Servicios Personalizados
Revista
Articulo
Indicadores
-
Citado por SciELO -
Accesos
Links relacionados
-
Similares en
SciELO
Compartir
Tecnología y ciencias del agua
versión On-line ISSN 2007-2422
Tecnol. cienc. agua vol.1 no.1 Jiutepec ene./mar. 2010
Artículos técnicos
Pérdidas por intercepción en mezquite (Prosopis laevigata) y huizache (Acacia farnesiana) de la región semiárida del centro de México
Interception loss by mesquite (Prosopis laevigata) and huisache (Acacia farnesiana) in the semiarid region of central Mexico
Carlos Alberto Mastachi-Loza1, Enrique González-Sosa1, Rocío Becerril-Piña2, Isabelle Braud3
1 Universidad Autónoma de Querétaro, México.
2 Universidad Autónoma del Estado de México, México.
3 Cemagref, Francia.
Dirección institucional de los autores
M.C. Carlos Alberto Mastachi-Loza
Estudiante del doctorado en Ingeniería
Dr. Enrique González-Sosa
Coordinador del Doctorado en Ingeniería e investigador de tiempo completo
Universidad Autónoma de Querétaro
Laboratorio de Hidráulica
Cerro de las Campanas sin número
Colonia Las Campanas
76010 Querétaro, Querétaro, México
teléfono: + (52) (442) 1921 200, extensión 6025
mastachii@hotmail.com
egs@auq.mx
M.C. Rocío Becerril-Piña
Estudiante del doctorado en Ingeniería
Universidad Autónoma del Estado de México
Centro Interamericano de Recursos del Agua
Facultad de Ingeniería
Carretera Toluca-Atlacomulco km 14.5
50130 Toluca, Estado de México, México
teléfono: + (52) (722) 2965 550/51, extensión 101
Rocio111mx@yahoo.com
Dra. Isabelle Braud
Cemagref
Unité de Recherche Hydrologie-Hydraulique
3bis quai Chauveau
220 69336 Lyon Cédex 9, France
teléfono: + (04) 7220 8778
fax: + (04) 7847 7875
isabelle.braud@cemagref.fr
Recibido: 14/05/2008
Aprobado: 19/05/2009
Resumen
El estudio fue realizado en el periodo de lluvias de 2006 en tres sitios del semiárido centro de México: "El Carmen", en el estado de Guanajuato; "Amazcala" y "Cadereyta", en el estado de Querétaro; ello, con el objetivo de estudiar el comportamiento de las pérdidas por intercepción, EI, de dos especies dominantes, mezquite (Prosopis laevigata) y huizache (Acacia farnesiana). El experimento se basó en la metodología de Guevara-Escobar et al. (2007). La modelación de las Et por tormenta fue construida con dos modelos de base física, Rutter, Gash, y un tercero del tipo lineal múltiple (RLM). En cada sitio fueron seleccionados dos árboles de ambas especies. La precipitación en 2006 fue de 770 mm en El Carmen y de 732 mm en Cadereyta. En Amazcala, en el periodo agosto-noviembre, de 451 mm. En proporción a la precipitación, las Et por evento resultaron de 15, 20 y 27% en huizache, y de 27, 22 y 17% en mezquite, para Cadereyta, El Carmen y Amazcala, respectivamente. Estadísticamente, las eficiencias de modelos de Gash, Rutter y RLM correspondientes a los tres sitios resultaron de -0.1<E<0.34, -4.41<E<0.8 y -1.19<E<0.94. Las diferencias en porcentaje entre las observaciones y los modelos para el periodo de estudio fueron de <120%, siendo el modelo RLM el más eficiente (0%). La prueba ANOVA entre árboles y sitios no mostró diferencias estadísticamente significativas, por lo cual fue generada una correlación para estimar las EI en el contexto regional, de donde se obtuvo un promedio del 20% de intercepción.
Palabras clave: pérdidas por intercepción, evaporación, percolación, flujo cortical, balance hídrico, ecosistemas semiáridos y modelación.
Abstract
This study was performed in three sites of the semiarid region in central Mexico: "El Carmen" in the State of Guanajuato, and "Amazcala" and "Cadereyta" in the State of Queretaro. The main objective was to assess the interception loss process (EI) of the two dominant species in this region: mesquite (Prosopis laevigata) and huisache (Acacia farnesiana). For each site, two trees were selected, and the experiment was carried out following the methodology proposed by Guevara et al. (2007). Two physically-based models, Rutter et al. (1971) and Gash (1979), and one multiple regression model were used in order to model Er In 2006, precipitation in El Carmen and Cadereyta was 770 mm and 732 mm respectively, while in Amazcala it reached 451 mm from August to November. The interception loss observed for both species was very similar. The proportion of intercepted rainfall was 15%, 20% and 27 % for huisache and 27%, 22% and 17% for mesquite in Cadereyta, El Carmen and Amazcala respectively. The efficiency coefficient for the EI modelled during the study period for the three models was acceptable, ranging between -1.19<EI<0.94 and 0.62 mm < RMSE< 2.79 mm. At a region level, the EI was of 20%.
Keywords: interception losses, evaporation, troughfall, stem flow, water balance, semiarid ecosystems, modelling.
Introducción
La vegetación es el primer obstáculo en interceptar la precipitación y modificar su trayectoria antes de llegar al suelo. Desde el punto de vista hidrológico, es un estrato filtrante de la precipitación que afecta la repartición de la evaporación, la infiltración y los escurrimientos superficiales; por tanto, es de gran importancia en la distribución espacial del balance hídrico (Rutter et al., 1971; Schellekens et al., 1999; Zeng et al., 2000; Van-Dijik y Bruijnzeel, 2001). El proceso de intercepción o pérdidas por intercepción es un concepto donde se involucra cualquier tipo de cubierta sobre el suelo, sea natural o artificial. Integra la precipitación retenida y reintegrada a la atmósfera en forma de vapor en todos los estratos vegetales de un ecosistema (arbóreo, arbustivo, herbáceo), incluso el agua retenida en la capa superficial del suelo formada con residuos vegetales, producto de la senescencia de la vegetación, ampliamente conocido como mulch (Groen y Savenije, 2006).
En general, las pérdidas son controladas por la arquitectura de la vegetación y las variables climatológicas (Crockford y Richardson, 2000). Las investigaciones efectuadas en bosques templados y tropicales se han hecho con diversas técnicas. Habitualmente, los estudios reportan las pérdidas en proporción de la precipitación anual. Las pérdidas han sido ampliamente estudiadas en bosques fragmentados y en bosques de reserva ecológica de climas templados y tropicales (Rodrigo y Ávila, 2001; Loescher et al., 2002; Raat et al, 2002). Sin embargo, aún falta conocer más sobre el proceso de las pérdidas por intercepción en ecosistemas de ambientes semiáridos. De la misma forma, ampliar el conocimiento en árboles aislados y zonas de transición entre dos ecosistemas distintos o ecotonos, donde la interacción entre las fronteras o bordes influye en la distribución espacial de la intercepción.
Los trabajos experimentales y de laboratorio llevados a cabo para estudiar el proceso de intercepción en árboles aislados, bosques naturales y urbanos, han permitido desarrollar diversos modelos para simular el proceso de intercepción (Horton, 1919; Rutter et al., 1971; Gash, 1979; Liu, 1997; Xiao et al., 2000). No obstante, no hay modelos específicos para ambientes semiáridos, por lo que comúnmente suelen adaptarse los modelos existentes a este tipo de ambientes (Navar y Bryan 1994; Navar et al., 1999), principalmente porque la vegetación es poco valorizada y porque su composición estructural difiere de la de los bosques tropicales, templados o fríos. Es decir, la vegetación es dispersa, crece aislada o agregada, con especies dominantes en forma de islas, separadas entre sí por áreas de suelo desnudo o vegetación efímera; la interacción entre sus componentes es compleja y poco conocida su participación en la repartición de los componentes del balance hídrico.
El objetivo del presente estudio fue evaluar el proceso de pérdidas por intercepción, mediante la cuantificación y modelación, basándose en un análisis por eventos en dos especies dominantes de la región semiàrida del centro de México: huizache (Acacia farnesiana (L.) Willd.) y mezquite (Prosopis laevigata Humb. et Bonpl. ex Willd), con el supuesto de que las pérdidas a escala regional pueden expresarse por el comportamiento de árboles aislados de tres sitios ubicados dentro la región semiàrida del centro de México.
Teoría
Intercepción
La evaporación total en un ecosistema (ET) o cuenca la integran:

donde ES es la evaporación del suelo desnudo; Ew, la evaporación de los cuerpos de agua; ET, la evaporación por transpiración de la vegetación; EI, la evaporación de la precipitación retenida por la vegetación, y EIL es la evaporación del agua retenida por el mulch; estas dos últimas ampliamente conocida como pérdidas por intercepción (Groen y Savenije, 2006). Conceptualmente, la evaporación por las pérdidas por intercepción contiene dos componentes básicos: la evaporación a partir del inicio de la lluvia hasta la saturación de la vegetación y la evaporación desde la saturación hasta la terminación de la lluvia (Horton, 1919):

donde t es el tiempo de duración de la lluvia; t', el tiempo para lograr la saturación de la vegetación, y S es la capacidad de almacenamiento del follaje o dosel. Las pérdidas por intercepción EI corresponden a la diferencia entre la precipitación total o incidente (PG), y la precipitación que llega al suelo o precipitación neta (Pn).

La precipitación incidente, PG, sobre la cobertura vegetal produce dos tipos de flujo: flujo foliar o drenaje (hojas) y flujo cortical (tronco+ramas). Una parte de la lluvia es retenida y otra llega al suelo. Por lo tanto, la precipitación neta está constituida por la fracción de la precipitación que pasa libremente a través de la vegetación o follaje más la porción de la precipitación drenada después de ser retenida temporalmente. Así, las EI también pueden expresarse como:

siendo T, D y Sf el flujo de percolación libre, drenaje foliar y flujo cortical, respectivamente. La integración de T y D suele denominarse flujo de percolación o traslocación, Th.
Modelos
Rutter et al. (1971 y 1975)
En principio, el modelo de Rutter contiene cuatro parámetros asociados con la arquitectura de la vegetación, donde la cantidad de agua retenida temporalmente por la vegetación o el follaje es determinada por la percolación, la intensidad de la lluvia, la evaporación y el drenaje, de tal manera que:

donde C es la capacidad de almacenamiento de la vegetación o lámina de precipitación retenida por el follaje; Ri, la intensidad de la lluvia; S, el agua necesaria para humedecer toda la superficie de la copa o follaje; D, el drenaje del follaje; p, la percolación libre, y Ep es la evaporación potencial estimada por la ecuación de Penman-Monteith (Monteith, 1965).
El drenaje del follaje es explicado mediante una función exponencial:

siendo Do el drenaje cuando la copa está saturada C=S y b es un parámetro empírico.
Gash (1979)
Gash considera la lluvia representada por una serie de eventos discretos, suficientemente separados como para que la copa y el tronco de la vegetación puedan considerase secos entre cada evento. Con base en la expresión elemental de las pérdidas (ecuación (2)) por intercepción en proporción lineal con la precipitación tanto para eventos como para una serie de eventos se tiene:

Gash describe la ecuación (8) mediante las relaciones siguientes:

Al igual que Rutter et al. (1971 y 1975), Gash supone la capacidad de almacenamiento (S) en términos de la estructura de la vegetación y la define como lámina de lluvia retenida en la copa, en condición de cero evaporación, una vez concluida la lluvia y el drenaje. La lluvia drenada por el tronco y la drenada por las ramas la denomina pt. La percolación libre también la identifica con el término p. El agua almacenada en los troncos antes de iniciar el flujo cortical la llama capacidad de almacenamiento del tronco (St). Cuando considera la cobertura de la vegetación, a menudo asume p como el complemento de la fracción de la cobertura de la copa o la vegetación (c). Para una serie de eventos o un evento individual, el modelo emplea la media de la evaporación
y la intensidad 
Materiales y métodos
Área de estudio
La zona de estudio está situada en la región semiárida del centro del México; cubre una parte del corredor continental, constituido por la porción noreste del estado de Guanajuato y parte del centro-sur de Querétaro. La primera pertenece a la cuenca del Lerma-Santiago y la segunda, a la cuenca del Pánuco. El clima de la región es del tipo templado-semiárido, con un periodo de lluvias de verano con una lámina media anual entre 400 y 800 mm, y una temperatura media anual de 25 °C. La vegetación de la región la constituye el matorral xerófilo, representada en buena medida por pastos y una distribución dispersa de mezquite (Prosopis laevigata) y huizache (Acacia farnesiana). Los sitios de estudio se ubicaron en las microcuencas de El Carmen, Amazcala y Cadereyta, las dos primeras pertenecientes a la cuenca del río Laja, en los estados de Guanajuato y Querétaro, y la tercera situada en la parte alta de la cuenca del río Moctezuma, Querétaro (figura 1). Los experimentos se efectuaron en áreas relativamente planas, cubiertas con matorrales parcialmente perturbados, aislados y suficientemente accesibles, sobre todo seguros, lo cual permitió disponer de información adecuada y de buena calidad.
Métodos
En cada sitio se registró la precipitación total o incidente, la velocidad y dirección del viento, temperatura ambiental y humedad relativa cada veinte minutos, en una estación climatológica clásica (Vaisala modelo WXT510). Con base en el análisis de la composición florística de la vegetación, muestreos tipo Gentry y la determinación de los Índices de Valor de Importancia realizado por Becerril-Piña et al. (2007) fueron elegidos dos árboles de las especies mezquite (P. laevigata) y huizache (A. farnesiana), por ser especies dominantes de las microcuencas antes señaladas; el tamaño de los árboles instrumentados se basó en la media dasométrica de los sitios de muestreo, en tanto que su ubicación se basó en que estuviesen suficientemente aislados, a fin de reducir los errores asociados con el efecto pantalla o sombra de árboles cercanos, y con la intención de observar la máxima capacidad de intercepción. A continuación se determinaron las medidas dasométricas de los seis árboles seleccionados. En el cuadro 1 se resumen las variables de cada uno de los árboles.
El monitoreo de las variables indicadas en las ecuaciones (2) y (3) fue llevado a cabo con apego en la metodología descrita por Guevara-Escobar et al. (2007). En el caso del flujo de percolación (Th), la superficie de captación trató de englobar la mayor superficie posible de la proyección horizontal de la copa. Para reducir los errores asociados con el tiempo de retención y desalojo del flujo de la lluvia percolada, fue inducido un drenaje casi instantáneo, armando los paneles de captación con una fuerte pendiente de drenado, mayor que 15°. De igual forma se minimizaron los errores por temperatura, construyendo la superficie de captación con láminas de policarbonato transparente. La lluvia captada se almacenó en un depósito de plástico de 250 litros, situado a un costado del tronco (figura 2). El flujo cortical Sf fue monitoreado mediante la fijación de una canaleta alrededor del tronco o fuste, construida con una manguera de plástico, abierta por la mitad para eficientar la captación y el drenaje. El flujo captado se condujo hacia un garrafón de 25 litros dispuesto en el piso. Es importante señalar que por razones económicas y técnicas fue difícil cubrir la forma irregular de la copa de los árboles para lograr una relación entre las áreas de 1:1. En el cuadro 1 pueden verse las proporciones de las áreas cubiertas con los paneles de acrílico. Gráficamente, en la figura 2 puede observarse la distribución de las áreas formadas con los paneles respecto a la forma irregular de la proyección de la copa de los árboles. Ambos flujos, cortical y traslocación, fueron medidos al término de cada evento, transformado el volumen recuperado a lámina equivalente de lluvia.
Las desviaciones de Pn, originadas por la diferencia entre las superficies de captación formada de los paneles de acrílico y el área irregular de la proyección horizontal de la copa del árbol, fueron corregidas suponiendo una distribución uniforme de la precipitación incidente. Con el supuesto de un comportamiento lineal de los flujos, éstos fueron afectados con el coeficiente de superficie generado por el cociente del área del panel de acrílico y el área de la proyección en horizontal de la copa del árbol, como lo indica la expresión siguiente:

donde Ac es el área de la superficie de captación de los paneles de acrílico y Ad es el área en proyección horizontal de la copa del árbol o sobre la superficie del suelo. Una vez corregida la precipitación neta fueron calculadas las EI, aplicando la ecuación (3). En el cuadro 1 se enumeran por especie y por sitio los totales de PG, Th y Sf correspondientes a los eventos utilizados en el cálculo de las Ei: 15 de El Carmen, 13 de Cadereyta y únicamente 10 de Amazcala, ya que por razones técnicas, en algunos eventos no se dispuso de las mediciones de Th y Sf.
Para la modelación de las EI fueron deducidos los parámetros requeridos por los modelos Rutter et al. (1975) y de Gash (1979). Para cada árbol se determinó la capacidad de almacenamiento (S) y coeficiente de percolación libre (p), aplicando el método de Leyton et al. (1967) y Rutter et al. (1971), respectivamente, este último con lluvias PG<10 mm ante la carencia de las lluvias menores a un milímetro, como propone el método. Los parámetros St y pt fueron deducidos empleando una metodología semejante a la establecida para el cálculo de la percolación libre (p) mediante la regresión Sf versus PG Los parámetros Do y b del modelo de Rutter fueron derivados con la metodología de Schellekens et al. (1999). La evaporación potencial implicada en ambos modelos se calculó con la ecuación de Penman-Monteith, propuesta por la FAO (Allen et al., 1998). En el cuadro 1 se muestran los parámetros por cada modelo, en las columnas 12 a 20.
Adicionalmente se exploró el efecto de otras variables climáticas en las EI mediante modelos de regresión lineal múltiple, explotando aquellas variables con el mayor grado de correlación, a fin de confrontarlo con los modelos de base física. Al mismo tiempo, fue analizada la robustez de la regresión por medio del criterio calibración-validación cruzada explorada por bloques.
La estrategia de la modelación de las EI estuvo condicionada por el número de observaciones en los tres sitios. En estos términos, la calibración de los modelos de Rutter et al. (1975) y Gash (1979) se estableció de la siguiente forma:
a) Calibración-validación cruzada por bloques.
b) Medición de la bondad de los modelos para el periodo experimental con los estadísticos eficiencia, sesgo y la raíz del error cuadrático medio.
c) Modelación de las EI para 2006 en Cadereyta y El Carmen, conservando los mismos parámetros utilizados para el periodo experimental.
La bondad de los tres modelos, Rutter et al. (1975), Gash (1979) y la regresión lineal múltiple, se evaluó con los indicadores estadísticos siguientes:
Eficiencia:

Raíz cuadrada del error cuadrático medio:

Resultados
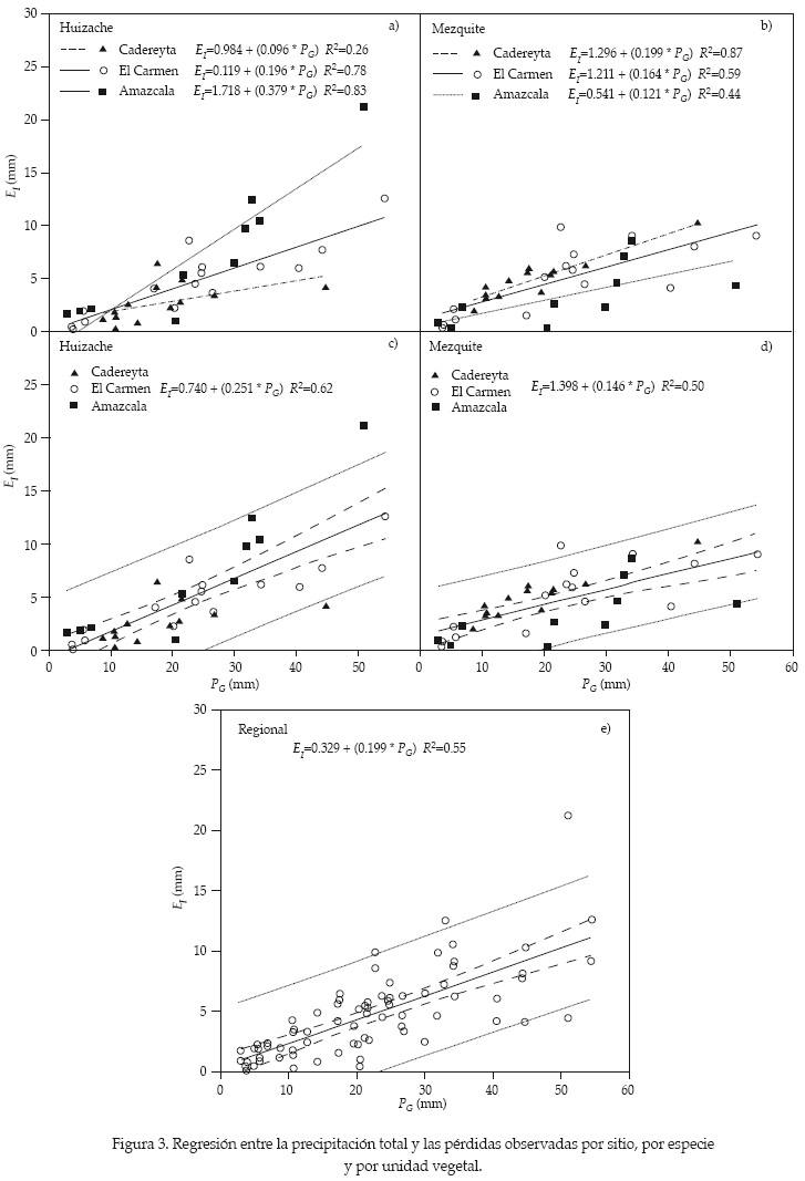
El 2006, año en el cual se realizó el estudio, puede considerarse como un año húmedo, ya que la precipitación en los sitios de Cadereyta (770 mm) y El Carmen (732 mm) se aproximó a los 800 mm, límite superior de la media anual reportada para la región de estudio. En El Carmen se registraron 54 eventos de lluvias y 63 en Cadereyta. Durante los cinco meses de observación, agosto-diciembre, en Amazcala ocurrieron 24 eventos, produciendo 451 mm, aproximadamente el 60% de lluvia registrada en los otros dos sitios. En la figura 3 (a y b) se muestran las correlaciones por sitio y por especie (seis árboles) del tipo de la ecuación (8), EI versus PG, correspondiente al comportamiento a escala local. Individualmente, las regresiones resultaron con valores entre 0.26<R2<0.87, siendo el huizache de Cadereyta el que presentó la correlación más baja. El rango promedio, las EI por evento, interpretadas a partir de la pendiente de la regresión, fue de 10-38% en el huizache, y 12-20% en el mezquite. El flujo cortical resultó entre 1.9%<Sf<5.0%. En orden de magnitud, el de mayor contribución fue el huizache de Amazcala (6%) y el de menor, el mezquite de Cadereyta (1.9%). Es importante destacar que no obstante que el flujo cortical aparentemente es pequeño, es de vital importancia para el desarrollo de la vegetación, porque es agua disponible para la zona de raíces.
El análisis ANOVA de las líneas de tendencia de las regresiones de PG versus EI, mostradas en la figura 3 (a y b), demostró que no existen diferencias estadísticamente significativas entre ellas (P>0.05), lo que indica que los seis árboles presentan un comportamiento similar en cuanto a la cantidad de agua que interceptan, a pesar de la gran distancia entre sitios, superior a 70 km. Debido a lo anterior, se decidió plantear dos opciones: la primera tratando a todos los árboles de la misma especie como un solo individuo y la segunda tratando los seis árboles como unidad vegetal.
La magnitud de las EI, con base en el análisis por evento, fue del 15% para mezquite y del 25% para huizache. En la figura 3 (c y d) se presentan las correlaciones por especie, considerando los seis árboles. La diferencia entre los promedios puede deberse a desigualdades morfológicas de ambas especies, ya que el huizache presenta un follaje más denso que el mezquite, permitiéndole interceptar más agua por unidad de superficie.
En la figura 3e se muestra una correlación para todos los árboles integrados en una sola unidad vegetal, en correspondencia a una representación regional. La ecuación obtenida nos indica que las EI promedio de vegetaciones donde dominen estas dos especies son de 20%.
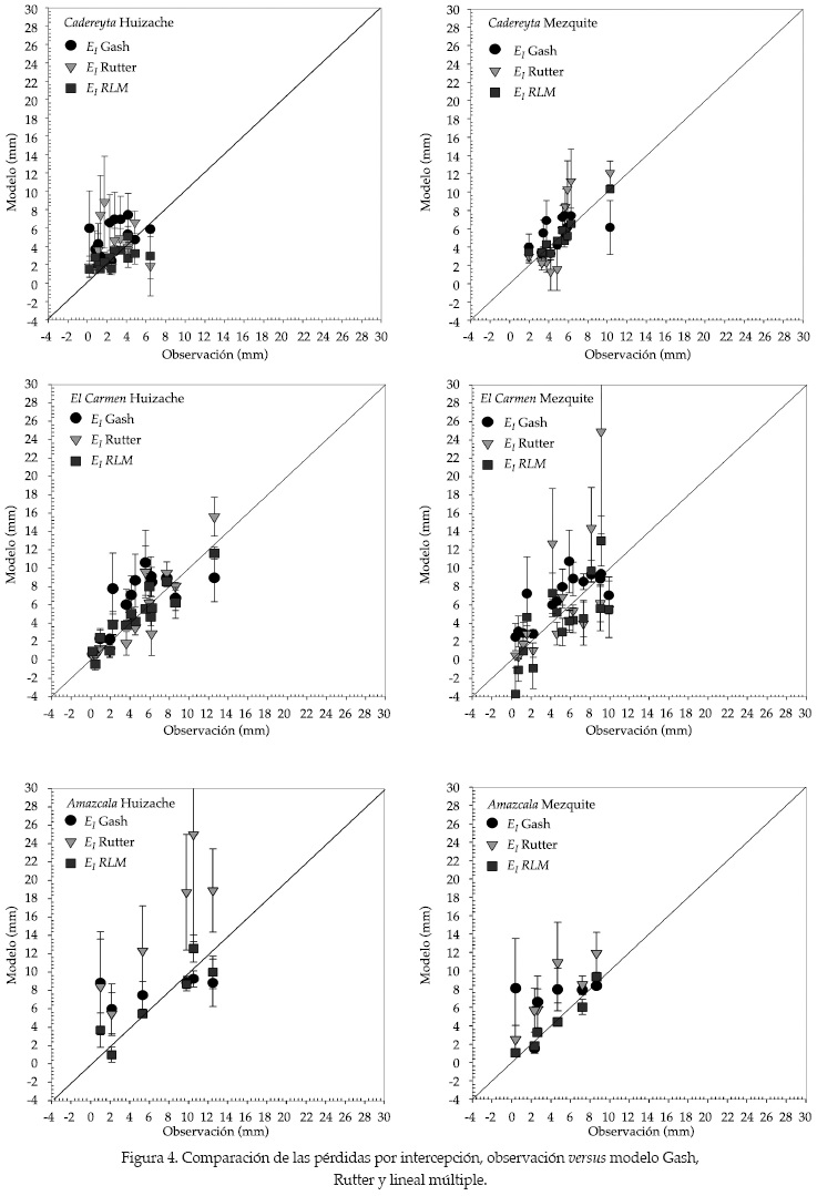
Para mejorar las predicciones de las regresiones lineares simples se analizó un modelo de regresión lineal múltiple (RLM) construido a partir de las tres variables con más influencia en las EI: la precipitación total (PG), la velocidad del viento (uz) y la intensidad de la precipitación (i); esta última modificada a la intensidad máxima del evento (imáx), en un lapso de veinte minutos, por ser el tiempo en que se presenta la mayor precipitación, comportamiento típico de las lluvias de la región. En el cuadro 2 se presentan los parámetros de 5 RLM a partir de diferentes combinaciones por bloques, y un resumen del análisis de variancia entre las EI calculadas por las 5 RLM de cada árbol, de donde el huizache y el mezquite de Cadereyta son los únicos en presentar diferencias estadísticas entre los modelos. El análisis de sensibilidad de los modelos RLM mostró que tienden a subestimar las EI, en promedio, -0.5 mm, siendo menos eficientes para el huizache de Cadereyta y el mezquite de El Carmen.
Determinada la sensibilidad de los cinco modelos RLM, se empleó el modelo construido a partir de todas las observaciones, para ser comparado con los modelos de Rutter y Gash, y modelar las EI para el 2006, ya que como se observó, el modelo RLM no presenta gran diferencia.
Los modelos de base física, Rutter y Gash, fueron corridos con los parámetros indicados en el cuadro 1. Las EI simuladas en el periodo experimental y en 2006 con ambos modelos pueden observarse en la figura 4. En las columnas 3, 4 y 5 del cuadro 4 se indican los porcentajes de las EI, en proporción con la precipitación total, correspondientes al periodo de observación y de 2006. El modelo RLM, sistemáticamente produjo mejores resultados, en comparación con los otros dos modelos, salvo para el huizache de Cadereyta. En las columnas de 5 a 13 del cuadro 3 se presentan los indicadores estadísticos de los tres modelos; específicamente, el modelo de Gash es el menos consistente, con valores de -4.2<EI<0.3.
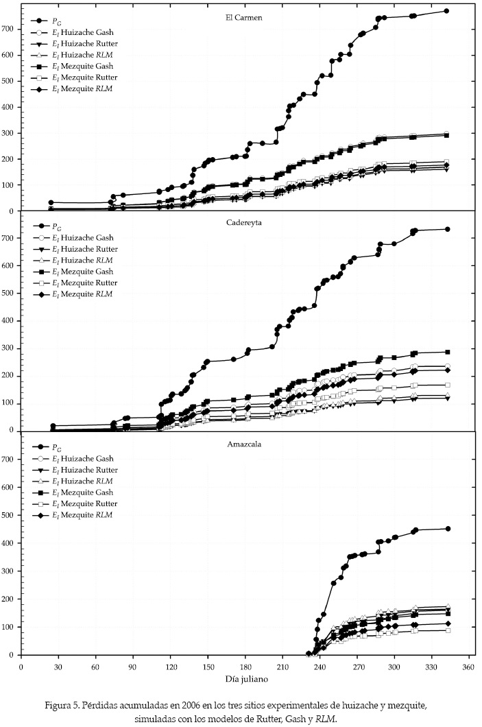
En la figura 5 se muestra la EI acumulada para el 2006, determinada con los tres modelos para las dos especies y los tres sitios; los modelos reproducen en forma semejante las EI acumuladas a lo largo del año. En las columnas 6, 7 y 8 en el cuadro 4 puede observarse la comparación de los totales de los tres sitios y los porcentajes en proporción con la precipitación total. Con los modelos de Gash y Rutter, los rangos anuales varían entre 20-41% y de 17-29% con el modelo lineal múltiple. Sobresalen de los otros dos modelos las EI simuladas con Gash para el mezquite y huizache de El Carmen, 40 y 41%, respectivamente. En el contexto regional, las EI estimadas con la regresión, mostrada en la figura 3e, resultaron de 23% (166 mm), 22% (171 mm) y 22% (98 mm) para Cadereyta, El Carmen y Amazcala, respectivamente, las cuales corresponden al promedio de las EI representadas por especie (figura 3 c y d), y dentro del orden, las EI simuladas con los tres modelos.
Discusión
Precisando que los modelos de Rutter et al. (1975) y Gash (1979) tienen su origen en bosques templados con lluvias de larga duración, situación contrapuesta a las condiciones de la región de estudio, zona semiárida con régimen dominante de lluvias torrenciales de corta duración e intensas, se discuten los aspectos más relevantes de este trabajo.
Adicionalmente, un sinnúmero de investigaciones señalan los errores atribuidos de la metodología utilizada en la medición de la precipitación neta, sin soslayar los efectos intrínsecos del medio observado: bosques cerrados o fragmentados, islas de vegetación y árboles aislados. La medición de las EI en árboles aislados suele realizarse con colectores aislados, líneas de canaletas y, en el mejor de los casos, con paneles. Sin embargo, como mencionan diversos investigadores, entre ellos, Crockford y Richardson (2000), es necesario una gran cantidad de colectores o canaletas para garantizar una medición correcta de EI, para reducir el sesgo que genera la colocación aleatoria de colectores puntuales. Particularmente, este trabajo fue orientado a reducir los errores originados por la instrumentación en árboles aislados, con líneas de canaletas y colectores individuales (Chrockford y Richardson, 2000; Xiao et al., 2000). Contextualmente, la metodología empleada reduce la sobreestimación derivada por las entradas laterales cuando la fuerza del viento incrementa el ángulo de la lluvia incidente (Guevara-Escobar et al., 2007).
Entre los resultados a destacar del estudio está la semejanza con algunos trabajos de la zona semidesértica del norte México. Pese a que esta investigación fue realizada en la región semidesértica del centro de México, las EI (1527%) en árboles aislados están dentro de las EI reportadas para individuos de la misma especie por Navar y Bryan (1994), Navar et al. (1999) y Carlyle-Moses (2004), cuyos estudios fueron enclavados en parches o islas de vegetación del semiárido del norte del país. Comparativamente, sus estudios reportan pérdidas por intercepción de 28% (Navar y Bryan, 1994), 18% (Navar et al., 1999) y entre 6-11% (Carlyle-Moses, 2004). Las discordancias entre los estudios pueden explicarse por la metodología de medición de Th; los patrones de la velocidad del viento, uz; la intensidad de la lluvia, i; y la arquitectura de la vegetación. Sin embargo, refuerza la idea del modelo regional planteado, ya que éste propone unas EI del 20%, que caen dentro de la media observada de las EI reportadas en comunidades de matorral.
Sorpresivamente, en esta investigación se encontraron valores similares de la capacidad de almacenamiento, S, con los valores reportados por Navar y Bryan (1994), entre 0.530.98 mm para huizache y 0.60-1.70 mm para mezquite. En la columna 12 del cuadro 1 se presentan las S de los seis árboles estudiados. La semejanza en S puede interpretarse como una expresión de una morfología similar entre las especies de A. farnesiana y P. laevigata del norte y el centro del país. Sin embargo, los valores del coeficiente de percolación en este estudio (p> 80%) en relación con los encontrados por dichos autores (23%) podrían indicar diferencias en el tipo de lluvia que se presenta en las dos regiones, producto de diferentes intensidades de precipitación.
Regionalmente, la discrepancia entre los valores del parámetro de percolación, p, puede estar relacionada con la validez de método de Rutter et al. (1971). Dicho método se basa en observaciones de Th asociadas con lluvias ligeras, de poca magnitud y baja intensidad, para determinar el parámetro p. Al respecto, sólo los eventos utilizados en El Carmen presentaron las características mencionadas. Estas discrepancias pueden tener origen en una adaptación inadecuada de los modelos de Gash y Rutter para ambientes semiáridos; ante esta disyuntiva se planteó la opción de un modelo RLM. Este modelo consideró las variables de mayor nivel de importancia PG , uz e imáx; la reproducción de EI para los tres sitios de estudio, los seis ejemplares, los coeficientes de correlación resultaron relativamente altos. En comparación, la regresión lineal expresa que el conjunto de las variables uz e imáx afectan en un 16% las EI, ya que localmente la velocidad ejerce una mayor influencia en las EI de árboles aislados, principalmente en su distribución espacial en torno a la proyección horizontal del follaje, y la intensidad influye en el tiempo de saturación de la vegetación. Por otro lado, en promedio, la PG explica en un 55% la variabilidad de las EI, logrando así, junto con uz e imáx, explicar el 71% del proceso de las pérdidas por intercepción.
Conclusiones
El estudio se limitó a dos especies dominantes y los resultados pueden estimarse adecuados en el cálculo del balance hídrico de la región del semidesierto del centro del país y para reconsiderar su papel en la preservación de los ecosistemas semiáridos del centro de México. Los resultados obtenidos favorecen el conocimiento a escala global y regional de las pérdidas por intercepción; al mismo tiempo, podrían sustentar la calibración y validación de los componentes hidrológicos de los modelos de circulación global. A pesar de que las pérdidas por intercepción podrían jugar un rol menor en el balance hídrico de ecosistemas semiáridos y áridos, reduce la lámina de lluvia que genera el volumen de los escurrimientos superficiales, la infiltración o recarga profunda entre 15%< EI <30%, y el tronco de los árboles aporta del 3%<Sf<5% del agua requerida para su desarrollo y preservación. Por otra parte, las EI regionales encontrados en este estudio, en promedio del 20%, ponen en evidencia la importancia que tiene la vegetación de la región semiárida del centro del país, específicamente el huizache (A. farnesiana) y el mezquite (P. Laevigata). A pesar de que ambos modelos, Rutter y Gash, sobreestimaron sistemáticamente EI, no presentaron diferencias estadísticas significativas entre las especies y los sitios, lo cual fortalece la hipótesis de base. De esta forma, el estudio llevado a escala local y por evento durante un solo periodo de lluvia constata una representación pertinente de la distribución regional (reducida variabilidad espacial) de las pérdidas por intercepción. Por otra parte, el modelo lineal múltiple evidencia que los modelos de base física deben considerar directamente los efectos del viento e intensidad de la precipitación en la determinación de la capacidad de almacenamiento y el flujo de percolación.
Agradecimientos
A Conacyt, por el apoyo financiero al proyecto FOMIX-QRO (QRO-2004-CO1-17), y a los propietarios de los sitios experimentales de El Carmen y Cadereyta, por las facilidades prestadas para realizar este estudio.
Referencias
ALLEN, R.G., PEREIRA, L.S., RAES, D. and SMITH, M. Crop evapotranspiration-Guidelines for computing crop water requirements. Rome: FAO, 1998, 298 pp. [ Links ]
BECERRIL-PIÑA, R., GONZÁLEZ-SOSA, E. and HERNÁNDEZ-SANDOBAL, L. El semiárido mexicano como sumidero de carbono. Estudio de caso Microcuenca "El Carmen". Memorias del Congreso Nacional y Reunión Mesoamericana de Manejo de Cuencas Hidrográficas. México, D.F. Instituto Nacional de Ecología, 2007, 8 pp. [ Links ]
CARLYLE-MOSES, D.E. Throughfall, stemflow, and canopy interception loss fluxes in a semi-arid Sierra Madre Oriental matorral community. Journal of Arid Environments. Vol. 58, 2004, pp. 180-201. [ Links ]
CROCKFORD, R.H. and RICHARDSON, D.P. Partitioning of rainfall into through fall, stem flow and interception: efect of forest type, ground cover and climate. Hydrol. Process. Vol. 14, 2000, pp. 2903-2920. [ Links ]
GASH, J.H.C. An analytical model of rainfall interception in forests. Quarterly Journal of the Royal Meteorological Society. Vol. 105, 1979, pp. 43-55. [ Links ]
GROEN, M.M. and SAVENIJE, H.H. A monthly interception equation based on the statistical characteristics of daily rainfall. Water Resources. Vol. 42, 2006, pp. 1-10. [ Links ]
GUEVARA-ESCOBAR, A., GONZÁLEZ-SOSA, E., VÉLIZ-CHAVEZ, C., VENTURA-RAMOS, E. and RAMOS-SALINAS, M. Rainfall interception and distribution patterns of gross precipitation around an isolated Ficus benjamina tree in an urban area. Journal of Hydrology. Vol. 333, 2007, pp. 532-541. [ Links ]
HORTON, R.E. Rainfall interception. Monthly Weather Review. Vol. 47, 1919, pp. 603-623. [ Links ]
LEYTON, L., REYNOLDS, R.C. and THOMPSON, F.B. Rainfall interception in forest and moorland. Forest Hydrology. Vol. 163, 1967, 179 pp. [ Links ]
LIU, S. A new model for the prediction of rainfall interception in forest canopies. Ecological Modelling. Vol. 99, 1997, pp. 151-159. [ Links ]
LOESCHER, H.W., POWERS, J.S. and OBERBAUER, S.F. Spatial variation of through fall volume in an old-growth tropical wet forest. Journal of Tropical Ecology. Vol. 18, 2002, pp. 397-407. [ Links ]
MONTEITH, J.L. Evaporation and the environment. Symposium of the Society of Experimental Biology. Vol. 19, 1965, pp. 245-269. [ Links ]
NAVAR, J. and BRYAN, R.B. Fitting the analytical model of rainfall interception of Gash to individual shrubs of semiarid vegetation in northeastern México. Agricultural and Forest Meteorology. Vol. 68, 1994, pp. 133-143. [ Links ]
NAVAR, J., CARLYLE-MOSES, D.E. and MARTÍNEZ, M.A. Interception loss from the Tamaulipan matorral thorn scrub of north-eastern Mexico: an application of the Gash analytical interception loss model. Journal of Arid Environment. Vol. 41, 1999, pp. 1-10. [ Links ]
RAAT, K.J., DRAAIJERS, G.P.J., SCHAAP, M.G., TIETEMA, A. and VERSTRATEN, J.M. Spatial variability of through all water and chemistry and forest floor water content in a Douglas fir forest stand. Hydrology and Earth System Sciences. Vol. 6, 2002, pp. 363-74. [ Links ]
RODRIGO, A. and ÁVILA, A. Influence of simple size in the estimation of mean through fall in two Mediterranean holm oak forests. Journal of Hydrology. Vol. 243, 2001, pp. 216-227. [ Links ]
RUTTER, A.J., KERSHAW, K.A., ROBINS, P.C. and MORTON, A.J. A predictive model of rainfall interception in forests: derivation of the model from observations in a plantation of Corsican pine. Agricultural Meteorology. Vol. 9, 1971, pp. 367-384. [ Links ]
RUTTER, A.J., MORTON, A.J. Y ROBINS, P.C. A predictive model of interception loss in forest. II. Generalization of the model and comparison with observations in some coniferous and hardwood stands. Journal of Applied Ecology. Vol. 12, 1975, pp. 367-380. [ Links ]
SCHELLEKENS, J., SCATENA, F., BRUIJNZEEL, L. and WICKEL, A. Modeling rainfall interception in lowland rain in forest in Northeastern Puerto Rico. Hydrology. Vol. 225, 1999, pp. 168-184. [ Links ]
VAN-DIJIK, A.I.J.M. and BRUIJNZEEL, L.A. Modeling rainfall interception by vegetation of variable density using an adapted analytical model. Part 1. Model description. Journal of Hidrology. Vol. 247, 2001, pp. 230-238. [ Links ]
XIAO, Q.F., MCPHERSON, E.G., USTIN, S.L. and GRISMER, M.E. A new approach to modeling tree rainfall interception. Journal of Geophysical Research-Atmospheres. Vol. 105, 2000, pp. 29173-29118. [ Links ]
ZENG, N., SHUTTLEWORTH, J.W. and GASH, J.H.C. Influence of temporal variability of rainfall on interception loss. Part I. Point analysis. Journal of Hydrology. Vol. 228, 2000, pp. 228-241. [ Links ]













