Servicios Personalizados
Revista
Articulo
Indicadores
-
Citado por SciELO -
Accesos
Links relacionados
-
Similares en
SciELO
Compartir
Tecnología y ciencias del agua
versión On-line ISSN 2007-2422
Tecnol. cienc. agua vol.1 no.1 Jiutepec ene./mar. 2010
Artículos técnicos
Estudio experimental de las presiones de levantamiento bajo una losa con juntas transversales al flujo
Experimental study of uplift pressures underneath slabs with gaps running across flow
Efraín del Risco-Moreno, Edwin Hurtado-Orobio, Mauricio González-Betancourt
Universidad del Valle, Colombia.
Dirección institucional de los autores
Efraín del Risco-Moreno
Profesor
Edwin Hurtado-Orobio
Asistente de investigación
Mauricio González-Betancourt
Asistente de investigación
Laboratorio de Hidráulica
Escuela de Ingeniería de Recursos Naturales y del Ambiente
Universidad del Valle
Calle 13, número 100-00
Ciudad Universitaria Meléndez
Edificio 344, oficina 2012,
A.A.25360
Valle del Cauca, Colombia
teléfono: + (57) (2) 3212 153, extensión 119
fax: + (57) (2) 3212 153
efraindelrisco@gmail.com
edhurtor@hotmail.com
Mao275@hotmail.com
Recibido: 03/04/2008
Aprobado: 15/06/2009
Resumen
Se analizó si la velocidad del flujo, las juntas transversales sin sello y la separación losa-fondo afectan la presión que se ocasiona en la parte inferior de una losa de piso con sus juntas a nivel, para evitar la conversión de energía cinética del flujo en presión de dinámica por desnivel de sus aristas superiores. Con ese fin se midió la presión en la cara inferior de una losa en contacto o separada de la superficie que protege de la acción de un flujo con números de Froude entre 2.84 y 9.94, y tirantes de 2.5, 3.5, 4.5 y 5.5 cm, con separaciones losa-asiento de 0, 0.2, 0.5, 1 y 2 mm. También se estudió si esa presión supera a la estática y si la diferencia entre ellas es la energía cinética del flujo convertida en presión dinámica en las aristas traseras de las juntas. En cada prueba se midió la presión en tres líneas longitudinales bajo la losa: una central con ocho transductores de presión y dos laterales a lado y lado de la central, con cuatro sensores de presión cada una. Tal como se supuso, las presiones medidas son mayores que la presión estática en la base de la losa, lo que confirma la conversión de energía cinética en las aristas traseras de las juntas. Además, se verificó experimentalmente que la presión total en esa zona disminuye en el sentido del flujo. Se identificó entonces un factor de la inestabilidad de revestimientos de fondo de estructuras hidráulicas, omitido en el mecanismo de falla de losas de piso de diversas obras civiles.
Palabras clave: presiones hidrodinámicas, levantamiento, revestimientos, losas, modelos hidráulicos, tanques amortiguadores, falla, inestabilidad.
Abstract
An analysis was made to determinate if the pressure underneath a slab floor is affected by the flow velocity, the unsealed transverse gaps at the same level, and the separation between slab and floor to avoid level changes between gaps due to non-kinetic energy to pressure energy conversion. The variable was measured with the slab lying at the bottom or when separated from it, studying a flow with Froude numbers from 2.84 to 9.94 and depths with one-centimeter increments from 2.5 to 5.5 cm and separations between slab and bottom of 0, 0.2, 0.5, 1, and 2 mm. Furthermore, it was determined whether the measured pressure is greater than the static pressure, and whether the difference between these results corresponds to the kinetic energy of the low that is converted into pressure energy inside the back edges of the gaps. In each test the pressure was measured along three longitudinal lines underneath the tile: one central line with 8 pressure transducers and two laterals lines (side by side from the central line), with 4 pressure sensors each. As it was assumed, energy conversion in the gaps increases the measured pressure in the bottom of the slab beyond the static pressure. In addition, the experiments confirmed that the pressure deceases in the direction of flow. Thus, an inestability factor of the floor linings of hydraulic structures was identified, being not previously considered in the failure of floor revetments in several civil engineering projects.
Keywords: hydrodynamic pressure, uplift, linings, slabs, hydraulic model, stilling basins, failure, instability.
Introducción
La interacción fluido estructura es un complejo problema de la dinámica de fluidos de naturaleza turbulenta y efectos destructivos, que atrae el interés de científicos e ingenieros, porque su comprensión mejora el conocimiento de la turbulencia y propicia soluciones a situaciones indeseadas en la ingeniería.
Aun cuando en la condición más frecuente el cuerpo obstruye al flujo, generando turbulencia, hay una interacción en que éste, pese a ser tangente a la cara superior del recubrimiento de una estructura, genera procesos desconocidos que dañan esa capa de protección hecha de losas o losetas de tamaño definido por las propiedades termomecánicas del material y separadas por juntas de dilatación con sellos que asimilan los cambios de volumen por gradientes de temperatura (American Concrete Institute, 1982). Esto se debe a que la macroturbulencia saca el sello y expone las juntas a las solicitaciones turbulentas y térmicas producidas por la corriente (Levi y Maza, 1972; Levi, 1981; Sánchez y Capella, 1973; Levi y Del Risco, 1989; Khatsuria, 2005). Así fallaron estructuras revestidas contra la erosión de un flujo cuyo diseño estructural omitió las fuerzas hidrodinámicas y las incluyó en el factor de seguridad, aunque el problema no se presentó en los modelos Karnafuli, en Bangladesh (Rahman, 1972); Malpaso, en México (Sánchez y Capella, 1973); Tarbela, en Pakistán; Bhakra, en la India; Bratsk, Boutcharnisk, Pavlosk, Krasnoiarsk y Sayano-Sushenskoe, en la ex Unión Soviética; Pit 6, Pit 7 y Folsom, en Estados Unidos de América (Ramos, 1989; Liu et al., 2001). Otros daños similares se han observado en ciudades donde los arroyos son capaces de destrozar el pavimento rígido (Olivares, 2006) y en el sistema térmico de protección de los transbordadores espaciales donde el flujo, al interactuar con las losetas y sus juntas, produce calor y presiones que generan fuerzas y momentos que dañan el escudo térmico hasta la destrucción del vehículo, por ejemplo, con el Columbia y el Challenger (Jenkins, 1996).
En el caso de las estructuras hidráulicas, esos daños originaron investigaciones centradas en el análisis estocástico de las fluctuaciones macroturbulentas de presión en el fondo del salto hidráulico, en donde la presión se considera como una función aleatoria del tiempo y la posición (Aki, 1967; Abdul-Khader y Elango, 1974; Akbari et al., 1982; Bowers y Tsai, 1969; Bowers y Toso, 1988; Farhoudi y Narayanan, 1991; Gunko y Vedeneev, 1967; Rajaratnam, 1964; Resch y Leutheusser, 1971 y 1972; Vasiliev y Brukeyev, 1967; Rouse et al., 1958). De esos estudios surgieron criterios de diseño que aumentan significativamente el espesor del revestimiento con el caudal (Bureau of Indian Standar, 2007; Khatsuria, 2005; Fiorotto y Rinaldo, 1992a; Bellini y Fiorotto, 1995; Toso, 1988; Farhoudi, 1991; Soucek y Gau, 1967; Yedu-Koung y Mays, 1982; Rudavsky, 1976). Pero esta solución es costosa y se apoya en la hipótesis sin verificar de la presión uniforme abajo de la losa y distribución simétrica de presiones en la cara superior (Fiorotto y Rinaldo, 1992; Khatsuria, 2005).
Además, aunque los experimentos indican que la dificultad surge de la interacción de un flujo turbulento con juntas abiertas (Sánchez y Echávez, 1970; Levi y Maza, 1972; del Risco, 1989), en los estudios hechos, éstas son sólo conductos que llevan las fluctuaciones de presión de la cara superior a la cara inferior de la losa, donde además se supone que esa variable no se amortigua. Este enfoque ignora que las juntas, al exponerse a un flujo rasante, se convierten en potenciales convertidores de energía cinética en presión, porque el flujo puede impactar con sus aristas traseras. Asimismo, la presión abajo de una losa no necesariamente es uniforme, porque la separación entre ésta y su asiento puede afectar en mayor o menor grado la presión. Esos posibles escenarios, y el que el agua moje su cara inferior, indujo a pensar que la energía transferida en las aristas traseras de las juntas se transmite a esa cara de la losa, con un valor que depende de la separación losa-asiento.
Por lo anterior, la investigación aquí reportada evaluó si hay conversión de energía cinética en presión en las aristas traseras de las juntas transversales expuestas al flujo, que tiene lugar en la cara superior de una losa de fondo, si esa energía se transmite a su cara inferior mojada por el agua y si la separación losa-piso amortigua la presión abajo de ella. De esta forma, se quiso analizar si en la presión abajo de la losa inciden la velocidad del agua, las juntas transversales, y la separación entre su cara inferior y la superficie donde asienta.
El estudio se hizo en un canal de laboratorio, en cuyo fondo se colocó un dispositivo que simula una losa y sus juntas transversales. Con ese arreglo y 16 transductores piezo-resistivos distribuidos en una línea central con ocho sensores y dos líneas laterales con cuatro sensores cada una, se medió la presión en su cara inferior, cuando en el canal se desarrolló un flujo con números de Froude entre 2.84 y 9.94, tirantes variando entre 2.5 y 5.5 cm, y separaciones losa-asiento de 0, 0.2, 0.5, 1 y 2 mm.
En síntesis, el trabajo comprueba experimentalmente que sí hay conversión de energía de velocidad en presión en las aristas traseras de las juntas transversales abiertas de una losa y que la presión abajo de ella no es uniforme, porque esa variable depende de la separación entre la losa y el piso que protege.
Análisis del problema
Una junta de un revestimiento de piso es el espacio entre dos losas consecutivas, cuya cima la forman sus bordes o aristas superiores. Así, una losa de fondo tiene dos juntas transversales: a) una delantera, formada por su arista anterior, la arista posterior de la losa que le precede en el sentido del flujo y el piso que protege; y b) otra trasera, constituida por su arista posterior, la arista anterior de la losa que le sigue en el sentido del flujo y el piso que protege. Esas juntas se caracterizan por ser dos cavidades estrechas normales al flujo, paralelas entre sí y expuestas a una corriente tangente o paralela a su cima, con comunicación inferior si el agua se filtra a la cara inferior del revestimiento, problema que cuando hay separación entre losa y piso se podría estudiar como el flujo en una fractura (Sarkar, 2002) y si éstos están muy próximos entre sí, se podría analizar como el flujo en un microcanal (Arkilic, 1997; Enright et al., 2006).
Por tanto, en teoría, al estudio del flujo sobre las juntas transversales es aplicable la teoría del flujo sobre una cavidad de fondo transversal (Haugen y Dhanak, 1966); Reihman, 1967; Mehta y Lavan, 1969); Stallings y Wilcox, 1987; Djenidi et al., 1999; Shankar y Deshpande, 2000), para determinar las presiones en las juntas, con miras a estimar la presión abajo de una losa. Esta tarea, a su vez, demanda datos experimentales para definir las condiciones de frontera (Dwoyer et al., 1981; Hunt y Notestine, 1990; Djenidi et al., 1999), información no disponible en este caso. Ante esta dificultad, en el presente estudio se aceptó que en una junta transversal valen algunos aspectos de la interacción cavidad flujo cortante, en un intento por explicar el porqué la presión en la base de una losa puede ser mayor que la presión estática en esa frontera.
Con base en lo anterior, entonces en una junta transversal, el flujo interactúa con el fluido en su interior, produciendo un proceso de mezclado. Un efecto de esa interacción será la transferencia de momentum por diferencia de velocidad entre el fluido en movimiento y el agua en la junta (Haugen y Dhanak, 1966). Esto modifica el patrón de flujo en la zona de interacción y determina que las estructuras turbulentas dentro de esa junta dependan de sus dimensiones, de la velocidad de la corriente exterior, la densidad y viscosidad del agua y, por supuesto, de su forma (Reihman, 1967; Djenidi et al., 1999). Esta última característica afectará significativamente la región de contacto entre el flujo tangente y el agua en la junta, complicando en mayor o menor grad o el proceso de interacción (Sarkar, 2002).
Así, al no presentarse un esfuerzo cortante de pared (desde la arista delantera de la junta, la frontera inferior del flujo principal), se empezará a incrementar su velocidad en la zona de contacto entre éste y el fluido en ella, generando una región de mezclado de espesor creciente en el sentido del movimiento (figura 1), llamada zona de cortante.

Esta capa es la frontera entre el flujo principal y el fluido en la junta, y se caracteriza porque las partículas fluidas en ella empiezan con velocidad cero en la arista delantera de la losa y, en un entorno muy próximo a la arista posterior de la junta trasera, alcanzan su máxima velocidad, antes de colisionar con ella. De esta forma, en la arista posterior de la junta de interés, el flujo volverá al reposo por colisión con ella y por la condición de no deslizamiento. Ese choque convertiría ese borde en un potencial segmento de estancamiento. Por eso, las aristas traseras de las juntas transversales son potenciales convertidores de energía, ya que en ellas, por impacto, la energía cinética en el borde inferior de la corriente fluida es posible se convierta en presión transferible a su interior, como sucede en una cavidad. Por tanto, dentro de las juntas transversales, la presión puede superar la presión estática en una cantidad función de la velocidad del flujo cortante sobre éstas.
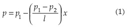
Por su parte, el incremento de presión en la junta por efecto de la conversión de energía en su arista trasera genera una condición de propagación de la presión debajo de la losa, para lo cual es condición necesaria y suficiente que exista agua debajo de la losa. En efecto, si a la base de la losa se filtra el agua, entonces existe la continuidad del medio requerida para que se propague la presión de una junta a esa frontera del espécimen ensayado. No obstante, como en la junta delantera el flujo tendrá más velocidad que en su homóloga trasera, en ésta ultima habría menor presión por conversión de energía de velocidad que en la primera (figura 2). En consecuencia, en esas condiciones es factible esperar la presencia de un gradiente de presión negativo desde la arista inferior delantera de la losa hasta la junta trasera, que da lugar a una disminución en el sentido del movimiento del flujo de la presión total debajo de la losa. Pero al igual que el flujo de Couette, ese gradiente de presión debe ser afectado por la separación losa-asiento. Esta circunstancia induce a pensar que el gradiente de presión abajo de la losa debe ser mayor cuanto menor es esa separación, por lo que el comportamiento de la presión abajo de la losa cuando hace o no contacto con el piso, se podría analizar suponiendo que si el flujo en esa cara es muy lento, entonces se le puede estudiar como el flujo de Stokes entre placas paralelas; este problema tiene una solución exacta conocida (Wilkes, 1999) y también ha sido resuelto numéricamente (Sarkar, 2002). Sin embargo, aquí se decidió suponer que la presión abajo de una losa de revestimiento disminuye linealmente en el sentido del flujo, porque al tener éste más velocidad en la junta delantera que en la trasera, la presión en la primera será mayor que en la última (del Risco, 1989). De manera que es válido suponer que en la cara inferior de una losa, por efecto de las juntas transversales, la presión variará según la relación (Wilkes, 1999):


Como justificación de la ecuación anterior, vale recordar que el flujo en la base de la losa se puede presentar en dos condiciones: 1) como en un microcanal, donde la separación la losa-asiento es sólo a través de las imperfecciones de la superficie de la lámina de acrílico por defectos de manufactura, en cuyo caso habrá flujo deslizante en las paredes; 2) si hay separación previamente establecida entre las paredes, que aunque pequeña es suficiente para que se cumpla la condición de no deslizamientos en ellas. Sin embargo, en ambos casos, la distribución de presiones estará representada por una relación similar a la ecuación (1).
Experimentos y resultados
El estudio se hizo en el canal experimental del Laboratorio de Hidráulica de la Universidad del Valle, Colombia (Del Risco, 2006), que es parte de una instalación en circuito cerrado, formada por los elementos mostrados en la figura 2.
En las condiciones del estudio, el trabajo experimental implicó diseñar y construir un dispositivo que simulara una losa y sus juntas transversales. Esto se logró pegando dos cajas concéntricas de acrílico a la cara inferior del piso, en lámina de acrílico de 8 mm de espesor del canal experimental: una interna con tapa y otra externa sin tapa superior, 4 mm más larga que la primera, con sus lados laterales pegados (figura 3b). Así, se construyeron dos cavidades: una delantera y otra trasera de 2 mm de ancho cada una (en el sentido del flujo), que acopladas a dos ranuras de 2 mm de ancho hechas en el piso, y de largo igual al ancho de la caja interna, formaron la losa y sus juntas transversales (figura 3a). Sobre este arreglo se formó un flujo con números de Froude desde 2.84 hasta 9.94, y tirantes entre 2.5 y 5.5 cm, que se obtuvieron variando de centímetro en centímetro la compuerta deslizante que regula la abertura del orificio del tanque de alimentación de agua al canal. Así, para cada abertura de orificio, la velocidad del flujo se varió, cambiando el caudal con la válvula de control a la salida de la bomba, lo que modificaba el nivel del agua en el tanque de alimentación y, por ende, la velocidad. Por último, completan las condiciones de los experimentos las separaciones losa-piso de 0, 0.2, 0.5, 1 y 2 mm, que permitieron analizar el efecto de ese parámetro en la presión abajo de la losa de prueba.

El procedimiento en cada prueba iniciaba fijando la altura del orificio de alimentación, para enseguida calibrar los transductores de presión con columnas de agua desde 2 hasta 18 cm de altura, con incrementos de 2 cm, logradas confinando el agua en la zona de prueba con una pared de acrílico de 25 cm de altura y ancho igual al del canal; el perímetro de contacto entre esta placa y las paredes del canal se sellaban con material adhesivo. Así, se obtuvieron los parámetros de sensibilidad y offset de los sensores para asociar los voltajes con las presiones, y se verificaron las características de linealidad, precisión y exactitud de los transductores reportados por el fabricante.
La presión registrada por los sensores se acondicionó y transmitió a un computador portátil Toshiba Qosmio mediante un sistema de adquisición de datos National Instruments formado por:
1. Chasis contra ruido, con fuente de potencia y circuito de control de hasta cuatro módulos; es de propósito general, tiene fuente de corriente directa y un sistema de instrumentación integrada.
2. Módulo de entrada de multiplexor NI SCXI-1104 (conector), con ganancias programables, filtrado paso bajo hasta un máximo de muestreo de 333 KS/s; se controló con el módulo NI SCXI-1600 (USB).
3. Módulo digitalizador NI SCXI-1600, con convertidor analógico digital a 16 bits, revisa hasta 200 mil muestras por segundo (200KS/s), recibe señales analógicas de otros módulos, y amplifica, digitaliza y envía, por un puerto USB, entradas y salidas digitales, y salidas analógicas de módulos de acondicionamiento de señales.
4. Multiplexor NI SCXI-1300 (bloque terminal) de 32 canales para módulos SCXI; tiene 72 terminales tipo tornillo, un sensor de temperatura de junta caliente, 32 terminales tipo tornillo para 32 entradas diferenciales de un módulo de acondicionamiento de señal; dispone de dos terminales tipo tornillo para aterrizar el chasis; en las condiciones actuales, puede registrar 32 señales analógicas absolutas o 16 señales analógicas diferenciales.
La velocidad del flujo se midió con tubo de Pitot, en un punto ubicado 0.05 m corriente abajo del orificio de alimentación y a 0.095 m corriente arriba de la junta normal delantera; el error estimado en la medición de esta variable se estimó en un 4%, lo que se aproxima a lo reportado por el fabricante (Dwyer Instruments), verificación que se hizo usando un micromolinete.
Una síntesis de las condiciones ensayadas se resume en el cuadro 1, donde aparecen los valores de la abertura del orificio, el número de pruebas realizadas y las condiciones hidrodinámicas de las mediciones de presión referidas a la velocidad U∞ y al caudal Q del flujo.
Por otro lado, en la figura 4 se presentan las presiones medias medidas en los diferentes puntos de la cara inferior de la losa de prueba denotada como Pi adimensionalizadas con la presión estática Pe=γh, donde γ es el peso específico del agua y h es la abertura del orificio (0.025, 0.035, 0.045 y 0.055 m). Los valores de la razón Pi/Pe se indican en las ordenadas de las gráficas de la figura mencionada, cuyas abscisas son la razón de la posición del punto de registro de la presión medida (Xi), referido al orificio de alimentación de agua al canal, y la posición de la última línea de los sensores (X8) medido respecto a la misma referencia.
Análisis de resultados y conclusiones
Los datos registrados revelan que la presión media medida por los transductores de presión abajo de la losa de prueba supera la presión hidrostática en esa frontera. Esto confirma la conversión de energía de velocidad en presión en las aristas superiores traseras de las juntas transversales, porque al ser mínimas las oscilaciones de la superficie libre del flujo supercrítico, la única forma de explicar la diferencia de presión es a través de la conversión de energía por impacto del flujo con las aristas posteriores de esas juntas.
Asimismo, el comportamiento de la presión medida en la cara inferior de la losa de prueba indica que su magnitud decrece en el sentido del movimiento del flujo principal. Esto puede obedecer a que el flujo, por tener más velocidad, cede más energía cinética en la junta delantera que en la trasera, lo que también coincide con la variación lineal de la presión observada en los microcanales (Arkilic, 1997).
Al examinar los datos de la presión debajo de la losa ensayada, en función de la separación losa-asiento, se concluye que su valor disminuye al crecer esa separación. Este comportamiento no sólo refleja que ese espacio afecta la propagación de la presión en la cara inferior de la losa, sino que también permite inferir que la energía de presión convertida se fugará más de esa zona, en la medida en que mayor sea la separación de referencia. En consecuencia, es factible afirmar que a menor espacio entre losa y asiento hay mayor presión convertida abajo de la losa y que, por tanto, es más probable el efecto "gato hidráulico" en esas condiciones.
En síntesis, la investigación buscó averiguar si hay conversión de energía en las aristas traseras de las juntas transversales de las losas de piso de una estructura hidráulica o de pavimentos rígidos, por colisión del flujo con esos bordes. Con ese fin se ideó y construyó un dispositivo en el fondo de un canal de laboratorio, que simula una losa fija de protección del piso. Ese elemento se instrumentó con 16 transductores de presión piezo-resistivos para medir la presión en igual número de puntos de la cara inferior. Los sensores se distribuyeron de manera que dieran la máxima información del comportamiento de la presión abajo del espécimen ensayado cuando éste se expone a un flujo rápido sin necesidad de que se presente el salto hidráulico. Se quiso así investigar, sin los cambios de presión por oscilación de la superficie libre del salto hidráulico, el efecto en la presión abajo de una losa de protección de piso de: la velocidad del flujo sobre las juntas transversales, la orientación de éstas respecto a aquél, y la separación entre losa y asiento.
Con base en los resultados alcanzados en el estudio se concluye lo siguiente: 1) la presión abajo de la losa ensayada supera la presión hidrostática, en una magnitud que puede ser varias veces superior al valor de la última; 2) la presión abajo del bloque de prueba decrece en el sentido del flujo, lo que comprueba que la energía de presión convertida en la junta normal delantera es mayor a la de junta normal trasera; 3) la separación entre losa y asiento afecta de manera inversa al valor de la presión en esa zona del revestimiento, de modo que a menor separación entre esas superficies hay mayor presión abajo del bloque protector, lo que indica menor disipación de energía de presión a menor separación; 4) la distribución de presión en la cara inferior de la losa de prueba, por lo menos en sus valores medios, produciría una fuerza excéntrica en esa cara, situación que en las condiciones ensayadas, daría lugar a la rotación como grado de libertad de movimiento, en contradicción con el mecanismo de fuerza centrada hasta ahora supuesto.
Agradecimientos
Se agradece la valiosa ayuda técnica del señor Hebert Hernández Plaza por la construcción del canal, el simulador de losa y juntas, y su colaboración en la realización de los ensayos.
Nomenclatura
U∞ = velocidad de la corriente principal.
Q = caudal desde el orificio de alimentación.
γ = peso específico del agua 9.8 KN/m3.
Fr = número de Froude.
δ = espesor de la capa límite.
Pi = presión promedio medida en la cara inferior de la losa de prueba.
Pe = presión estática lo largo de la losa de prueba.
Xi = distancia desde el flujo incidente hasta la posición del punto de registro de la presión medida.
X8 = distancia desde el flujo incidente hasta la posición de la última línea de los sensores.
Referencias
ABDUL-KHADER, M.H. and ELANGO, K. Turbulent Pressure Field beneath a Hydraulic Jump. J. of Hydraulic Research. Vol. 12, no. 4, 1974, pp. 469489. [ Links ]
AKBARI, M., MITAL, M. and PANDE, B. Pressure Fluctuations on the Floor of Free and Forced Hydraulic Jump. Proceedings International Conference Modeling Civil Engineering Structures. Coventry, England, 1982, pp 163170. [ Links ]
AKI, S. Dynamic Characteristic of the Force Acting on the Spillway Chute. Proceedings 12th IAHR Congress. Paper B9. Vol. 2, 1967, pp. 163-170. [ Links ]
ARKILIC, E.B. Measurement of the Mass Flow and Tangential Momentum Accommodation Coefficient in Silicon Micromachined Channels. Cambridge: Fluid Dynamics Research Laboratory, Department of Aeronautics and Astronautics, Massachusetts Institute of Technology, 1997, pp. 9-22. [ Links ]
AMERICAN CONCRETE INSTITUTE. Recommendations for Construction of Concrete Pavements and Concrete Bases. Farmigton Hills, USA: American Concrete Institute, 1982. [ Links ]
BELLINI, A. and FIOROTTO, V. Direct Dynamic Force Measurements on Slab in Spillway Stilling Basin. J. of Hydraulic Engineering. ASCE. Vol. 121, no. 10, 1995, pp. 686-693. [ Links ]
BOWERS, C.E. and TSAI, F.Y. Fluctuating Pressures in Spillway Stilling Basins. J. Hydraulic Division. ASCE. Vol. 95, no. 6, 1969, pp. 2071-2079. [ Links ]
BOWERS, C.E. and TOSO, J. Karnafulli Project: Model Studies of Sapillway Damage. J. Hydraulic Engineering. ASCE. Vol. 114, no. 5, 1988, pp. 469-483. [ Links ]
BRÉS, G.A. Numerical Simulations of Three-Dimensional Inestabilities in Cavity Flow. Thesis for the Degree of Doctor of Philosophy. Pasadena: California Institute of Technology, 2007. [ Links ]
BUREAU OF INDIAN STANDAR. Structural design of energy dissipaters for spillways criteria [en línea]. Textinfo ed. preliminary. India. Julio de 2007 [citado el 28 de enero de 2009]. Disponible para World Wide Web: www.bis.org.in/sf/wrd/WRD09(489).pdf. [ Links ]
DEL RISCO, E. Inestabilidad del revestimiento de fondo de un tanque amortiguador. Tesis doctoral presentada a la División de Estudios de Posgrado de la Facultad de Ingeniería. México, D.F.: Universidad Nacional Autónoma de México, 1989. [ Links ]
DEL RISCO, E. Estudio del levantamiento de una losa de revestimiento. Informe de año sabático. Cali, Colombia: Facultad de Ingeniería, Universidad del Valle, 2006. [ Links ]
DJENIDI, L., ELAYARASAN, R. and ANTONIA, R.A. The turbulent boundary layer over transverse square cavities. J of Fluid Mechanics. Vol. 395, 1999, pp. 271-294. [ Links ]
FARHOUDI, J. and NARAYANAN, R. Force on slab beneath hydraulic jump. J. of Hydraulic Engineering. Vol. 117, no. 1, 1991, pp. 64-82. [ Links ]
DWOYER, D.L., NEWMAN, P.A., THAMES, F.C. and DUANE-MELSON, N.D. A Tile-Gap low Model for use in Aerodynamic Loads Assessment of Space Shuttle Thermal Protection System: Parallel Gap Face. NASA Technical Memorandum 83151, 1981.
ENRIGHT, R., EASON, C., DALTON, T., HODES, M., SALAMON, T., KOLODNER, P. and KRUPENKIN, T. Friction factors and nusselt numbers in microchannels with super hydrophobic walls. Proceedings of ICNMM2006, Fourth International Conference of Nanochannels, Microchannels and Minichannels. Hampton, USA: Limerick, Ireland, June 19-21, 2006. [ Links ]
FARHOUDI, J. and NARAYANAN, R. Force on slab beneath hydraulic jump. Journal of Hydraulic Engineering. Vol. 117, no. 1, 1991, pp. 64-82. [ Links ]
FIOROTTO, V. and RINALDO, A. Turbulent pressure fluctuations under hydraulic jumps. J. of Hydraulic Research. Vol. 130, 1992, pp. 499-520. [ Links ]
FIOROTTO, V. and RINALDO, A. Fluctuating uplift and linings design in spillway stilling basins. J. Hydraulic Enginnering. ASCE. Vol. 118, no. 4, 1992a, pp. 578-596. [ Links ]
HAUGEN, R.L. and DHANAK, A.M. Momentum transfer in turbulent separated flow past a rectangular cavity. J. of Applied Mechanics. Transactions of the ASME. September, 1966, pp. 641-646. [ Links ]
HUNT, L.R. and NOTESTINE, K.K. Aerodynamic Pressure and Heating-Rate Distributions in Tile Gaps around Chine Regions with Pressure Gradients at a Mach Numbers of 6.6. Hampton, USA: NASA Technical Paper 2988, 1990. [ Links ]
JENKINS, D. Space Shuttle: The History of Developing the National Space Transportation System. Melbourne Beach, USA: Walsworth Publishing Company, 1996. [ Links ]
KHATSURIA, R.M. Hydraulics of Spillways and Energy Dissipaters. New York: Marcel Dekker, 2005, pp. 411-424. [ Links ]
LEVI, E. y MAZA, J.A. Estudio sobre la flotación de losas en tanques amortiguadores. Memorias del 2o. Congreso Nacional de Hidráulica. Culiacán, México, 1972, pp. 147-165. [ Links ]
LEVI, E. Acción hidrodinámica de la corriente sobre revestimientos de tanque amortiguadores. Informe técnico. México, D.F.: Instituto de Ingeniería, UNAM, 1981. [ Links ]
LEVI, E. and DEL RISCO, E. Search for the cause of highspeed-channel revetment failures. ASCE. J. of Performance of Constructed Facilities. Vol. 3, no. 2, May, 1989, pp. 125-136. [ Links ]
LIU, P.Q., LIU, X.A. and LI, F.T. Failure mechanism of bottom plate in stilling basin and countermeasure for protection. J. Hydraul. Eng. (China). No. 9, 2001, pp. 1-9. [ Links ]
LIU, P.Q. and LI, A.H. Model discussion of pressure fluctuations propagation within lining slab joints in stilling basins. Journal of Hydraulic Engineering. Vol. 133, no. 6, 2007, pp. 618-624. [ Links ]
MEHTA, U.B. and LAVAN, Z. Flow in a Two Dimensional Channel with a Rectangular Cavity. Washington D.C.: NASA Contractor Report 1245, 1969. [ Links ]
OLIVARES, J. Destrozos viales por aguacero. El Heraldo de Barranquilla. Julio de 2006. [ Links ]
RAHMAN, M.A. Damage at the Karnafulli dam spillway. J. of Hydraulic Division. Proceedings of the ASCE. Paper no. 9452. Vol. 98, no. HY12, 1972, pp. 2155-2170. [ Links ]
RAMOS, C.M. Models for Study of the Hydrodynamic Actions on Hydraulic Structures, Recent Advances in Hydraulic Physical Modelling. Series E: Applied Sciences-Volume 165. The Netherlands: Kluwer Academic Publishers, 1989. [ Links ]
RAJARATNAM, N. The forced hydraulic jump. Water Power. January. February, 1964, pp. 14-19, 61-65. [ Links ]
REIHMAN, T.CH. Laminar Flow over Transverse Rectangular Cavity. Thesis for the deegre of doctor of Philosophy. Pasadena: California Institute of Technology, 1967. [ Links ]
RESCH, F.J. et LEUTHEUSSER, H.J. Mesures des Turbulence dans le Ressaut Hydraulique. La Houille Blanche. No. 1, 1971, pp. 409-428. [ Links ]
RESCH, F.J. et LEUTHEUSSER, H.J. Mesures des Tensions de Reynolds dans le Ressaut Hydraulique. J. of Hydraulic Research. Vol. 10, no. 4, 1972, pp. 409-428. [ Links ]
ROUSE, H., SIAO, T.T. and NAGARATNAM, S. Turbulent characteristics of hydraulic jump. J. of Hydraulic Division. ASCE. Vol. 124, 1958, pp. 927-966. [ Links ]
RUDAVSKY, L. Selection of Spillway end Energy Dissipators in Preliminary Planning of Dams Development. Proceedings ICOLD. Q. 46, R. 9. Douziéme Congrés des Grands Barrages, México, 1976, pp. 153-180. [ Links ]
SÁNCHEZ, J.L. y ECHAVEZ, A.G. Criterio Preliminar para el Diseño de Losas de Tanque Amortiguadores. Informe técnico. México, D.F.: Instituto de Ingeniería, UNAM, 1970. [ Links ]
SÁNCHEZ, J.L. y CAPELLA, A. Turbulence Effects on the Linning of Stilling Basins. Proceedings ICOLD. Q. 41, R. 83. Congrés des Grands Barrages, Madrid, 1973, pp. 1575-1592. [ Links ]
SHANKAR, P.N. and DESHPANDE, M.D. Fluid mechanics in the driven cavity. Annu. Rev. Fluid Mech. Vol. 32, 2000, pp. 93-136. [ Links ]
SOUCEK, E. and GAU, J.N. Spillway and Closures for the Large Earth Dams on the Missouri River. Proceeding ICOLD. Neuviéme Congrés des Grands Barrages. Istambul, 1967, pp. 29-55. [ Links ]
STALLINGS ,R.L., Jr. and WILCOX, F.J., Jr. Experimental Cavity Pressure Distributions at Supersonic Speeds. Hampton, USA: NASA Technical Paper 2683, 1987. [ Links ]
SARKAR, S., TOKSÖZ, N. and BURNS, D.R. Fluid Flow Modeling in Fractures. Cambridge: Earth Resources Laboratory, Depth of Earth, Atmospheric and Planetary Sciences, Massachusetts Institute of Technology, MA 02139, 2002. [ Links ]
YEDU-KOUNG, T. and MAYS, L.W. Optimal design of stilling for overflow spillway. J. of Hydraulic Division. Proceedings of the ASCE. Vol. 108, no. 9, 1982, pp. 1163-1178. [ Links ]
VASILIEV, O.F. and BRUKEYEV, V.I. Statistical characteristics of pressure fluctuations in the region of hydraulic jump. Proceedings IAHR. Vol. 2, Paper B.1, 1967, pp. 1-8. [ Links ]
WILKES, J.O. Fluid Mechanics for Chemical Engineers. New Jersey: Prentice Hall, 1999. [ Links ]













