Introducción
Para que un acuífero sea importante para abastecimiento humano debe poseer características intrínsecas que se lo permitan, como ser capaz de almacenar una cantidad de agua suficiente para mantener un equilibrio entre su aprovechamiento y su recarga, y poseer una composición química de sus aguas segura para consumo humano directo o alcanzarla a través de procesos de tratamiento convencionales. La composición química del agua subterránea está influenciada por las interacciones con el material geológico en que se encuentra (Fehdi, Rouabhia, Baali, & Boudoukha, 2009) y también por las actividades antropogénicas que se desarrollen en las zonas de recarga. Además, las características hidrogeoquímicas pueden variar dependiendo del tipo de acuífero, su litología, recarga, grado de confinamiento, vulnerabilidad y uso del suelo sobre éste; características que pueden ser evidenciadas por medio de la caracterización hidrogeoquímica en tiempo y espacio (Bortolini, Roehe, Leão, & Schneider, 2014).
Las especies químicas presentes en el agua subterránea son generalmente aniones y cationes mayoritarios con otros elementos traza, lo cual determina su calidad y las posibilidades de uso del agua para abastecimiento. El que las aguas naturales reproduzcan la composición de las rocas que las rodean depende de varios factores físicos y químicos. Entre los factores físicos se encuentran la temperatura, el tiempo de residencia y la tasa de flujo del agua; entre los factores químicos está la meteorización de las rocas, la precipitación de minerales secundarios y la presencia de gases como el CO2; además, los elementos químicos presentan movilidad que se rige por propiedades como pH, temperatura, condiciones redox y presencia de materia orgánica, entre otros (Parisi, Paternoster, Perri, & Mongelli, 2011; Prasanna, Chidambaram, Shahul & Srinivasamoorthy, 2011; Amalfitano et al., 2014).
El agua subterránea se encuentra en continuo movimiento y su composición química evoluciona en espacio y tiempo. Por lo general, el movimiento del agua es lento, con velocidades de flujo en intervalos de pocos a cientos de metros por año, lo que permite que la litología y ciertas condiciones naturales controlen el equilibrio químico (Kania, Witczak, & Różański, 2011). La distribución espacio temporal de las propiedades fisicoquímicas y concentraciones de las especies químicas disueltas en el agua se denomina campo hidrogeoquímico, y se ha determinado que bajo condiciones naturales, éste puede variar en el espacio, pero es muy constante en el tiempo (Kania et al., 2011). Sin embargo, en acuíferos libres y superficiales, la variabilidad temporal de ese campo se debe principalmente a actividades antropogénicas de diversa naturaleza. Ante esta dinámica, ciertos parámetros químicos, como los nitratos, pueden servir como indicadores de contaminación proveniente de zonas agrícolas y urbanas sin alcantarillado sanitario. Por su parte, la Organización Mundial de la Salud (OMS) ha establecido una concentración máxima de nitratos, como nitrógeno en las aguas, de consumo humano de 11 mg/l, expresado como NO3-N, lo cual es equivalente a 50 mg/l de nitrato (NO3 -), con base en evidencia que relaciona el consumo de agua con concentraciones de nitratos elevadas y el síndrome de los bebés azules, conocido como metahemoglobinemia, el cual puede ser fatal para los niños de menos de tres meses de edad (WHO, 2011).
En la zona central y norte del Valle Central de Costa Rica se encuentra un sistema multiacuífero de origen volcánico, conformado por un acuífero superficial y libre, denominado acuífero Barva, y dos acuíferos semiconfinados: el acuífero Colima Superior y el acuífero Colima Inferior. Todo el sistema posee importancia fundamental para el abastecimiento de agua de las provincias de Heredia, Alajuela y San José. Para 2011 existían unas 177 640 viviendas en los distritos sobre el acuífero Barva (INEC, 2012). Esto representaba más de 700 000 personas abastecidas por medio de acueductos municipales, Asociaciones de Acueductos Rurales (ASADAS) o por la Empresa de Servicios Públicos de Heredia (ESPH), con agua de los acuíferos Barva o Colima. Además, otros acueductos captan agua de estos acuíferos y la transfieren a otras localidades fuera de la Gran Área Metropolitana (GAM), como hacia la ciudad de Puntarenas, en el Pacífico central. A pesar que el agua de estos acuíferos aún se considera de buena calidad física y química, un estudio realizado por Reynolds-Vargas, Fraile-Merino e Hirata (2006) sugiere que las concentraciones de nitratos han aumentado en algunos sitios del acuífero Barva. Por un lado, esto refleja una vulnerabilidad intrínseca del acuífero a la contaminación, la cual puede ser de baja a alta, según el sector estudiado. Ello se evidenció en un estudio sobre la vulnerabilidad hidrogeológica de un sector del acuífero Barva (Gómez-Cruz, Núñez-Solís, Madrigal-Solís, & Calderón-Sánchez, 2014). Por otro lado, la presencia de fuentes puntuales, lineales y difusas con potencial de generación de carga contaminante sobre el acuífero representa una amenaza a la calidad del agua subterránea, tal como lo indica una investigación en el sector norte del acuífero (Madrigal-Solís, Fonseca-Sánchez, Núñez-Solís, & Gómez-Cruz, 2014).
La determinación de los tipos de agua permite mejorar el conocimiento de la evolución geoquímica de la calidad del agua (Hamzaoui-Azaza, Ketata, Bouhlila, Gueddari, & Riberio, 2011; Prasanna et al., 2011), por lo que el presente estudio caracterizó hidrogeoquímicamente el agua de los acuíferos volcánicos Barva y Colima, amplió el conocimiento acerca de las posibles interacciones entre ambos acuíferos y determinó los cambios en las características del agua conforme varía la altitud.
Metodología
Área de estudio
El Valle Central, ubicado en la zona montañosa central de Costa Rica, está compuesto por dos valles intermontanos, al este y oeste de la Cordillera Volcánica Central. Se estima que los edificios volcánicos de la Cordillera Volcánica Central se formaron hace unos cinco millones de años, época en que se depositaron los lahares y cenizas que rellenaron la depresión formada. Todo este conjunto de procesos y materiales dio origen al Valle Central (Denyer, Aguilar, & Arias, 1994). Las lavas se encuentran interestratificadas con piroclastos, y gracias a la alta permeabilidad de estos materiales fracturados y brechosos se ha formado el complejo sistema denominado Sistema de Acuíferos del Valle Central (figura 1). Las tobas resultan de baja permeabilidad y actúan como acuitardos que forman la base de los acuíferos.

Figura 1 Columna geológica simplificada con las ubicaciones relativas de los miembros geológicos que comprenden el área de estudio. Sistema de acuíferos Barva (modificado de BGS/SENARA, 1988).
El acuífero Barva se encuentra en la parte noroeste del Valle Central, en las zonas altas de la cuenca del río Virilla. Tiene un área de 275 km2 y un espesor saturado que va de los 4 a 66 metros, aproximadamente. La formación Barva está constituida por al menos tres unidades lávicas (miembros), dentro de los cuales se han formado acuíferos de extensión y profundidad variable denominados Bermúdez (acuífero Barva Inferior, el más extenso), Bambinos y Los Ángeles (acuíferos Barva Superior) (BGS/SENARA, 1985; Rodríguez, 2002; Ramírez & Alfaro, 2002). Este conjunto, separado por capas de diferente espesor de tobas y piroclastos meteorizados, ha sido denominado Sistema Multiacuífero Barva o acuífero Barva. Bajo la Formación Barva se ubica la Formación Tiribí (figura 1) y el Complejo Zurquí, siendo la primera el basamento de Barva en el sector centro y oeste, y la segunda en el sector este de toda el área de estudio. Los acuíferos Colima Superior e Inferior se localizan bajo estas últimas formaciones (figura 1). Hacia el suroeste del acuífero Barva existe un depósito de material volcaniclástico polimíctico, con distintos grados de meteorización y alteración hidrotermal, probablemente asociado con un evento debris avalanche, con una edad aproximada de 150 a 270 mil años (Méndez & Hidalgo, 2004). Estratigráficamente, este depósito sobreyace las verdaderas coladas de lava de hace 0.27 millones de años y de las ignimbritas de la formación Tiribí (Pérez, 2000). Este depósito podría conducir agua de forma lateral desde las lavas del subsistema Bermúdez hasta el sector oeste de la zona de estudio, hipótesis que no ha sido comprobada. Para efectos de este estudio, se denomina “Sector D” a esta región.
Los mecanismos de recarga varían dependiendo de la unidad acuífera: para los acuíferos Bambinos y Los Ángeles, en la parte alta, la recarga ocurre por infiltración en toda el área en que las lavas afloran a la superficie. Esta condición indica que la recarga al acuífero Barva en estos sectores se da por drenaje desde estos dos acuíferos a través de material tobáceo. En los sectores donde el acuífero es sobreyacido solamente por las tobas de Carbonal, la recarga al acuífero se da por infiltración directa de la precipitación. Estimaciones hechas por varios autores (Gómez, 1987; Reynolds-Vargas, 1997; Ramos, 2001), tomando en cuenta factores como la precipitación, permeabilidad de los suelos y conductividad hidráulica de las tobas, la recarga promedio varía entre un 30 y 55% de la precipitación, la cual va de 830 mm/año en las altitudes más bajas y con menor precipitación, hasta 1 700 mm/año en las zonas más lluviosas, a mayores altitudes. Otros investigadores sugieren que cada río en la zona presenta algunos tramos que se comportan como efluentes y otros como influentes, dependiendo de la estación y geología (BGS/SENARA, 1988; Marchand, Ryan, Bethune, & Chu, 2002; Losilla, Rodríguez, Foster, & Kitching, 1982; Losilla, Rodríguez, Schosinsky, Stimson, & Bethune, 2001), por lo que la entrada de agua de los ríos hacia el acuífero representa otra fracción de la recarga. La variedad de los mecanismos de recarga de los acuíferos del Valle Central y su dependencia de las complejas relaciones hidrogeológicas y climáticas de la región fue corroborada por Reynolds-Vargas y Fraile (2009), quienes, mediante el análisis de las variaciones isotópicas en las aguas subterráneas y en la precipitación, concluyeron que la recarga del acuífero Barva es local y derivada de la precipitación de origen Pacífico en su parte central y noroeste. Una parte de la recarga ocurre en las tierras altas ubicadas en la parte noreste y sur de la zona, en donde también se recarga el acuífero Colima Superior. Asimismo, ocurren procesos intensos de reciclaje de humedad por evapotranspiración y reevaporación de la humedad interceptada por la vegetación boscosa en la parte alta de la zona, humedad que eventualmente se infiltra. La descarga se produce principalmente por medio de manantiales existentes en el sector central y oeste del área de estudio; una fracción adicional se descarga por manantiales ubicados en el sector norte, que drenan parte del volumen almacenado en los subsistemas Los Ángeles y Los Bambinos, lo que puede conformarse como flujo base de muchos de los ríos (Marchand et al., 2002). La descarga artificial del acuífero se produce por medio de pozos, en su mayoría perforados. Para 2004, los volúmenes de agua que se extraían o que descargaban del acuífero provenían de un total de 1 022 pozos (2 523 l/s) y de 391 manantiales (4 852 l/s), para un total aproximado de 7 375 l/s (Reynolds-Vargas & Fraile, 2009).
Las partes altas de las subcuencas sobre el acuífero Barva, entre los 1 400 y 2 800 msnm se caracterizan por presentar zonas de bosque y pastos en los alrededores del volcán Barva. En las partes medias, de los 1 000 a 1 400 msnm, predominan los cultivos de café, viveros y cultivos tradicionales anuales. En las partes bajas, de los 800 a 1 000 msnm, predominan los usos urbano e industrial. La zona hacia el oeste, de los 500 a 800 msnm, se caracteriza principalmente por la presencia de actividades agropecuarias.
Muestreo y análisis de aguas subterráneas
La información base sobre los pozos utilizados en este estudio (descripción litológica, datos de caudal, construcción, pruebas de bombeo, entre otros) fue suministrada por las instituciones que administran el agua en la Gran Área Metropolitana (Servicio Nacional de Aguas Subterráneas (SENARA), Ministerio de Ambiente y Energía (MINAE), Empresa de Servicios Públicos de Heredia (ESPH) y municipalidades de la zona de estudio. De los 1 022 pozos registrados a inicios de 2002, alrededor de 570 cuentan con informes que describen los estratos litológicos y el armado del pozo. De estos pozos, se preseleccionaron 100 según su ubicación aproximada y facilidad de acceso. De los 100 sitios, se muestrearon y analizaron los parámetros físicos y químicos de 51 (figura 2). Antes de la toma de las muestras en los pozos, se verificó que estuvieran bombeando agua al menos durante las últimas dos horas antes del muestreo. Si un pozo no estaba en funcionamiento, se encendió la bomba y se dejó correr el agua por unos 20 minutos antes del muestreo. Para verificar que el agua estancada en el pozo y tuberías hubiese sido purgada, se midieron los parámetros de campo varias veces hasta que se estabilizaron los valores. A cada muestra de agua se determinó in situ la conductividad eléctrica, utilizando un conductímetro de campo WTW LF 197, la temperatura y pH, utilizando para los dos últimos un medidor Thermo Orion 261S. Luego, se enjugó tres veces cada botella con agua del pozo o del manantial.

Figura 2 Sitios de muestreo para la caracterización físico y química del agua subterránea de los acuíferos Barva y Colima.
Finalmente, de los 51 sitios se seleccionaron 23 (17 pozos, 6 manantiales), identificados con los códigos SP (para pozos) y SM (para manantiales), para conformar la red de muestreo definitiva. La selección se realizó con base en los siguientes criterios: facilidad de acceso, existencia con un tubo de muestreo adyacente al pozo o manantial, y posibilidad de tomar la muestra antes de que ésta hubiese recibido el tratamiento de cloración. Los 23 sitios se evaluaron física y químicamente desde setiembre de 2002 hasta mayo de 2004 cada tres meses, para un total de 5 a 9 muestras en cada sitio. Para los análisis de nitratos, las muestras se tomaron por duplicado en botellas Nalgene de 500 ml, las cuales se enjuagaron con agua del sitio tres veces antes de recolectar la muestra. Luego, las muestras se transportaron el mismo día en una cámara fría hasta el Laboratorio de Hidrología Ambiental (LHA) de la Universidad Nacional, en donde se mantuvieron en refrigeración, a 4°C, hasta su análisis el día siguiente. El análisis se realizó con el método de espectrofotometría de luz ultravioleta (protocolo 4500 NO3-B; Eaton, Clesceri, Greenberg & Franson, 1995).
Además, se tomaron muestras en botellas de plástico de alta densidad de 3.8 litros, las cuales fueron transportadas ese mismo día hasta el Laboratorio Nacional de Aguas del Instituto Costarricense de Acueductos y Alcantarillados (ICAA) para su conservación y análisis. Se analizaron los siguientes iones: calcio, magnesio, potasio, sodio, cloruro, sulfato y bicarbonato, siguiendo los protocolos correspondientes (Eaton et al., 1995). Los cationes se determinaron por espectrofotometría de absorción atómica (métodos 3500-Ca; 3500-Mg, 3500-K y 3500-Na), y los aniones cloruros y sulfatos por cromatografía (método 4110B Cro); los bicarbonatos se determinaron por el método de titulación con ácido sulfúrico (método 2320-B). Los límites de detección (LD) y cuantificación (LC) del método utilizado para analizar el magnesio fueron de 0.5 y 1 mg/l; para el sodio, de 0.22 y 0.75 mg/l; y para el potasio de 0.3 y 0.8 mg/l, respectivamente; mientras que para el calcio ambos límites fueron de 1 mg/l. Los LD y LC del método para analizar cloruros fueron de 0.25 y 0.71 mg/l; para los bicarbonatos fueron de 2 y 3 mg/l; para los sulfatos, de 1.28 y 1.79 mg/l, respectivamente. Para confirmar la calidad de los análisis se calcularon los balances iónicos de cada muestra.
Análisis de los datos
Con el fin de determinar la eventual relación de la composición química del agua subterránea con otros factores se delimitaron cuatro sectores con base en la cota de altura y el uso del suelo predominante (PRUGAM, 2008). Así, la zona de estudio se dividió en cuatro sectores: entre la curva 1 400 y la 2 800 msnm, sector A; entre los 1 000 y 1 399 msnm, sector B; de los 800 a 999 msnm, sector C; y menos de 800 msnm, sector D.
Se aplicaron pruebas de Kruskall Wallis para comparar los valores sin promediar del agua de los sectores A, B, C, D y sitios que extraen agua del Colima en cuanto las concentraciones de iones mayoritarios, valores de conductividad eléctrica y pH obtenidos durante las campañas de muestreo, con el programa Statistica v.6. Esto debido a que los grupos de datos a comparar no mostraron igualdad de varianzas ni homogeneidad. Además, se elaboró una matriz de correlación con el programa Statistica v.6, utilizando los valores sin promediar de los parámetros analizados. Finalmente, se elaboraron diagramas de Piper y Stiff utilizando el programa Diagrammes v.1, con el fin de comparar la hidroquímica del agua de los acuíferos Colima y Barva de los sectores A a D.
Resultados
En 96% de las 211 muestras analizadas se obtuvieron porcentajes de error en la sumatoria de iones menores a 10%. Las concentraciones de los iones mayoritarios fueron similares entre épocas secas y lluviosas, lo que se confirma a través de las desviaciones estándar relativamente bajas (cuadros 1 y 2). De los 51 puntos muestreados, un 25% presentó, en promedio, concentraciones de nitratos (NO3-N) entre 5 y 10 mg/l.
Cuadro 1 Promedios y desviaciones estándar para los parámetros físicos y químicos en los 23 sitios de la red de monitoreo de los acuíferos Barva y Colima.

Ac = acuífero; B = Barva; C= Colima.
Cuadro 2 Promedios y desviaciones estándar en los parámetros físicos y químicos de 28 sitios de los acuíferos Barva y Colima.

Ac = acuífero; B= Barva; C = Colima.
La mayor parte del agua muestreada del acuífero Barva se clasificó como bicarbonatada mixta. Asimismo, la mayoría de los sitios muestreados del acuífero Colima también captan aguas bicarbonatadas mixtas, excepto un sitio, el pozo PRE 60, en donde se encontró la mayor concentración de cloruros. Esta agua fue clasificada como sódico mixta (figura 3).
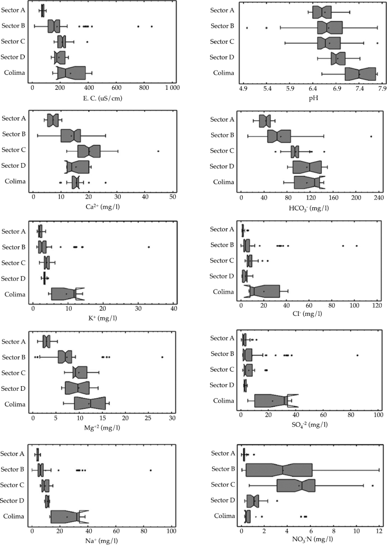
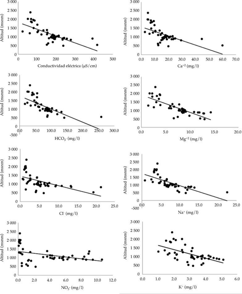
Además, se observó una diferencia entre los sectores A, B, C y D en cuanto a las concentraciones de algunos iones mayoritarios, especialmente en el ion HCO3 - (cuadro 3, figura 4). Las pruebas Kruskall Wallis (p = 0 para todos los análisis) y los gráficos de caja en la figura 5 muestran un aumento significativo en las concentraciones de todos los parámetros (sector C > sector B > sector A), excepto en SO4 -2 y pH. Al tomar solamente en cuenta los sitios ubicados en estos sectores del acuífero Barva se encontraron correlaciones negativas significativas (r entre 0.6 y 0.8; p < 0.05), entre la altitud y concentración de todos los parámetros, excepto pH y SO4- 2 (cuadro 4 y figura 6).
Cuadro 3 Estadística básica para los parámetros físicos y químicos analizados en la zona de estudio.

Figura 4 Diagramas Stiff representando las concentraciones promedio, en meq/l, en las muestras de los sitios de la red de monitoreo para el acuífero Barva y Colima.

Figura 5 Diagramas de caja con todos los resultados obtenidos en los sitios muestreados en el acuífero Barva y Colima por estrato de altitud.
Cuadro 4 Matriz de correlación para los valores encontrados en los sitios de muestreo del acuífero Barva. En negrita los que mostraron significancia al p < 0.05.

Figura 6 Gráficos de dispersión de altitud vs. conductividad eléctrica y altitud vs. algunos iones mayoritarios de los sitios del sector A, sector B y sector C del acuífero Barva.
En el sector D, hacia el suroeste de la zona de estudio, se observó un aumento significativo en las concentraciones iónicas únicamente en el HCO3 - y Na+ con respecto al grupo de datos del sector C, mientras que la conductividad eléctrica, Cl-, NO3-N, Ca+2 y K+ disminuyeron, y el resto de parámetros se mantuvo igual (p = 0 en todas las pruebas Kruskall Wallis) (cuadro 3, figura 5).
Por su parte, a pesar de que el agua del acuífero Colima forma parte de la misma familia hidrogeoquímica que el agua del Barva (figura 3), se encontraron concentraciones mayores de K+, Na+, SO4 -2 y un pH mayor (p = 0, prueba Kruskall Wallis) en el acuífero Colima (figura 5). Los resultados de conductividad eléctrica, Mg+2 y HCO3 - también son relativamente elevados, aunque no se encontró diferencia significativa con respecto a los datos de los sectores C y D, mientras que las concentraciones de Cl- y Ca+2 son relativamente bajas. Por su parte, las concentraciones de NO3-N de los sitios del Colima son bajos, similares a las concentraciones del sector A del acuífero Barva y al sector D de la zona de estudio (figura 5).
Discusión
La similitud en las proporciones de los iones mayoritarios en el agua subterránea del acuífero Barva demuestra la ausencia de cambios hidrogeoquímicos relacionados con el gradiente altitudinal. Evidencia de esto es que todos los sitios fueron clasificados dentro de la misma familia hidroquímica. Una razón para explicar esta similitud es la composición petrográfica y química semejante entre las rocas del volcán Barva y las del sector D (Kussmaul, 2002). Esto también parece indicar que no existen procesos de contaminación significativos que alteren las proporciones iónicas encontradas. Asimismo, las calidades del agua encontradas son del tipo bicarbonatada, que por lo general corresponden a agua reciente (Freeze & Cherry, 1979); es decir, que han tenido un corto tiempo de permanencia en el terreno, lo cual coincide con el hecho de que la recarga ocurre de manera relativamente rápida en toda la zona que sobreyace el acuífero.
A pesar de que el agua subterránea del acuífero Barva no cambia en sus proporciones iónicas, sí se observó un aumento en la concentración de la mayoría de los iones mayoritarios y en la conductividad eléctrica conforme el agua llega hasta el sector C, esto es, hacia las zonas bajas. Esto podría explicarse por dos procesos: a) disolución natural de sales provenientes de la interacción agua-roca, lo que aumenta con el tiempo de contacto del agua con el terreno; y b) por lixiviación de iones desde terrenos agrícolas y zonas urbanas, que predominan en los sectores B y C. Como el agua de las partes bajas del acuífero se considera también como agua reciente y de recarga local, se concluye que es producto de una mezcla de aguas de recarga y, a su vez, posee mayor cantidad de iones disueltos debido a los procesos ocurridos aguas arriba. La influencia de los fertilizantes sobre el aumento en la concentración de NO3-N, Ca+2, K+, Mg+ y Cl- ha sido también observada por varios investigadores en acuíferos no confinados (Custodio & Llamas, 1983; Kim, Kim, Lee, & Chang, 2003; Fedhi et al., 2009). El uso del suelo predominantemente agrícola y urbano, carente de alcantarillado sanitario, hace sospechar de un aporte antropogénico de iones mayoritarios en el agua captada. Según Reynolds-Vargas, Fraile-Merino e Hirata (2006), en el acuífero Barva, los nitratos provienen de áreas urbanas sin alcantarillado y de fertilizantes nitrogenados aplicados al café. Por su parte, los valores de NO3-N entre los 5 y 10 mg/l, valor máximo recomendado por los organismos nacionales e internacionales de salud, son un indicador importante de que éstos y otros contaminantes derivados de actividades humanas pueden estar llegando al acuífero.
Sin embargo, las concentraciones relativamente bajas de NO3-N y Cl- en el sector D, hacia el oeste del acuífero, no parecen seguir este mismo patrón de aumento en las concentraciones. Al estar el uso del suelo en esta zona dominado por pastos y agricultura no relacionada con el café (PRUGAM, 2008) puede haberse dado una dilución importante del agua del acuífero con agua recargada localmente por las lluvias, con una menor lixiviación de nitratos desde tanques sépticos o fertilizantes nitrogenados que la obtenida en los sectores B y C. La posibilidad de que la disminución de nitratos en el sector D se deba a procesos de dilución es coincidente con los estudios realizados en Italia. Debernardi, De Luca y Lasagna (2008), y Mastrocicco, Colombani, Castaldelli y Jovanovic (2011) también han relacionado la presencia de nitratos en concentraciones relativamente bajas en aguas subterráneas con los procesos de dilución con agua de recarga, a pesar de la presencia de zonas agrícolas y urbanas. Además de la dilución de iones debido a procesos de recarga, es muy probable que exista una entrada de agua desde las partes bajas del acuífero Barva debido a una comunicación hidráulica con las coladas de lava provenientes de este volcán, aunque esto no ha sido comprobado. Ello explicaría, en parte, el aumento en las concentraciones de HCO3 - y Na+ con respecto al grupo de datos de la parte baja del acuífero Barva.
Por otra parte, la semejanza hidroquímica entre el agua de los acuíferos Barva y Colima podría deberse a que el agua del Colima ha sufrido un proceso de mezcla con el agua del acuífero Barva debido a la recarga desde ese cuerpo de agua, o bien a que el agua de ambos acuíferos ha sufrido procesos similares de disolución de las rocas e intercambio catiónico, teniendo en cuenta que las formaciones geológicas que albergan a ambos acuíferos son químicamente similares. Por otro lado, es posible que el agua del acuífero Colima permanezca por más tiempo en contacto con el terreno, lo que permitiría una mayor disolución de iones desde las rocas y, por tanto, concentraciones de iones mayoritarios superiores a las del acuífero Barva. Por su parte, las concentraciones menores de NO3-N en los sitios muestreados del Colima, en comparación con los del Barva, se debe a que el NO3-N proveniente de zonas agrícolas y urbanas se lixivia primero hacia el acuífero Barva, el cual sobreyace gran parte del acuífero Colima, lo que diluye la concentración de NO3-N que podría percolar hacia el Colima. Por el contrario, el manantial de Colima PM-131 (Puente Mulas) mostró una concentración relativamente alta, aproximada a los 6 mg/l de NO3-N, y el hecho de encontrarse en un sitio no sobreyacido por el acuífero Barva refuerza la afirmación anterior.
La posible recarga desde el acuífero Barva hacia el Colima Superior, ya sea a través de fracturas en las tobas e ignimbritas, o por la comunicación establecida entre ambos acuíferos por los pozos perforados existentes en la zona, no ha sido estudiada a profundidad. A pesar de que varios autores consideran que los materiales que separan el agua de los acuíferos Barva y Colima son lo bastante impermeables como para impedir un flujo vertical importante de agua desde el Barva hacia el Colima (Protti, 1997), otros argumentan lo contrario (BGS/SENARA, 1988). La presencia de compuestos orgánicos volátiles (Reynolds-Vargas, datos no publicados) en zonas sobreyacidas por el acuífero Barva es evidencia de la presencia de un flujo importante desde este cuerpo de agua.
Finalmente, se recomienda que en estudios futuros también se analice la concentración de los nitritos debido a su importancia en la evolución del nitrato y a su impacto sobre la salud (WHO, 2011). Además, se recomienda el uso de marcadores isotópicos, sílice y otros parámetros para comprobar la procedencia del agua subterránea que se encuentra en el sector D de la zona de estudio, así como el uso de herramientas hidrogeológicas convencionales.
Conclusiones
Los acuíferos Barva y Colima poseen una calidad de agua aceptable para que ésta pueda ser utilizada para abastecimiento humano, debido a que ningún parámetro analizado sobrepasó los valores de las guías de calidad del agua que recomienda la OMS. No obstante, se debe mantener el monitoreo de la calidad del agua en los diferentes sistemas de abastecimiento que tienen como fuente pozos y manantiales.
El agua del acuífero Barva es de tipo bicarbonatada mixta y los sitios muestreados presentan proporciones iónicas muy similares por razones como zonas de recarga en todo el acuífero y composición de rocas del acuífero muy similar. Los sitios muestreados del acuífero Colima también son del tipo de agua bicarbonatada mixta, similitud debida probablemente a la ocurrencia de procesos de mezcla con el acuífero Barva. Se recomienda aumentar el muestreo en el acuífero Colima para poder determinar con mayor certeza la hidrogeoquímica en este acuífero.
De las partes altas hasta las partes bajas, en el sector C del acuífero Barva existe un aumento en las concentraciones de iones de bicarbonatos, cloruros, nitratos, calcio, magnesio, sodio y potasio, probablemente por procesos de disolución natural de las rocas y por lixiviación de iones provenientes de actividades antropogénicas, en lo que podría ser un proceso incipiente de contaminación. Es recomendable mantener un monitoreo constante en la zona y analizar las tendencias temporales de estos iones. El sector D, hacia el oeste del acuífero, no sigue el mismo patrón de aumento de iones. De hecho, se observó una disminución en algunos parámetros. A pesar de que el tipo de agua de estos puntos es el mismo que en las otras zonas, hay varios factores que parecen estar incidiendo en la hidrogeoquímica de este sector D, como una mayor influencia del agua de recarga local y, por tanto, una dilución de la mayoría de los iones estudiados, por lo que se recomienda un estudio hidrogeológico que defina mejor la zona oeste. Tampoco se conoce con certeza si hay conexión hidráulica con el sector C del acuífero Barva.
El agua del acuífero Colima presenta bajas concentraciones de nitratos y cloruros, lo que se le atribuye a que la mayor parte de su extensión se encuentra protegida por el acuífero Barva que lo sobreyace, aunque existe evidencia de cierta conexión hidráulica entre ambos acuíferos.










nueva página del texto (beta)



