Introducción
Uno de los principales desafíos de la sustentabilidad de los recursos hídricos en el mundo está relacionado con el aumento inexorable de la demanda de agua necesaria para satisfacer las crecientes necesidades de la población; se estima que en el orbe, un 70% del agua se destina para uso agrícola, un 22% para uso industrial y un 8% para uso doméstico (Strzepek & Boehlert, 2010; Konar et al., 2011). En países de ingresos medios y bajos, las extracciones de agua destinadas para uso agrícola ascienden a 82% (Pfister, Bayer, Koehler, & Hellweg, 2011; Mubako & Lant, 2013).
La evaluación de la disponibilidad del agua en una cuenca es un desafío complejo, ya que depende de las características geográficas del lugar, de su uso y el comportamiento del ciclo hidrológico afectado por procesos de variabilidad y cambio climático (Gleick, 2010). La agricultura depende de las condiciones climáticas, pues las fluctuaciones o variabilidades ejercen un significativo efecto en el rendimiento de los cultivos (Costanzo, Bonel, & Montico, 2009). Por lo tanto, la evaluación del uso del recurso agua durante el proceso de producción agrícola, considerando la variabilidad climática, contribuiría a incentivar una mejor gestión en las prácticas de manejo del agua en un área (FAO, 2011; Herath et al., 2013; Sun et al., 2013). En este contexto, la huella hídrica se ha propuesto como una herramienta que identifica el uso del agua y los efectos de la producción agrícola, proporcionando información para la toma de decisiones.
Esta metodología es capaz de distinguir las fuentes necesarias de agua para los cultivos, permitiendo la comparación entre siembras, en función de la productividad, eficiencia y vulnerabilidad de la disponibilidad del agua a escala local, nacional o global, considerando además la heterogeneidad existente entre países o áreas geográficas (Bulsink, Hoekstra, & Booij, 2010; Mekonnen & Hoekstra, 2011; Montesinos, Camacho, Campos, & Rodríguez-Díaz, 2011). Considera en su análisis variables como el tiempo de cultivo, eficiencia de riego y rendimiento en el nivel de cuenca hidrográfica, incluyendo las características de variabilidad climática regional a escala mensual (Hoekstra, 2014).
La huella hídrica identifica tres componentes: 1) huella hídrica verde, volumen de agua que se consume en el proceso de producción, como el agua que se encuentra como humedad del suelo en la zona no saturada, formada por la precipitación y disponible para las plantas; 2) huella hídrica azul, agua de riego, que comprende el volumen de agua superficial (ríos, lagos, humedales) o subterránea (acuíferos), que se consume en el proceso de producción; considera las salidas del sistema por evaporación de los cultivos; 3) huella hídrica gris, aquella que se requiere para asimilar los contaminantes generados durante el proceso de producción de cultivos (Hoekstra, 2013; Vanham & Bidoglio, 2013).
La agricultura convencional hasta ahora ha puesto énfasis en la gestión del agua de uso consuntivo (Mekonnen & Hoekstra, 2014). Sin embargo, la agricultura recibe tanto agua azul (de regadío), como agua verde (humedad del suelo), siendo necesario incluir todos los componentes del ciclo del agua (Willaarts, Volk, & Aguilera, 2012), además de los flujos hidrológicos, las salidas y los cambios de almacenamiento (Deurer, Green, Clothier, & Mowat, 2011), e indicar el impacto agrícola sobre los recursos hídricos (Ridoutt & Pfister, 2010).
Chile, en su larga extensión latitudinal (17° S y 56° S), presenta una gran diversidad de sistemas hidrográficos, con un amplio rango de variación en las precipitaciones, regímenes y periodos de caudales máximos (Oyarzún, Alvarez, Arumí, & Rivera, 2008). Estas condiciones climáticas determinan que un 45% del total de la producción agrícola nacional se realice entre los ríos Aconcagua (32° S) y Maule (35° S), ubicados en Chile central, siendo un núcleo de cultivo donde coexisten sistemas de riego y de secano. Se estima que entre los usos consuntivos, el riego representa 84.5% de uso del recurso en el ámbito nacional, con un caudal medio de 546 m3/s, aplicados en unas dos millones de hectáreas (Gleick, 2010; Donoso, Blanco, Foster, Franco, & Lira, 2012).
A raíz del cambio climático global y sus proyecciones, entre los 30° S y 40° S (modelo HadCM3 escenario GEI A2) se evidencia una señal robusta de disminución de la precipitación de un 5 a 10% en una ventana temprana, y entre 20 y 30% en un escenario tardío (CEPAL, 2012). En los ríos de la zona central se ha observado un ascenso en la isoterma cero, registrando durante los últimos 100 años un claro retroceso glaciar (Carrasco, Casassa, & Quintana, 2005; Bown, Rivera, & Acuña, 2008), aspecto importante, considerando que la disponibilidad nivalglaciar contribuye con un 67% de la escorrentía superficial durante periodos secos asociados con La Niña (variabilidad climática) (Peña & Nazarala, 1987). De acuerdo con las tendencias presentadas, se estima que la oferta de agua disminuirá en un 40% al año 2016 (DGA, 2012; Pizarro et al., 2013), que se contrapone con un aumento estimado de la necesidad de riego en 4 mil millones de m3 adicionales en los próximos 40 años (Neuenschwander, 2010).
En este estudio se evaluó la huella hídrica para la producción agrícola en la cuenca del río Cachapoal (34°), que cubre aproximadamente 161 500 ha, de las cuales 29 713 ha se destinan al cultivo de cereales, como maíz y leguminosas, lo que representa 73% de la producción nacional. En esta cuenca, el patrón de uso del agua está determinado por la superficie de riego: gravitacional por surco, microrriego por goteo y riego mecánico por aspersión tradicional (Censo Agrícola, 2007). En relación con la disponibilidad del agua en la cuenca, se informan áreas del secano interior y depresión intermedia con déficit hídrico o sequedad del suelo, y una correlación negativa entre estos índices y las precipitaciones, restringiendo el uso de riego (DGA, 2012; Sánchez & Carvacho, 2013).
Por ello, se evaluaron los efectos de la variabilidad climática en el consumo de agua para la producción agrícola, a través del cálculo de la huella hídrica, considerando tres escenarios de precipitación: (a) año húmedo, (b) año normal y (c) año seco, seleccionados a través de una data de 34 años de precipitaciones y bajo dos condiciones de rendimiento (normal y proyectando el efecto de cambio climático). La huella hídrica fue cuantificada por indicadores capaces de diferenciar entre las fuentes de agua verde y azul en las tres secciones de la cuenca del río Cachapoal. Además, se calculó el agua virtual y la productividad aparente, para determinar el efecto de la variabilidad climática en la productividad del consumo del agua en la producción de cereales.
Metodología
Área de estudio
La cuenca del río Cachapoal (34° S, 70° O) corresponde a una de las zonas agrícolas más productivas del centro-sur de Chile. Abarca un 38% de la superficie de la VI Región, con 6 370 km2. La población de la cuenca asciende a 542 901 habitantes; 30% se desempeña en actividades relacionadas con la agricultura. Posee un clima templado con variaciones por efecto de la topografía, en que el ascenso del relieve genera modificaciones térmicas y pluviométricas. Sobre los 3 500 m, la rigurosidad climática se acentúa hasta alcanzar condiciones glaciales (MOP, 2013).
El análisis se realizó separando la cuenca del río Cachapoal en diferentes secciones, según sus variaciones altitudinales, por ejemplo, primera, segunda y tercera secciones (figura 1), además fue necesario emplear datos agrícolas, como superficie cultivada, rendimiento y técnicas de riego en las distintas secciones de la cuenca del Cachapoal (INE, 2007) (cuadro 1).

Figura 1 Cuenca del río Cachapoal. Se identificó para este estudio, de derecha a izquierda, con distintos tonos de gris, las secciones de su cuenca, por ejemplo, primera, segunda y tercera.

Cuadro 1 Localización de las estaciones meteorológicas en cada sección analizada, superficie sembrada, producción, rendimiento de cereales y técnicas de riego utilizadas por superficie regada en la cuenca del río Cachapoal. Fuente: Censo Agrícola 2007 (DGA, 2012).
Determinación de la variabilidad climática
Los datos meteorológicos de entrada fueron seleccionados de nueve estaciones meteorológicas y pluviométricas que mantiene la Dirección General de Aguas (DGA) con una data de 34 años. Se trabajó para este estudio con la información de la estación más representativa en cada sección de la cuenca (cuadro 2). El estudio y corrección de la estadística pluviométrica mensual para cada sección se efectuó mediante el método de las curvas másicas.

Cuadro 2 Estación meteorológica, precipitación anual (Prec.), evapotranspiración de referencia (Eto), precipitación efectiva (Prec. efec), evapotranspiración del cultivo de cereales (Etc) y requerimiento de riego (Req de riego), en los años 2005, 2006 y 2007 en las distintas secciones del río Cachapoal.
El análisis del comportamiento de las precipitaciones se realizó mediante boxplots, que entrega información sobre el comportamiento de ciclos estacionales y valores extremos en las observaciones (Guenni, Degryze, & Alvarado, 2008). La clasificación de años secos, normales y húmedos se realizó utilizando el método de los percentiles, que define cinco categorías: muy seco (percentil 0-20), seco (percentil 20-40), normal (percentil 40-60), húmedo (60-80) y muy húmedo (80-100) (Valiente, 2001).
Cálculo de la huella hídrica del cultivo de cereales (HHcultivo)
La evaluación de la huella hídrica se realizó para cada una de las tres secciones de la cuenca, en condiciones climáticas de año húmedo, seco y normal, definidas según el análisis climático. Se trabajó bajo dos condiciones de rendimiento de cultivos: rendimiento constante de las secciones (1a, 2a y 3a) de 10.4, 12.4 y 11.7 ton/ ha, respectivamente (Odepa, 2014), y para una disminución de un 20% en el rendimiento entre cada año, según lo proyectado en un escenario A2 de cambio climático para el cultivo de cereales (CEPAL, 2012).
Para el cálculo de la huella hídrica se empleó la metodología propuesta por Hoekstra, Chapagain, Aldaya y Mekonnen (2011), considerando la suma de sus componentes verde y azul (figura 2):
Ambos componentes se determinaron a partir de las siguientes ecuaciones:
Donde Y (ton/ha) = rendimiento del cultivo (cuadro 1); UAC = uso de agua del cultivo verde y azul, según su fuente (precipitación o riego), expresada en m3/ha (Allen, Pereira, Raes, & Smith, 1998).
Cálculo de uso del agua del cultivo (UAC) (m3/ha)
Se utilizaron las siguientes relaciones:
Donde Σ = ciclo de crecimiento del cultivo, es decir, desde la siembra (día 1) hasta la cosecha; lgp = longitud, días de cada etapa del ciclo; ETc = evapotranspiración del cultivo (mm/día).
Estimación de evapotranspiración (verde y azul) del cultivo (ETc)
Se determinó la demanda hídrica del cultivo de cereales, a partir del requerimiento de agua del cultivo (RAC), utilizando el software Cropwat 8.0. Bajo condiciones de crecimiento ideales, la ETc se considera igual al RAC y correspondería al agua de evapotranspiración. El cálculo de ETc se hizo en valores decadiarios (dec), en relación con la eficiencia de riego; esta metodología asume que las pérdidas por producto del riego permanecen y retornan a la cuenca:
Donde Kc = coeficiente de cultivo; ETo = evapotranspiración de referencia (mm día-1).
La estimación de la ETverde se realizó:
Requerimiento de riego (Req de riego)
Donde:
Precipitación efectiva (Peff) calculada por el programa.
La estimación de ETazul se hizo a partir de:
La suma de ambas, ETazul (mm/dec) y ETverde (mm/dec) es igual a ETc (mm/dec).
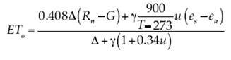
Cálculo de la evapotranspiración (ETO)
Se utilizó el método de Penman-Monteith y el programa Cropwat 8.0. Los datos climáticos, en función de la latitud y del periodo, fueron tomados de la DGA. La información fue georreferenciada usando el programa Climwat 2.0, donde:
ETo = evapotranspiración de referencia (mm día-1); Rn = radiación neta en la superficie del cultivo (MJ m-2 día-1); Ra = radiación extraterrestre (mm día-1); G = flujo de calor de suelo (MJ m-2 día-1); T = temperatura media del aire (C°); u = velocidad del viento (ms-1); es = presión de vapor de saturación (kPa); ea = presión real de vapor (kPa); es-ea = déficit de presión de vapor (KPa); Δ = pendiente de la curva de presión de vapor (kPa °C-1); Γ= constante psicrométrica (kPa°C-1).
Cálculo del agua virtual (AV)
Corresponde al volumen de agua contenida en un producto y que fue empleado en su producción, en un contexto de flujo de agua exportada (Hoekstra, 2014). Su cálculo se realizó a través de la ecuación descrita por Salmoral et al. (2011):
Donde AVexp = agua virtual exportado (m3/ año), E = cantidades de productos exportados (ton/año). La cantidad exportada (E) fue extraída del Informe Regional de Exportaciones Silvoagropecuarias (Odepa, 2013b).
Productividad aparente del agua (PAA)
Según Salmoral et al. (2011), corresponde al valor económico de la producción agraria por metro cúbico de agua utilizado. Se calculó a partir de:
Donde PAA = productividad aparente del agua ($/m3) en Chile para los años analizados; Σ (Pr x T) = precio de mercado ($/ton) del producto agrícola; HH = huella hídrica del producto agrícola (m3/ton). Los valores de la PAA en Chile para los años estudiados se tomaron del Informe Regional de Exportaciones Silvoagropecuarias (Odepa, 2013b).
Análisis estadístico
En la evaluación de la huella hídrica, el análisis de normalidad de los datos se hizo a través del test de Shapiro-Wilk. La factibilidad de utilizar un modelo aditivo se analizó aplicando el test de no aditividad de Tukey. Se realizó un análisis de varianza de dos vías para la comparación entre factores, por ejemplo, años (tres niveles, 2005, 2006, 2007) y secciones (tres niveles, 1°, 2°, 3°), y se aplicó la prueba a posteriori de Tukey. Para el análisis de los resultados del agua virtual y productividad aparente del agua se aplicó un análisis de la varianza de una vía. Se utilizó el programa computacional Statistica versión 6.0 (StatSoft Inc. 2001).
Resultados
Comportamiento climático de la cuenca del Cachapoal
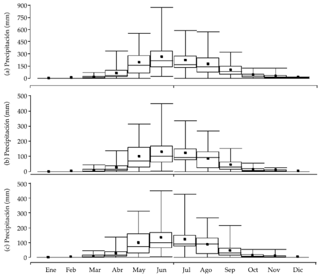
La figura 3 muestra la variación espacial de la precipitación en la cuenca del Cachapoal para los 34 años analizados en las estaciones meteorológicas seleccionadas como referencia. La primera sección (sección cordillerana) fue la que presentó la mayor precipitación, con una media de 1.119 ± 409 mm (R2 = 0.999; cv = 36.5), con un mínimo de 311 mm durante años muy secos y un máximo de 2.082 mm durante años muy húmedos. La segunda sección presentó una precipitación media de 649 ± 293 mm (R2 = 0.997; cv = 45), mínimo de 117 mm y máximo de 1.517 mm. La tercera sección (con influencia costera) presentó las menores precipitaciones anuales, con 549 ± 230 mm (R2 = 0.998; cv = 41), con mínimas de 145 mm y máximas de 1.022 mm. En el nivel intranual, la mayor variabilidad de los montos pluviométricos se registró durante el invierno.

Figura 3 Boxplots de la precipitación mensual, para un periodo de 34 años en la cuenca del Cachapoal (mm): (a) primera sección, estación La Rufina; (b) segunda sección, estación Coltauco; (c) tercera sección, estación Pichidegua. La línea horizontal y el cuadrado dentro de la caja indican la mediana y la media. Los extremos inferior y superior de la caja corresponden a los cuantiles 0.25 y 0.75, respectivamente. Los bigotes inferior y superior, a los cuantiles 0.05 y 0.95, respectivamente.
Según el análisis de percentiles, las condiciones extremas fueron observadas en los años 2005 y 2007 (cuadro 2). El año 2005 fue característico de uno húmedo, con una precipitación media de 969 mm; mientras que 2007 representó una condición seca, con 391 mm. Para una condición de pluviosidad normal se seleccionó 2006 (ver cuadro 2), con una precipitación media de 838 mm.
Huella hídrica del cultivo de cereales (HHcultivo)
El cuadro 2 resume para cada sección de la cuenca del Cachapoal la información requerida para el cálculo de la huella hídrica. Se comprueba que para el año 2005 (año húmedo) fue mayor la ETo, ETc y la precipitación efectiva, y para el año 2007 (año seco) fue mayor el requerimiento de riego.
El ciclo de cultivo para el maíz se estimó en 125 días, con las siguientes etapas: inicial, 20 días; desarrollo, 35 días; madurez, 40 días; senescencia, 30 días. Tres valores de coeficiente de cultivo (Kc): 0.30, inicial; 1.20, en la etapa media; 0.35, final, para el periodo septiembre-diciembre (figura 4).
Se consideró para el análisis estadístico un modelo aditivo, pues no se encontró evidencia significativa (P > 0.05) al aplicar el test de no aditividad de Tukey. Además, no se halló evidencia en contra de la hipótesis de normalidad, cumpliendo así el supuesto de distribución normal (P > 0.05) de acuerdo con el test de Shapiro-Wilk (cuadro 4).
Como se observa en el cuadro 3, la huella hídrica total del cultivo de los cereales, bajo el supuesto de un rendimiento constante, fue estimada en 1 064.6 m3/ton para el año húmedo (2005); 1 015.1 m3/ton para el año normal (2006), y 1 045.4 m3/ton para el año seco (2007). Respecto de un año normal, el consumo en un año húmedo fue mayor en 49.5 m3/ton y en un año seco sólo en 30.3 m3/ton, observándose diferencias significativas entre los años analizados. Sin embargo, no se detectaron diferencias significativas en la huella hídrica total entre las secciones (1a, 2a y 3a) (ver cuadro 4).

Figura 4 Etapas y coeficientes estimados para el cultivo (Kc) de maíz (periodo del 28 de septiembre al 30 de diciembre).

Cuadro 3 Cálculo de evapotranspiración para el periodo de crecimiento (ETc), uso del agua del cultivo (UAC) y huella hídrica (HH) para el cultivo de cereales en los años 2005, 2006 y 2007 en las distintas secciones del río Cachapoal, bajo condiciones de rendimiento constante (a) y el supuesto de una disminución de 20% en el rendimiento (b).

Cuadro 4 Resumen de los resultados obtenidos de la aplicación de análisis estadístico para los factores años y secciones en la evaluación de la huella hídrica para un rendimiento constante (a) y una disminución (20%) en el rendimiento (b).
La mayor huella hídrica azul se observó en 2007 (año seco), con 1 038.3 m3/ton, correspondiente a agua de riego (cuadro 3). El test de Tukey mostró diferencias significativas entre un año húmedo, normal y seco; sin embargo, no percibió diferencias significativas entre las secciones (1a, 2a y 3a) (ver cuadro 4). La mayor huella hídrica verde se observó en 2005 (año húmedo) con 370.3 m3/ton (ver cuadro 3). El análisis estadístico mostró diferencias significativas entre un año húmedo, normal y seco. Sin embargo, no mostró diferencias significativas entre las secciones (1a, 2a y 3a) (cuadro 4).
La tendencia observada entre las huellas hídricas azul y verde (ver cuadro 3), en un año húmedo, normal y seco, muestran que la huella azul incrementa (694.3-1 038.3 m3/ton), mientras que la huella verde disminuye (370.3- 7.2 m3/ton).
La huella hídrica total, bajo la condición de una disminución de un 20% en el rendimiento de los cultivos, fue estimada en 1 064 m3/ton para el año húmedo, 1 268.8 m3/ton para un año normal y 1 633.9 m3/ton para un año seco (ver cuadro 3). Respecto de un año normal, el consumo en un año seco fue mayor en 365.1 m3/ton, no así en un año húmedo, en que el consumo fue menor en 204.2 m3/ton, percibiéndose diferencias significativas entre los años analizados. Además, el análisis estadístico mostró diferencias significativas entre las secciones, donde la huella hídrica de la 1a sección fue mayor en los distintos años analizados (ver cuadro 4).
Bajo el supuesto de una disminución de un 20% del rendimiento de los cultivos (ver cuadro 3), la mayor huella hídrica azul se detectó también en un año seco, con 1 622.7 m3/ton de agua de riego, distinguiéndose diferencias significativas entre el año húmedo, normal y seco. Sin embargo, las secciones de la cuenca no presentaron diferencias significativas. La mayor huella hídrica verde se observó también en el año húmedo con 370 m3/ton, notando diferencias significativas entre un año húmedo, normal y seco. El análisis estadístico no mostró diferencias significativas entre las secciones (ver cuadros 4). Para esta condición, el incremento en la huella azul fue inverso a la huella verde; se advirtió una tendencia semejante en el supuesto anterior.
Agua virtual (AV)
En un año húmedo habría sido exportada la mayor cantidad de agua virtual total, con diferencias significativas respecto de un año seco (ANOVA F(2,4) = 6 293; P = 0.0001). Esta mayor cantidad de agua virtual total correspondería al agua verde, proporcionada por las precipitaciones, con significativas diferencias entre los años analizados (ANOVA F(2,4) = 2 347; P = 0.0001). En un año seco habría sido exportada la mayor cantidad de agua azul, que correspondería al agua agregada como riego, con diferencias significativas entre los años analizados (ANOVA F(2,4) = 3 215; P = 0.0001) (figura 5).

Figura 5 Estimación del contenido de agua virtual exportada (AVexp) y productividad aparente del agua (PAA) en la producción de cereales, en un año húmedo (2005), normal (2006) y seco (2007), en la cuenca del río Cachapoal.
Productividad aparente del agua (PAA)
La PAA en el periodo estudiado fluctuó en relación con los precios del mercado. La productividad aparente del agua en cuanto a la huella hídrica de cereales habría sido menor en un año húmedo (2005), calculado en 92.8 $/m3, y mayor en un año normal, 2006 (97.4 $/m3); observándose diferencias significativas entre los años estudiados 2005, 2006 y 2007 (94.5 $/m3) (ANOVA F(2,4) = 39.02; P = 0.0004) (ver figura 5).
Discusión
En una cuenca hidrográfica es primordial considerar que la agricultura es la actividad productiva y económica que presenta la mayor dependencia respecto de las condiciones climáticas locales, siendo ésta la primera responsable por la variación en la producción anual de los cultivos (Gil, Lozada, López, Marquez, & Salazar, 2012). Dentro de los elementos del clima, la precipitación es la principal causante de la alternancia periódica de los rendimientos; en condiciones de agricultura de secano y riego, como las observadas en la cuenca del río Cachapoal, su influencia es aún mayor.
El análisis de la data de 34 años de precipitaciones en el área demostró que la cuenca del río Cachapoal presenta una condición climática asimilable a un clima mediterráneo, con lluvias durante la estación fría (mayo agosto) y un periodo seco durante la estación cálida (noviembre-febrero) (figura 3). Además de tener marcadas variaciones hídricas entre la primera sección, zona andina (con las más altas precipitaciones) y la tercera sección, con las menores precipitaciones (52% de disminución), correspondiente al sector en que el cauce drena la cordillera de la costa. Del mismo modo, permitió agrupar el comportamiento hídrico de la cuenca en años húmedos, normales y secos, que fluctuaron entre 117 y 1.517 mm. Esta región contribuye con un 73.2% a la producción chilena de cereales, lo que se atribuye a un conjunto de factores, entre los cuales destacan las condiciones de suelo (aluviales) y clima (Osorío, 2013).
Para evidenciar el efecto del clima sobre la huella hídrica de los cultivos, el supuesto de un rendimiento constante permitió observar que en condiciones climáticas extremas, como año húmedo y seco, la huella hídrica fue mayor 1 064 y 1 045 m3/ton, respectivamente, en comparación con un año normal (1 015 m3/ton) (ver cuadro 3). Los resultados de la variación entre año húmedo, normal y seco observados en este estudio fue similar a lo descrito por Rodríguez-Casado, Garrido, Llamas y Varela-Ortega (2008) para una cuenca española, en que la condición de año húmedo fue superior a la de un año normal.
Bajo el supuesto de una disminución de 20% en el rendimiento de los cultivos (situación proyectada ante un cambio climático), se observó que el uso del agua resulta menos productiva, ya que por tonelada de producto generado, el consumo de agua fue mayor (mayor huella hídrica) (cuadro 3), demostrando que la sostenibilidad de la huella hídrica en un cultivo de cereales debe considerar tanto la eficiencia del recurso agua como la situación climática.
Para ambos supuestos de rendimiento, por ejemplo constante, y una disminución de 20%, un año seco mostró una mayor huella hídrica azul (más aporte de riego); en cambio, en un año húmedo, se observó una mayor huella hídrica verde (mayor precipitación), indicando que la disponibilidad y fuente del agua son factores clave para la sustentabilidad. El agua para riego está influenciada por a) cambios en los regímenes hidrológicos (por ejemplo, variación en las precipitaciones, evaporación potencial y real, y/o escorrentía en la escala de cuenca); b) el aumento de la competencia entre los usuarios por el agua (Schmidhuber & Tubiello, 2007), y c) el periodo de siembra, crecimiento y métodos de cultivo (Xiong et al., 2010), estimado en este estudio en 120 días (figura 4).
En la agricultura, alrededor de 40% de las extracciones de agua retorna a los ríos y/o acuíferos locales, convirtiéndose en reutilizable, de modo que el cálculo del volumen de agua consumido proporciona una base sólida para estimar la extracción del recurso (Hoekstra, Mekonnen, Chapagain, Mathews, & Richter, 2012). De allí que la estimación del agua virtual es fundamental en periodos de sequía, pues permite estimar cómo la demanda de productos exportables puede afectar a los sistemas hidrológicos en las regiones exportadoras (Chen & Chen, 2013).
En este estudio se observó que la mayor cantidad de agua virtual total (AVexp) habría sido exportada en el año húmedo (2006) y la menor cantidad en un año seco (2007) debido al mínimo aporte de agua virtual verde; del mismo modo, en un año seco es mayor la cantidad de agua virtual azul exportada, lo que se compensa a través del riego. En particular, en 2007 (año seco), en la zona centro norte del país se registró una fuerte helada en la segunda semana de julio, que afectó a la cuenca del Cachapoal con un periodo de bajas temperaturas, que comprometió de modo grave la producción agrícola (Odepa, 2013a), situación que fue compensada con aumento de riego, lo que se refleja en este indicador (figura 5).
Se encontró que en valores de productividad aparente del agua (PAA) no evidencian el efecto de la condición climática, ya que para un año húmedo como 2005, el valor de PAA fue menor, a pesar de que la exportación de cereales comprometió un mayor contenido de agua virtual (figura 5). Donoso et al. (2012) plantean que en Chile los sectores económicos con mayor uso de agua, como es el caso de la agricultura, serían los que obtienen una menor PAA. Se estima en el ámbito nacional en 110 $/m3 la productividad aparente del cultivo de cereales, valor similar a lo calculado en este análisis para la cuenca del río Cachapoal.
La mayor huella hídrica en el país en cuanto al sector agrícola se concentra en las regiones de O'Higgins hasta la Araucanía (Donoso et al., 2012). En estas regiones, el volumen de agua utilizada es de 6 676.74 millones de m3/año, que corresponde a 70.2% del volumen de agua total utilizada en el sector agrícola (Hadjigeorgalis & Riquelme, 2002). Mejorar la eficiencia del uso del agua en Chile es un desafío debido a los bajos rendimientos agrícolas. Impulsado por la promulgación de la ley 18.450, la región de O'Higgins está incorporando métodos de riego con mayor tecnología en productos de exportación de alto valor. Se registra una modificación en los tipos de riego (gravitacional -41%; mecánico -8) y un aumento en el microrriego de 75%. Sin embargo, este esfuerzo no se ve reflejado en un menor consumo del recurso agua. Por lo tanto, la optimación de la productividad del recurso hídrico es un aspecto que debe ser considerado en el desarrollo de sistemas agrícolas sustentables (Postle, George, Upson, Hess, & Morris, 2012), pues el agua es el recurso que enlaza las actividades productivas y las variaciones de las condiciones ambientales. Un componente esencial para la atención de los retos de la seguridad hídrica es la generación de conocimiento y la innovación: "es indispensable un mejor conocimiento de los procesos naturales y sociales involucrados en la ocurrencia y gestión del agua, así como de los procesos antropogénicos involucrados" (Martínez- Austria, 2013). Asimismo, se requiere en Chile de mayor innovación tanto tecnológica como de metodologías de gestión del agua, creación de capacidades, organización social, marcos legales adecuados y desarrollo de instituciones, como la Superintendencia del Agua, propuesta por el actual gobierno, en el contexto de la Política Nacional para los Recursos Hídricos 2015.










nueva página del texto (beta)
















