Servicios Personalizados
Revista
Articulo
Indicadores
-
Citado por SciELO -
Accesos
Links relacionados
-
Similares en
SciELO
Compartir
Tecnología y ciencias del agua
versión On-line ISSN 2007-2422
Tecnol. cienc. agua vol.6 no.1 Jiutepec ene./feb. 2015
Notas técnicas
Uso del agua en el norte de Sinaloa: ¿a cuál consumidor asignar el recurso?
Water Usage in Northern Sinaloa: Allocating the Resource to Consumers
Jesús Torres- Sombra
Universidad Autónoma de Sinaloa, México
José Alberto García-Salazar*
Colegio de Postgraduados, México
* Autor de correspondencia
Dirección institucional de los autores
Dr. Jesús Torres-Sombra
Universidad Autónoma de Sinaloa
Calle Universidad s/n, Ciudad Universitaria
82017 Mazatlán, Sinaloa, México
Teléfono: +52 (669) 9812 100, extensión 113
jesussombra@uas.edu.mx
Dr. José Alberto García-Salazar
Colegio de Postgraduados
Km 36.5 Carretera México-Texcoco
56230. Montecillo, Texcoco, Estado de México, México
Teléfono: +52 (595) 9520 200, extensión 1836
jsalazar@colpos.mx
Recibido: 19/04/13
Aceptado: 07/08/14
Resumen
El crecimiento de la población y de la actividad agrícola, pecuaria, industrial y comercial en el norte de Sinaloa ha generado un aumento en la demanda de agua. Para determinar la asignación de agua entre los consumidores se validó un modelo de equilibrio espacial e intertemporal para 2010, que considera funciones de demanda y una oferta fija. Los resultados indican que ante una situación de escasez, la demanda del agua debe disminuir en el sector con menor valor de uso, como la agricultura, y no sufrir cambios en sectores con alto valor, como el sector residencial. Una reducción de 10% en la disponibilidad del recurso captado en las presas bajaría el consumo en los Distritos de Riego 075 y 076 en 271 y 54 hm3, respectivamente, respecto a los valores observados en 2010, en tanto que en los sectores pecuario, residencial, industrial y comercial, el consumo no sufriría cambios significativos. Para disminuir el consumo de agua en los distritos se requiere un aumento en el precio de 82.7 y 70.0%, respectivamente.
Palabras clave: sectores agrícola, pecuario, residencial, comercial e industrial, precio del agua, modelo de equilibrio espacial e intertemporal.
Abstract
Population growth and an increase in agricultural, livestock, industrial and commercial activities in northern Sinaloa have increased the demand for water. To determine the allocation of water to consumers, a spatial and intertemporal equilibrium model was validated for 2010, which includes demand functions and fixed supply. The results indicate that when water is scarce demand should decrease in the sector with the lowest value-in-use, such as agriculture, and should not change in sectors with a high value, such as the residential sector. A 10% reduction in the availability of water stored in dams would decrease consumption in Irrigation Districts 075 and 076 by 271 and 54 hm3 with respect to values from 2010, respectively, while consumption would not change significantly for livestock, residential, industrial and commercial activities. To decrease water consumption in the districts, the price needs to increase 82.7 and 70.0%, respectively.
Keywords: Agriculture sector, livestock, residential, commercial and industrial, water price, spatial equilibrium and intertemporal model.
Introducción
La ampliación de la frontera agrícola, la introducción de cultivos con altos requerimientos de agua, el aumento de la ganadería, el crecimiento demográfico, comercial e industrial, y los efectos del cambio climático, han agudizado la competencia por el uso del agua captada en las presas del norte de Sinaloa, región integrada por los municipios de Ahome, El Fuerte y Choix.
El volumen medio anual de agua extraído de las presas de la cuenca del río Fuerte enviada a los módulos de riego de los Distritos de Riego 075 y 076 (DR076 y DR076) es insuficiente en 61 hm3 para cubrir la demanda (Conagua-DR075, 2011; Conagua-DR076, 2011).
La agricultura del estado es importante para el país, ya que anualmente proporciona ocho millones de toneladas de alimentos, y parte de esa producción proviene del norte del estado, que cuenta con 37.2% de la superficie total de riego. En 2010, el PIB primario de Sinaloa representó 6.6% del nacional (INEGI, 2011c). El mayor consumidor de agua en la región es el sector agrícola y su demanda proviene de la siembra de 233 y 80 mil ha ubicadas en los DR075 y DR076 de los Valles del El Fuerte y El Carrizo. Durante 1990-2010, la demanda de agua en este sector representó 98.4% del total. En el sector pecuario, la mayor demanda se presenta en la ganadería bovina y porcina. En el periodo 1990-2010, el inventario bovino osciló entre 195 y 200 mil cabezas, y en 2010, la población de ganado porcino fue de 204 mil cabezas (INEGI-BIE, 2011).
El consumo de agua por la población, el uso en la preparación de alimentos, aseo personal, limpieza de espacios, ropa y utensilios caracterizan la demanda en el sector residencial. En el periodo 1990-2010, la demanda en este sector se ubicó en 41 hm3 anuales, representando 1.2% del total (JAPAMA, 2010; JAPAF, 2010; JAPACH, 2010; Conagua, 2011; INEGI, 2011a; INEGI, 2011b). La demanda de agua por la industria está concentrada en Ahome, donde se localiza 98% de las 1 655 industrias de la región, que se caracterizan por un bajo consumo. En 1990-2010, la demanda de agua en la industria representó 0.029% del total (Canacintra, 2011; JAPAMA, 2010; JAPAF, 2010; JAPACH, 2010).
La demanda de agua del sector comercial proviene de labores de enfriamiento y limpieza en áreas de trabajo de 6 828 establecimientos. En el periodo 1990-2010, la demanda fue de 2.21 hm3, 0.107% del total (JAPAMA, 2010).
La demanda es abastecida con agua captada en las presas: 1) Josefa Ortiz de Domínguez-El Sabino, 2) Miguel Hidalgo y Costilla-El Mahone, y 3) Luis Donaldo Colosio-Huites. La competencia por agua origina la necesidad de buscar alternativas para hacer más eficiente su asignación. El crecimiento del PIB y de la población aumentará la demanda de agua entre consumidores, y una disminución en la oferta agudizará el conflicto. La situación anterior genera la siguiente interrogante: ¿cómo se debe distribuir el agua entre los consumidores? Desde el punto de vista económico, la distribución del recurso dependerá del valor de uso; en aquellos sectores con un mayor valor de uso, el consumo de agua no disminuirá tanto como en aquellos cuyo valor de uso es menor.
Dinar y Mody (2004), García, Guzmán y Fortis (2006), Guzmán et al. (2006), y García y Mora (2008) señalan que el precio puede ser una herramienta para alcanzar mayor eficiencia en el uso del agua. Existe evidencia de una relación negativa entre el precio y la cantidad demandada de agua; Arbués y Villanúa (2006), Guzmán et al. (2006) y Torres-Sombra (2012) estimaron elasticidades precio de la demanda de agua negativas en sectores consumidores de Zaragoza, España, la Comarca Lagunera y el norte de Sinaloa, México; por lo tanto, un menor consumo de agua se puede logar aumentando el precio.
El objetivo fue analizar la distribución del agua entre los consumidores ante condiciones de escasez y determinar el aumento en el precio que permita reducir el consumo del recurso. Ante contracciones en la oferta de agua, la demanda va a disminuir más en aquellos sectores con un menor valor de uso, como la agricultura, y menos en aquellos sectores con un mayor valor de uso, como el sector residencial.
Materiales y métodos
Se usó un modelo equilibrio espacial e intertemporal, que considera el consumo de agua en la agricultura (DR075 y DR076), ganadería, industria, comercio y sector residencial del norte de Sinaloa. Asumiendo t periodos de tiempo (t = 1, 2, 3,...T = 12); s presas (s = 1, 2.. .S = 3); m módulos de riego en el DR075 (m = 1, 2, 3,... M = 13); n módulos de riego en el DR076 (n = 1, 2, 3,. N = 9); g regiones pecuarias (g = 1, 2. G = 3); r regiones residenciales (r = 1, 2... R = 3); c regiones comerciales (c = 1, 2... C = 3), y f regiones industriales (f = 1... F = 2), el modelo es:

sujeto a:












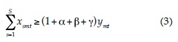
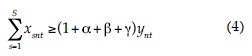
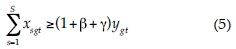
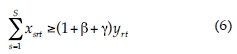
donde para el mes t, θmt, θnt, θgt, θrt, θct, θft, es la ordenada de la función de demanda de agua en m, n, g, r, c y f; ymt,ynt, ygt, yrt, yct, y yft, es la cantidad consumida de agua en m, n, g, r, c y f; ωmt, ωnt, ωgt, ωrt, ωct, y ωft es la pendiente de la función de demanda en m, n, g, r, c y f; pst es el precio de agua a la salida de s; xsmt, xsnt, xsgt, xsrt, xsct, y xsft es el volumen de agua enviado de s a m, n, g, r, c y f;psmt, psnt, psgt, psrt, psct, y psft es el costo de conducción desde s a los puntos de consumo m, n, g, r, c y f; Pst,t +1 es costo de almacenamiento en s de t a t + 1; xst,t + 1es el volumen almacenado de agua en s de t a t + 1; α es el índice de ineficiencia por uso en parcela; β es el índice por ineficiencia en la conducción; γ es el índice de ineficiencia por evaporación; VCH es el volumen requerido en conservación en presas para cubrir el consumo humano en dos años consecutivos; s = 1 = presa Josefa Ortiz de Domínguez; s = 2 = presa Miguel Hidalgo y Costilla; s = 3 = presa Luis Donaldo Colosio; r = 1 = Ahome; r = 2 = El Fuerte; r = 3 = Choix.
La función objetivo del modelo (ecuación (1)) maximiza el Valor Social Neto (VSN), que es igual al área bajo la curva de demanda menos los costos de agua a la salida de la presa, los costos de conducción y los costos de almacenamiento en presas. La función objetivo está sujeta a 12 restricciones. La restricción 2 indica cómo se distribuye el agua de cada presa a los consumidores. Las restricciones 3 a 8 indican cómo se abastece el consumo de agua en los seis sectores consumidoras. La restricción 9 indica que la cantidad de agua almacenada (en las tres presas) de t a t + 1 debe ser igual o mayor al volumen requerido en conservación en presas, para cubrir el consumo humano durante dos años consecutivos. Se considera este periodo en atención a la norma que rige a la Conagua, la cual sugiere la conservación en presas de un volumen de agua capaz de cubrir las necesidades de ingesta humana por 10 menos dos años consecutivos (Conagua-DR075, 2011; Conagua-DR076, 2011). Las restricciones 10 y 11 indican que no se puede enviar agua de las presas Josefa Ortiz y Miguel Hidalgo a los módulos de los DR075 y DR076.
La restricción 12 indica que no se puede enviar agua de la presa Josefa Ortiz de Domínguez al sector residencial de Choix. La restricción 13 indica las condiciones de no negatividad.
Basados en Francois y Reinert (1997), la calibración del modelo consistió en calcular parámetros, interceptos y pendientes de las funciones de demanda de agua, de tal forma que el modelo replique el valor observado en el año base de las variables cantidad demandada y precio del agua. Con base en Kawaguchi, Suzuki y Kaiser (1997), los interceptos y las pendientes de las funciones de demanda se obtuvieron en cada sector usando la cantidad consumida y precio del agua observados en 2010, así como las elasticidades precio de la demanda de agua estimadas por Torres-Sombra (2012) para el norte de Sinaloa. La validación del modelo se realizó calculando la diferencia en porcentaje entre los valores observados de la cantidad demandada y el precio del agua en 2010 (usados para calcular los interceptos y las pendientes de las funciones de demanda), con los valores de estas mismas variables estimados con el modelo base. Para analizar la distribución bajo escasez de agua se consideró una reducción de 10 y 20% en la oferta.
El consumo mensual de agua en cada módulo se obtuvo de los reportes de avance de programas de riego enviados a cada distrito. El precio de agua en cada módulo se obtuvo dividiendo los costos totales de operación del DR entre el volumen de agua entregado en el punto de control. La información sobre precio del agua, consumo mensual por módulo, volumen almacenado, costo de conservación, longitud de canales e índices de eficiencia se obtuvieron de Conagua-DR075 (2011) y Conagua-DR076 (2011).
Basados en Guzmán et al. (2006), el consumo de agua en el sector pecuario se obtuvo multiplicando el número de cabezas de ganado por el consumo per cápita medio anual. Como precio fue usado el valor medio de las cuotas aplicadas por las asociaciones ganaderas al transporte de agua a los abrevaderos durante la etapa de siembra. Los datos para calcular las funciones de demanda en los sectores residencial, comercial e industrial se obtuvieron de los reportes de operación y estados financieros de los organismos operadores (JAPAMA, 2010; JAPAF, 2010; JAPACH, 2010).
El consumo mensual en cada sector se obtuvo dividiendo el ingreso por concepto de venta mensual de agua entre la cuota oficial aprobada por el congreso de Sinaloa y publicada en el Diario Oficial del Estado (Gobierno del Estado de Sinaloa, 2011).
Los costos de distribución se calcularon con la diferencia entre precio que pagan los consumidores finales y los costos de extracción. Se consideró que dicha diferencia refleja todos los costos que involucran el abastecimiento. Para todos los sectores, los precios se diferencian espacialmente, siendo menores los más cercanos a la presa y mayores los de los puntos más alejados; la información provino de JAPAMA (2010), JAPAF (2010), JAPACH (2010), Conagua-DR075 (2011) y Conagua-DR076 (2011).
El costo mensual de almacenamiento se determinó dividiendo entre 12 el costo de conservación en el que incurren los DR075 y DR076.
Los datos se obtuvieron de los presupuestos anuales de los distritos de riego y de las tarifas anuales para el agua para riego en cada módulo.
La solución del modelo se obtuvo usando el procedimiento MINOS, escrito en lenguaje de programación GAMS (General Algebraic Modeling System).
Resultados y discusión
En el cuadro 1 se presentan los valores observados y estimados de la cantidad demandada y el precio del agua. Los valores estimados son muy cercanos a los observados, con una diferencia de -0.5% en el precio de agua en el DR075, lo cual indica una subestimación; en el resto, la diferencia es cero. La diferencia entre el consumo observado y estimado es mayor; el modelo subestima el consumo en el DR076 en -2.2%; en cambio, sobrestima esta variable en el resto de los sectores. En el sector agrícola (DR075), la diferencia es de +0.1%; en el sector pecuario de +2.1%; en el sector residencial de +6.9%; en la industria de +7.7%, y en el sector comercial de +0.8% (cuadro 1). Considerando que el modelo replica de manera satisfactoria el consumo y el precio del agua, éste fue usado para realizar escenarios.
Ante una disminución de 10% en la oferta, la demanda de agua bajaría en 324 hm3, y la mayor disminución se presentaría en los DR075 y DR076 en 10.5 y 8.7%, respectivamente. La contracción en el sector residencial sería de -0.2%, y en el resto de los sectores no habría cambios. Con una reducción de 20% en la disponibilidad, la demanda de agua se reduciría en 21.0 y 17.5% en los DR075 y DR076, respectivamente. Los resultados indican que el consumo de agua disminuye más en los sectores con el menor valor de uso como la agricultura, y menos en aquellos sectores con mayor valor de uso, como el sector residencial. La disminución es posible haciendo un uso más eficiente en el agua; por ejemplo, a través de un cambio tecnológico que disminuya la lámina de riego.
Con base en datos de Conagua-DR075 (2011) y Conagua-DR076 (2011), la mayor pérdida de agua ocurre en el sector agrícola, en el que se observa una ineficiencia en el uso medio anual de 30%, en un patrón de cultivos compuesto principalmente por maíz blanco, sorgo, frijol, trigo y tomate. Estos cultivos ocuparon 87% de la superficie total en 2010, con predominio del maíz blanco. Los esfuerzos para disminuir la ineficiencia se han centrado en inversión de tecnología para riego y políticas de siembra.
Para disminuir la demanda en el sector agrícola se requiere un aumento en el precio del agua de 82.7% en el DR075, y de 70.0% en el DR076. Dado que el volumen de agua extraída con destino a los sectores pecuario, residencial, industrial y comercial es casi constante, el efecto de la reducción en las extracciones sobre las tarifas es casi nulo. Una reducción de 20% en las extracciones de agua dirigidas al sector agrícola requeriría un aumento en el precio en 165.5 y 139.2 pesos por m3 en los DR075 y DR076 (cuadro 2).
El aumento del precio a 0.201 y 0.221 pesos por m3 de agua con destino a los DR075 y DR076 cubriría los costos de operación de los organismos que administran el recurso y tendría efecto sobre la eficiencia en su uso. Por el bajo nivel del precio del agua que existe actualmente, un aumento no tendría efecto significativo sobre el costo de producción de maíz. Una política de ahorro de agua necesita sistemas eficientes de conducción y medición de volúmenes consumidos en parcelas, algo que no existe. Es recomendable el aumento en el precio del agua para apoyar la inversión en tecnología, ya que el uso de ésta puede llevar a un ahorro del recurso entre 10 y 50% (He, Wallace, & Doukkali, 2005), aunque el aumento del precio como control de la demanda debe considerar incrementos que no afecten la rentabilidad de los cultivos.
Conclusiones
Una contracción en la demanda de agua en la región norte de Sinaloa requiere que la demanda disminuya en los sectores donde el valor de uso del recurso es menor, como en la agricultura. Una disminución en el consumo de agua podría lograrse bajando la demanda en el sector agrícola, por ser el sector que más consume y por ser sensible a cambios en el precio. Aumentos en el precio del agua podría ser un estímulo para que el productor realice un uso más eficiente del recurso; por lo tanto, se recomienda la eliminación de cualquier distorsión en las cuotas cobradas por el uso del agua. Un uso más eficiente del recurso permitiría ampliar la frontera agrícola, ya que la disminución en los requerimientos por unidad de superficie haría posible sembrar más hectáreas con la misma cantidad de agua.
Referencias
Arbués, F., & Villanía I. (December, 2006). Potential for Pricing Policies in Water Resource Management: Estimation of Urban Residential Water Demand in Zaragoza, Spain. Urban Studies, 43(1), 2421-2442. [ Links ]
Canacintra (2011). Número de industrias instaladas en el municipio de Ahome, Sinaloa. Los Mochis, México: Gerencia Regional de Canacintra. [ Links ]
Conagua (2011). Consumo anual de agua por sector y municipios de Sinaloa durante el periodo 1990-2010. Culiacán, México: Organismo de Cuenca Pacífico Norte. [ Links ]
Conagua-DR075 (2011). Estadísticas de riego y agrícolas. Los Mochis, México: Gerencias de Operación, Conservación y Estadística del Distrito de Riego 075, Cuencas Pacífico Norte. [ Links ]
Conagua-DR076 (2011). Estadísticas de riego y agrícolas. Villa Gustavo Ordaz, Sinaloa, Gerencia de Operación, Conservación y Estadística del Distrito de Riego 076, Cuencas Pacífico Norte. [ Links ]
Dinar, A., & Mody, J. (2004). Irrigation Water Management Policies: Allocation and Pricing Principles and Implementation Experience. Natural Resources Forum 28. Agadir, Marruecos: United Nations. [ Links ]
Francois, J. F., & Reinert, K. A. (1997). Applied Methods for Trade Policy Analysis (560 pp.). Cambridge: Cambridge University Press. [ Links ]
García, J. A., & Mora, J. S. (mayo-agosto, 2008). Tarifas y consumo de agua en el sector residencial de la Comarca Lagunera, México. Región y Sociedad, 20(42), 119-132. [ Links ]
García, J. A., Guzmán, E., & Fortis, M. (marzo-abril, 2006). Demanda y distribución del agua en la Comarca Lagunera, México. Agrociencia, 40(2), 269-276. [ Links ]
Gobierno del Estado de Sinaloa (varias fechas, 2011). Publicaciones de tarifas para consumo de agua por parte de las juntas de agua potable y alcantarillado municipales para el periodo 1990-2010. Diario Oficial del Estado de Sinaloa.
Guzmán, E., García, J. A., Mora, J. S. Fortis, M., Valdivia, R., & Portillo, M. (noviembre-diciembre, 2006). La demanda de agua en la Comarca Lagunera, México. Agrociencia, 40(2), 793-803. [ Links ]
He, L., Wallace, T., Doukkali, R., & Siam, G. (July, 2005). Strategic Policy Option to Improve Irrigation Water Allocation Efficiency: Analysis on Egypt and Morocco (pp. 24-27). American Agricultural Economics Association Annual Meeting, Providence, Rhode Island. [ Links ]
INEGI (2011a). Censo General de Población y Vivienda 2010 [en línea]. Aguascalientes, México. Citado el 4 febrero. Recuperado de http://www.inegi.org.mx/est/contenidos/Proyectos/ccpv. [ Links ]
INEGI (2011b). Conteo de Población y Vivienda 2005 [en línea]. Aguascalientes, México. Citado el 4 de febrero. Recuperado de http://www.inegi.org.mx/est/contenidos/Proyectos/ccpv. [ Links ]
INEGI (2011c). Valores del PIB nacional y entidad federativa [en línea]. Aguascalientes, México. Citado el 4 de febrero. Recuperado de http://www.inegi.org.mx/est/contenidos/Proyectos/ccpv. [ Links ]
INEGI-BIE (2011). Número de cabezas de ganado en el norte de Sinaloa, número de personas empleadas y económicamente activas, nivel de empleo en Sinaloa, producto interno bruto nacional y estatal en el periodo 1990-2010 [en línea]. Aguascalientes, México. Citado el 3 de febrero. Recuperado de http://dgcnesyp.inegi.org.mx/cgi-win/bdieintsi.exe/SER208477 [ Links ]
JAPACH (2010). Estados financieros y reportes de operación. Choix, México: Gerencia de Operación, Junta de Agua Potable y Alcantarillado de Choix. [ Links ]
JAPAF (2010). Estados financieros y reportes de operación. El Fuerte, México: Gerencia de Operación, Junta de Agua Potable y Alcantarillado de El Fuerte. [ Links ]
JAPAMA (2010). Estados financieros y reportes de operación. Los Mochis, México: Gerencia de Informática, Contabilidad y Operación, Junta de Agua Potable y Alcantarillado del Municipio de Ahome. [ Links ]
Kawaguchi, T., Suzuki, N., & Kaiser, H. M. (August, 1997). A Spatial Equilibrium Model for Imperfectly Competitive Milk Markets. American Journal of Agricultural Economics, 79(3), 851-859. [ Links ]
Torres-Sombra, J. (2012). Demanda y distribución de agua en el norte de Sinaloa (139 pp.). Tesis doctoral. Posgrado en Socioeconomía, Estadística e Informática-Economía. Montecillo, México: Colegio de Postgraduados. [ Links ]













