Servicios Personalizados
Revista
Articulo
Indicadores
-
Citado por SciELO -
Accesos
Links relacionados
-
Similares en
SciELO
Compartir
Tecnología y ciencias del agua
versión On-line ISSN 2007-2422
Tecnol. cienc. agua vol.5 no.3 Jiutepec may./jun. 2014
Artículos técnicos
Análisis de las inundaciones en la planicie tabasqueña en el periodo 1995-2010
Analysis of Floods in the Tabasco Plains from 1995-2010
Felipe I. Arreguín-Cortés*, Horacio Rubio-Gutiérrez
Comisión Nacional del Agua, México.
*Autor de correspondencia
Ramón Domínguez-Mora, Faustino de Luna-Cruz
Universidad Nacional Autónoma de México.
Dirección institucional de los autores
Dr. Felipe I. Arreguín-Cortés
Subdirector General Técnico
Comisión Nacional del Agua, México
Insurgentes Sur 2416, Colonia Copilco el Bajo,
Delegación Coyoacán
04340 México, D.F., México
Teléfono: +52 (55) 5174 4400
felipe.arreguin@conagua.gob.mx
M.I. Horacio Rubio-Gutiérrez
Gerencia de Aguas Superficiales e Ingeniería de Riegos
Comisión Nacional del Agua, México
Insurgentes Sur 2416, Colonia Copilco el Bajo,
Delegación Coyoacán
04340 México, D.F., México
Teléfono: +52 (55) 5174 4400, extensiones 1687 y 1688
horacio.rubio@conagua.gob.mx
Dr. Ramón Domínguez-Mora
Instituto de Ingeniería
Coordinación de Hidráulica
Universidad Nacional Autónoma de México
Circuito Escolar s/n, Ciudad Universitaria,
Delegación Coyoacán,
04510 México D.F., México
Teléfono: +52 (55) 5623 3675
rdm@pumas.iingen.unam.mx
rdominguezm@iingen.unam.mx
M.I. Faustino de Luna-Cruz
Instituto de Ingeniería
Universidad Nacional Autónoma de México
Ciudad Universitaria, Avenida Universidad 3000,
Delegación Coyoacán
04510 México D.F., México
Teléfono: +52 (55) 5623 3600
Fax: +52 (55) 5616 2164
fluc@pumas.iingen.unam.mx
Recibido: 17/02/12
Aceptado: 01/08/13
Resumen
Se analizan los factores que influyen en las inundaciones de la planicie tabasqueña, como la ausencia de ordenamiento territorial adecuado, la deforestación de la parte alta de las cuencas, un falso concepto de disminución del régimen hidrológico asociado con la construcción de las grandes presas en el río Grijalva y el cambio climático. Para el periodo 1995-2010 se hace una revisión de las precipitaciones, escurrimientos, manejo de las presas de la cuenca del río Grijalva e inundaciones; se presentan las acciones que se han tomado para reducir los riesgos de inundación a la población durante ese periodo, incluyendo el Programa Integral de Control de Inundaciones y el Programa Hídrico Integral de Tabasco, señalando la diferencia conceptual entre ellos. El objeto del presente artículo es describir la evolución de las aproximaciones de solución al problema de reducción de desastres por inundación en la planicie Tabasqueña, la gestión de embalses y una propuesta de gestión del territorio basado en la aplicación de un modelo numérico hidráulico bidimensional y un nomograma de resistencia al vuelco.
Palabras clave: Grijalva-Usumacinta, manejo de crecientes, inundaciones, acciones estructurales y no estructurales, mitigación del riesgo.
Abstract
The factors that influence floods in the plains of Tabasco are analyzed, including the lack of adequate land planning, deforestation of the upper basins, and a mistaken idea about decreases in the hydrological regime associated with the construction of large dams in the Grijalva River and climate change. A review of precipitation, runoff, management of dams in the Grijalva River basin and floods was conducted for the period 1995 - 2010. The actions taken to reduce flood risks for the population during that period are presented, including the Comprehensive Flood Control Program and the Tabasco Comprehensive Water Program. The conceptual differences between these are indicated. The objective of the present article is to describe the evolution of approaches to reduce flood disasters in the Tabasco plains, the management of reservoirs and a proposal for land management based on the application of a two-dimensional numerical hydraulic model and a nomogram for prevention of rollovers.
Keywords: Grijalva-Usumacinta, flood management, floods, structural and non-structural actions, risk mitigation.
Introducción
De manera histórica, la planicie tabasqueña ha padecido grandes inundaciones, en el cuadro 1 se presenta una relación de las más importantes. La población inicialmente ocupó las zonas altas menos susceptibles a inundarse, pero el crecimiento poblacional, la falta de ordenamiento territorial, la deforestación de la parte alta de las cuencas y un falso concepto de seguridad asociado con la construcción de las grandes presas en el río Grijalva, ha vuelto muy vulnerable a las poblaciones y zonas productivas de Tabasco.
La Comisión Económica para América Latina y el Caribe (CEPAL) y el Centro Nacional para la Prevención de Desastres (Cenapred) estiman las pérdidas asociadas con las inundaciones de los últimos cinco años en más de 57 000 millones de pesos (2007-2011) (CEPAL-CENAPRED-SEPLAN, 2012; las inversiones del Gobierno Federal han sido cuantiosas, la infraestructura construida ha aliviado el impacto de las inundaciones en la ciudad de Villahermosa; sin embargo, la falta de obras de control en los ríos La Sierra y Usumacinta, la particular morfología de la región, la invasión de los cauces (el vertedor de la presa Peñitas está diseñado para desalojar 18 700 metros cúbicos por segundo de agua y por el río pasan escasamente 1 100 m3/s sin causar daños), y la falta de políticas de ordenamiento territorial y reforestación, obligan a hacer planteamientos de fondo si se desea proteger a la población tabasqueña, pues además debe considerarse que el impacto del cambio climático sobre el territorio tabasqueño es ya manifiesto.
Marco físico
Fisiografía
La mayor parte del territorio de Tabasco se ubica dentro de la provincia fisiográfica "Llanura Costera del Golfo Sur" y una menor proporción en la denominada "Sierras de Chiapas y Guatemala" (INEGI, 1986). La llanura costera está conformada por el relleno de cuencas marinas y lacustres, con aportes de materiales terrestres, transportados por corrientes superficiales, que han dado lugar a la formación del complejo deltaico formado por los ríos Mezcalapa-Grijalva-Usumacinta, y a la planicie fluviodeltaica del río Tonalá (ver figura 1). El complejo deltaico está sujeto a subsidencia debido a la consolidación de grandes cantidades de sedimentos que se compactan y propician un hundimiento generalizado de esta porción de la llanura costera.
Morfología de ríos
En drenaje de la cuenca se orienta hacia el norte y en el piemonte los ríos se desvían hacia el este de manera natural. La morfología de los cauces es meándrica en la planicie, donde los ríos dejan la geoforma de montaña para adoptar redes de ríos y planicies de inundación (ver figura 2).
Siendo una planicie fluviodeltaica en construcción, la orientación y dirección de los ríos cambia cuando la capacidad de transporte de sedimentos es superada por el arrastre sedimentario de la cuenca alta; estos fenómenos de divagación o avulsión son conocidos como "rompidos" en la región.
Climatología
El clima en el estado es de tipo cálido, con influencia marítima; la temperatura media anual es de 22 °C. Las lluvias se presentan casi todo el año, con una temporada de secas de marzo a abril.
El régimen de precipitación de la cuenca está dominado por tres fuentes: las ondas y ciclones tropicales provenientes del mar Caribe y del océano Atlántico; la zona intertropical de convergencia, que sube de latitud en el verano, afectando la cuenca alta del Grijalva, y los frentes fríos que propician condiciones de precipitaciones importantes en los meses de septiembre a febrero, en el norte de la cuenca (ver figura 3).
Es importante señalar que el régimen de lluvia tropical decae de manera importante en la cuenca alta del río Grijalva, en las regiones de aportación de las presas Chicoasén y Angostura: que para el mes de septiembre, en la cuenca media, donde se ubican Malpaso y Peñitas, continúa un régimen intenso hasta los meses de octubre y noviembre.
Hidrología
El río Grijalva nace en Guatemala, en la sierra de Cuchumatanes; entra a México recorriendo la depresión central de Chiapas, donde sus aportaciones son reguladas a través de la presa Angostura; aguas abajo, el río bordea la ciudad de Tuxtla Gutiérrez, capital del estado de Chiapas, y después arriba a la presa Chicoasén, la de mayor capacidad de generación eléctrica del país. Posteriormente, el Grijalva recibe las aportaciones por margen izquierda del río La Venta y por la derecha de los ríos Chicoasén y Yamonho, donde se ubica la presa Malpaso; después confluyen varias corrientes, que dan origen al río Mezcalapa, como se llama localmente al río Grijalva, que se bifurca en los ríos Samaria por su margen izquierda, el cual desemboca al Golfo de México en la Barra de Chiltepec, y el río Carrizal por su margen derecha, que cruza la ciudad de Villahermosa, capital del estado de Tabasco, donde recibe las aportaciones de los ríos de la sierra, que nacen en los Altos de Chiapas. Es en esta confluencia donde vuelve a tomar el nombre de río Grijalva, y después de cruzar la ciudad de Villahermosa confluye con el río Usumacinta, para desembocar al Golfo de México. Es importante remarcar que la periodicidad con que los ríos desbordan en la planicie baja es casi anual.
El volumen medio anual que escurre hacia la desembocadura del río Grijalva es de alrededor de 36 500 millones de m3 anuales, si a este volumen se añade el del río Usumacinta, la cantidad de agua dulce que descarga al Golfo de México es de alrededor de 100 000 millones de metros cúbicos. Cabe mencionar que la infraestructura de control de avenidas que representan las presas del río Grijalva sólo pueden regular el 23% del escurrimiento medio anual de toda la cuenca.
Las crecientes en la región son de tipo estacional. De mayo a noviembre ocurren las provocadas por precipitación generada por sistemas tropicales; de julio a septiembre, las causadas por la zona intertropical de convergencia, y a partir de septiembre, el escurrimiento en la cuenca se origina por la incidencia de frentes fríos, que se extienden hasta la última semana de febrero. Los meses con mayor intensidad en precipitación y crecientes son los de septiembre y octubre, cuando estos tres sistemas se combinan.
Inundaciones históricas recientes
Con el fin de analizar las principales inundaciones ocurridas del año 1995 a 2010, se describe a continuación la precipitación acumulada en isoyetas, los limnigramas de las estaciones hidrométricas: El Muelle, Samaria, González y Boca del Cerro, y los funcionamientos de vasos de las presas Angostura, Chicoasén, Malpaso y Peñitas, para el periodo del primero de junio al 31 de octubre en cada caso.
Año 1995
Esta temporada de lluvias fue caracterizada por la incidencia de los ciclones Opal y Roxanne, con una precipitación promedio acumulada de 1 792 mm, en el periodo señalado anteriormente.
Durante dos periodos, el río Grijalva en la estación El Muelle (ver figura 2), para ubicar las estaciones hidrométricas, estuvo por arriba del NAMO: del 3 al 19 de septiembre y del 30 de dicho mes al 26 de octubre. El río Carrizal, en la estación González y el río Samaria, en la estación del mismo nombre, así como en el río Usumacinta en la estación Boca del Cerro, no sobrepasó su NAMO (ver figura 4).
Con relación al funcionamiento de las presas, puede notarse que los mayores ingresos se presentaron durante el mes de septiembre, con gastos máximos de 2 661, 1 083, y 2 493 m3/s, en las presas Angostura, Chicoasén y Malpaso, respectivamente; y que solamente la presa Angostura operó arriba del NAMO a partir del 17 de septiembre. En ningún caso fue necesario operar los vertedores; la extracción máxima por Peñitas fue de 1 350 m3/s (ver figura 5).
Año 1999
La precipitación media en la cuenca en el mismo periodo fue de 1 720 mm, con isoyetas concentradas en la cuenca propia de Peñitas del orden de 2 450 mm. El fenómeno se debió a la conjunción de las ondas tropicales 26 a la 30, la depresión tropical 11 y los frentes fríos 4 y 7, que provocaron tres crecientes en los ríos de la sierra, que no tienen control y se desbordaron en las inmediaciones de la ciudad de Villahermosa. Otro efecto relevante de este evento hidrológico es la ocurrencia de un cambio morfológico en la bifurcación del río Mezcalapa, en los ríos Samaria y Carrizal, enviando en este año, a diferencia de 1997, el 60% del caudal al río Carrizal, que atraviesa Villahermosa. Para restituir el porcentaje de repartición del caudal, se planteó la necesidad de construir una estructura de control en el sitio denominado Macayo.
Durante este evento en la ciudad de Villahermosa en la estación hidrométrica El Muelle, se superó el NAMO del río el 13 de septiembre y se sostuvo por arriba de esta marca hasta el 25 de noviembre; en las estaciones González, en el río Carrizal, y Samaria, en el río del mismo nombre, la superficie libre del agua estuvo por arriba de sus NAMOS del 6 al 31 de octubre. El río Usumacinta permaneció por arriba de este nivel del 14 de septiembre al 27 de octubre, y del 9 al 19 de noviembre (ver figura 6). La extensión de tiempo a la que el río Grijalva sostuvo niveles por arriba del NAMO, en comparación de la estación González en el río Carrizal, corrobora que esta inundación tuvo su mayor contribución por el sistema de los ríos de la sierra.
La presa Angostura mostró tendencias de almacenamiento ascendentes durante todo el periodo, el NAMO fue rebasado el 20 de septiembre, las aportaciones a la presa del 9 de septiembre al 24 de octubre se sostuvieron por encima de los 1 000 m3/s, con un máximo diario de 3 036 m3/s. Durante la regulación de las crecientes, Angostura registró el almacenamiento más alto, con 538.20 msnm el 25 de octubre de ese año.
El almacenamiento de la presa Malpaso durante el periodo de análisis se encontró por arriba de la curva guía del 23 al 29 de junio, del 2 al 30 de julio, del 12 de agosto al 7 de septiembre, y del 15 de septiembre al final del periodo; esta misma presa se mantuvo cerrada del 15 de septiembre al 2 de octubre. Después de la incidencia de las precipitaciones del frente frío número 4 y la depresión tropical 11, se reanudaron las extracciones a toda la capacidad de las turbinas. Al final del mes de octubre, con la imposibilidad de cerrar la presa Malpaso para aliviar el almacenamiento en Peñitas, se operó el vertedor con gastos de hasta 1 274 m3/s (ver figura 7).
Las inundaciones en Villahermosa motivaron la construcción de muros perimetrales en toda la ciudad y en las márgenes de los ríos urbanos en el año siguiente, así como la culminación del estudio de factibilidad técnica para la protección contra inundaciones de la cuenca baja del río Grijalva (Conagua, 2000), que más tarde evolucionaría en el Programa Integral de Control de Inundaciones (PICI). También esta inundación dio origen a la curva guía de almacenamiento que rige desde el año 2000 a la presa Angostura y a la integración del primer Comité Técnico de Operación de Obras Hidráulicas Regional (CTOOH-R) de México.
Año 2007
Este fue un año de un enfriamiento abrupto e intenso del océano Pacífico, lo cual ocasionó un evento de la fase fría de la Oscilación del Sur El Niño (ENSO, por sus siglas en inglés). La temporada de lluvias se adelantó con el impacto del ciclón tropical Bárbara en el alto Grijalva el 2 de junio; el régimen de precipitación prosiguió intenso hasta completar al mes de octubre una lámina acumulada en la cuenca de 1 423 mm, con núcleos concentrados en la cuenca propia de Peñitas del orden de 2 500 mm. Este evento fue producido por la incidencia de los frentes Fríos 4 y 7, reforzado cuatro días después por el ciclón tropical Noel, que provocó que en la cuenca de Peñitas casi se acumularan mil milímetros de lluvia en menos de 72 horas.
El río Grijalva, en la estación El Muelle, estuvo por arriba de su NAMO del 24 de octubre al 13 de noviembre; en la semana del 29 de octubre al 3 de noviembre, la corona del bordo fue superada por el agua. En los ríos Samaria y González se superaron los NAMOS del 29 de octubre al 3 de noviembre; el río Usumacinta, aunque sí registró creciente, no superó los límites de su NAMO (ver figura 8).
Los ingresos a las presas Angostura y Malpaso durante agosto y septiembre promediaron gastos alrededor de 680 y 540 m3/s, respectivamente. Fue hasta el mes de octubre que el régimen se incrementó considerablemente hasta valores promedio de 840 y 1 122 m3/s, con máximos diarios de 2 932 y 3 652 m3/s.
Al inicio de septiembre, el almacenamiento de Angostura se ubicaba en la cota 526.54 msnm, 0.54 m arriba de la curva índice, en contraste con Malpaso, que conservaba un almacenamiento a la cota de 167.33 msnm, 3.17 metros por debajo de la curva índice. Las aportaciones a los vasos de Angostura se clasificaron como un mes medio con 2 178.63 Hm3 y Malpaso como un mes seco alto con 581.99 Hm3.
Para el primero de octubre, Angostura estaba en el nivel de 529.33 msnm, 0.67 metros por debajo del almacenamiento dictado como seguro, conforme a la curva índice, y Malpaso se encontraba en la elevación de 172.4 msnm, 3.78 metros por debajo de la curva índice.
Para el momento del manejo de las crecientes ocasionadas por los frentes fríos 2 y 4, así como el reforzamiento de este último por la masa de aire polar y su interacción con el ciclón tropical Noel, el espacio creado en las presas fue suficiente para que Malpaso cerrara su extracción el día 23 de octubre y Angostura el 29 del mismo mes, condición que se prolongó hasta el 18 de diciembre, con lo cual la contribución del alto Grijalva en las inundaciones en Tabasco fue nula.
La creciente que se produjo en el vaso de Peñitas, aun teniendo la presa Malpaso cerrada, obligó a incrementar, el 29 de ese mes, la extracción de 550 m3/s, a un máximo de 2 000 m3/s durante los siguientes días (Senado de la República, Comisión de Asuntos Hidráulicos, 2008), hasta que el 4 de noviembre ocurrió un deslizamiento de tierra que obstruyó el vaso de la presa Peñitas (ver figura 9). Los niveles de los ríos por arriba de sus NAMOS, en la estación El Muelle, fueron superiores a los de la estación González, debido a que los ríos de la sierra no cuentan con alguna infraestructura de control aguas arriba de esta estación.
Dos tercios de la ciudad de Villahermosa estuvieron inundados durante casi 40 días y, junto con el fenómeno del deslizamiento citado anteriormente, constituye uno de los desastres provocado por fenómenos naturales de mayor magnitud en la historia de México. En abril de 2008 se replanteó el esquema de manejo de inundaciones del PICI, para lo que sería el futuro Programa Hídrico Integral de Tabasco (PHIT).
Año 2008
La mayor precipitación se concentró en la cuenca tributaria del río Usumacinta. La cuenca del Grijalva registró una precipitación acumulada de 1 510 mm, esto significó un volumen superior al del año anterior. El nivel en la estación El Muelle superó el NAMO del 23 de septiembre al 29 de octubre; los bordos construidos en el año 2000 no alcanzaron su NAME, aunque se previó la colocación de costalera para esa temporada de lluvias. Los ríos Samaria y Carrizal no superaron sus NAMOS, y el río Usumacinta tuvo niveles por arriba del NAMO del 21 de septiembre al 4 de noviembre, lo que ocasionó importantes inundaciones en la planicie de inundación del río Usumacinta (ver figura 10). No se repitió un desastre como el del 2007 debido a la adecuada operación de las presas y a la construcción de las primeras escotaduras concebidas en el PHIT.
Al inicio de la temporada de lluvias, el gasto de ingreso promedio diario en Angostura en el mes de junio fue de 513 m3/s, con un máximo de 1 168 m3/s el 28 de junio. Para el periodo julio-septiembre, el promedio diario llegó a 918 m3/s y el máximo a 2 212 m3/s el 27 de septiembre. En cuanto a octubre, se tuvo un promedio diario de 905 m3/s y un máximo de 1 675 m3/s el día 4.
En Malpaso, durante junio se tuvo un gasto promedio diario de 934 m3/s, con máximo de 2 633 m3/s el día 1°. En el lapso julio-septiembre, el gasto promedio fue de 963 m3/s, con un máximo de 2 251 m3/s el 24 de septiembre. Para el mes de octubre, el gasto promedio fue de 990 m3/s, alcanzándose un máximo de 1 657 m3/s el día 15.
Por lo que respecta a extracciones por turbinado, en Angostura, en el lapso junio-octubre, se tuvo un promedio de 508 m3/s y solamente los primeros días de junio se generó a plena carga; en Chicoasén, el promedio turbinado en el periodo junio-octubre fue de 652 m3/s y máximo de 1 093 m3/s, con pocos días por arriba de los 1 000 m3/s; en Malpaso, el promedio fue de 849 m3/s, con extracción a plena carga durante las tres primeras semanas de agosto; en Peñitas, prácticamente en todo el periodo se generaron gastos superiores a los 1 000 m3/s. En ninguna presa durante todo el periodo de junio a octubre fue necesario realizar extracciones por vertedor.
En materia de manejo de presas, las condiciones hidráulicas impuestas por el canal en Juan de Grijalva obligaron a un gasto de extracción para el manejo de crecientes en el vaso de la presa Peñitas del orden de 800 m3/s, con lo cual, a partir del NAMINO de la presa, se pueden manejar hasta 600 mm en 24 horas, sin que implique el incremento inmediato de la extracción en Peñitas (ver figura 11).
Año 2010
Esta es una temporada de lluvia muy semejante a la de 1999, dominada por la presencia de la zona intertropical de convergencia en la cuenca alta del Grijalva durante más de 40 días, acompañada de los ciclones tropicales Karl y Mathew, con una precipitación acumulada en el periodo de análisis de 1 572 mm, mayor a las temporadas de lluvias de los años 2007 y 2008.
Al iniciar la temporada de lluvias, el gasto de ingreso promedio diario en la presa Angostura en junio fue de 390 m3/s, con máximo de 743 m3/s el día 27. Para el periodo julio-septiembre, el promedio diario llegó a 1 500 m3/s y el máximo a 3 461 m3/s el 27 de septiembre. En cuanto a octubre, se tuvo un promedio diario de 609 m3/s y un máximo de 1 855 m3/s el día 1°. En la presa Malpaso, en junio se tuvo un gasto promedio diario de 584 m3/s, con máximo de 2 201 m3/s el día 28. En el lapso julio-septiembre, el gasto promedio fue de 1 644 m3/s, el máximo fue de 6 284 m3/s el 28 de septiembre. Para el mes de octubre, el gasto promedio fue de 1 603 m3/s, alcanzándose un máximo de 2 747 m3/s el día 3.
Por lo que respecta a extracciones por turbinas, en Angostura, en el periodo de junio a octubre, se tuvo un promedio de 475 m3/s, y del 4 al 27 de septiembre se extrajeron por turbinas valores iguales o mayores a 900 m3/s; en Chicoasén, el promedio turbinado en el lapso junio-octubre fue de 810 m3/s y máximo de 1 418 m3/s, en varios días; en Malpaso, el promedio fue de 945 m3/s, con extracción a plena carga durante septiembre y octubre; en Peñitas, el promedio fue de 643 m3/s, con valores superiores a los 1 000 m3/s, en julio, agosto y primeros días de septiembre.
Por lo que se refiere a extracciones por vertedor, éstas ocurrieron en las cuatro presas como a continuación se indica: en Angostura, del 10 de septiembre al 14 de octubre, el promedio fue de 716 m3/s, con máxima de 897 m3/s el 3 de octubre; en Chicoasén, el promedio fue de 818 m3/s del 16 de septiembre al 14 de octubre y máximo de 1 710 m3/s el 28 de septiembre; en Malpaso se alcanzó un promedio de 961 m3/s, en el lapso septiembre-octubre, con máxima de 1 496 m3/s el 3 de octubre; en Peñitas se hicieron extracciones por vertedor del 1° de septiembre al 31 de octubre, siendo el promedio de 913 m3/s y el máximo valor de 2 450 m3/s el 5 de octubre.
Las grandes presas fueron presionadas con ingresos importantes desde el mes de julio y con oportunidad se determinó que se tendría que incrementar la extracción en la presa Peñitas para equilibrar el llenado del sistema sin perder el espacio dispuesto para manejo de crecientes. El 25 de agosto, la presa Angostura empezó a almacenar agua por arriba del NAMO; el 9 de septiembre, por primera vez en la historia de la presa, se operaron los vertedores. Malpaso operó en función de las extracciones de Peñitas que aliviaba el sistema Grijalva, que a su vez dependía de la velocidad de colocación de costales en los tramos urbanos de los ríos Carrizal y Grijalva, además se construyó un espigón en la bifurcación para derivar un gasto mayor hacia el Samaria. En el mes de septiembre, con la mitad de la capacidad de regulación de crecientes de Angostura ocupada se tomó la decisión de sacar de operación las turbinas de la presa Peñitas, para ganar volumen de regulación de crecientes; ya se había manejado la creciente provocada por los ciclones Karl y Mathew, y se estaba formando Richard en el Caribe. Las extracciones en Peñitas para este año fueron de 2 450 m3/s del 14 al 19 de octubre. A partir de ahí, por la aparición de un bloqueo por una alta presión que impidió que la humedad del Caribe ingresara al país, se inició el decremento de la extracción de la presa Peñitas (ver figura 12).
Durante esa temporada se construyeron otras cuatro escotaduras. El río Grijalva, en la estación El Muelle, tuvo niveles por arriba del NAMO desde el 5 de agosto hasta el 20 de octubre; los ríos Carrizal y Samaria estuvieron por arriba de la misma marca del 26 de agosto al 31 de octubre, y el río Usumacinta desde el 20 de julio y hasta el 11 de octubre estuvo oscilando alrededor del NAMO (ver figura 13).
Este periodo extendido de manejo de crecientes implicó que el CTOOH sesionara 15 veces y el CTOOHR Frontera Sur 37 veces. Evaluando continuamente la evolución del fenómeno hidrológico en toda la cuenca, al final de la temporada Villahermosa no se había inundado, por una coordinación entre el manejo de las cuencas aguas arriba, la ejecución de las obras emergentes en la cuenca baja y las acciones de protección civil.
El manejo de la creciente de la temporada 2010 implicó revisar y actualizar todos los protocolos de manejo de presas y ríos.
Cambio climático
En el contexto del análisis de las inundaciones en Tabasco, el cambio climático tendrá dos impactos importantes: el ascenso del nivel del mar y la variación del régimen de lluvias. De acuerdo con el IPCC, en un escenario para el año 2050, el ascenso del nivel medio del mar puede ser de hasta 1.5 metros, lo que provocaría una intrusión de una masa de agua hacia el continente de al menos 40 km, lo cual pondría condiciones de frontera a la nueva descarga de la cuenca lo suficientemente cerca de Villahermosa y la desembocadura de canal Samaria Oxciacaque (ver figura 14), con el consecuente incremento de tirantes y restricciones a la descarga de los ríos.
El otro efecto relevante es una oscilación más amplia en la magnitud de la precipitación acumulada anual respecto a los años secos y húmedos. Tal como se puede apreciar en la figura 15, estos efectos, según los escenarios modelados por el IPCC, no serán evidentes sino hasta después del año 2030 (IMTA, 2007). Si, por ejemplo, acontece el escenario A1B, el régimen de precipitación decrecerá y los eventos húmedos se harán más intensos y espaciados en el tiempo, lo cual implicará actualizar las políticas de operación de las presas de la cuenca, así como el incremento de las inundaciones.
Cronología moderna de un proceso de mitigación
En el cuadro 2 se enumeran las principales acciones emprendidas en la cuenca del río Grijalva, en el contexto de los grandes eventos hidrológicos, el desarrollo de la infraestructura y el manejo de las crecientes (Rubio y Triana, 2006).
Proyecto Integral Contra Inundaciones (PICI)
El PICI era un arreglo de obras en tres sistemas, mostrados en la figura 16. El Mezcalapa-Samaria permite la conducción hasta el mar de los escurrimientos excedentes provenientes de la cuenca alta del río Grijalva, por medio del cauce de alivio Samaria-Golfo y otras obras auxiliares de derivación.
El sistema de los ríos de la sierra conduce los excedentes de dichos cauces a la región lagunar de la cuenca baja de los ríos Grijalva y Usumacinta. Es importante resaltar la planeación de las estructuras de control de los ríos Pichucalco y La Sierra, que derivan todos los escurrimientos hacia la laguna de los Zapotes; en este mismo sentido, las lagunas Parrilla y Zapotes son segmentadas en un área importante, por el trazo de los bordos de protección que empotran en ambas estructuras de control.
Finalmente, el sistema El Carrizal-Medellín conduce los escurrimientos controlados del río Carrizal y de los ríos de la sierra hacia el mar, por medio de la rehabilitación del cauce del río Medellín y del dren Victoria, así como con la terminación de este último hasta el río Carrizal, a la altura de Villahermosa.
El PICI contemplaba la construcción de 27 obras y 184 kilómetros de bordos longitudinales. La obra más importante de este proyecto integral era la estructura de control sobre el río Carrizal, ya que su operación garantizaría la flexibilidad e independencia del manejo de crecientes de los sistemas Mezcalapa-Samaria del sistema de ríos de la sierra.
Comité Técnico de Operación de Obras Hidráulicas (CTOOH)
La operación de los sistemas hidráulicos, cada vez más complejos, requiere de la participación de la autoridad del agua, de las instituciones que operan o se ven beneficiadas o afectadas por las obras hidráulicas, y por los mejores especialistas en el tema. Desde 1983, la Secretaría de Agricultura y Recursos Hidráulicos hacía reuniones periódicas con la Comisión Federal de Electricidad (CFE) para acordar la operación de las presas de generación hidroeléctrica. Dada la relevancia que adquirió el manejo de la infraestructura hidráulica, en agosto de 1991 se crea formalmente el comité de Operación de Presas dentro de la Comisión Nacional del Agua (Conagua). Es a partir de diciembre de 1994 cuando dicho comité se transforma en el Comité Técnico de Operación de Obras Hidráulicas (CTOOH), que se conserva a la fecha, y que está integrado por la Comisión Nacional del Agua; la Comisión Federal de Electricidad; la Secretaría de Agricultura, Ganadería y Pesca; la Universidad Nacional Autónoma de México; el Instituto Mexicano de Tecnología del Agua, y el Centro Nacional de Prevención de Desastres. Cuando el asunto en análisis así lo requiere, se invita a las instituciones interesadas en el tema.
Con más de mil sesiones de análisis, el CTOOH sesiona 50 veces al año, de manera ordinaria todos los martes y de forma extraordinaria cuando es necesario; es durante esas sesiones cuando se analizan las condiciones y previsiones meteorológicas e hidrológicas de las cuencas con los principales sistemas de presas del país; en función de su estado y pronóstico se discute y consensa la mejor política de operación a seguir y aplicar por parte de los organismos de cuenca.
Algunas cuencas y sistemas de presas del país, por su complejidad de manejo y por los requerimientos de corto plazo para normar su operación, han requerido la creación de Comités Técnicos de Operación de Obras Hidráulicas Regionales, como el que opera en Frontera Sur (CTOOHR-FS), creado en agosto del año 2002, que entre otros asuntos atiende la operación del sistema de presas del río Grijalva, o el CTOOHR del noroeste del país, encargado de regular la operación del sistema de presas de las cuencas Yaqui y Mayo, que opera desde el año 2005.
Manejo de presas
La adecuada operación del sistema de presas del río Grijalva (ver figura 17) es la base para la seguridad de la planicie tabasqueña. Dicha operación ha variado con el tiempo y se ha plasmado en las curvas guía o índice. La curva de la presa Malpaso, Chiapas, se aprobó conjuntamente entre la CFE y la entonces Secretaría de Agricultura y Recursos Hidráulicos, en el año 1980 (ver figura 18), antes de la construcción de la presa Peñitas, con la finalidad de que con periodos de retorno de cien años se descargaran 3 000 m3/s, que era la capacidad de los cauces en aquel entonces. La curva índice de la presa Angostura (ver figura 19) se acordó en el año 2000 entre la CFE y la Conagua, al establecer que para un periodo de retorno de cien años no se utilizara el vertedor, sólo generación a plena carga de 900 m3/s.
A principios de 2011, considerando los cambios en la planicie de Tabasco y la modificación del régimen de lluvia, y en consecuencia de las crecientes de los últimos diez años, se revaluaron las curvas índice de Angostura y Malpaso, mediante programación dinámica estocástica, para optimizar las políticas de operación.
Cuando la programación dinámica se aplica en sistemas de embalses, las variables de estado son los niveles de almacenamiento; las etapas; el intervalo de tiempo (meses, quincenas, semanas). Las variables de decisión son las salidas del embalse. La variable aleatoria generalmente es el volumen de ingreso, dicha variable puede representarse como una función de distribución de probabilidad, lo que permite dar paso a la programación dinámica estocástica.
La ecuación de continuidad gobierna el funcionamiento de una presa, aplicada a un intervalo de tiempo (etapa), se expresa como (Domínguez, 2000):

donde:
Sj = almacenamiento al final de la etapa, en L3.
Si = almacenamiento al inicio de la etapa, en L3.
VIj = volumen de ingreso durante la etapa, en L3.
VSj = volumen extraído durante la etapa, en L3.
La programación dinámica estocástica toma en cuenta el carácter aleatorio de los volúmenes de ingreso al embalse VI , éste se representa con una función de distribución de probabilidades que depende principalmente de la época del año a la que pertenece el intervalo de tiempo, es decir, es la variable no controlable del sistema, y VSj es la variable que se puede controlar en el sistema. Si define la condición inicial y determina el estado del sistema.
Los almacenamientos Sj y las extracciones VSj del sistema se sujetan a las restricciones siguientes:

El embalse tiene un volumen útil que se divide en NS intervalos de magnitud ΔV, como se observa en la figura 20, de tal forma que si se usa el mismo intervalo para discretizar todas las variables, la ecuación de continuidad (1) toma la forma:

sujeta a:

donde:
i = 1, 2, 3..., NS → volumen almacenado (por unidad ΔV) al inicio de la etapa.
j = 1, 2, 3..., NS → volumen almacenado (por unidad ΔV) al final de la etapa.
x = 1, 2, 3..., NX → volumen de ingreso (por unidad ΔV) durante la etapa.
k = 1, 2, 3..., NK → volumen de extracción (por unidad ΔV) durante la etapa.

Al considerar las variables de forma discreta, el beneficio que corresponde a una etapa n cualquiera depende del volumen extraído k y de los almacenamientos i y j al inicio y final de la etapa; es decir, los beneficios en la etapa se pueden expresar como bkn (i, j).
Al tratarse de una presa hidroeléctrica, un objetivo es la generación de energía; por lo tanto, cada vez que se tenga derrame o déficit, se aplican castigos, los cuales dependerán de los daños que se ocasionen al derramar aguas abajo o de no satisfacer las demandas. La función objetivo queda de la forma siguiente:

donde:
bkn (i, j) = beneficio que se obtiene por generación de energía eléctrica.
Cderr (derrame) = producto del derrame por su respectivo coeficiente de penalización.
Cdéf (déficit) = producto del déficit por su respectivo coeficiente de penalización.
Para el caso particular de las dos grandes presas de la cuenca del río Grijalva, la función objetivo a optimizar (8) se expresa de la siguiente manera:

donde:
FO: función objetivo.
E: energía.
C1 y C2: coeficientes de penalización por derrame.
C3 y C4: coeficientes de penalización por volumen inferior al NAMINO.
C5 y C6: coeficientes de penalización por volumen superior al indicado por la curva índice.
DERRAng: volúmenes derramados en Angostura.
DERRMalp: volúmenes derramados en Malpaso.
DEFAng: volumen de déficit en Angostura.
DEFMalp: volumen de déficit en Malpaso.
GAng: generación anual en Angostura.
GMalp: generación anual en Malpaso.
La optimización a largo plazo se realiza usando una ecuación recursiva para integrar los beneficios a lo largo del tiempo.
El resultado del análisis es el abatimiento del almacenamiento global en 600 Hm3 para el inicio de los meses de junio y septiembre (ver figuras 18 y 19).
Un modelo para ordenar un territorio expuesto a inundaciones
Como se señaló anteriormente, uno de los factores que más inciden en las inundaciones es el desorden territorial. A continuación se presenta un modelo que permite determinar las zonas con mayor riesgo por este fenómeno; poder identificar el territorio y su peligro asociado con las inundaciones permite tener certeza de cuáles son los usos del suelo que implican pérdidas no asumibles de vidas humanas y sus bienes.
El modelo se basa en la capacidad de arrastre sobre estructuras, vehículos y personas que tiene el agua debido a la cantidad de movimiento generada por su tirante y velocidad. Una forma simplificada del mismo puede observarse en la figura 21.

En el eje de las abscisas se encuentran los tirantes que pueden desarrollarse en un cauce o terreno, y en las ordenadas las velocidades; las áreas son la combinación de tirante y velocidad que pueden ocasionar que un ser humano de peso promedio pierda el equilibrio, que un vehículo sea inestable o estén en riesgo las estructuras.
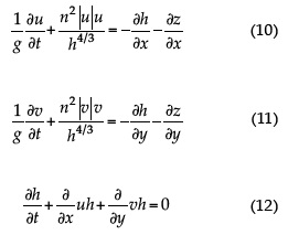
El modelo de peligro de inundación se aplica a un plano de severidad, resolviendo las ecuaciones de cantidad de movimiento (ecuaciones (10) y (11)), y continuidad, (12), para flujo bidimensional (Fuentes y Franco, 1997):

donde:
, pendiente de "fricción" en las direcciones x y y adimensional.
g = aceleración de la gravedad, en m/s2.
u, v = componentes de la velocidad en las direcciones x y y adimensional.
h = nivel de la superficie libre del agua con respecto al nivel del terreno, en m.
n = factor de rugosidad según la fórmula de Manning, en s/m1/3.
x, y, z = direcciones del sistemas de ejes cartesiano derecho.
t = tiempo, en s.
La solución de las ecuaciones de cantidad de movimiento y continuidad del flujo bidimensional para el Bajo Grijalva se presentan en las figuras 22 y 23, y el modelo de peligro de inundación en la figura 24; en esta última se muestra de manera explícita dónde no es recomendable la construcción de infraestructura: sitios dentro del polígono rojo; dónde no pueden circular vehículos: polígonos anaranjado y amarillo y, finalmente, dónde no es recomendable que las personas transiten: polígonos verdes.

Para la toma de decisiones es necesario tomar en cuenta la profundidad hidráulica y la magnitud de los vectores resultantes de los módulos de velocidad del modelo bidimensional, ya que aunque en la zona de estudio el problema principal se debe a profundidades, en algunas áreas donde se comunican las lagunas, el tránsito para personas no es recomendable, en vista de las velocidades que se desarrollan.
Estos escenarios de riesgo a inundaciones tienen una alta probabilidad de ocurrir en determinados meses y años, cuando las condiciones climatológicas son capaces de producir las crecientes. Resulta impráctico prescindir del uso de los terrenos durante todo el tiempo, para tal efecto habrá que transformar las variables del riesgo de inundación a riesgos asumibles a través de herramientas financieras como las primas de seguro por inundación que permitan el uso y desarrollo de los terrenos, teniendo una forma de reponer los bienes expuestos a través de un seguro.
Así se obtiene un plano de severidad o peligro de inundación, con la ventaja de que en el espacio se puede conocer qué sitios son susceptibles de desarrollo de estructuras y cuáles no son recomendables para aceptar tráfico de vehículos o de personas, pues pueden ser arrastrados por la corriente. Esta metodología también tiene otra ventaja, pues con ella se puede determinar cómo se redistribuye el peligro de inundación con el desarrollo de infraestructura, como se muestra en las figuras 25 y 26. Se nota entonces que para planicies de inundación, la política de elevar bordos y construir perímetros de protección a las poblaciones en zonas inundables ocasiona que las áreas de peligro de inundación se extiendan y se profundicen, además de tener otro efecto en el tiempo de drenado, haciendo que los sistemas hidrológicos tarden más en desalojar volúmenes iguales de escurrimiento, y expongan a periodos mayores a crecientes que pudieran sumarse a las de eventos anteriores que aún se encuentran drenando.


Conclusiones
La planicie tabasqueña históricamente ha padecido grandes inundaciones. Si a ello se agrega la falta de ordenamiento territorial, la deforestación de la parte alta de las cuencas y un falso concepto de seguridad asociado con la construcción de las grandes presas en el río Grijalva, se puede entender la gran vulnerabilidad de las poblaciones ubicadas en ella.
El cambio climático tendrá dos impactos importantes: el ascenso del nivel del mar y la variación del régimen de lluvias. En uno de los escenarios planteados para el año 2050, el ascenso del nivel medio del mar puede ser de hasta 1.5 metros, lo que provocaría una intrusión de una masa de agua hacia el continente de al menos 40 km, lo cual pondría condiciones de frontera a la nueva descarga de la cuenca lo suficientemente cerca de Villahermosa y la desembocadura del canal Samaria Oxciacaque.
El Programa Hídrico Integral de Tabasco busca recuperar en el corto plazo los niveles normales de los ríos después de una creciente, a fin de que el sistema de ríos, zonas de regulación y bordos tengan capacidad de recibir nuevas crecientes en condiciones iguales o aproximadas a la primera que incidió en la cuenca del Grijalva.
Pero sin duda la adecuada operación del sistema de presas del río Grijalva es la base para la seguridad de la planicie tabasqueña. Dicha operación ha variado con el tiempo y se ha plasmado en las curvas guía desde 1980.
El modelo presentado para analizar las zonas de riesgo a inundaciones puede ser una herramienta para apoyar el ordenamiento territorial en una planicie de inundación, en términos de cuáles usos del suelo no son compatibles con el efecto combinado del tirante y la velocidad que puede producir una creciente en dicho territorio.
Referencias
CEPAL-CENAPRED-SEPLAN. Impacto socioeconómico de las inundaciones registradas en el estado de Tabasco de septiembre a noviembre de 2011. México, DF: Comisión Económica para América Latina y el Caribe-Centro Nacional de Prevención de Desastres-Secretaría de Planeación y Desarrollo Social del Estado de Tabasco, 2012, pp. 132 y 138. [ Links ]
CONAGUA. Se confirma efectividad de las obras de protección del PHIT, construidas por la Conagua en Tabasco [en línea]. México, DF: Comisión Nacional del Agua octubre, 2011. Disponible en World Wide Web: http://www.conagua.gob.mx/CONAGUA07/Comunicados/Comunicado%20de%20Prensa%20358-11%20(Tabasco).pdf. [ Links ]
CONAGUA. Estudio de Factibilidad del Proyecto Integral contra Inundaciones en Tabasco. México, DF; Comisión Nacional del Agua, 2000. [ Links ]
FUENTES, O. y FRANCO, L. Modelo matemático de áreas de inundación [en línea]. CENAPRED. Cuadernos de investigación. Núm. 41, México, D.F., mayo, 1997, pp. 3-6. Disponible en Word Wide Web: http://www.cenapred.gob.mx/es/Publicaciones/archivos/3112011modelomat.pdf. [ Links ]
ORTIZ-PÉREZ, M.S., SIEBE, C. y CRAM, S. Diferenciación Geográfica de Tabasco. Capítulo 14 305-322. En Bueno, J., Álvarez, E. y Santiago, S. (editores). Biodiversidad del Estado de Tabasco. México, D.F.: Instituto de Biología, Universidad Nacional Autónoma de México, Comisión Nacional para el Conocimiento y Uso de la Biodiversidad, 2005, 386 pp. [ Links ]
RIVERA-TREJO, F. Inundaciones en Tabasco. Asociación Nacional de Protección Civil, AC. Foro: Los Retos de la Protección Civil [en línea]. Querétaro, marzo, 2011, pp. 9. Disponible en World Wide Web: http//www.anpcmexico.org/documents/eventos/fotolosretosdelaproteccioncivilqueretaromarzo2011/inundacionestabascofabinriveratrejopdf. [ Links ]
RUBIO, H. y TRIANA, C. Gestión integrada de crecientes, estudio del caso Grijalva. [en línea] Associated Programme on Flood Management, septiembre de 2006, p. 8. Disponible en World Wide Web: http//www.apfm.info/publications/casestudies/cs_mexico_full.pdf. [ Links ]
IMTA. Sistema para la Exhibición de Datos del Ensamble Ponderado de Escenarios de Cambio Climático para México (SEDEPECC) [en línea]. Consultada en junio de 2007. Disponible en World Wide Web: http//galileo.imta.mx/aplisedepecc.php?entrar=1. [ Links ]
SENADO DE LA REPÚBLICA, COMISIÓN DE ASUNTOS HIDRÁULICOS. Informe de las inundaciones del 2007 en el estado de Tabasco Diagnóstico preliminar. México, DF: Senado de la República, Comisión de Asuntos Hidráulicos, marzo, 2008, pp. 23. Disponible en World Wide Web: http://www.imta.gob.mx/gaceta/anteriores/g12-04-2008/informe-tabasco.pdf. [ Links ]













