Servicios Personalizados
Revista
Articulo
Indicadores
-
Citado por SciELO -
Accesos
Links relacionados
-
Similares en
SciELO
Compartir
Tecnología y ciencias del agua
versión On-line ISSN 2007-2422
Tecnol. cienc. agua vol.4 no.2 Jiutepec abr./jun. 2013
Artículos técnicos
Caracterización de las sequías hidrológicas del río Salado, Oaxaca, México
Characterization of hydrological droughts for the Salado River, Oaxaca, Mexico
Gabriela Álvarez-Olguín*, Corina Cisneros-Cisneros, Eusebio César Pedro-Santos
Universidad Tecnológica de la Mixteca, Oaxaca, México.
*Autor de correspondencia.
Dirección institucional de los autores:
M.I. Gabriela Álvarez Olguín.
Profesor-investigador
Instituto de Hidrología
Universidad Tecnológica de la Mixteca
69000 Huajuapan de León, Oaxaca, México
Teléfono: +52 (953) 5320 399, extensión 550
galvarez@mixteco.utm.mx.
M.C. Corina Cisneros Cisneros.
Profesora-investigadora
Instituto de Hidrología
Universidad Tecnológica de la Mixteca
69000 Huajuapan de León, Oaxaca, México
Teléfono: +52 (953) 5320 399, extensión 550
cisneros@mixteco.utm.mx.
Ing. Eusebio César Pedro-Santos.
Profesor-investigador
Instituto de Hidrología
Universidad Tecnológica de la Mixteca
69000 Huajuapan de León, Oaxaca, México
Teléfono: +52 (953) 5320 399, extensión 550
cpedro@mixteco.utm.mx.
Recibido: 17/01/11
Aceptado: 06/07/12
Resumen
En el manejo de los recursos hídricos, las sequías hidrológicas deben considerarse como un fenómeno probable. En los municipios de la mixteca oaxaqueña, que dependen del agua superficial, la falta de agua para riego durante periodos prolongados de sequía causa pérdidas económicas. Con el propósito de caracterizar las sequías hidrológicas del río Salado, el cual abastece a la presa derivadora Cañón de Tonalá, ubicada en Santo Domingo Tonalá, Oaxaca, México, se definieron el déficit (severidad), duración y tiempo de ocurrencia de las sequías, para el periodo comprendido entre 1972 y 2002. Se utilizó la prueba estadística de Mann-Kendall para identificar tendencias en las series de duración y déficit. Se detectaron crecientes tendencias significativas en ambas series (a = 0.05), las cuales están relacionadas con la persistencia de valores del SPI (Índice de Precipitación Estandarizada) negativos desde 1987 hasta 2001, y con el aumento en la superficie agrícola de riego. A partir de un umbral de 0.47 m3s-1, se determinó que la sequía hidrológica histórica más adversa ocurrió en 1993; tuvo un déficit de 5.0 hm3 y una duración de 148 días. Los resultados obtenidos contribuirán al entendimiento de los procesos hidrológicos regionales y aportarán información básica para crear estrategias de mitigación de las sequías.
Palabras clave: sequías hidrológicas, escasez de agua, análisis de tendencias, prueba de Mann-Kendall, Índice de Precipitación Estandarizada, gasto ecológico.
Abstract
In water resources management, hydrological drought should be considered a likely phenomenon. In the Mixteca municipalities of Oaxaca, which depend on surface water, the lack of water for irrigation during dry periods results in economic losses. The severity, duration and time of occurrence of droughts from 1972 to 2001 were defined in order to characterize hydrological droughts for the Salado River, which supplies the Cañón de Tonalá dam located in Santo Domingo Tonalá, Oaxaca, Mexico. The Mann-Kendall statistical test was used to identify trends in the duration and severity series. Growing trends were detected for both series (level of significance of 0.05), which are related to persistent negative SPI (Standardized Precipitation Index) values from 1987 to 2001 and increased irrigated agricultural area. Based on a threshold of 0.47 m3s-1, it was determined that the most severe hydrological drought occurred in 1993, with a deficit of 5.0 hm3 and a duration of 148 days. The results will contribute to understanding regional hydrological processes and provide information essential to creating drought mitigation strategies.
Keywords: hydrological droughts, water scarcity, trend analysis, Mann-Kendall test, Standardized Precipitation Index, ecological flow.
Introducción
La sequía es uno de los fenómenos naturales que más afecta a la sociedad y la economía en el mundo. De acuerdo con la base de datos internacional sobre desastres (CRED, 2010), entre 1950 y 2009, las sequías afectaron al 32% de las personas que sufrieron algún daño por desastre natural y causaron la pérdida de 2.2 millones de vidas humanas.
El término sequía admite diversas acepciones, en función del espacio geográfico o de la actividad económica afectada (Mendoza y Puche, 2007). Dracup et al. (1980), y Wilhite y Glantz (1985) discutieron diferentes definiciones de la sequía, sin embargo coinciden en que este fenómeno es una condición de humedad insuficiente causada por un déficit en la precipitación durante algún tiempo. El National Drounght Mitigation Center (NDMC, 2010) define a las sequías en cuatro tipos: meteorológicas, hidrológicas, agrícolas y socioeconómicas. La sequía hidrológica está asociada con los efectos de los periodos de déficit de precipitación sobre el abastecimiento de agua superficial o subterránea; su frecuencia y gravedad comúnmente se definen a escala de la cuenca del río (NDMC, 2010). Las sequías hidrológicas se relacionan con la escasez de gastos y si se presentan de forma prolongada pueden implicar pérdidas económicas o incluso humanas, cuando los ríos actúan como sistemas de abastecimiento de agua o se utilizan para generar energía eléctrica (Clausen y Pearson, 1995); además afectan a la fauna silvestre, especialmente en los ríos donde se vierten descargas residuales.
El río Salado abastece agua para la agricultura de los municipios de San Marcos Arteaga, Tezoatlán de Segura y Luna, Santo Domingo Tonalá y San Jorge Nuchita, ubicados en la mixteca oaxaqueña. La falta de agua para riego durante periodos prolongados de sequía puede causar serios daños a la economía de estos municipios, ya que, como mencionaron Lozada y Barboza (2007), la agricultura es la actividad que presenta mayor dependencia de las condiciones climáticas y en la región es la principal actividad económica. Por otro lado, el uso exclusivo del agua para las actividades humanas en periodos de escasez podría causar la disminución o inclusive la pérdida de los gastos de los ríos, y afectar los hábitats acuáticos y ribereños, así como los bienes y servicios que éstos proporcionan. Ante este panorama, en los planes de manejo y aprovechamiento del agua de los ríos, la sequía se debe considerar un fenómeno probable y deben evaluarse sus características históricas.
El objetivo de este trabajo fue caracterizar las sequías hidrológicas del río Salado. Los resultados obtenidos contribuirán al entendimiento de los procesos hidrológicos regionales y aportarán información básica requerida para crear estrategias de mitigación de las sequías.
Materiales y métodos
La cuenca del río Salado, ubicada en la mixteca oaxaqueña, abarca una superficie de 1 450.7 km2, y se encuentra comprendida entre las coordenadas geográficas de 97° 50' y 97° 21' longitud oeste, y 17° 49' y 17° 21' latitud norte (figura 1). La lluvia media anual en la cuenca oscila entre 500 y 900 mm, presentándose los valores más bajos en el noroeste y los más altos en la parte sur (figura 2). El río Salado es una corriente perenne, tributario del río Mixteco; en época de estiaje aporta la mayor parte de los escurrimientos que llegan a la presa derivadora Cañón de Tonalá, la cual abastece a las zonas agrícolas de los municipios de Santo Domingo Tonalá, San Jorge Nuchita y San Agustín Atenango. Además, existen 13 municipios que dependen del agua superficial de la cuenca del río Salado (cuadro 1); sin embargo, Tezoatlán de Segura y Luna tiene la mayor superficie agrícola regada con agua de río (INEGI, 2009).
Las sequías hidrológicas del río Salado se analizaron a partir de datos de la estación hidrométrica "Tezoatlán de Segura y Luna" (figura 1), única en la mixteca oaxaqueña que actualmente se encuentra en operación. Los gastos medios diarios para el periodo comprendido entre 1972 y 1991 se extrajeron del Sistema de Información de Aguas Superficiales, editado por el Instituto Mexicano de Tecnología del Agua (IMTA, 1997), que permite consultar el Banco Nacional de Datos con información hidrométrica, sedimentos y de vasos de almacenamiento a cargo de la Conagua (Comisión Nacional del Agua). Los gastos de 1991 a 2002 fueron proporcionados por la Dirección Técnica del Organismo de Cuenca Balsas de la Conagua. A partir de los gastos medios diarios, se obtuvo la curva gastos-duración, la cual es una curva de frecuencias acumuladas, que muestra el porcentaje de veces que se igualó o excedió determinado valor del gasto en un periodo de tiempo dado (Searcy, 1969).
Para suavizar la serie de gastos medios diarios, de acuerdo con las recomendaciones de Tallaksen et al. (1997), se aplicó el método de promedios móviles; el número de orden utilizado fue de diez días. Las sequías hidrológicas se definieron por el método propuesto por Yevjevich (1967), en el que una sequía es un periodo donde el gasto está por debajo de un umbral determinado. Se utilizó como umbral el valor Qr (70%), correspondiente al 70% de la curva gastos-duración. Cada evento se caracterizó por su duración, déficit de volumen (severidad) y tiempo de ocurrencia. El déficit se estimó como el área comprendida entre el hidrograma y el umbral. La duración del déficit fue el número de días consecutivos para los cuales el gasto es menor que el umbral. El tiempo promedio de ocurrencia fue el promedio de las fechas de inicio y terminación del déficit.
Un problema que se presenta en la caracterización de las sequías es la obtención de eventos que superan por cortos periodos de tiempo al umbral, de tal forma que una sequía de larga duración puede quedar dividida en varios eventos mutuamente dependientes de menor duración (Tallaksen et al., 1997). Por tal razón, se consideró el criterio del "tiempo entre eventos", propuesto por Zelenhasic y Salvai (1987) para unir dos sequías consecutivas que están relacionadas. Con este criterio, los eventos separados por menos de diez días se consideraron como uno solo; mientras que los eventos de déficit menores al 1% del máximo déficit registrado se eliminaron. Una vez que se caracterizaron los eventos, se seleccionaron como indicadores de las sequías más adversas de cada año, las que tuvieron valores de déficit más altos.
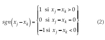
Para determinar si existe un cambio temporal en las características de las sequías hidrológicas, se realizó un análisis de tendencia de las series de duración y severidad. La existencia de una tendencia en los datos se identificó a través de la prueba estadística de Mann-Kendall (Mann, 1945; Kendall y Gibbons, 1990), usada ampliamente en ciencias ambientales, ya que permite analizar datos sin importar la distribución, datos perdidos y estacionales (Méndez et al., 2008). Esta prueba se basó en el cálculo del estadístico S, el cual se define mediante la ecuación (1):

Donde n es el tamaño de la muestra; xj y xk son los valores anuales en los años j y k, respectivamente, con los siguientes valores:

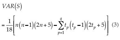
Para muestras mayores a diez, la varianza de S se calcula como:

Donde q es el número de grupos asociados y tp es el número de valores de p-ésimo grupo.
Los valores de S y VAR(S) se usaron para estimar el estadístico Z como sigue:

Para un nivel α de significancia, si el valor absoluto de Z es mayor que el valor Z1-α/2 (obtenido de la distribución acumulada normal estándar), se rechaza la hipótesis nula de no tendencia, H0, en favor de la hipótesis alternativa, H1. Un valor positivo de Z indica una tendencia creciente.
Para estimar la pendiente de la tendencia se utilizó el método de Sen (Gilbert, 1987). En este método se asume la existencia de una función lineal creciente o decreciente en el tiempo, que se expresa como:

Donde Q es la pendiente y B es una constante.
La pendiente se estima a partir de la expresión (6):

Si existen n valores de xj en la serie de tiempo, el número de estimaciones Qi es igual a N = n(n-1)/2. El valor de Q se estima como la mediana de los N valores de Qi.
Para determinar las incertidumbres asociadas con la estimación de f(t), se calcularon los límites de confianza al 95%, a partir de la expresión (7):

Posteriormente se calcularon M1 = (N - Cα)/2 y M2 = (N + Cα)/2. La pendiente de los límites de confianza superior e, Qmín y Qmáx, son los valores Qi de orden M1 y (M2 + 1), respectivamente.
El valor de B se obtuvo como la mediana de las diferencias xi - Qit. La constante B de las líneas de los límites de confianza se calculó de forma similar.
Las pruebas de Mann-Kendall y de Sen se aplicaron mediante la plantilla de Excel MAKESENS (2002), desarrollada por el Finnish Meteorological Institute.
Para determinar si las sequías hidrológicas están asociadas con una disminución en la cantidad de lluvia, se llevó a cabo el análisis histórico de los periodos de baja precipitación mediante el SPI (Índice de Precipitación Estandarizada), desarrollado por McKee et al. (1993). La cuantificación de los valores del SPI se llevó a cabo en las siguientes etapas:
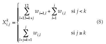
a) De acuerdo con Paulo et al. (2003), la lluvia acumulada xki,j, correspondiente a un determinado mes j, del año i, en función de una escala de tiempo k, se calculó como sigue:

Donde wi,l es la precipitación en el l-ésimo mes del año i.
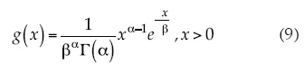
b) La distribución gamma de dos parámetros, cuya función de densidad de probabilidad se define por la expresión (9), se ajustó a las series mensuales en escalas temporales de 3, 6 y 12 meses:

Donde α es el parámetro de forma (α > 0); β es el parámetro de escala (β > 0) y
es la función gamma.
Los estimadores de los parámetros se obtuvieron por el método de máxima verosimilitud.
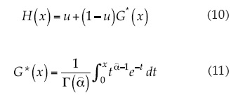
c) Debido a que la función gamma no incluye x = 0, la probabilidad acumulada se estimó como:

Donde
m es el número de valores de precipitación igual a cero; G*(x) es la probabilidad estimada sin considerar los valores x = 0.
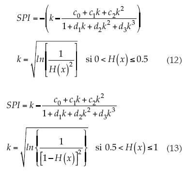
d) Se obtuvieron los valores del SPI mediante la transformación de la probabilidad acumulada a una variable normal estándar con media cero y varianza igual a uno. Como propusieron Edwards y McKee (1997), el SPI se estimó aplicando las expresiones (12) y (13):

Donde c0=2.515517, c1=0.802853, c2=0.010328, d1=1.432788, d2=0.189269 y d3=0.001308.
Para las estaciones climatológicas mostradas en la figura 2, se estimaron series mensuales del periodo comprendido entre 1972 y 2002. Los registros de lluvia fueron extraídos del programa ERIC III editado por el IMTA (2007). Debido a que los datos de las estaciones utilizadas presentan discontinuidades, se utilizó la técnica de interpolación de la distancia inversa ponderada (Shepard, 1968), para deducir los datos faltantes a partir de los registros de dos estaciones aledañas. Posteriormente, para cada estación se calcularon los valores históricos del SPI en escalas de 3, 6 y 12 meses. Para la cuenca de estudio se estimó la serie del SPI promedio mediante el método de los polígonos de Thiessen.
Las sequías meteorológicas se clasificaron de acuerdo con el criterio mostrado en el cuadro 2 propuesto por McKee (1993). Una sequía meteorológica tuvo lugar cuando el SPI fue igual o menor a -1.0 y concluyó al presentarse un valor de SPI positivo. Con base en lo anterior, las sequías meteorológicas se caracterizaron mediante su inicio, término, intensidad y magnitud.

Resultados y discusión
A partir del análisis de frecuencias realizado a los gastos medios diarios registrados entre 1972 y 2002, se elaboró la curva gastos-duración de la cuenca del río Salado, mostrada en la figura 3. Los valores obtenidos de la media, mediana y moda de los gastos fueron 4.4, 1.2 y 0.02 m3s-1, respectivamente. La pendiente pronunciada en el tramo inicial de la curva indica que los caudales altos se presentan durante periodos cortos de tiempo; sólo 10% de los gastos registrados, Qr (10%), igualan o exceden un valor de 10 m3s-1. Por el contrario, el tramo final de la curva tiene una pendiente suave, la cual indica que los gastos son bajos la mayor parte del tiempo, de forma tal que 90% de los gastos son menores a 0.06 m3s-1.
Se consideraron como posibles valores de umbral los gastos Qr (90%), Qr (80%) y Qr (70%), cuyos correspondientes valores son 0.06, 0.18 y 0.47 m3s-1, respectivamente. Sin embargo con los dos primeros se obtuvieron cinco y nueve años, respectivamente, sin eventos de sequía, por lo que las series de duración y déficit estimadas a partir de éstos presentaron discontinuidades que no permitieron llevar a cabo los análisis de tendencias de forma adecuada. Por tal razón, se seleccionó como umbral el valor Qr (70%); las características de las sequías hidrológicas estimadas con el mayor valor del déficit se muestran en el cuadro 3. Cabe notar que 1998 fue el único año para el cual no se caracterizaron las sequías debido a la falta de registros hidrométricos en la estación de análisis; además, para ese año no existen registros de otras estaciones hidrométricas con las cuales se puedan deducir los datos faltantes.
Las figuras 4 y 5 muestran el comportamiento histórico de las series de déficit y duración de las sequías hidrológicas más adversas del periodo de análisis, así como los resultados de los análisis de tendencias. Se observa que a partir de 1987 existe un notable aumento en los valores de déficit y duración; en el periodo de 1972 a 1986, los valores promedio del déficit y duración fueron de 1.1 hm3 y 51.4 días, respectivamente; mientras que para el periodo de 1986 a 2002, los valores promedio se duplicaron, con 2.9 hm3 de déficit y 104 días de duración. La prueba de Mann-Kendall indica que a un nivel de significancia de 0.05 existen tendencias en el déficit y duración; los valores positivos del estadístico Z revelan una tendencia creciente. Por otro lado, el método de Sen muestra una tasa de crecimiento del déficit y duración de 0.07 hm3.año-1 y de 2.18 días.año-1, respectivamente; sin embargo, en ambas series, los límites inferiores de confianza tienen una pendiente casi horizontal; por tal razón, la existencia de una tendencia lineal por el método de Sen no se cumple en su totalidad.
La figura 6 muestra el comportamiento histórico de los valores del SPI promedio de la cuenca en escalas de 3, 6 y 12 meses. Se aprecia que en la escala de tres meses, los eventos de baja precipitación son más frecuentes y de menor duración, en comparación con las otras escalas. Para la escala de tres meses se identificaron 18 periodos de sequías meteorológicas, destacándose el ocurrido entre diciembre de 1988 y octubre de 1989, por ser el de mayor duración (diez meses); mientras que el de marzo a septiembre de 1998 fue el de mayor magnitud (-9.1). En marzo de 1998, en 54% de la superficie de la cuenca el SPI alcanzó valores en extremo secos (figura 7). Con respecto a la escala de seis meses, los periodos de baja precipitación encontrados fueron diez (cuadro 4); los años para los que se obtuvieron valores del SPI en extremo secos fueron 1982 y 1987. En esta escala se aprecia un incremento en la duración de las sequías a partir de 1988, presentándose la de mayor duración (15 meses) y magnitud (-15.3) entre agosto de 1997 y noviembre de 1998. En la escala de 12 meses, los periodos de sequía fueron cuatro, el de mayor duración (50 meses) y magnitud (-31.7) se presentó entre junio de 1997 y julio de 2001. Las categorías más adversas de los eventos de sequía a 12 meses corresponden a los años de 1983 y 1998, con valores del SPI muy secos, aunque en este último año sólo 7% de la superficie de la cuenca corresponde a esta categoría. Se puede notar que a partir de 1986 existe una clara persistencia de valores negativos del SPI en la escala de 12 meses; sólo en 1990, 1992 y 2002 se tienen valores mayores a cero; sin embargo, ninguno llega a ser moderadamente húmedo.
El periodo de alta precipitación de mayor magnitud y duración en las tres escalas comenzó en 1973; en la escala de 12 meses inició en octubre de 1973, finalizó en septiembre de 1976 y tuvo una magnitud igual a 30. En este periodo, los valores más altos del SPI se presentaron en junio de 1974; en la parte centro y noreste de la cuenca se alcanzaron valores extremadamente húmedos; no obstante, en el sur los valores son normales (figura 7). En la escala de 12 meses también se presentaron periodos húmedos en 1972, 1981 y 1985; después de 1986 no existen periodos de alta precipitación.
Debido a que en las escalas de 6 y 12 meses se pueden apreciar con mayor facilidad los periodos de baja precipitación, éstas resultaron más útiles para comprender la relación entre las sequías hidrológicas y los periodos de escasez de lluvia. A partir de los resultados del cuadro 4 y de la figura 5, se determinó que las sequías hidrológicas de los años 1983, 1988, 1989, 1991, 1993 y 1994, con los valores más elevados del déficit y duración, coinciden con la presencia de periodos de sequías meteorológicas; mientras que los valores más bajos del déficit y duración se presentaron en 1974, 1975, 1981, 1982 y 1985, en periodos de alta precipitación. Por otro lado, el aumento significativo de la severidad y duración de las sequías hidrológicas que se presentó a partir de 1987 coincide la persistencia de periodos con valores de SPI negativos desde 1986.
Debido a la falta de un sistema de medición continuo del agua extraída del río, no fue posible evaluar la influencia de la regulación del agua en las características de las sequías hidrológicas. No obstante, el aumento en la duración y magnitud de las sequías hidrológicas que se dio a partir de 1987 coincide con un incremento en la superficie agrícola de riego en el municipio de Tezoatlán de Segura y Luna (figura 8), por lo que se infiere que el cambio en las características de las sequías se debe tanto a la presencia de un periodo de lluvias persistentemente bajas desde 1987 hasta 2001, que se ha incrementado por el uso de agua de río para las actividades agrícolas.
Por otro lado, la utilización del agua y la presencia de obras hidráulicas para su aprovechamiento han modificado el régimen hidrológico del río; aunque se desconoce la medida en que esto ha sucedido. La falta de un sistema de medición del volumen de agua extraída para riego pone en evidencia la carencia de un adecuado manejo del agua del río Salado. Esta situación aumenta la vulnerabilidad de la población ante la presencia de una sequía, además de incrementar el riesgo de daños ambientales.
La extracción desmedida del agua está causando una alteración ecológica en el río y podría afectar los servicios ambientales que éste proporciona, como la recarga de acuíferos o la conservación de la biodiversidad. Tal afectación será mayor ante la presencia de una sequía si la poca cantidad de agua que conduce el cauce se destina casi en su totalidad para cubrir la demanda de las actividades humanas. Ante este panorama, es de suma importancia considerar en el manejo del agua del río Salado la conservación de un gasto ecológico de manera permanente, con el cual, como mencionaron Jiménez et al. (2005), la cantidad y calidad del agua en los ríos permita mantener condiciones óptimas para la conservación y el desarrollo de los hábitats acuáticos y ribereños, para sustentar poblaciones bióticas viables y mantener un funcionamiento ecológico que asegure el nivel adecuado de los bienes y servicios que la sociedad está esperando recibir del ecosistema. Por esta razón, las decisiones relacionadas con la asignación del agua deberían incluir previsiones que logren mantener la integridad de los ecosistemas de agua dulce (Castro-Heredia y Carvajal-Escobar, 2008).
Conclusiones
Mediante la utilización de un umbral del gasto medio diario igual 0.47 m3s-1, la sequía hidrológica histórica de mayor severidad en el río Salado se presentó en 1993: tuvo un déficit de 5.0 hm3 y una duración de 148 días. A partir de 1987, la severidad de las sequías aumentó de manera significativa de 1.1 (periodo 1972-1986) a 2.9 hm3 (periodo 1987-2002); mientras que la duración promedio cambió de 51.4 a 104 días. Este incremento está asociado con la presencia de valores negativos persistentes del SPI (desde 1987 hasta 2001), a escalas de 6 y 12 meses, y con el aumento de la superficie agrícola de riego. Por último, se determinó que las sequías hidrológicas del río Salado deben su comportamiento al déficit de precipitación, y su incremento es consecuencia de la extracción de agua para riego.
Referencias
CASTRO-HEREDIA, L.M. y CARVAJAL-ESCOBAR. Evaluación de los métodos hidrológicos para la determinación de caudales ambientales en el río Tuluá, Colombia. Ingeniería hidráulica en México. Vol. XXIII, núm. 4, octubre-diciembre de 2008, pp. 119-131. [ Links ]
CLAUSEN, B. and PEARSON, C. P. Regional frequency analysis of anual maximun streamflow drought. Journal of Hydrology. No. 173, 1995, pp. 111-130. [ Links ]
CRED. EM-DAT. The International Disaster Database [en línea]. Bruselas, Bélgica, Centre for Research on the Epidemiology of Disasters, 2010 [consulta del 26 de junio de 2010]. Disponible en World Wide Web: http://www.emdat.be/advanced-search. [ Links ]
DRACUP, J., LEE, K., and PAULSON, E. On the definition of droughts. Water Resouces Research. Vol. 16, No. 2, 1980, pp. 297-302. [ Links ]
EDWARDS, D.C. and McKEE, T.B. Characteristics of 20th Century Drought in the United States at Multiple Timescales. Climatology Report No. 97-2. Fort Collins, USA: Colorado State University, 1997. [ Links ]
GILBERT, R.O. Statistical methods for environmental pollution monitoring. New York: John Wiley & Sons, 1987, 336 pp. [ Links ]
IMTA. Sistema de Información de Aguas Superficiales. Versión 1.0. México: Instituto Mexicano de Tecnología del Agua, 1997. [ Links ]
IMTA. Extractor rápido de información climatológica V.I.I. Versión ERIC III. México: Instituto Mexicano de Tecnología del Agua, 2007. [ Links ]
INEGI. Anuario estadístico de Oaxaca, 1985. Tomo III. Aguascalientes, México: Instituto Nacional de Estadística Geografía e Informática, 1985, 169 pp. [ Links ]
INEGI. Anuario Estadístico de Oaxaca. Edición 1994 [en línea]. Aguascalientes, México. Instituto Nacional de Estadística, Geografía e Informática, 1994 [Consulta 30 de junio de 2010]. Disponible en World Wide Web: http://www.inegi.gob.mx/prod_serv/contenidos/espanol/bvinegi/productos/integracion/pais/anuario_est/oax/1994/AEEO94I.pdf. [ Links ]
INEGI. Censo Agropecuario 2007, VIII Censo Agrícola, Ganadero y Forestal [en línea]. Aguascalientes, México: Instituto Nacional de Estadística, Geografía e Informática, 2009 (consulta el 30 de junio de 2010). Disponible en World Wide Web: http://www.inegi.org.mx/est/contenidos/proyectos/Agro/ca2007/Resultados_Agricola/default.aspx. [ Links ]
JIMÉNEZ, J.A., CAVO, J., PIZARRO, F. y GONZÁLEZ, E. Conceptualización de caudal ambiental en Costa Rica: Determinación inicial para el Río Tempisque. Costa Rica: UICN, 2005, 40 pp. [ Links ]
KENDALL, M. y GIBBONS, J. Rank Correlation Methods. Quinta edición. Londres: Griffin, 1990, 272 pp. [ Links ]
LOZADA, G.B. y BARBOZA, C. Tendencia de la precipitación pluvial en Bramón, estado Táchira, Venezuela. Agronomía. Vol. 57, núm. 2, 2007, pp. 99-105. [ Links ]
MAKESENS. Mann-Kendall Test and Sen's Slope Estimates for the Trend of Annual Data. Versión 1.0. Helsinki, Finlandia: Finnish Meteorological Institute, 2002, 35 pp. [ Links ]
MANN, H.B. Non-parametric Test against Trend. Econometrica. Vol. 13, 1945, pp. 245-259. [ Links ]
McKEE, T.B.N., DOESKEN, J., and KLEIST, J. The relationship of drought frecuency and duration to time scales. Eight Conference. On Applied Climatology. Anaheim, California: American Meteorological Society, January 1993, pp. 179-184. [ Links ]
MÉNDEZ, G.J., NÁVAR, C.J. y GONZÁLEZ, O.V. Análisis de tendencias de precipitación (1920-2004) en México. Investigaciones Geográficas. Boletín del Instituto de Geografía. UNAM. Vol. 65, 2008, pp. 38-55. [ Links ]
MENDOZA, N. y PUCHE, M. Evaluación de la ocurrencia de sequía en localidades de Venezuela. Revista de la Facultad. Agronomía. Vol. 24, núm. 4, diciembre 2007, pp. 661-678. [ Links ]
NDMC. National Drought Mitigation Center [en línea]. Nebraska, USA. 2010 [Consulta 25 de junio de 2010]. Disponible en World Wide Web: http://www.drought.unl.edu/whatis/concept.htm.
PAULO, A.A., PEREIRA, L.S., and MATIAS, P.G. Analysis of local and regional droughts in southern Portugal using the theory of runs and the standardized precipitation index. In: Tools for Drought Mitigation in Mediterranean Regions. Rossi, G., Cancelliere, A., Pereira, L.S., Oweis, T., Shatanawi, M., Zairi, A. (edtors), Kluwer, Dordrecht, 2003, pp. 55-78. [ Links ]
SEARCY, J.K. Flow-Duration Curves, Manual of hydrology: Part 2. Low-Flow Techniques, Geological Survey Water-Supply Paper 1542-A, Methods and practices of the Geological Survey. USA: Geological Survey, 1969, 38 pp. [ Links ]
SHEPARD, D. A two-dimensional interpolation function for irregularly-spaced data. ACM '68 Proceedings of the 1968 23rd ACM National Conference. New York, USA, 1968, pp. 517-524. [ Links ]
SIAP. Anuario Agropecuario 2010 [en línea]. Servicio de Información Agroalimentaria y Pesquera, 2010 [consulta 18 de junio de 2012]. Disponible en World Wide Web: http://www.siap.gob.mx/aagricola_siap/icultivo/index.jsp. [ Links ]
TALLAKSEN, L.M., MADSEN, H., and CLAUSEN, B. On the definition and modeling of streamflow drought duration and deficit volume. Hydrological Sciences Journal. Vol. 42, No. 1, 1997, pp. 15-33. [ Links ]
WILHITE, D.A. and GLANTZ, M.H. Understanding the drought phenomenon: The role of definitions. Water International. Vol. 10, 1985, pp. 111-120. [ Links ]
YEVJEVICH, V. An objetive approach to definitions and investigations of continental hydrologic droughts. Hydrologic Papers 23. Colorado, USA: Colorado State University, 1967. [ Links ]
ZELENHASIC, E. and SALVAI, A. A method of streamflow drought analysis. Water Resources Research. Vol. 23, No. 1, 1987, pp. 156-168. [ Links ]













