Servicios Personalizados
Revista
Articulo
Indicadores
-
Citado por SciELO -
Accesos
Links relacionados
-
Similares en
SciELO
Compartir
Tecnología y ciencias del agua
versión On-line ISSN 2007-2422
Tecnol. cienc. agua vol.2 no.1 Jiutepec ene./mar. 2011
Artículos técnicos
Utilización de las ventosas para la expulsión del aire durante el llenado de las tuberías. Comportamiento adiabático frente a isotermo
Using air valves for air release during pipeline filling. Adiabatic vs. isothermal behavior
Vicente S. Fuertes-Miquel, Pedro L. Iglesias-Rey, P. Amparo López-Jiménez, F. Javier Martínez-Solano y Gonzalo López-Patiño
Universidad Politécnica de Valencia, España.
Dirección institucional de los autores
Vicente S. Fuertes-Miquel
Doctor en Ingeniería Industrial
Profesor Titular de Universidad
Área de Mecánica de Fluidos
Departamento de Ingeniería Hidráulica y Medio Ambiente
Universidad Politécnica de Valencia
Camino de Vera s/n
46022 Valencia, España
Teléfono: +34 (96) 3879 890
Fax: +34 (96) 3877 981
vfuertes@gmmf.upv.es
Pedro L. Iglesias-Rey
Doctor en Ingeniería Industrial
Profesor Titular de Universidad
Área de Mecánica de Fluidos
Departamento de Ingeniería Hidráulica y Medio Ambiente
Universidad Politécnica de Valencia
Camino de Vera s/n
46022 Valencia, España
Teléfono: +34 (96) 3879 890
Fax: +34 (96) 3877 981
piglesia@gmmf.upv.es
P. Amparo López-Jiménez
Doctora en Ingeniería Industrial
Profesora Titular de Universidad
Área de Ingeniería Hidráulica
Departamento de Ingeniería Hidráulica y Medio Ambiente
Universidad Politécnica de Valencia
Camino de Vera s/n
46022 Valencia, España
Teléfono: +34 (96) 3879 890
Fax: +34 (96) 3877 981
palopez@gmmf.upv.es
F. Javier Martínez-Solano
Doctor en Ingeniería Industrial
Profesor Titular de Universidad
Área de Mecánica de Fluidos
Departamento de Ingeniería Hidráulica y Medio Ambiente
Universidad Politécnica de Valencia
Camino de Vera s/n
46022 Valencia, España
Teléfono: +34 (96) 3879 890
Fax: +34 (96) 3877 981
jmsolano@gmmf.upv.es
Gonzalo López-Patiño
Profesor Titular de Escuela Universitaria
Área de Mecánica de Fluidos
Departamento de Ingeniería Hidráulica y Medio Ambiente
Universidad Politécnica de Valencia
Camino de Vera s/n
46022 Valencia, España
Teléfono: +34 (96) 3879 890
Fax: +34 (96) 3877 981
glpatin@gmmf.upv.es
Recibido: 31/03/09
Aprobado: 07/05/10
Resumen
Las conducciones con perfil irregular presentan una serie de particularidades que no pueden ser ignoradas, como puede ser la posible acumulación de bolsas de aire en los puntos altos. Para evitar los problemas derivados de esta situación se recurre a la instalación de ventosas (también llamadas válvulas de aire), las cuales permiten la entrada y salida de aire. Pero el aire introducido en la conducción debe ser expulsado y ello debe hacerse de forma adecuada para evitar sobrepresiones indeseables. El aire atrapado entre dos columnas de agua en una conducción a presión, con o sin ventosas, puede provocar importantes picos de presión cuando se arranca la instalación. En el presente trabajo se pretende estudiar y modelar el problema del llenado de tuberías con aire atrapado y ventosas instaladas en los puntos altos, para poder predecir el transitorio que se producirá y tratar de evaluar los peligrosos picos de presión que pudieran generarse. Se utiliza el modelo rígido para analizar el comportamiento de n bolsas de aire atrapado en tuberías de perfil irregular con vi ventosas instaladas. También se revisan las condiciones de contorno de las ventosas en su fase más crítica, la de expulsión de aire. El comportamiento isotermo del aire atrapado, tal cual se propone en los textos estándar, se compara con el comportamiento adiabático que, sin duda, es una hipótesis mucho más realista en el supuesto de transitorios muy rápidos.
Palabras clave: transitorios hidráulicos, aire atrapado, ventosas (válvulas de aire), modelos matemáticos.
Abstract
Pipelines with irregular profiles exhibit a number of peculiarities that cannot be ignored, such as the likely accumulation of air at elevated points. To avoid the risks inherent to the air pockets use is made of air valves, which admit and release air. In any case, air into the pipe must be eventually vented out. But, to avoid undesirable overpressures it must be vented in a controlled way, since, with or without air valves, an air pocket between two liquid columns may cause important peak pressures, especially on the installation start-up. In this paper, the filling of a pipeline with air valves installed at the elevated points and with entrapped air is modelled. The aim is to predict the transient phenomena likely to occur and assess the peak pressures that can be developed. To analyze the behavior of n trapped air pockets in a pipeline of irregular profile with vi air valves, use is made of the so-called rigid model. In this paper, boundary conditions for the most critical function of air valves (the outlet air phase) are reviewed. The isothermal behavior, proposed by standard literature, of the trapped air into the pipe is compared with the adiabatic process, a more realistic approach for fast transients.
Keywords: hydraulic transients, entrapped air, air valves, mathematical models.
Introducción
El análisis del flujo transitorio en los sistemas hidráulicos a presión presenta grandes dificultades a causa de la complejidad intrínseca del proceso y por las innumerables configuraciones distintas que pueden presentarse, cada una de ellas con sus propias particularidades. Si el estudio del flujo transitorio con un único fluido y una única fase ya es complejo, mucho más lo es el análisis de los transitorios hidráulicos con aire atrapado, donde se cuenta con la presencia de dos fluidos (aire y agua) en dos fases distintas (gaseosa y líquida).
Son muchas las situaciones en las que nos podemos encontrar con aire en los sistemas hidráulicos. El aire puede estar presente dentro de una conducción por motivos muy variados, tanto intencionados como accidentales: liberación de aire disuelto, eventuales vórtices en la aspiración de las bombas, operación de ventosas (también llamadas válvulas de aire) admitiendo aire, roturas de la tubería o pequeñas fisuras en regiones de presión negativa, etcétera.
Otro de los motivos que da lugar a la presencia de aire en las conducciones es la interrupción temporal del servicio de suministro. Al interrumpir el servicio, como ninguna instalación es perfectamente estanca (siempre se fuga algo de agua a través de las válvulas, juntas, acometidas, etcétera) y, además, los usuarios pueden tener abiertos sus puntos de consumo, se inicia un vaciado de la instalación que ocasiona presiones manométricas negativas en los máximos relativos de la conducción y, con ello, se produce la entrada de aire, acumulándose en los puntos altos.
Así pues, interrupción temporal en conducciones de perfil irregular genera siempre problemas de aire atrapado. La puesta en funcionamiento de la red de distribución debe hacerse con muchísimo cuidado (por ejemplo, mediante la lenta apertura de válvulas, permitiendo así una expulsión lenta y controlada del aire a través de las ventosas dispuestas en los lugares adecuados) y, aún con todas estas precauciones, los problemas y las roturas son habituales.
Las bolsas de aire atrapado en las conducciones a presión constituyen una fuente de numerosos problemas, que pueden llegar incluso a ser catastróficos para la instalación. Evidentemente, uno de los principales problemas que puede provocar la acumulación de aire atrapado entre dos columnas de agua es la generación de importantes sobrepresiones durante los procesos de arranque de las instalaciones, tal y como atestiguan los numerosos casos descritos en la bibliografía (Hope y Papworth, 1980; Jönsson, 1985; Betâmio de Almeida, 1991; Locher y Wang, 1992; etcétera).
El aire atrapado entre dos columnas de agua en una conducción a presión constituye un motivo de preocupación por las importantes sobrepresiones que pueden generarse con ocasión del arranque de la instalación, independientemente de la presencia o no de ventosas. Por ello, el conocimiento físico del problema planteado y la posibilidad de evaluar los picos de presión que potencialmente pueden generarse presenta un indudable interés práctico.
Para lograr estos objetivos, es fundamental disponer de herramientas adecuadas y modelos matemáticos fiables que permitan la simulación de los transitorios hidráulicos con aire atrapado de la forma más realista posible.
Hay que constatar que, en general, es muy difícil estimar de forma exacta la magnitud de las sobrepresiones que puede generar la compresión de las bolsas de aire atrapado en las conducciones. La solución depende no solamente de la cantidad de aire atrapado, sino también de su localización y de su forma. Debe resaltarse que, en ocasiones, estas sobrepresiones pueden llegar a ser varias veces mayores que la presión normal del sistema, con el peligro que ello puede entrañar para la seguridad y fiabilidad de la instalación.
En cualquier caso, es evidente que el aire presente en la instalación (por uno u otro motivo) deberá ser expulsado, lo cual deberá realizarse con sumo cuidado para que, durante este proceso, no se generen golpes de ariete indeseados que puedan ser perjudiciales para la instalación. Una posible solución para evitar estos picos de presión debidos a la presencia de aire es la utilización de ventosas, las cuales permiten que el aire almacenado en la instalación escape libremente a la atmósfera (evitando o, al menos, limitando su brusca compresión). No obstante, hay que decir que la presencia de ventosas no siempre ofrece la fiabilidad necesaria y puede ocasionar situaciones más problemáticas que las que pretendía evitar. Una mala selección de las mismas, un funcionamiento incorrecto o una deficiente respuesta como consecuencia de la ausencia de mantenimiento puede dar lugar a graves problemas.
Existen diferentes tipos de ventosas (también llamadas válvulas de aire): ventosas de gran orificio para la admisión y expulsión de grandes cantidades de aire; ventosas de pequeño orificio o purgadores para la expulsión de pequeñas cantidades de aire cuando hay presión en la tubería; ventosas de vacío que permiten la expulsión de aire, pero no la admisión; abductores que permiten la admisión de aire, pero no la expulsión; ventosas de cierre lento, etcétera.
En el presente trabajo se propone un modelo matemático para el análisis de los transitorios hidráulicos generados por bolsas de aire atrapado en tuberías de perfil irregular, con ventosas instaladas en los puntos altos. Una vez presentado el modelo propuesto, se analiza una instalación donde hay instalada una ventosa de gran orificio, para así comparar el transitorio generado con el que se produciría en la misma instalación sin la presencia de la ventosa.
Finalmente, se compara el comportamiento isotermo del aire en el interior de la tubería (hipótesis generalmente adoptada) con el comportamiento adiabático (más próximo a la realidad cuando el transitorio sea muy rápido).
Llenado de tuberías con aire atrapado
Generalmente, los transitorios hidráulicos se analizan considerando que no se alcanza la presión de vapor y que no hay presencia de aire atrapado. Estas discontinuidades en las columnas líquidas pueden ser la causa de importantes problemas, entre otros, grandes variaciones de presión. Siempre que sea posible, los sistemas hidráulicos deben diseñarse para evitar que se produzcan ambas circunstancias. Sin embargo, esto no siempre es factible. Si no puede evitarse la presencia de vapor y/o aire en las instalaciones, deberán realizarse cuidadosos estudios para evaluar los posibles peligros y tomar las precauciones necesarias para evitar graves problemas.
El trabajo aquí presentado se centra en el análisis de transitorios hidráulicos con aire atrapado entre columnas de agua. La frecuencia e importancia de este problema ha originado que se le preste notable atención en la literatura técnica. Así, Gandenberger (1950) describe hace más de cincuenta años un buen número de casos de elevados picos de presión originados por la presencia de aire atrapado en tuberías.
Es interesante destacar que el tamaño de la bolsa de aire condiciona de manera importante las máximas sobrepresiones que se alcanzan en la conducción (Fuertes, 2001). Cuanto menor es el tamaño de la bolsa de aire más brusca en la compresión que sufre al arrancar la instalación y, en consecuencia, mayor es el pico de presión y menor el tiempo que tarda en alcanzarse dicho máximo. Así pues, las pequeñas bolsas de aire que se comprimen en gran medida y muy rápidamente son mucho más perjudiciales para la instalación que las bolsas de mayor tamaño, las cuales se comprimen en mucha menor medida y mucho más lentamente.
El modelo matemático que se propone a continuación incluye la posibilidad de considerar la presencia de ventosas instaladas en diversos puntos de la conducción. En trabajos precedentes (Fuertes et al., 1998; Izquierdo et al., 1999; Fuertes, 2001) se ha desarrollado un modelo que permite el estudio de los transitorios hidráulicos generados por n bolsas de aire atrapado en tuberías de perfil irregular (figura 1). Lógicamente, cuando no se incluye la presencia de ventosas (bien seleccionadas y bien ubicadas) se está analizando la situación más desfavorable y, por tanto, la que mayores picos de presión ocasiona. En cualquier caso, hay que recordar que si las ventosas están mal dimensionadas o mal ubicadas los problemas pueden agravarse.
La situación mostrada en la figura 1 (columna de agua, bolsa de aire, columna de agua, bolsa de aire, etcétera) puede generarse, por ejemplo, durante una interrupción temporal del servicio. Puesto que las redes no son perfectamente estancas, cuando la instalación no está en funcionamiento, parte del agua que hay en el interior de las tuberías va a perderse a través de los defectos de la instalación. Esta situación va a generar columnas de agua en los puntos bajos de la instalación y bolsas de aire en los puntos altos.
En la inmensa mayoría de problemas con aire atrapado, los efectos elásticos de líquido y tubería pueden ser despreciados. Cuanto mayor sea el tamaño de las bolsas de aire y/o cuanto menor sea la longitud de las columnas de agua, menor será el error cometido al despreciar la elasticidad del líquido. En consecuencia, en la gran mayoría de los casos puede utilizarse el modelo rígido para analizar este tipo de transitorios (Chaudhry, 1989; Abreu et al., 1991; Thorley, 1991; Abreu et al., 1999; etcétera). En general, salvo que el tamaño de las bolsas de aire sea muy pequeño, el modelo rígido proporciona resultados con suficiente precisión.
Por otro lado, en el modelo propuesto para el análisis de los transitorios con aire atrapado se ha utilizado como hipótesis el modelo pistón. Este modelo es característico de los transitorios rápidos, donde puede considerase que la interfase gas-líquido coincide con la sección recta de la tubería, de forma que en la conducción hay tramos completamente llenos de aire y otros que se encuentran ocupados totalmente por el agua. Los parámetros más determinantes para asumir esta suposición son la velocidad del flujo, el diámetro de la conducción y la pendiente de la tubería. Lógicamente, cuanto mayor sea la velocidad, menor el diámetro y mayor la pendiente ascendente, más realista será la aplicación de este modelo, el cual considera una frontera aire-agua perfectamente definida.
El modelo matemático que se presenta se fundamenta en las dos hipótesis anteriormente comentadas: por un lado, la utilización del modelo rígido (despreciando los efectos elásticos del sistema), y por otro, la consideración del modelo pistón (suponiendo una frontera entre aire y agua perfectamente clara).
El análisis de transitorios hidráulicos con bolsas de aire, sin incluir la presencia de ventosas, ha sido estudiado con cierto detalle por los autores. En Fuertes et al. (1999) se realiza un exhaustivo análisis dimensional del problema, con objeto de identificar los parámetros más significativos del fenómeno estudiado y obtener así unas gráficas adimensionales que permitan estimar de forma sencilla las presiones máximas que deberá soportar la instalación.
Todo modelo teórico necesita ser validado por medidas experimentales que pongan de manifiesto su utilidad. Para validar el modelo, se ha montado un equipo experimental en los laboratorios de la Universidad Politécnica de Valencia (figura 2), España, donde se han realizado diferentes ensayos (Fuertes et al., 2000; Fuertes, 2001) y se han comparado los resultados obtenidos con los que proporciona el modelo matemático propuesto.

El equipo experimental se diseñó para estudiar el llenado de una conducción con bolsas de aire atrapado con un doble objetivo: a) por un lado, validar los resultados teóricos del modelo propuesto y b) por otro lado, determinar el valor del índice politrópico k que mejor caracteriza el comportamiento de las bolsas de aire atrapado.
En relación con esta última cuestión, tras realizar un análisis detallado, se concluye que el coeficiente politrópico no es constante (varía con las características de la instalación y con las particularidades del transitorio). Además, incluso varía durante el desarrollo de un transitorio concreto. Así pues, no es posible generalizar el uso de uno u otro valor del exponente politrópico k. En la bibliografía nos encontramos con todos los valores posibles, desde k = 1 (proceso isotermo) hasta k = 1.4 (proceso adiabático). En general, puede afirmarse que cuanto más lento sea el transitorio, más realista será la suposición de una evolución isoterma (k = 1); mientras que para los procesos rápidos, la hipótesis de una evolución adiabática (k = 1.4) proporcionará mejores resultados. Efectivamente, si el transitorio es muy rápido, no hay tiempo suficiente para que se produzca la transferencia de calor hacia el exterior y la evolución del aire es prácticamente adiabática.
En muchos trabajos se propone utilizar un valor medio k = 1.2. Este mismo valor era asumido por Martin (1976) hace algunos años para el análisis de tuberías con bolsas de aire atrapado. Sin embargo, más recientemente, Lee y Martin (1999) presentan resultados experimentales para bolsas de aire atrapado, pero en una tubería horizontal, apuntando que el primer pico de presión se ajusta mucho mejor con un exponente politrópico k = 1.4 (en este caso, se trataba de transitorios muy rápidos).
Tras realizar los ensayos y comparar los resultados, puede afirmarse que la concordancia entre los valores experimentales medidos por los transductores y los obtenidos con el modelo matemático es muy buena durante los primeros instantes del transitorio, lo cual permite afirmar que el modelo matemático propuesto es válido. Debe resaltarse que los máximos picos de presión se alcanzan en los momentos iniciales del transitorio.
En los ensayos realizados en los laboratorios de la Universidad Politécnica de Valencia, al tratarse de transitorios muy rápidos, con un orden de magnitud de unos pocos segundos, independientemente de los valores de presión, la evolución del aire atrapado puede modelarse mediante un coeficiente politrópico k = 1.4. De hecho, dicho valor es el que hace que los resultados del modelo matemático se ajusten mucho mejor a las medidas experimentales.
Utilización de las ventosas para la expulsión del aire
Para evitar los numerosos problemas derivados de la presencia de bolsas de aire atrapado, es habitual la colocación de ventosas en diversos puntos de la instalación. Estas ventosas permiten la salida del aire al exterior cuando las bolsas se comprimen, reduciendo así los picos de presión que se alcanzan y suavizando el transitorio que se genera. Sin embargo, es muy importante tener bien claro que la presencia de ventosas no siempre ofrece la fiabilidad esperada y puede ser la causa de graves problemas.
Efectivamente, a pesar de las indudables ventajas que tiene la utilización de ventosas, también presenta una serie de problemas o dificultades. Por ejemplo, el dimensionado y selección de las ventosas debe realizarse con muchas precauciones. A la enorme dificultad que ya tiene la estimación con una cierta exactitud de los caudales de aire que la ventosa debe expulsar o admitir, se une el hecho de que el sobredimensionado de la misma, sobre todo en su etapa de expulsión, puede dar origen a elevadas sobrepresiones, de manera que tan peligroso es seleccionar una ventosa demasiado pequeña como demasiado grande.
Otro problema que presentan las ventosas es su modelación de forma adecuada, tanto estática como dinámicamente. En cuanto a la caracterización estática, los fabricantes (aunque no todos) suelen ofrecer las curvas características de sus ventosas en los catálogos correspondientes, pero en muchos casos los datos facilitados no suelen ser muy fiables.
En diversos laboratorios, incluyendo entre ellos la Universidad Politécnica de Valencia (Fuertes, 2001), se han realizado ensayos estáticos de diferentes ventosas y los resultados obtenidos presentan, generalmente, importantes discrepancias respecto a los datos facilitados por los fabricantes en sus catálogos. Esta circunstancia puede dar lugar a problemas de gran importancia, como consecuencia de un dimensionado incorrecto de la ventosa. Lógicamente, esta selección inadecuada viene provocada por la utilización de curvas características erróneas.
Por otro lado, en lo que se refiere a la caracterización dinámica de las ventosas, la situación todavía es mucho peor, puesto que prácticamente no existe información al respecto. Los fabricantes ignoran totalmente este aspecto, pero incluso desde el punto de vista de la investigación queda mucho por hacer. Los valores de sus umbrales y tiempos de respuesta nadie los suministra y, de momento, existen muy pocos estudios al respecto.
Además de la dificultad que presenta el dimensionado correcto de las ventosas y la poca fiabilidad de las curvas características facilitadas por los fabricantes, existen otros problemas como, por ejemplo, el llamado "cierre dinámico" de la ventosa, es decir, el cierre de la ventosa causado por un efecto sustentador sobre el flotador y que se produce antes de la llegada de la columna de agua, dejando así una peligrosa bolsa de aire en el interior de la tubería.
Otra cuestión a tener en cuenta es la poca relación existente entre el diámetro nominal de la ventosa (generalmente coincide con el diámetro de conexión) y la capacidad de expulsión de la misma, con todos los problemas que ello puede generar a la hora de seleccionar la ventosa adecuada.
También es importante destacar que muchas veces se realiza un mantenimiento inadecuado o incluso inexistente, lo cual puede provocar un funcionamiento incorrecto de la ventosa en el momento en el que sea necesaria su actuación.
Así pues, parece claro que la presencia de ventosas en las instalaciones es más que recomendable, pero no garantiza totalmente su seguridad. Por todas las circunstancias ya comentadas, las ventosas pueden llegar a generar problemas incluso más graves que los que pretendían solucionar.
Es por todo ello que parece de gran interés disponer de un modelo matemático que permita simular el comportamiento de la instalación durante el llenado de la misma y la expulsión del aire a través de las ventosas. Dicho modelo, tal y como puede comprobarse en el ejemplo que se presenta más adelante, ayuda a resolver algunos problemas que presenta el uso de las ventosas.
Modelo matemático incluyendo ventosas
Se considera una conducción de perfil irregular con puntos altos donde pueden instalarse ventosas para permitir la salida y entrada de aire durante las operaciones de llenado y vaciado de la instalación (figura 3). Se presenta a continuación un modelo matemático general válido para el análisis de los transitorios hidráulicos generados por n bolsas de aire atrapado en tuberías de perfil irregular con vi ventosas instaladas.

Si se pretende estudiar el llenado de la instalación, es muy importante modelar bien el comportamiento de las ventosas en la fase de expulsión. Los textos clásicos (Wylie y Streeter, 1993; Chaudhry, 1987) suponen un comportamiento isotermo para el aire en el interior de la tubería, mientras que el cálculo de la masa de aire saliente a través de la ventosa se realiza con las expresiones del flujo isentrópico, características de un transitorio rápido sin intercambio de calor. La rapidez del transitorio puede condicionar el comportamiento del aire en el interior de la tubería, por lo que la evolución puede que sea, asimismo, adiabática. Como se verá más adelante, los resultados muestran diferencias significativas, según se considere un comportamiento isotermo o adiabático.
En otros trabajos, el comportamiento del aire atrapado en tuberías ha sido modelado para diferentes valores de k, evidenciándose (Abreu et al., 1991) que los mayores picos de presión se alcanzan para evoluciones isotermas (k = 1), aun cuando no hay criterios establecidos sobre cuán rápido debe ser el transitorio para no considerar el intercambio de calor. Los datos experimentales disponibles en la literatura (Lee y Martin, 1999; Fuertes et al., 2000), dadas las reducidas medidas de los laboratorios, corresponden a transitorios de escasos segundos de duración. Por ello, en estos casos, el exponente que mejor se suele ajustar a los resultados experimentales es k = 1.4.
Sin embargo, en instalaciones de dimensiones mayores, donde el llenado de las tuberías necesita varios minutos, puede considerarse un comportamiento más próximo al isotermo. Es por ello que a la hora de caracterizar el comportamiento de las bolsas de aire durante el transitorio, con independencia de que futuros ensayos en el laboratorio puedan aportar luz definitiva sobre el tema, suele admitirse una evolución isoterma. Esta hipótesis está basada en que el flujo de aire saliendo por la ventosa ralentiza de manera significativa el proceso de compresión. Obviamente, ésta es una justificación tan solo cualitativa y, para tener más información al respecto, habría que profundizar en el tema y realizar medidas experimentales.
Así pues, las principales hipótesis empleadas para el desarrollo del modelo son:
• Análisis del transitorio mediante la aplicación del modelo rígido, lo cual supone despreciar la elasticidad del sistema.
• Interfases aire-agua perfectamente definidas y coincidentes en todo instante con la sección recta de la tubería.
• En principio se supone una evolución isoterma del aire atrapado en la conducción (al menos, mientras la ventosa está abierta). Más adelante se procederá a comparar el comportamiento isotermo con un posible comportamiento adiabático.
En estas condiciones, las ecuaciones básicas que modelan el sistema hidráulico que se pretende estudiar son las que se describen a continuación:
Para la columna de llenado se tienen dos ecuaciones:
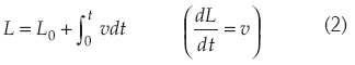
1. Ecuación del modelo rígido que caracteriza el movimiento de la columna de llenado impulsada por la fuente de energía:

donde v es la velocidad de la columna de llenado; t, el tiempo; p0*, la presión absoluta aguas arriba de la conducción y p1* la presión absoluta de la bolsa de aire; ρ, la densidad del agua; L, la longitud de la columna de llenado; g, la aceleración de la gravedad; ∆z, el desnivel entre el principio y el final de la columna de llenado; ƒ, el factor de fricción de Darcy-Weisbach, y D es el diámetro interior de la tubería.
2. Posición de la columna de llenado:

siendo L0 la longitud inicial de la columna de llenado.
Para la bolsa de aire se tienen tres ecuaciones:
3. Evolución de la bolsa de aire (en principio, se acepta la hipótesis clásica que supone un comportamiento isotermo, T = constante):

donde ρ1 es la densidad del aire en el interior de la tubería; p1,0*, la presión absoluta inicial de la bolsa de aire; ρ1,0, la densidad inicial del aire en el interior de la tubería; R, la constante del gas en la ecuación de los gases perfectos, y T es la temperatura del aire en el interior de la tubería.
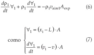
4. Ecuación de continuidad para la bolsa de aire (suponiendo que la densidad del aire en el interior de la tubería ρ1 y en la sección de salida de la ventosa ρaire1 son iguales):

siendo m1 la masa de aire en el interior de la tubería, vaire1 la velocidad de expulsión del aire y Aexp la sección de expulsión de la ventosa. Operando la expresión anterior, se tiene:

donde ∀1 es el volumen de aire.

donde x1 es la posición del principio de la columna de bloqueo, A es el área de la sección recta de la tubería y v1 es la velocidad de la columna de bloqueo.

5. Ecuación que modela el comportamiento de la ventosa. Durante el proceso de llenado de la conducción, lo recomendable es que la ventosa de gran orificio trabaje en la zona de flujo subsónico (p1* < 1.918 bar). El comportamiento de la ventosa en la zona subsónica se ajusta muy bien a una sencilla expresión que relaciona el caudal de aire expulsado Qaire1 en condiciones normales (ρN = 1.205 kg/m3) con la presión existente en el interior de la tubería p1*:

siendo cexp el coeficiente de flujo para la fase de expulsión (zona subsónica) y p*atm la presión atmosférica absoluta. De la expresión anterior puede obtenerse la velocidad de expulsión del aire vaire1:

Si la operación de llenado fuera un proceso perfectamente controlado, ésta se llevaría a cabo lentamente y la ventosa de gran orificio seguro que trabajaría (o debería trabajar) en la zona subsónica. Sin embargo, cuando el llenado de la conducción se realiza de forma más o menos brusca, es muy posible que la presión en la tubería supere el límite de flujo subsónico (p1* ≥ 1.918 bar), con lo que la ventosa pasaría a funcionar en condiciones sónicas.
Para la columna de bloqueo se tienen dos ecuaciones:
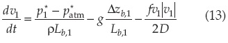
6. Ecuación del modelo rígido que caracteriza el movimiento de la columna de bloqueo:

donde Lb,1 es la longitud de la columna de bloqueo y ∆zb,1 es el desnivel entre el principio y el final de la columna de bloqueo.
7. Posición de la columna de bloqueo:

siendo x1,0 la posición inicial del principio de la columna de bloqueo.
Así pues, para una única bolsa de aire y una única ventosa, se tiene un sistema formado por siete ecuaciones. La resolución de dicho sistema, junto con las condiciones iniciales y las condiciones de contorno adecuadas (presión aguas arriba y presión aguas abajo de la conducción), permite determinar las siete incógnitas del problema planteado:
• Columna de llenado: velocidad v y posición L.
• Bolsa de aire: velocidad de expulsión vaire1, presión p1* y densidad ρ1.
• Columna de bloqueo: velocidad v1 y posición x1.
Este sistema de ecuaciones es válido tan sólo hasta que la columna de llenado alcance la posición de la ventosa. En ese momento, el empuje del agua hará que el flotador ascienda y la ventosa cerrará, con lo que se anulará la velocidad de expulsión de aire (vaire1 = 0).
En esta nueva situación desaparece del sistema la ecuación que modela el comportamiento de la ventosa (12), quedando un sistema de seis ecuaciones con seis incógnitas (v, L, p1*, ρ1, v1 y x1), aunque puede prescindirse de la ecuación de continuidad para la bolsa de aire (9), puesto que ahora no es necesario calcular la densidad del aire ρ1, con lo que la ecuación (3) pasaría a ser:

En la formulación aquí presentada se mantiene la hipótesis de evolución isoterma cuando se produce el cierre de la ventosa y se tiene una bolsa de aire atrapado, aunque no habría ningún problema en considerar una evolución politrópica de coeficiente k.
El sistema de ecuaciones presentado fácilmente se generaliza para varias bolsas de aire y varias ventosas. El caso más general que puede plantearse, n bolsas de aire atrapado en una tubería de perfil irregular con vi ventosas instaladas, consiste en resolver un sistema de 2 + 3n + 2vi ecuaciones. Para la resolución numérica de este sistema se ha utilizado el método adaptativo de Runge-Kutta de quinto orden, puesto que se adapta muy bien a las peculiaridades de este problema.
Ejemplo de aplicación
Se va a utilizar el modelo propuesto para estudiar el llenado de una instalación con dos bolsas de aire y una ventosa instalada en el punto elevado del perfil. Concretamente, se considera la pequeña impulsión montada en los laboratorios de la Universidad Politécnica de Valencia (figura 4). Dicha instalación es alimentada mediante una bomba (no aparece en la figura, puesto que en la instalación real se encuentra en la parte posterior del panel) y descarga a un depósito elevado en su extremo de aguas abajo. Se trata de una impulsión con una longitud total Ltotal = 8.62 metros, diámetro interior D = 18.8 mm y factor de fricción ƒ = 0.02. Una vez se ha establecido el régimen permanente, el caudal es Qperm = 0.95 l/s (con una velocidad vperm = 3.44 m/s).
Supóngase que tras una parada de la instalación se acumula una cierta cantidad de aire dentro de la tubería, lo que origina la presencia de bolsas de aire atrapado en los puntos altos: una primera bolsa de aire justo aguas abajo de la electroválvula y otra bolsa de aire en el tramo donde está instalada la ventosa (en el tramo final de la instalación no hay bolsa de aire, puesto que la descarga al depósito se realiza por su parte superior). Cuando se proceda a un nuevo arranque de la instalación, la conducción estará llena de agua tan sólo parcialmente y el resto estará ocupado por aire. Se pretende estudiar el transitorio que se genera ante esta situación y los picos de presión que se alcanzan, comparando los resultados con y sin la instalación de una ventosa.
Para ello, se instala una ventosa en el punto más elevado de la conducción, de manera que permita la salida a la atmósfera del aire acumulado en el interior de la tubería. Las características principales de esta ventosa se muestran en el cuadro 1.

Resolviendo numéricamente el sistema de ecuaciones que modela el llenado de la instalación se obtiene la evolución del transitorio que se muestra en la figura 5.

A la vista de las gráficas, se aprecia claramente el efecto de la ventosa. Inicialmente, la posición de la segunda bolsa de aire coincide con el tramo donde se encuentra instalada la ventosa, de forma que la ventosa se encuentra abierta y comienza a expulsar aire hasta que llega la columna de agua correspondiente (t = 0.46 s). Durante todo este tiempo, y gracias a la presencia de la ventosa, la presión de la segunda bolsa de aire evoluciona lentamente. La explicación es muy sencilla. Como consecuencia del llenado de la instalación, la bolsa de aire se comprime, lo que origina elevados picos de presión cuando no hay ventosas en la instalación. Con la presencia de la ventosa, lo que sucede es que ésta permite la salida del aire al exterior, haciendo que la bolsa no se comprima tanto y las variaciones de presión sean así mucho más moderadas.
Cuando llega la columna de agua, la ventosa cierra y permanece cerrada hasta que de nuevo llega otra bolsa de aire (t = 0.88 s). Durante todo este periodo, puesto que no hay salida de aire a través de la ventosa, se produce la normal compresión de las bolsas de aire con los picos de presión correspondientes. A partir del instante en el que la ventosa vuelve a abrir, coincidiendo ahora con la posición de la primera bolsa de aire, rápidamente disminuye la presión de esta bolsa. Lógicamente, el efecto de esta nueva apertura sobre la otra bolsa de aire es relativamente pequeño. La evolución de la presión en la primera bolsa de aire es suave hasta que llega la columna de llenado a la posición de la ventosa y ésta vuelve a cerrar (t = 1.01 s). Tras ese instante, la presencia de la ventosa ya no tiene ningún efecto sobre el transitorio.
Se procede ahora a comparar los resultados que proporciona el modelo matemático con ventosa y sin ella. Los resultados obtenidos en ambos casos se presentan superpuestos en las figuras 6 y 7, para así poder compararlos.


Tal y como se observa, el primer pico de presión correspondiente a la primera bolsa de aire se reduce muy ligeramente con la presencia de la ventosa, lo cual es totalmente lógico. Hay que recordar que cuando arranca la instalación, la columna de llenado comprime bruscamente la primera bolsa de aire, pero la primera columna de agua, debido a su mayor inercia, reacciona mucho más lentamente. Así, la presencia de la ventosa en el lugar donde está instalada (localizada en el punto más alto de la instalación, donde se encuentra la segunda bolsa de aire) prácticamente no afecta a la presión de la primera bolsa durante esos primeros instantes del transitorio. Cuando la primera columna de bloqueo comienza a moverse de manera significativa, oprimiendo la segunda bolsa de aire y haciendo que se expulse aire a través de la ventosa, es cuando empiezan a apreciarse diferencias importantes. De hecho, el segundo pico de presión es mucho más pequeño y se produce mucho más tarde. Por supuesto, cuando la bolsa de aire llega a la posición de la ventosa y ésta abre, la presión se reduce hasta valores casi atmosféricos. Y cuando la ventosa vuelve a cerrar porque llega a su posición la columna de llenado, la bolsa de aire comienza a comprimirse de nuevo.
En cuanto a la segunda bolsa de aire, el efecto de la presencia de la ventosa sí que es evidente desde el principio. Desde el instante inicial hasta t = 0.46 s (periodo en el cual la ventosa se encuentra abierta), la evolución de la presión de la bolsa de aire es mucho más suave, alcanzándose un valor máximo muy inferior al que se obtiene cuando el llenado de la instalación se realiza sin ventosas. Sin embargo, una vez la ventosa ha cerrado, la bolsa de aire que permanece en el interior de la tubería vuelve a comprimirse, generando los picos de presión correspondientes.
Por supuesto, el modelo teórico aquí presentado debería ser validado con resultados experimentales, igual que se ha hecho con el modelo sin ventosas (Fuertes et al., 2000). En cualquier caso, en principio este modelo es perfectamente válido para realizar un análisis cualitativo del fenómeno; pero si se desea efectuar un análisis cuantitativo, el modelo debería calibrarse con medidas experimentales que permitieran aclarar cuestiones como, por ejemplo, cuál es el comportamiento del aire durante las diferentes fases del transitorio.
En general, puede decirse que la presencia de las ventosas suaviza el transitorio, haciendo que las variaciones de presión sean mucho menos bruscas y las sobrepresiones no alcancen valores tan elevados. Sin embargo, esta afirmación hay que matizarla. Cuando se procede al arranque de la instalación, rápidamente se comprime la primera bolsa de aire debido a que la inercia del aire es mucho más pequeña que la del agua. Si la localización de esta bolsa de aire coincide con la posición de la ventosa, ésta permite la libre expulsión del aire al exterior, con lo que el proceso de compresión del aire se suaviza en gran medida (los picos de presión se reducen notablemente y se ralentiza un poco el transitorio). Pero cuando llega el agua y se produce el cierre de la ventosa, la bolsa de aire que todavía permanece en el interior de la conducción vuelve a quedar confinada entre dos columnas de agua sin posibilidad de escapar a la atmósfera y se tiene una nueva evolución del transitorio semejante a la que se produce cuando no hay ventosas instaladas, generándose los picos de presión correspondientes, según sean las condiciones particulares que se tengan en el momento del cierre de la ventosa.
Cuando al arrancar la instalación la localización de la bolsa de aire no coincide con la posición de la ventosa ocurre exactamente lo mismo que cuando cierra la ventosa. El aire se encuentra atrapado entre dos columnas de agua y puesto que su inercia es mucho menor, se comprime bruscamente, generando sobrepresiones que pueden ser importantes. Esta situación se mantiene hasta que el movimiento de las columnas de agua permita que el aire sea expulsado a través de una ventosa, reduciéndose entonces los picos de presión.
Además, cuando la columna de agua llega a la posición de la ventosa y se produce el cierre brusco de ésta, se genera una sobrepresión que puede ser bastante importante y que no detecta el modelo rígido utilizado. En cualquier caso, los resultados que proporciona el modelo propuesto son perfectamente válidos hasta el instante en el que cierra la ventosa.
Evidentemente, cuanto mayor sea la capacidad de expulsión de la ventosa instalada, mayor será el caudal de aire expulsado, menor será el pico de presión generado y antes se producirá el cierre de la misma. Sin embargo, una vez que se cierra la ventosa comienza una nueva etapa del transitorio, donde los picos de presión que se generan no están directamente relacionados con el tamaño de la ventosa. Éstos dependerán de las características particulares del transitorio.
Comportamiento adiabático frente a isotermo
Se pretende ahora comparar los resultados derivados de comportamientos extremos del aire en el interior de la tubería. Para ello, el sistema objeto de análisis se simplifica (figura 8). El perfil irregular posibilita la presencia de aire atrapado, el cual deberá ser evacuado a través de la ventosa situada en el extremo final de la tubería taponada por una brida ciega.
Con el objeto de simular transitorios diversos (lentos o rápidos), se analizan -variando la longitud inicial de la columna de agua de llenado- el tamaño de la ventosa y el tiempo de apertura de la válvula, diferentes casos. Las ecuaciones que modelan el comportamiento de la bolsa de aire son (Zhou et al., 2002; Cabrera et al., 2003):
Comportamiento isotermo (no hay variación de temperatura):

Comportamiento adiabático (no hay transferencia de calor):

Por ejemplo, se considera el sistema de la figura 8, donde pueden verse las características relevantes del sistema. El transitorio se inicia, una vez la bomba ha alcanzado su velocidad de régimen, con la apertura de la válvula que hay aguas abajo de la bomba. Se consideran diferentes tiempos de maniobra de la válvula. Las variables de mayor interés son la presión máxima del aire y la velocidad residual del agua cuando el aire acaba de ser expulsado. Su valor determina el golpe de ariete derivado del choque del agua con la brida ciega.
Para cada sistema físico analizado se han considerado los dos comportamientos extremos del aire en el interior de la tubería (isotermo y adiabático). La figura 9 muestra la evolución de las variables más significativas para el caso de una ventosa de 1'' de diámetro, una longitud inicial de la columna de agua de 750 m y suponiendo una apertura instantánea.

La gráfica muestra diferencias significativas en función del modelo utilizado para simular el comportamiento del aire. En el supuesto de considerar una evolución isoterma, el pico de presión es notablemente superior al que se obtiene suponiendo una evolución adiabática y, como consecuencia de ello, siendo mayor la oposición de la presión, la velocidad residual del agua es menor. Por tanto y aún cuando pudiera parecer que la hipótesis que habitualmente se adopta -la isoterma- es más conservadora, pues da lugar a una presión en el aire superior (116 mca frente a 96 mca) por el golpe de ariete que generan las velocidades residuales, el resultado final es justo lo contrario. De hecho, y para una celeridad de la onda de presión a = 1 000 m/s, las velocidades residuales calculadas (respectivamente 0.83 y 1.68 m/s) generarán picos de presión importantes (83 y 168 mca) resultando que, en contra de lo que inicialmente pudiera parecer, el caso adiabático es el más desfavorable (da lugar al máximo pico de presión, 168 mca).
A la vista de los resultados obtenidos al comparar el comportamiento isotermo frente al adiabático, las conclusiones que, con carácter general, pueden deducirse son:
• La presión máxima que alcanza el aire es siempre mayor en el supuesto isotermo, mientras que con la velocidad residual de la columna líquida ocurre justo lo contrario. Ello hace que, en contra de lo que pudiera indicar un primer análisis, el caso adiabático sea el más desfavorable.
• Los picos de presión del aire dependen, por este orden, del tamaño de la ventosa, de la hipótesis realizada (comportamiento isotermo o adiabático), del tamaño de la bolsa de aire y, por último, del tiempo de maniobra.
• La velocidad residual que, en definitiva, es el factor más crítico, muestra una tendencia similar a la de los picos de presión.
• Sólo en lo que a la duración de los transitorios respecta, y como no podría ser de otro modo, se aprecia una tendencia diferente. La variable más influyente es la longitud inicial de la columna de agua, seguida del tamaño de la ventosa y del tiempo de maniobra. Significa que esta duración no se ve afectada por el comportamiento (isotermo o adiabático) supuesto para modelar la evolución del aire en el interior de la tubería.
Vista la notable influencia del comportamiento del aire en el interior de la tubería en el resultado final, parece necesaria una investigación más profunda sobre el campo de validez de cada modelo de comportamiento. Esta investigación debiera incluir, apoyándose en medidas experimentales, un exhaustivo balance energético del transitorio. Sólo de este modo, y con solvencia, se podrían establecer campos de aplicación válidos para cada uno de los modelos extremos (isotermo o adiabático) de comportamiento del aire en el interior de la tubería, así como para los intermedios.
Conclusiones
La presencia de aire en los sistemas hidráulicos a presión es, en muchos casos, inevitable. El aire se introduce en las tuberías por motivos muy diversos y es la causa de numerosos problemas, siendo algunos de ellos muy graves. Una buena solución para tratar de evitar estos problemas es la utilización de ventosas (también llamadas válvulas de aire).
El aire atrapado en una conducción a presión constituye un motivo de preocupación a causa de las importantes sobrepresiones que pueden generarse con ocasión del arranque de la instalación, independientemente de la presencia o no de ventosas. Es por ello que el conocimiento físico del problema planteado y la posibilidad de evaluar los picos de presión que pueden generarse presentan un indudable interés práctico. Así, en el presente trabajo se ha propuesto un modelo general que permite analizar el comportamiento de n bolsas de aire atrapado en tuberías de perfil irregular con v ventosas instaladas a lo largo de la conducción.
En general, puede afirmarse que la utilización de las ventosas suaviza el transitorio, haciendo que las variaciones de presión sean mucho menos bruscas y las sobrepresiones no alcancen valores tan elevados. Sin embargo, como se ha puesto de manifiesto a lo largo del artículo, también pueden ser la causa de problemas muy diversos.
Así pues, debe quedar perfectamente claro que la utilización de ventosas para proteger las instalaciones con presencia de aire atrapado es una práctica muy recomendable, pero, al mismo tiempo, hay que tener muy presente que no siempre garantiza la total seguridad de la conducción, por lo que es conveniente tomar precauciones adicionales.
Naturalmente, si el llenado de la conducción se realiza con la suficiente lentitud, se conseguirá que gran parte del aire escape a la atmósfera a través de las ventosas, evitándose así gran cantidad de problemas. Por ello, el llenado de tubería con aire atrapado debe realizarse con mucho cuidado, ralentizando las maniobras todo lo posible o, lo que es lo mismo, laminando la fuerza motriz de la columna de llenado (por ejemplo, esto se conseguiría con una maniobra de apertura lenta de la válvula de cabecera una vez la bomba ha alcanzado la velocidad de régimen).
Por otro lado, se han puesto de manifiesto las diferencias significativas que se tienen cuando se considera un comportamiento adiabático frente a una evolución isoterma del aire en el interior de la tubería. Ante estas importantes discrepancias, parece claro que debe abordarse un estudio más exhaustivo del problema planteado.
Agradecimientos
El desarrollo de este trabajo ha sido posible gracias al Ministerio de Ciencia e Innovación (España), que ha financiado los proyectos de investigación titulados "DANAIDES: Desarrollo de herramientas de simulación para la caracterización hidráulica de redes de abastecimiento a través de indicadores de calidad de agua" (ref. DPI2007-63424) y "OPERAGUA: Mejora de las técnicas de llenado y operación de redes de abastecimiento de agua" (ref. DPI2009-13674).
Referencias
ABREU, J.M., CABRERA, E., GARCÍA-SERRA, J. and IZQUIERDO, J. Boundary between elastic and inelastic models in hydraulic transients with entrapped air pockets. Proceedings of the 9th Round Table on Hydraulic Transients with Water Column Separation. IAHR, Valencia, España, 1991, pp. 159-179. [ Links ]
ABREU, J.M., CABRERA, E., IZQUIERDO, J. and GARCÍA-SERRA, J. Flow modeling in pressurized systems revisited. Journal of Hydraulic Engineering. ASCE. Vol. 125, No. 11, 1999, pp. 1154-1169. [ Links ]
BETÂMIO DE ALMEIDA, A. Accidents and incidents: an harmful/powerful way to develop expertise on pressure transients. Proceedings of the 9th Round Table on Hydraulic Transients with Water Column Separation. IAHR, Valencia, España, 1991, pp. 379-400. [ Links ]
CABRERA, E., FUERTES, V.S., GARCÍA-SERRA, J., ARREGUI, F., GASCÓN, L. and PALAU, V. Reviewing air valves selection. Proceedings of Pumps, Electromechanical Devices and Systems Applied to Urban Water Management. Valencia, España, 2003, pp. 633-640. [ Links ]
CHAUDHRY, M.H. Applied hydraulic transients. New York: Van Nostrand Reinhold Company, 1987. [ Links ]
CHAUDHRY, M.H. Application of lumped and distributed approaches for hydraulic transient analysis. Proceedings of the International Congress on Cases and Accidents in Fluid Systems. ANAIS, Polytechnic University of Sao Paulo, Brasil, 1989. [ Links ]
FUERTES, V.S., CABRERA, E., IZQUIERDO, J., IGLESIAS, P.L. and GARCÍA-SERRA, J. Filling of pipelines with entrapped air. Proceedings of the XIX Symposium on Hydraulic Machinery and Cavitation. IAHR, Singapur, 1998, pp. 673-685. [ Links ]
FUERTES, V.S., CABRERA, E., IZQUIERDO, J. and IGLESIAS, P.L. Peak pressure evaluation in pipelines with entrapped air pockets. Proceedings of the 3rd ASME/JSME Joint Fluids Engineering Conference. San Francisco, USA, 1999. [ Links ]
FUERTES, V.S., ARREGUI, F., CABRERA, E. and IGLESIAS, P.L. Experimental setup of entrapped air pockets model validation. Proceedings of the 8th International Conference on Pressure Surges - Safe Design and Operation of Industrial Pipe Systems. BHRA, La Haya, Holanda, 2000, pp. 133-145. [ Links ]
FUERTES, V.S. Transitorios hidráulicos con aire atrapado. Tesis para la obtención del grado de Doctor Ingeniero Industrial. Valencia: Universidad Politécnica de Valencia, 2001. [ Links ]
GANDENBERGER, W. Grundlagen der graphischen ermittlung der druckschwankungen (Graphical analysis of pressure surges in water supply lines). Munich: Ed. R. Oldenbourg Verlag, 1950. [ Links ]
HOPE, P. and PAPWORTH, M.U. Fire main failures due to rapid priming of dry lines. Proceedings of the 3rd International Conference on Pressure Surges. BHRA, Canterbury, England, 1980, pp. 381-390. [ Links ]
IZQUIERDO, J., FUERTES, V.S., CABRERA, E., IGLESIAS, P.L. and GARCÍA-SERRA, J. Pipeline start-up with entrapped air. Journal of Hydraulic Research. IAHR. Vol. 37, No. 5, 1999, pp. 579-590. [ Links ]
JÖNSSON, L. Maximun transient pressures in a conduit with check valve and air entrainment. Proceedings of the International Conference on Hydraulics of Pumping Stations. Manchester, England, 1985, pp. 55-76. [ Links ]
LEE, N.H. and MARTIN, C.S. Experimental and analytical investigation of entrapped air in a horizontal pipe. Proceedings of the 3rd ASME/JSME Joint Fluids Engineering Conference. San Francisco, USA, 1999. [ Links ]
LOCHER, F.A. and WANG, J.S. An experience with entrapped air in comparisons of analytical studies and field tests of a system with column separation. Proceedings of the International Conference on Unsteady Flow and Fluid Transients. Durham, England, 1992, pp. 372-332. [ Links ]
MARTIN, C.S. Entrapped air in pipelines. Proceedings of the 2nd International Conference on Pressure Surges. BHRA. London, United Kingdom, 1976. [ Links ]
THORLEY, A.R.D. Fluid transients in pipeline systems. London: D. & L. George Ltd., 1991. [ Links ]
WYLIE, E.B. and STREETER, V.L. Fluid transients in systems. New York: Prentice Hall, Englewood Cliffs, 1993. [ Links ]
ZHOU, F., HICKS, F.E. and STEFFLER, P.M. Transient flow in a rapidly filling horizontal pipe containing trapped air. Journal of Hydraulic Engineering. ASCE. Vol. 128, No. 6, 2002, pp. 625-634. [ Links ]













