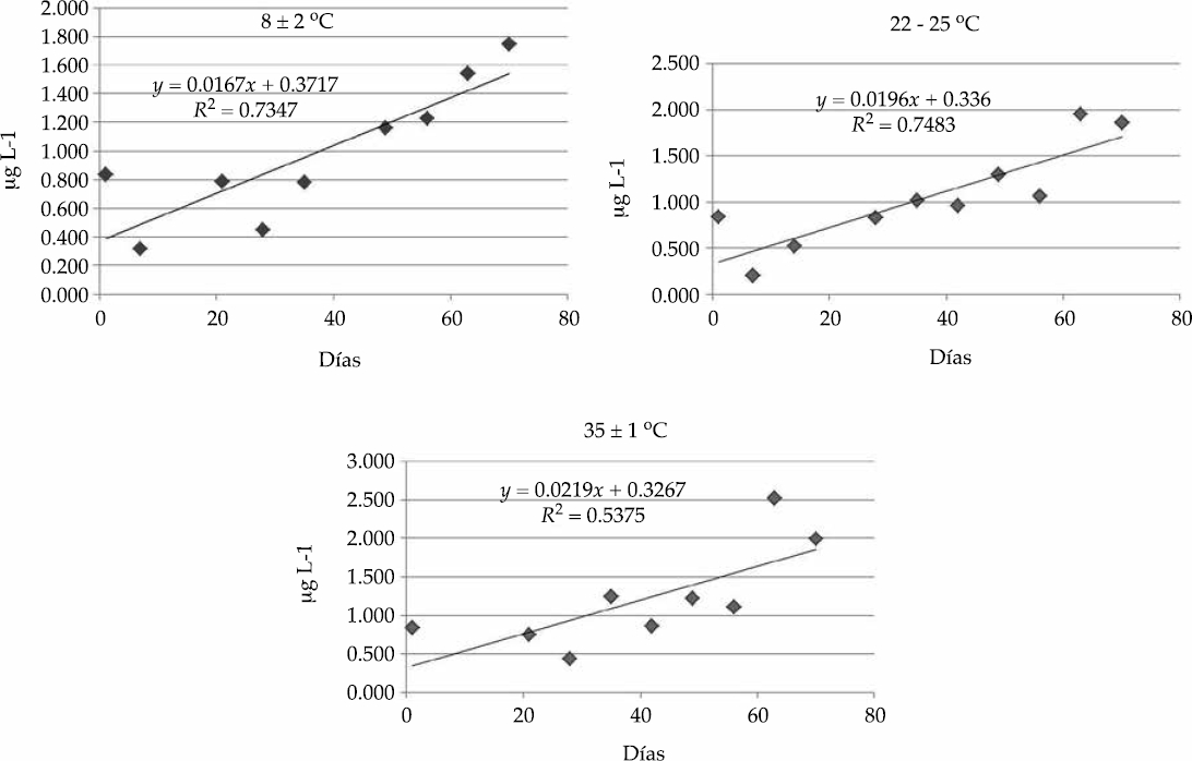
El DHEP presentó las mayores concentraciones en los tres tratamientos, aspecto que fue similar cuando se estudiaron las cuatros marcas en este trabajo, existiendo un incremento con la temperatura (figura 3), sin existir diferencia significativa entre los tratamientos (p = 0.6202). En la figura 4 se muestran los gráficos de linealidad para el DEHP a los diferentes tratamientos y no para el resto de los ftalatos, por no mostrar un comportamiento homogéneo en todos los casos. La recta fue significativa (p < 0.05) y denotó un coeficiente de correlación de 0.7, lo que corroboró que la temperatura influye de forma directa en la migración de los esteres de ftalatos, en conjunto con el tiempo de almacenamiento; aspectos que han sido discutidos por otros autores (Casajuana & Lacorte, 2003; Xu et al., 2010; Zaater et al., 2014).

Figura 3 Comportamiento en el tiempo del ftalato de di-(2-etil-hexilo) (DEHP) en los tres tratamientos.

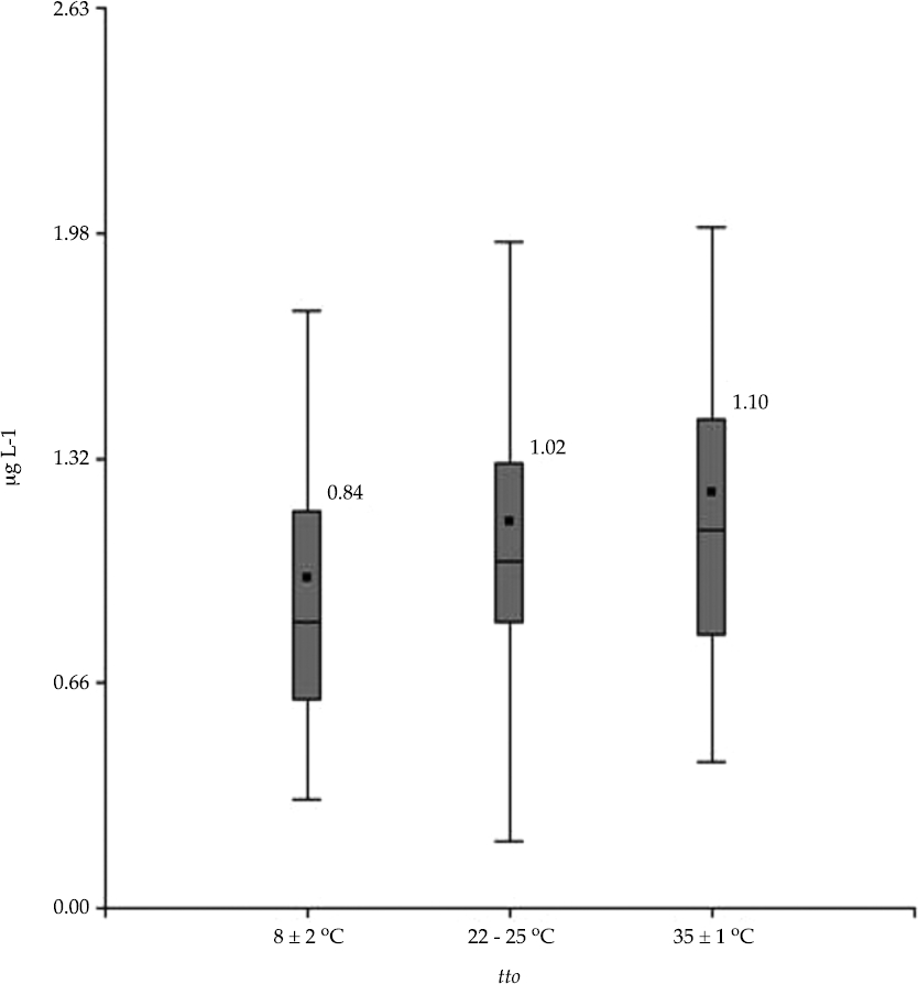
Figura 4 Concentración de di-(2-etil-hexilo) (DEHP) en agua embotellada expuesta a diferentes tratamientos (línea dentro de la caja = mediana; punto negro = concentración media; línea con saeta = valor mínimo y máximo).
En la figura 5 se muestra el incremento de DEHP a los 35 y 70 días. Se observa que el almacenamiento a temperatura refrigerada inhibe la migración en los tiempos iniciales, pero a medida que el almacenamiento es mayor, se van igualando la concentraciones en los tiempos finales; al parecer se alcanza la máxima saturación del compuesto en esas condiciones. Este efecto de saturación se describió en un estudio realizado en agua mineral embotellada cuando se almacenó durante 1 200 días a la temperatura de 22 °C; a partir de los 44 días se incrementó su valor inicial de 0.35 a 1.5 hasta los 25 meses y después se mantuvo constante (Keresztes et al., 2013). Las diferencias que existen en la literatura en relación con la presencia de esteres de ftalatos, la concentración y el tiempo de saturación, entre otros, está dado fundamentalmente por la variabilidad y composición de los plásticos, así como de los procesos tecnológicos empleados en su fabricación (Guart, Bono-Blay, Borrell, & Lacorte, 2011; Guart et al., 2014).
Conclusiones
Se encontró que el DEHP estuvo presente en todas las marcas comercializadas de agua embotelladas en la Ciudad de México; en la marca 1, dos muestras sobrepasaron el límite permisible para este compuesto (6 µg l-1), mientras los valores de los ftalatos DBP y BBP se encuentran por debajo del límite umbral establecido por la EPA.
El incremento de la temperatura y el almacenamiento favorece la migración del DEHP en los envases plásticos de agua embotellada, llegando a una saturación a los 70 días.
Estos resultados alertan a las instancias reguladoras de la necesidad de contar con programas de monitoreo para el DEHP y otros ftalatos que se han relacionado de forma directa con disruptores endocrinos capaces de imitar o bloquear la acción de las hormonas naturales que afectan las funciones biológicas en animales y seres humanos.










nueva página del texto (beta)



