Servicios Personalizados
Revista
Articulo
Indicadores
-
Citado por SciELO -
Accesos
Links relacionados
-
Similares en
SciELO
Compartir
Tecnología y ciencias del agua
versión On-line ISSN 2007-2422
Tecnol. cienc. agua vol.2 no.3 Jiutepec jul./sep. 2011
Artículos técnicos
Costo más probable de daños por inundación en zonas habitacionales de México
Most probable cost of flood damage in residential areas in Mexico
José Emilio Baró-Suárez, Carlos Díaz-Delgado
Universidad Autónoma del Estado de México
Georgina Calderón-Aragón
Universidad Nacional Autónoma de México
María Vicenta Esteller-Alberich, Edel Cadena-Vargas
Universidad Autónoma del Estado de México
Dirección institucional de los autores
Dr. José Emilio Baró-Suárez Facultad de Geografía
Universidad Autónoma del Estado de México
Cerro Coatepec s/n, Ciudad Universitaria
50130 Toluca, Estado de México, México
Teléfono: +52 (722) 2150 255
Fax: +52 (722) 2143 122 barosuarez@hotmail.com
Posgrado en Geografía
Facultad de Filosofía y Letras
Universidad Nacional Autónoma de México
Teléfono: +52 (55) 5606 4378
Dr. Carlos Díaz-Delgado
Centro Interamericano de Recursos del Agua (CIRA)
Facultad de Ingeniería
Universidad Autónoma del Estado de México
Cerro Coatepec s/n, Ciudad Universitaria
50130 Toluca, Estado de México, México
Teléfono: +52 (722) 2965 550
Fax: +52 (722) 2965 551
cdiazd@uaemex.mx
Dra. Georgina Calderón-Aragón
Facultad de Filosofía y Letras
Posgrado en Geografía
Universidad Nacional Autónoma de México
Ciudad Universitaria, Delegación Coyoacán
04510 México, D.F., México
Teléfono: +52 (55) 5606 4378
cat.odisea@yahoo.com
Dra. María Vicenta Esteller-Alberich
Centro Interamericano de Recursos del Agua (CIRA)
Facultad de Ingeniería
Universidad Autónoma del Estado de México
Cerro Coatepec s/n, Ciudad Universitaria
50130 Toluca, Estado de México, México
Teléfono: +52 (722) 2965 550 Fax: +52 (722) 2965 551
mvestellera@uaemex.mx
Dr. Edel Cadena-Vargas
Facultad de Geografía
Universidad Autónoma del Estado de México
Cerro Coatepec s/n, Ciudad Universitaria
50130 Toluca, Estado de México, México
Teléfono: +52 (722) 2150 255
Fax: +52 (722) 2143 122
Recibido: 22/02/10
Aprobado: 04/10/10
Resumen
Las curvas de daños por inundación en función de la altura de lámina de agua facilitan la estimación económica de los daños generados en una cuenca, siendo este proceso uno de los métodos de evaluación directa más utilizados. En este trabajo se presenta la propuesta de un nuevo método para la definición de estas curvas con base en una función de distribución beta como modelo probabilístico. Las curvas obtenidas se emplearon para la cuantificación de daños tangibles directos en zonas habitacionales de México. Las zonas habitacionales fueron caracterizadas en función del índice de marginación urbana (IM) del Área Geo-Estadística Básica (AGEB), definiéndose cinco tipos de AGEBs (IM muy alto, IM alto, IM medio, IM bajo e IM muy bajo). Posteriormente, se identificaron el tipo y número de bienes para cada categoría de AGEB, así como su valor económico, y se determinó el porcentaje de afectación de estos bienes en función del nivel que alcanzaría el agua dentro de la vivienda. Se determinaron las curvas de costo mínimo, máximo y más probable para cada tipo de AGEB. Posteriormente, se obtuvo un modelo matemático de tipo regresivo, el cual permite estimar para cada altura de lámina de agua el daño económico ocasionado en una vivienda. El empleo de este nuevo método proporcionará una estimación de la magnitud de las afectaciones por inundación en zonas habitacionales de México, lo cual mejoraría la evaluación de medidas pertinentes para prevenir, mitigar o reducir los costos directos ocasionados por inundaciones.
Palabras clave: inundación, zonas urbanas, curvas altura de inundación-daños, función de distribución beta, México.
Abstract
Stage-damage curves for calculating flood loss based on the maximum water height reached allow for the economic assessment of damages generated by floods in river basins. This is one of the most commonly used direct evaluation methods. This work presents a proposal for an innovative method to define these curves, based on the beta distribution function as a probabilistic model. The curves obtained were used to quantify tangible direct damage in residential zones in Mexico. The residential areas were classified based on the urban marginalization index (MI) for the Basic Geo-Statistical Area (BGSA), obtaining five BGSA categories (very high MI, high MI, average MI, low MI and very low MI). The type and quantity of goods was then identified for each BGSA category, as well as their economic value, and the percentage of affectation of these goods was determined according to the highest level that the water could reach inside a home. The minimum, maximum and most probable stage-damages curves were then determined for each BGSA category and a mathematical regression model was obtained in order to calculate the economic damage corresponding to each water level. The use of this new method will provide an estimate of the magnitude of flood affectation in residential zones in Mexico, which would improve the evaluation of relevant measures to prevent, mitigate or reduce the direct cost of floods.
Keywords: floods, urban area, stage-damage curves, beta distribution function, Mexico.
Introducción
Las inundaciones constituyen el fenómeno hidrológico de mayor impacto en la sociedad. Prueba de ello es que representan el 50% de los desastres naturales (no biológicos) que ocurren en el mundo (EM-DAT, 2009). Estas inundaciones frecuentemente se producen en zonas llanas, donde suelen existir importantes asentamientos humanos y una intensa actividad económica (industrial, agropecuaria, de servicios). Por tanto, al producirse un hecho de esta naturaleza, las pérdidas humanas, socioeconómicas e incluso ambientales suelen ser muy elevadas. Ejemplo de ello, es que para 2008, los fenómenos hidrológicos afectaron en el mundo a 44.9 millones de personas, con daños económicos valorados en 1 905 mil millones de dólares (Rodríguez et al., 2009).
En el caso de México, destacan las inundaciones acaecidas en el estado de Tabasco en los años 2007 y 2008. En el primero, se sumergió el 70% del territorio estatal con tirantes de agua de hasta cuatro metros (Aparicio et al., 2009). Este evento afectó a más de 1.5 millones de habitantes, y produjo pérdidas económicas que se estimaron en más de 32 mil millones de pesos (Cenapred, 2009a). Por su parte, los daños económicos en 2008 se valoraron en 4.6 mil millones de pesos, mientras que la población afectada fue de 41 800 personas y además hubo un deceso.
Adicionalmente, para el mismo año de 2008, las inundaciones en el estado de Chihuahua trajeron como consecuencia daños por 380 millones de pesos; la población afectada fue de 23 387, contándose ocho muertes (Cenapred, 2009b).
Por lo anterior, la estimación económica de estos daños, antes y después del evento, cobra gran relevancia, sobre todo si se utiliza para el análisis de beneficios. Estos últimos se pueden obtener al implementar medidas que mitiguen el efecto de las inundaciones en el futuro, ya que generalmente se requiere de inversiones económicas significativas (Dutta et al., 2003).
En el análisis de daños producidos por inundación, un primer paso es clasificar los tipos de perjuicios ocasionados. Para ello existen varias clasificaciones, pero una de las más usuales es la presentada por Nascimento et al. (2007), y Jonkman y Vrijling (2008). En dichos trabajos se definen dos tipos de daños: los tangibles y los intangibles. Los primeros son los que se miden con base en un valor monetario, mientras que los segundos no pueden ser medidos en tales términos, al menos de manera sencilla.
Los daños tangibles se dividen en dos subtipos: los directos, producidos por contacto con el agua o por sumersión, y los indirectos, que son causados por la interrupción de las interrelaciones físicas y económicas. Éstos incluyen, por ejemplo, costos por el desalojo del agua, la interrupción del transporte carretero y de servicios públicos, pérdidas en salarios y beneficios de los negocios, entre otros.
Los daños intangibles también han sido divididos en directos, representados fundamentalmente por las pérdidas de vidas humanas, así como por las ambientales, históricas y culturales; y los indirectos, donde se incluyen las afectaciones a la población, que se reflejan en estados de ansiedad, estrés psicológico y problemas de salud.
Los procesos de evaluación socioeconómica de daños provocados por inundación generalmente se centran en los tangibles directos. Esta evaluación es posible efectuarla bajo tres diferentes procedimientos metodológicos (Nascimento et al., 2007): los métodos conceptuales, los análisis de vulnerabilidad y los de evaluación directa.
Los análisis de evaluación directa son los más desarrollados y utilizados en el mundo. Uno de los estudios más detallado es el de Penning-Rowsell y Chatterton (1977) en Inglaterra y Gales, y más recientemente el de Jonkman et al. (2008) en Holanda. Otros ejemplos son el de Boyle et al. (1998) en Canadá, Renyi y Nan (2002) en China, Dutta et al. (2003) en Japón, Nascimento et al. (2007) en Brasil, Baró et al. (2007a, 2007b) en México, y Luino et al. (2009) en Italia.
Estos análisis se centran en la evaluación de las descripciones precisas y detalladas de los impactos causados, tomando en cuenta los inventarios de daños efectuados en áreas afectadas (evaluados a posteriori) o en la construcción de escenarios de daños (evaluación a priori). Estos procedimientos relacionan los daños con aquellas variables hidráulicas asociadas con las inundaciones, tales como profundidad, duración y velocidad del flujo en áreas inundadas.
Uno de los métodos de evaluación directa más común es el basado en la integración de una función daño económico/profundidad de la inundación. En este método se utiliza una base de datos espacial que incluye información sobre usos del suelo, características hidráulicas y actividades humanas de la zona de estudio. Esta base de datos es el soporte para determinar los tipos, severidad y localización de los daños ocasionados por una inundación (Boyle et al, 1998; Dutta et al, 2003; Baró et al, 2007a).
Por otra parte, los métodos desarrollados, generalmente, son aplicables en áreas o regiones específicas de un país, y pocas naciones (Reino Unido, Japón, Estados Unidos) cuentan con un método estandarizado que pueda ser implementado en cualquier parte de su territorio (Dutta et al., 2003). En consecuencia, como principales hipótesis del presente trabajo se ha considerado que: a) es posible construir una metodología con base en las mejores prácticas vigentes en el ámbito internacional para la estimación de daños tangibles directos por inundación con aplicación en países en vías de desarrollo y particularmente para México; b) es posible contribuir de forma original en el diseño de la nueva metodología de estimación considerando al fenómeno "costo de inundación" como una variable aleatoria que presenta dos límites y modelándole probabilísticamente con una función de distribución tipo beta; y c) es posible diseñar la nueva metodología con aplicación estandarizada en el nivel nacional con base en información disponible a través del Instituto Nacional de Estadística, Geografía e Informática (INEGI), y fuentes oficiales de fácil acceso.
Así, con objeto de contribuir al desarrollo de los métodos de evaluación directa estándar con viabilidad para la república mexicana, este trabajo presenta una propuesta metodológica para la construcción de las curvas que representan la integración de la función daño económico/profundidad de la inundación. Lo anterior, centrándose en la valoración económica de daños tangibles directos en zonas habitacionales y utilizando, para ello, la estimación del costo de inundación más probable con ayuda de una función de distribución beta como modelo probabilístico.
Zona de estudio
El método que se propone en este trabajo se explicará a través de un estudio de caso relacionado con las inundaciones en la cuenca Lerma-Chapala (México). Esta cuenca (figura 1a) se localiza en la parte central de México (19°03' a 21°34' N y 99°16' a 103°31' W). Se extiende desde el nacimiento del río Lerma (Estado de México) hasta su desembocadura en el lago de Chapala (Jalisco), ocupando una superficie de 53 591.3 km2. Abarca los estados de Guanajuato (43.75%), Michoacán (30.25%), Jalisco (13.42%), México (9.8%) y Querétaro (2.76%). Adicionalmente, se destaca que en esta cuenca se asienta una población de más de 15 millones de habitantes (Cotler et al., 2006).
Desde un punto de vista topográfico, la cuenca es relativamente llana. Casi el 72% de su área presenta elevaciones que oscilan entre 1 500 y 2 100 msnm, incluyendo algunas regiones montañosas con elevaciones superiores a los 2 700 msnm, que sólo representan el 6% de la superficie total de la cuenca.
El clima que domina es subtropical, pero varía entre sub-húmedo a árido, y en unas pequeñas regiones muy específicas se define un clima sub-húmedo templado, con base en la clasificación de Kóppen, modificada por García para la república mexicana (García, 2004).
La demanda de agua es cubierta tanto por fuentes superficiales como subterráneas, siendo la demanda consuntiva de agua superficial de 2 176 hm3/año y de subterránea de 4 398 hm3/año. El agua superficial se destina a la agricultura y uso pecuario fundamentalmente, mientras que los usos públicos-urbanos e industriales se cubren con agua subterránea (Conagua, 2005).
La mayoría de los municipios han sido clasificados como de baja marginalidad, según las estimaciones hechas por el Consejo Nacional de Población (Conapo, 2002) con base en el XII Censo General de Población y Vivienda 2000. Sin embargo, se presenta un desequilibrio significativo en este concepto, ya que existen municipios con grado de desarrollo alto, mientras que otros presentan rezago en infraestructura básica y de servicios.
Las inundaciones que ha sufrido esta cuenca están ligadas con la ocurrencia de huracanes originados tanto en el océano Atlántico como en el Pacífico. Estas inundaciones pueden ser consideradas como repentinas, dado que no existe la capacidad instalada para dar respuesta suficiente en el tiempo de alcance de la cota máxima del tirante de agua (Kobiyama y Fasbris-Goerl, 2007). Algunas de las inundaciones más importantes acaecieron entre 1926 y 1958, pero éstas han seguido sucediendo (Aparicio, 2001). Así, por ejemplo, en septiembre de 2003 se produjeron inundaciones en los estados de Guanajuato y Michoacán. En Guanajuato se generaron inundaciones severas en 17 municipios y ocurrieron nueve decesos, siendo las pérdidas económicas cuantificadas en 996 millones de pesos (Matías-Ramírez et al., 2007). En el estado de Michoacán, veinte municipios sufrieron inundaciones, estimándose los daños económicos en 227 millones de pesos y las personas afectadas en cien mil (García et al., 2004; Cenapred, 2004).
Materiales y métodos
En la figura 2 se presentan esquemáticamente las etapas llevadas a cabo para el desarrollo del método de evaluación directa que aquí se propone, las cuales se describen a continuación de forma sucinta.
Etapa 1. Base de datos
La construcción y el desarrollo de una base de datos es necesaria para soportar el análisis de determinación de los tipos, severidad y localización de daños causados por una inundación. Esta base de datos incluye información sobre los siguientes aspectos:
• Delimitación de zonas inundadas
Las características hidráulicas de la inundación en una cuenca se pueden obtener con el empleo de algún modelo de simulación hidrológico-hidráulico. Estas características incluyen la magnitud de los caudales del río para diferentes periodos de retorno y las alturas de lámina de agua alcanzadas. Con base en el tirante de agua y con ayuda de un modelo de elevación digital del terreno es posible delimitar las zonas inundadas, y dentro de ellas definir, por ejemplo, las áreas urbanas afectadas. Si no se dispone de un modelo de simulación, se puede recopilar información en los organismos de protección civil de cada estado, así como en otras dependencias gubernamentales vinculadas con esta problemática. En el caso del Estado de México, por ejemplo, se publica anualmente un atlas de inundaciones, donde se señala municipio, localidad, altura de lámina de agua y número de viviendas afectadas para un evento dado (GEM, 2009), además de la información editada por el Cenapred (2009b).
• Caracterización de zonas habitacionales inundadas
Como primer paso se definen las características socioeconómicas de la población. Dichas características se centran en los indicadores socioeconómicos y en el índice de marginación urbana (IM), cuyos valores han sido publicados por el Consejo Nacional de Población (Conapo, 2002, 2007) con base en el XII Censo General de Población y Vivienda del año 2000 y en el II Conteo de Población y Vivienda del año 2005. Adicionalmente, en la caracterización de las zonas habitacionales se tuvo en cuenta el porcentaje de población que percibe hasta dos salarios mínimos, datos publicados por Conapo. Para la zona de estudio se ha considerado el valor medio nacional del salario mínimo diario, el cual fue de $53.19 (CNSM, 2009). Con base en el número de salarios mínimos que ingresan por familia y la información contenida en la Encuesta Nacional de Ingresos y Gastos de los Hogares (ENIGH, 2009), se extrae el rubro de gastos en bienes para especificar la inversión correspondiente.
Posteriormente, la información sobre los bienes existentes en las viviendas obtenida del Sistema para la Consulta de Información Censal SCINCE 2000 (INEGI, 2002) se relaciona con el espacio geográfico al que pertenecen. Cabe resaltar que el SCINCE proporciona información estadística que puede consultarse por entidad federativa, municipio, localidad urbana (con 2 500 o más habitantes y cabeceras municipales, independientemente de su tamaño), y dentro de todas ellas para grupos de manzanas, las cuales se conocen como Áreas Geoestadísticas Básicas (AGEB). Asimismo, esta información fue actualizada con ayuda del sistema IRIS-SCINCE II, el cual está generado a partir del Marco Geoestadístico Nacional 2005 y del II Conteo de Población y Vivienda 2005 (INEGI, 2007). La base de datos fue procesada para los cinco estados (México, Querétaro, Guanajuato, Michoacán y Jalisco) circunscritos en la cuenca Lerma-Chapala.
La estimación del valor de los bienes se llevó a cabo compilando información de diferentes casas comerciales, así como de datos proporcionados por la Procuraduría Federal del Consumidor (Profeco, 2009), para el periodo del 1° al 16 de abril del 2009.
Etapa 2. Curvas daños / altura de lámina de agua
Para el cálculo de los daños tangibles directos (pérdidas producidas por el contacto físico con el agua) se construyeron las curvas de daños potenciales, las cuales describen la relación de la altura de lámina de agua (o profundidad de la inundación) con los daños económicos que provoca la inundación.
La clasificación de las curvas por construir se realizó en función del índice de marginación urbana (muy alto, alto, medio, bajo y muy bajo) del AGEB donde se ubica una vivienda.
Para cada vivienda ubicada en un AGEB con un IM dado se le hizo corresponder bienes cuyos valores promedio fueron estimados, para posteriormente analizar el porcentaje de afectación (daño) en cada uno de estos bienes, como una función de la altura de la lámina de agua potencialmente alcanzada.
En un caso práctico, las alturas de lámina de agua a evaluar corresponderían a las obtenidas por un modelo de simulación o bien a las recopiladas en eventos históricos de inundación.
Etapa 3. Costo de inundación máximo, mínimo y más probable
En este trabajo, para cada tipo de AGEB se definió una familia de curvas de daños por inundación, es decir, las curvas de costo máximo, mínimo y más probable. Para las curvas de costo máximo y mínimo se construyeron modelos matemáticos de tipo regresivo como función del IM del AGEB donde se ubica dicha vivienda para el tirante de agua alcanzado, cuyo empleo proporciona la estimación de los daños económicos ocasionados correspondientes.
Así, el método hasta ahora definido permite determinar los posibles costos directos mínimo y máximo generados por inundación para cada tipo de AGEB en la zona de análisis. Lo anterior abre las puertas para proponer un modelo matemático de tipo probabilístico con base en una función beta y estimar el valor del costo de inundación más probable para cada tipo de AGEB. En efecto, asumiendo que el fenómeno "costo de una inundación" es una variable aleatoria con características similares al del modelo teórico probabilístico propuesto, es decir, contar con dos límites que definen su existencia, es posible encontrar la expresión matemática adecuada para la estimación del costo más probable generado por una inundación.
Cabe mencionar que este método tiene como fundamento la técnica desarrollada y ampliamente utilizada en el campo de la gestión de proyectos, y es conocido en el modelado de la duración más probable de una actividad bajo el nombre de Método PERT (Program Evaluation and Review Technique). Esta técnica cuenta, a su vez, con dos principales orígenes desarrollados en los Estados Unidos de América en el año de 1957. El primero fue un desarrollo de la Armada para controlar los tiempos de ejecución de las diversas actividades integrantes de los proyectos espaciales, por la necesidad de terminar cada una de ellas dentro de los plazos disponibles. Fue utilizado originalmente por el control de tiempos del proyecto Polaris y actualmente se utiliza en todo programa espacial (Llamas et al., 2001).
Por otro lado, el segundo origen está ligado al método CPM (Critical Path Method), el cual fue desarrollado por un centro de investigación de operaciones para las firmas Dupont y Remington Rand, en búsqueda del control y la optimación de los costos de operación mediante la planeación adecuada de las actividades componentes del proyecto.
Ambos métodos aportaron los elementos de gestión necesarios para formar el actual método del camino crítico, utilizando el control de los tiempos de ejecución y los costos de operación, para buscar que el proyecto total sea ejecutado en el menor tiempo y al menor costo posible.
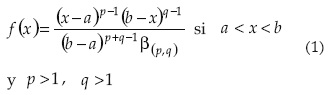
El uso del método PERT tiene una gran aceptación en la práctica, principalmente por la forma tan simple que tiene para calcular la duración de una actividad con base en tres posibles duraciones: a) la más probable, b) la pesimista y c) la optimista. Ahora bien, para el caso que se desea modelar, es decir, el costo de la inundación, se requerirá de tres posibles costos: a) el más probable, b) el máximo y c) el mínimo. El modelo probabilístico básico lo constituye una forma muy particular de la función de densidad de probabilidad beta:

que corresponde al primer caso de la familia de distribuciones beta tipo uno (Díaz-Delgado, 1988), caracterizado porque los valores de p y q deben ser ambos mayores que la unidad; en tal caso, la función de densidad de probabilidad presenta una forma unimodal asimétrica y donde la esperanza matemática no coincide con la moda (o valor más probable), cortando esta función al eje de las abscisas en los puntos límites de existencia a y b.
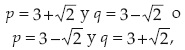
El modelo propuesto se concreta aún más si se elige, al igual que en el método PERT, que los exponentes p y q sean 3+√2 y 3- √2, respectivamente, si la moda m de la distribución es mayor que el punto medio del intervalo de definición, o bien que sean 3- √2 y 3+√2 si m es menor al citado punto medio (Herrerías, 1988).
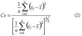
Esta es la razón por la cual la función no está totalmente identificada cuando sólo se conoce el intervalo de variación (a, b), ya que será necesario, con base en los datos disponibles para cada tipo de AGEB, estimar el coeficiente de asimetría Cs:

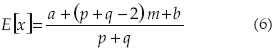
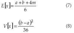
Por lo que las correspondientes características estocásticas de la variable "x" y el costo de inundación de cada tipo de AGEB serán, respectivamente, para la media (E[x]) y la varianza (V[x]):

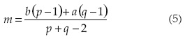
Como puede apreciarse, sólo en el numerador de la expresión de la esperanza matemática es necesario saber si p = 3+√2 o p = 3- √2. Ello quedará definido por el signo del coeficiente de asimetría Cs. Sin embargo, teniendo en consideración que la ecuación (1) presenta la moda en el punto:

Se tiene en consecuencia que la expresión (3) puede reescribirse como:

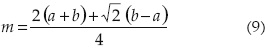
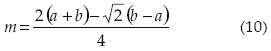
Por lo que al considerar los valores de p y q:

se obtienen, en ambos casos, las mismas expresiones para las estimaciones de la media y la varianza:

Por tanto, el valor del coeficiente de asimetría puede generar tres casos: a) donde el Cs < 0; b) donde Cs = 0, y c) donde Cs > 0. El modelo propuesto sólo será válido para cuando Cs ≠ 0. Cuando se esté en presencia de un Cs = 0 (función simétrica), el valor más probable será considerado como el valor promedio obtenido de la muestra de valores disponibles de costos para cada AGEB tipo.
Así pues, en caso de tener un Cs < 0, el valor más probable (m) será estimado por:

Este caso genera el valor más conservador del costo más probable y recomendado en caso de no contar con la estimación del Cs o con muy pocos valores de x para su estimación.
Análogamente, en caso de tener un Cs > 0, el valor más probable (m) será estimado por:

Finalmente, al igual que en el caso del costos máximo y mínimo, se construyó el modelo matemático correspondiente a la estimación del costo más probable por inundación.
Resultados y discusión
En primer lugar se identificaron las AGEB ubicadas en zonas inundables dentro del área de estudio, en este caso la cuenca Lerma-Chapala (figura 1b). En total se identificaron 183 unidades geográficas, dentro de las cuales se contabilizaron 125 AGEBs con un IM muy alto, 126 con IM alto, 106 con IM medio, 65 con IM bajo y 29 con IM muy bajo.
Con base en la información anterior, y la contenida en el SCINCE e IRIS-SCINCE II (INEGI, 2002, 2007), se elaboró una base de datos en función del IM, donde se incluyó el número de identificación del AGEB y el número de viviendas habitadas, así como el número de bienes existentes (radio, radio grabadoras, televisiones, videos, licuadoras, refrigeradores, lavadoras, teléfonos, calentadores, automóviles y computadoras). Adicionalmente, en el marco de este trabajo, se incluyeron en la base de datos otros bienes, como son los mobiliarios (cocina, comedor, sala y recámara) y los de ropa y calzado, los cuales no se contemplan en la información del SCINCE.
Una vez definidos los bienes existentes en una vivienda para un tipo de AGEB dado, así como su valor monetario, se determinó el porcentaje de afectación de estos bienes en función del nivel alcanzado del agua dentro de la vivienda (cuadro 1). Este análisis se realizó con el objetivo de tener una cuantificación más realista del valor del daño producido por el contacto directo con el agua. Una vez determinado el porcentaje de afectación, éste se multiplicó por el valor de cada uno de los bienes.
El valor obtenido de daños directos para una altura de lámina de agua y para una vivienda ubicada en un AGEB con un IM dado permitió, en un siguiente paso, estimar el costo máximo y el costo mínimo, simplemente identificando el valor más alto y el valor más bajo obtenido.
Adicionalmente, se calculó el coeficiente de asimetría (Cs) y, de este modo, elegir la función a emplear para estimar el costo más probable. Cabe mencionar que el caso más frecuentemente encontrado corresponde a un coeficiente de asimetría de signo negativo (Cs < 0). Posteriormente, se graficaron los costos estimados versus la altura de lámina de agua correspondiente, lo cual permitió obtener tres curvas: la de costo mínimo, la de costo máximo y la de costo más probable.
En el caso de una vivienda ubicada en un AGEB de IM muy alto, el primer paso consistió en identificar las AGEBs que presentan este IM y que se ubican en zonas inundables de la cuenca en estudio. Una vez identificadas, se determinó el número de viviendas habitadas para cada AGEB y el número de bienes existentes, posteriormente se asignó un precio unitario a cada bien.
A continuación, el precio unitario de cada bien se multiplicó por el número de bienes existente en cada AGEB y el valor obtenido representó el valor total del bien para cada una de las AGEBs identificadas.
El siguiente paso fue establecer los intervalos de altura de lámina de agua para definir de este modo el porcentaje de afectación que pudiera tener cada uno de estos bienes (cuadro 1). Para ello se consideró, en el caso de los electrodomésticos, la altura de ubicación del motor, y en el caso de los muebles, sus dimensiones promedio.
Las alturas de lámina de agua utilizadas fueron de 0.10, 0.20, 0.30, 0.50, 0.70, 1.00 y 2.50 m. No se definieron más alturas, ya que para la última, los daños totales alcanzan un valor del 100%
Una vez asignados los porcentajes de afectación, se calculó el valor del daño correspondiente con base en el costo de cada bien, de modo que se obtiene el valor en pesos de los daños económicos para cada altura de lámina de agua alcanzada y para cada una de las AGEBs identificadas. Estos daños totales se convirtieron en número de salarios mínimos, teniendo en cuenta que el promedio nacional de este salario equivale a $53.19 para el año 2009. El monto obtenido se dividió por el número de viviendas habitadas en cada una de las AGEBs identificadas, para de esta forma obtener el valor de los daños para una vivienda. Finalmente, se obtiene, para cada altura de lámina de agua, el monto de los daños económicos en una vivienda ubicada en una AGEB con IM muy alto, valorado en número de salarios mínimos.
Con estos datos se generó una gráfica (figura 3a), donde el eje horizontal corresponde a valores de altura de lámina de agua en metros y el eje vertical a los daños económicos en unidades de número de salarios mínimos. Con base en esta información se construyó un modelo matemático de tipo regresivo. El modelo elegido fue aquel que presentó el valor más alto del coeficiente de determinación (R2), que en este caso correspondió a un ajuste logarítmico, con un coeficiente de determinación de 0.82 para el caso del costo máximo, de 0.72 para el costo mínimo y de 0.74 para el costo más probable (cuadro 2). La ecuación del modelo logarítmico permite calcular los daños potenciales directos, en número de salarios mínimos, para una altura de lámina dada.
Esta gráfica tiene la particularidad de utilizar como unidades de medida el número de salarios mínimos. Esto permite que no pierda validez con el tiempo y pueda ser aplicada para cualquier año. En efecto, al actualizar cada año el valor del salario mínimo por parte del Consejo Nacional de Salarios Mínimos, también se actualizarían de forma automática las curvas encontradas.
También es posible notar, en la figura 3a, que a partir de una altura de lámina de agua de 0.50 m se produce un cambio en el comportamiento de las curvas. Esto es consecuencia de que para alturas de lámina mayor, todos los bienes son afectados prácticamente en un 100%.
Para viviendas ubicadas en un AGEB con un IM alto, el procedimiento para la construcción de las curvas es equivalente al caso anterior y la única diferencia estriba en que el costo de los bienes es superior como consecuencia de un ingreso económico más elevado. Las curvas obtenidas se presentan en la figura 3b. Para cada curva se obtuvo un ajuste logarítmico, con un R2 de 0.85 para la de costo máximo, de 0.80 para la de costo mínimo y de 0.84 para la de costo más probable (cuadro 2).
En el caso de una vivienda ubicada en un AGEB de IM medio, se tuvo en cuenta que en este tipo de vivienda existen más bienes que en los casos anteriores y que éstos tienen un costo mayor. También se consideró la existencia de viviendas con dos plantas, por lo que para este tipo se definieron alturas de lámina de agua de 0.10, 0.20, 0.30, 0.40, 0.50, 0.70, 1.00, 2.50, 2.60, 2.70, 2.80, 3.00, 3.20 y 3.50 metros.
Con base en los resultados obtenidos se generaron las curvas de daños por inundación correspondientes, las cuales se presentan en las figuras 3c y 3d. Para cada curva se definió un modelo de ajuste logarítmico, cuya ecuación, así como el valor del R2, se presentan en el cuadro 2.
La construcción de la curva de daños potenciales por inundación para viviendas localizadas en AGEBs de IM bajo y muy bajo se realizó de manera similar a la AGEB de IM medio, pero teniendo en cuenta que en estos tipos de viviendas los bienes existentes tienen un costo superior. Igualmente se subraya el considerar que la presencia de estas viviendas en zonas inundables suele ser mínima.
La figura 4 presenta las curvas de daños potenciales para una vivienda con una y dos plantas ubicada en un AGEB con un IM bajo y muy bajo, respectivamente, además de las curvas de ajuste encontradas. Las ecuaciones de los modelos, así como los coeficientes de determinación obtenidos se exponen en el cuadro 2.
A continuación se presenta un caso de estudio para mostrar paso a paso la implementación del método propuesto.
Etapa 1. Base de datos
En el marco geográfico de la cuenca Lerma-Chapla, se tomó como ejemplo la inundación que tuvo lugar en el municipio de Ocoyoacac, la cual fue provocada al desbordarse el río Chichipicas y la segunda laguna del río Lerma, fenómeno que generó una altura de lámina de agua de 0.30 m en el interior de las viviendas.
Una vez identificada la zona inundada, se determinaron las AGEBs afectadas y su IM. En este caso, las viviendas estaban localizadas en una sola AGEB (localidad San Pedro Cholula 150620023 AGEB 003-3) con un IM alto (IM = 0.10921).
Etapa 2. Curva de daños/altura de lámina de agua
Una vez que se estableció que las viviendas afectadas estaban ubicadas en un AGEB con IM alto, se seleccionaron las curvas correspondientes (figura 3b) y sus respectivas ecuaciones (cuadro 2), para proceder a la estimación de los costos por daños directos.
Etapa 3. Costo de inundación máximo, mínimo y más probable
Con base en los modelos matemáticos previamente establecidos fue posible estimar los costos máximo, mínimo y más probable ocasionados por daños directos en una vivienda para una lámina de agua de 0.30 m, es decir:
• DDHmáx = 289.63 Ln (0.30) + 801.56 = 453 número de SM/vivienda, que equivale a $24 095.
• DDHmín = 228.58 Ln (0.30) + 637.93 = 363 número de SM/vivienda, que equivale a $19 307.
• DDHmp = 280.51 Ln (0.30) + 777.60 = 440 número de SM/vivienda, que equivale a $23 403.
Estos valores se multiplicaron por el número de viviendas afectadas, que en este caso fueron 600. Así, el valor de los daños, considerando el costo máximo, estaría estimado en 271 800 número de SM, que equivale a $14 457 042; si se considera el costo mínimo, los daños se estimarían en 217 800 número de SM, que equivale a $11 584 782; y si se evalúa el costo más probable, éste sería de 264 000 número de SM, que equivale a $14 042 160. Comparando estas cifras, el costo máximo representa 2.9% más que el costo más probable y el costo mínimo 17.5% menos.
Con base en estas estimaciones, un tomador de decisiones puede plantear algunas medidas de prevención, el costo de éstas deberá ser menor o igual al encontrado como costo más probable. Esta misma cifra sirve de referencia, en términos financieros, como un indicador de la cuantía de recursos que debería liberar el Fonden (Fondo Nacional de Desastres) para cubrir los gastos de rehabilitación y reconstrucción de viviendas.
Para el caso del propietario de una vivienda afectada, es posible interpretar el valor de la estimación del costo más probable como un baremo económico para poder elaborar una solicitud ante una empresa aseguradora. Igualmente, la empresa aseguradora puede emplear este método como una herramienta para tasar las pérdidas económicas que se producirían por las afectaciones provocadas por una inundación al interior de una vivienda.
Por otro lado, si la implementación del método se realiza como un estudio a priori, se requiere información de las características de caudales para diferentes periodos de retorno y la altura máxima de agua alcanzada potencialmente en las zonas inundables, información que se obtiene con ayuda de un modelo hidrológico-hidráulico (Baró et al., 2007a). Para cada uno de los caudales se define la superficie afectada en la cuenca por efecto de la inundación y, con objeto de llevar a cabo la estimación de esta superficie, se tomaría como mapa base la cartografía de uso del suelo y el Modelo de Elevación Digital (MED) elaborados por el INEGI.
Posteriormente se localizan con ayuda del SCINCE, las AGEBs insertas en las zonas en estudio, generándose un nuevo mapa. Esta cartografía se sobrepone a cada uno de los mapas de las zonas afectadas por inundación de los diferentes escenarios de caudales analizados.
Una vez identificadas las AGEBs se determina su IM y se establece el número de viviendas afectadas por la inundación. Para ello se toma en cuenta la superficie total del AGEB, el número total de viviendas existentes en cada AGEB y se supone una distribución uniforme de viviendas. A partir de estos datos se calcula el número de viviendas para la superficie inundada dentro del AGEB. Con el IM de las AGEBs afectadas se emplean los modelos correspondientes a las curvas de daños potenciales y se realizan los cálculos necesarios para obtener la estimación del valor de los daños.
Es necesario desatacar que este método puede emplearse tanto de forma preventiva, para estimar los costos de una inundación aún no ocurrida, como también post-evento. Esto debido a que puede ser utilizado como un instrumento más realista para estimar el impacto por daños tangibles directos de las inundaciones en zonas habitacionales. Las estimaciones anteriores son útiles en las fases de planeación, emergencia, rehabilitación y reconstrucción, pues facilitan y aceleran el trabajo de las comisiones evaluadoras. Lo anterior se traduce en un ahorro de tiempo y en liberación de recursos de forma oportuna.
Otra ventaja del método propuesto es su uso como apoyo para la elaboración de cartografía de amenazas, peligro, vulnerabilidad y atlas de riesgos a diferentes escalas espaciales. Igualmente, los costos estimados bajo esta metodología pueden servir como un baremo económico para ser aplicado en la definición de políticas de gestión del riesgo, que normalmente se insertan en el presupuesto de desarrollo territorial municipal.
Conclusiones
Como contribución científica, el presente trabajo presenta un nuevo método de evaluación directa de los daños tangibles directos (máximo, mínimo y más probable) de una inundación en zonas habitacionales mediante el uso de curvas altura de inundación-daños, el cual puede ser empleado en la república mexicana. Esta propuesta considera bases de datos disponibles y de fácil acceso para todo el país, por dependencias federales, estatales y municipales. Los modelos de estimación de daños tangibles directos por inundación han sido construidos en función del número de salarios mínimos, con la finalidad de que dichos modelos puedan ser utilizados tanto para el estudio de inundaciones pasadas como las que podrían suceder en un futuro.
La evaluación del impacto económico tangible directo causado por una inundación constituye una importante herramienta práctica y orientadora para las instituciones públicas y privadas que intervienen en la gestión de eventos hidrometereológicos extremos, particularmente en la toma de decisiones para las diferentes etapas de prevención, emergencia, rehabilitación y reconstrucción. Este tipo de procesos permite un conocimiento más objetivo de las pérdidas que podrían presentarse, o haberse presentado, ante un evento de inundación futura o pasada, respectivamente. El método aquí propuesto facilitaría la definición de: a) mejores políticas públicas de uso del suelo al interior de los planes de desarrollo y ordenamiento territorial; b) una base de datos operacional y estandarizada para la toma de decisiones por los gobiernos municipales y los organismos de protección civil, Cruz Roja e incluso Cenapred; c) estrategias de mitigación de impactos por inundación, tales como ubicación de albergues, implementación de sistemas de alerta temprana, cadena de suministros durante la emergencia y campañas de información, así como diseño y adquisición de seguros contra inundación.
Esta propuesta constituye una metodología de análisis robusta, aplicable de forma estandarizada para el país y concebida como un soporte en la toma de decisiones en el proceso de planeación. Igualmente es un instrumento de estimación, lo más cercano posible a la realidad, de recursos para restablecer las condiciones de vida previas a la inundación. De cualquier forma, esta propuesta supera positivamente, y probablemente con mayor justicia para el erario público y el propietario afectado, las prácticas utilizadas hoy en día para tales fines en México.
Agradecimientos
Los autores agradecen el apoyo brindado por Semarnat-Conacyt para la realización de esta investigación (Proyecto: La valoración económica de la vulnerabilidad socioeconómica y demográfica ante inundaciones en la República Mexicana, claves: Conacyt 23478; UAEMex 2753/2009C), así como también por la beca de estudios de posgrado de la cual ha sido beneficiario el doctor José Emilio Baró. Los autores desean expresar su agradecimiento a los revisores por sus comentarios, los cuales han permitido enriquecer la propuesta metodológica presentada en este artículo.
Referencias
APARICIO, J. Hydrology of the Lerma Chapala watershed. En Hansen A.M. & van Afferden M (editors). The Lerma Chapala watershed: Evaluation and management. New York: Kluwer Academic, 2001, pp. 3-30. [ Links ]
APARICIO, J., MARTÍNEZ-AUSTRÍA, P.F., GÜITRON, A., and RAMÍREZ A.I. Floods in Tabasco, Mexico: a diagnosis and proposal for courses of action. Journal of Flood Risk Management. Vol. 2, 2009, pp. 132-138. [ Links ]
BARÓ, J.E., DÍAZ-DELGADO, C., ESTELLER, M.V. y CALDERÓN, G. Curvas de daños provocados por inundaciones en zonas habitacionales y agrícolas de México, Parte I. Propuesta metodológica. Ingeniería Hidráulica en México. Vol. XXII, núm. 1, 2007a, pp. 91-103. [ Links ]
BARÓ, J.E., DÍAZ-DELGADO, C., ESTELLER, M.V. y CALDERÓN, G. Curvas de daños provocados por inundaciones en zonas habitacionales y agrícolas de México, Parte II. Caso de estudio en la Cuenca Alta del río Lerma. Ingeniería Hidráulica en México. Vol. XXII, núm. 3, 2007b, pp. 71-85. [ Links ]
BOYLE, S.J., TSANIS, I.K., and KANAROGLOU, P.S. Developing Geographic Information Systems for land use impact assessment in flooding conditions. Journal of Water Resources Planning and Management. Vol. 124, 1998, pp. 89-98. [ Links ]
CONAGUA. Programa Hidráulico Regional 2002-2006 Lerma Santiago Pacifico Región VIII. México, D.F.: Semarnat-Comisión Nacional del Agua, 2005. [ Links ]
CENAPRED. Características e impactos socioeconómicos de los principales desastres en la República Mexicana en el año 2003. Serie: Impacto socioeconómico de los desastres en México. México, D.F.: Secretaría de Gobernación-Centro Nacional de Prevención de Desastres, 2004. [ Links ]
CENAPRED. Características e impactos socioeconómicos de los principales desastres en la República Mexicana en el año 2007. Serie: Impacto socioeconómico de los desastres en México. México, D.F.: Secretaría de Gobernación-Centro Nacional de Prevención de Desastres, 2009a. [ Links ]
CENAPRED. Características e impactos socioeconómicos de los principales desastres en la República Mexicana en el año 2008. Serie: Impacto socioeconómico de los desastres en México. México, D.F.: Secretaría de Gobernación-Centro Nacional de Prevención de Desastres, 2009b. [ Links ]
CNSM. Salarios mínimos y zonas geográficas [en línea]. México, D.F.: Comisión Nacional de Salarios Mínimos. Citado el 12 de febrero de 2009. Disponible para World Wide Web: http://www.csnm.org.mx. [ Links ]
CONAPO. Índice de marginación urbana 2000. México, D.F.: Consejo Nacional de Población, 2002. [ Links ]
CONAPO. Índice de marginación urbana 2005. México, D.F.: Consejo Nacional de Población, 2007. [ Links ]
COTLER, H., MAZARI, M. y DE ANDA, J. (editores). Atlas de la cuenca Lerma-Chapala. Construyendo una visión conjunta. México, D.F.: Semarnat, INE, UNAM, 2006, 195 pp. [ Links ]
DIAZ-DELGADO, C. La fonction bêta appliquée à l'analyse statistique d'événements extrêmes en hydrologie. Mémoire de Maîtrise. Québec: Département de Génie Civil, Faculté des Sciences et de Génie, Université Laval, 1988, 204 pp. [ Links ]
DUTTA, D., HERATH, S., and MUSIAKE, K. A mathematical model for flood loss estimation. Journal of Hydrology. Vol. 277, 2003, pp. 24-49. [ Links ]
EM-DAT. The international disaster database [en línea] Emergency Events Database. Université Catholique de Louvain, Brussels. Centre for research on the epidemiology of disaster (CRED) [citado el 18 de marzo de 2009]. Disponible para World Wide Web: www.emdat.be. [ Links ]
ENIGH. Encuesta Nacional de Ingresos y Gastos de los hogares [en línea]. INEGI. Gobierno de México [citado el 14 de febrero de 2009]. Disponible para World Wide Web: www.inegi.gob.mx. [ Links ]
GARCÍA, E. Modificación al Sistema de Clasificación Climática de Kôppen. 5a edición. México, D.F.: Instituto de Geografía, Universidad Nacional Autónoma de México, 2004. [ Links ]
GARCÍA, F., GARCÍA, N.M. y CAMBRANIS, R.M. Análisis de las inundaciones en México: caso particular, la inundación del 2003 sobre el río Lerma en el estado de Michoacán. Tláloc-AMH. Vol. 30, 2004, pp. 10-24. [ Links ]
GEG. Atlas del Agua del Estado de Guanajuato, Edición 2001 [en línea]. Guanajuato, México: Gobierno del Estado de Guanajuato [citado el 20 de mayo de 2009]. Disponible para World Wide Web: http://seia.guanajuato.gob.mx/atlas/index.htm. [ Links ]
GEJ. Sistema de Información Territorial Estatal de Jalisco [en línea] Zapopan, México: Gobierno del Estado de Jalisco [citado el 20 de diciembre de 2008]. Disponible para World Wide Web: http://iit.jalisco.gob.mx/. [ Links ]
GEM. Atlas de Inundaciones XV. Edición 2009. En CD. Toluca, México: Gobierno del Estado de México-Secretaría del Agua y Obra Pública-Comisión del Agua del Estado de México, 2009. [ Links ]
GEMICHOACAN. Atlas Estatal de Riesgo del Estado de Michoacán, 2008 [en línea] Morelia, Michoacán, México [citado el 20 de diciembre de 2008]. Disponible para World Wide Web: http://pcivil.michoacan.gob.mx/index.php?menu=InfInst&opc=AtlasRiesgos. [ Links ]
HERRERÍAS, R. Modelos probabilísticos alternativos para el método PERT. Aplicación al análisis de inversiones. II Reunión Anual de ASEPELT-ESPAÑA. Publicado en las Actas de Estudios de Economía Aplicada, Servicio de Publicaciones de la Universidad de Valladolid, Valladolid, España, 1988, pp. 89-112. [ Links ]
INEGI. SCINCE Sistema para la Consulta de Información Censal 2000. En CD. México, D.F.: Instituto Nacional de Estadística, Geografía e Informática, 2002. [ Links ]
INEGI. IRIS-SCINCE II Sistema para la consulta de Información Censal 2005. En CD. México, D.F.: Instituto Nacional de Estadística, Geografía e Informática, 2007. [ Links ]
JONKMAN, S.N., BOCKARJOVA, M., KOK, M., and BERNARDINI, P. Integrated hydrodynamic and economic modeling of flood damage in The Netherlands. Ecological Economics. Vol. 66, 2008, pp. 77-90. [ Links ]
JONKMAN, S.N. and VRIJLING, J.K. Loss of life due to floods. Journal of Flood Risk and Management. Vol. 1, 2008, pp. 4S-S6. [ Links ]
KOBIYAMA, M. and FABRIS-GOERL, R. Quantitative method to distinguish flood and flash flood as disasters. SUISUI Hydrological Research Letters. Vol. 1, 2007, pp. 1114. [ Links ]
LLAMAS, J., GARRIDO, R., CEDRAZ, M., y PEIXIOTO, H. Informaçoes matemáticas aplicadas a gestao de Recursos Hídricos. Salvador-Bahía Brasil: SRH/BA-SRH/MMAUFBA, 2001, pp. 139-184. [ Links ]
LUINO, F., CIRIO, C.G., BIDDOCCU, M., AGANGI, A., GIULIETO, W., GODOQUE, F., and NIGRELLI, G. Application of a model to the evaluation of flood damage Geoinformatica. Vol. 13. No. 3, 2009, pp. 339-353. [ Links ]
MATÍAS-RAMÍREZ, L.G., OROPEZA-OROZCO, O., LUGO HUBP, J. y JÁUREGUI-OSTOS, E. Análisis de las precipitaciones causa de las inundaciones de septiembre de 2003 en el sur del estado de Guanajuato, México. Investigaciones Geográficas. Vol. 64, 2007, pp. 7-25. [ Links ]
NASCIMENTO, N., MACHADO, M.L., BAPTISTA, M., and DE PAULA E SILVA, A. The assessment of damage caused by floods in the Brazilian context. Urban Water Journal. Vol. 483, 2007, pp. 195-210. [ Links ]
PENNING-ROWSELL, E.C. and CHATTERTON, J.B. The benefits of flood alleviation. A manual of assessment techniques. London: U.K. Belhaven Technical Press, 1977. [ Links ]
PROFECO. Precio para el periodo de 1 al 16 de abril de 2010 [en línea] [citado el 5 de mayo de 2009]. Procuraduría Federal de Consumidor. Disponible para World Wide Web: http://profeco.gob.mx. [ Links ]
RENYI, L. and NAN, L. Flood area and damage estimation in Zhejiang, China. Journal of Environmental Management. Vol. 66, 2002, pp. 1-8. [ Links ]
RODRÍGUEZ, J., VOS, F., BELLOW R., and GUHA-SAPIR, D. Annual Disaster Statistical Review 2008 The numbers and trends. Melin, Belgium: Centre for Research of the Epidemiology of Disasters (CRED), Université Catholique de Lovaina, 2009, 33 pp. [ Links ]













