Introducción
Los incendios forestales son uno de los factores más importantes que dan forma y modifican el ecosistema y la biodiversidad del Planeta desde hace millones de años. En múltiples regiones del mundo, estos eventos son causados por una combinación de fenómenos naturales como los rayos y la disponibilidad de combustible vegetal debido a las sequías pronunciadas en ciertos meses del año. Por ejemplo, en México 40 % de los tipos de vegetación son mantenidos por incendios (Rodríguez, 2014), y en algunos bosques tropicales ocurren en cada temporada de secas, por lo que las especies arbóreas exhiben rasgos de adaptación a los incendios, y estos desempeñan un papel ecológico (Nasi et al., 2002). En gran medida, los seres humanos son responsables, directa o indirectamente, de manera deliberada o por descuido, de entre 75 % y 96 % de ellos (Hirschberger, 2016).
La expresión del fuego como factor ecológico en los ecosistemas forestales ocurre a partir de regímenes de fuego, es decir, los patrones de incendios repetidos y expresados como frecuencia, estación, tipo, gravedad y extensión en un paisaje (Scott et al., 2014). Se estima que 61 % de las ecorregiones del Planeta tienen regímenes de fuego degradados o muy degradados, de modo que el fuego desempeña un papel fundamental en el mantenimiento de muchos ecosistemas; debido a las actividades antrópicas, el fuego se comporta, actualmente, de manera diferente que en cualquier otra época de la historia de la humanidad (Shlisky et al., 2007).
A una escala global, la alteración de los regímenes de fuego es una importante fuente de emisiones de gases de efecto invernadero. En el ámbito regional, los incendios impactan las reservas de biomasa, el ciclo hidrológico y la salud de las personas, además afectan significativamente la biodiversidad en los bosques. Nasi et al. (2002) señalan que a finales del siglo XX, los cambios en la dinámica entre el hombre, el fuego y el aumento en la frecuencia de El Niño-Oscilación del Sur, han originado una situación en la que los incendios constituyen una importante amenaza para muchos bosques y su biodiversidad. En particular, El Niño-Oscilación del Sur ha generado condiciones inusualmente cálidas y secas en muchas regiones del mundo susceptibles a los incendios, lo que puede resultar en un incremento de la superficie quemada (Burton et al., 2020).
Desde el punto de vista de la salud de las personas, el humo de los incendios forestales tiene el potencial de afectar a millones de personas, por lo que constituye un problema de salud pública considerable (Chen et al., 2006; Dennekamp y Abramson, 2011).
Con los avances tecnológicos actuales es posible monitorear grandes superficies mediante el uso extensivo de los datos satelitales. Una aplicación es la detección de los incendios activos (focos de calor) que, generalmente, se basa en la región espectral infrarroja media (MIR) (3-5 μm), la cual implica una radiancia espectral de la temperatura a la que se quema la vegetación (de 500 a 1 000 K). Esta es superior a las temperaturas promedio de la Tierra (de 300 K), por lo que es posible distinguir los incendios activos (Chuvieco, 2008). El sensor más importante es el Espectrorradiómetro de Imágenes de Resolución Moderada (MODIS) de los satélites Aqua y Terra, el cual identifica los “píxeles de fuego” del tamaño de 1 km2 (en promedio). Müller et al. (2013) refieren que el tamaño de los incendios detectables depende de la temperatura del fuego, del área del incendio, de la cobertura vegetal y del ángulo de visión del sensor.
La observación y el registro de los focos de calor también permite estudiar, analizar y responder preguntas científicas a partir de datos espacio-temporales. La información disponible a la fecha no respalda un aumento general de la superficie quemada, ni de la gravedad global de los incendios, pero hay evidencias, basadas en algunas escalas regionales, de que se ha incrementado el número de eventos y el área total afectada (Doerr y Santín, 2016). Por lo tanto, cabe suponer que los incendios forestales se pueden analizar y modelar a nivel regional.
En México hay algunos esfuerzos de investigación encaminados a comprender diversos aspectos de los incendios forestales, desde los puntos de vista de la causalidad (Ávila-Flores et al., 2010; Antonio y Ellis, 2015; Pompa-García et al., 2018; Zúñiga-Vásquez y Pompa-García, 2019) hasta de la predicción (Perez-Verdin et al., 2014; Ibarra-Montoya y Huerta-Martínez, 2016; Galván y Magaña, 2020; Monjarás-Vega et al., 2020; Ruíz-García et al., 2022).
Oaxaca es el estado con mayor biodiversidad en todo México; alberga casi la mitad de las especies de plantas y de tipos de vegetación del país, así como 40 % de los taxa de mamíferos, 63 % de los de aves, 26 % de los reptiles y 23 % de los peces de río (Oviedo, 2002). El estado se ubica en el suroeste de México y colinda con Puebla, Veracruz, Chiapas, Guerrero, y con el océano Pacífico al sur (Figura 1). El bosque seco tropical, en el que viven como endémicas hasta 70 % de las especies de plantas, cruza el estado.
Con base en los resultados obtenidos a partir de datos de los años 2000 a 2012,
Oaxaca es una de las primeras cinco entidades con más emisiones de carbono negro (4
557-6 309 t
Doerr y Santín (2016) señalan la necesidad de realizar estudios a escalas local y regional, y dada la gran biodiversidad existente en Oaxaca, en el presente estudio se analizan retrospectivamente los eventos de focos de calor ocurridos en los últimos 19 años (2001-2019) en el estado. El objetivo principal fue analizar y caracterizar el patrón espacio-temporal de los casos de focos de calor para conocer si sus patrones varían en el espacio y en el tiempo, o si los eventos se dispersan al azar en ambas escalas. Se consideró que en el área de estudio los focos de calor no están dispersos al azar en el espacio, sino que se forman agrupamientos, los cuales se explican, parcialmente, como una función de ciertas variables ambientales como la temperatura, la precipitación, la pendiente del terreno, la velocidad de viento y el tipo de vegetación. También, se planteó la hipótesis de que los focos de calor tienden a incrementarse significativamente en el tiempo y el espacio.
En México, se han realizado muchos estudios sobre incendios forestales, pero sin un enfoque unificado que modele en el espacio y el tiempo e integre y cuantifique los efectos de ciertas variables ambientales en el riesgo de incendios. Es posible incluir en investigaciones futuras variables relacionadas con las actividades humanas que igual influyen en la distribución de los focos de calor. Cabe señalar que en el presente estudio se analizan, por primera vez, los datos de los focos de calor de dos décadas de registros satelitales en Oaxaca.
Materiales y Métodos
Datos y su descripción general
La base de datos de los focos de calor utilizada se obtuvo del Sistema de
Información sobre Incendios para la Gestión de Recursos (FIRMS)
(NASA, 2020c). Los registros
representan el centro de un píxel de 1 km2
El estado se dividió en un entramado regular de celdas de 10 km2 cada una. El número total de nuevos registros de focos de calor (no repetidos) se registró en cada celda para cada año se modelaron mediante un modelo estadístico que se presenta más adelante.
Además, se generó una base de datos de variables ambientales estandarizadas
(valores crudos menos el promedio, divididos entre su correspondiente desviación
estándar) a una resolución de 1 km2, la cual incluye valores de
temperatura media del cuatrimestre más seco (TempCS, °C),
precipitación media del trimestre más seco (ppCS, mm),
velocidad media del viento (velocidad del viento, m
Las variables climáticas se descargaron de la página web WorldClim-2 (Fick y Hijmans, 2017) y corresponden a los valores promedio de los datos históricos, mientras que la pendiente se obtuvo del portal de geointeligencia de la Conabio (Conabio, 2020). Se calcularon los valores promedio del IVM a partir de los datos crudos de la página web EarthData (NASA, 2020b) mediante la aplicación AppEEARS (NASA, 2020a).
Modelo estadístico
Se utilizó un modelo que se ha empleado en aplicaciones similares (Boadi et al., 2015; Costafreda, 2017); la variable de respuesta
Donde:
El segundo nivel de jerarquía que vincula los predictores (la causa de los
efectos fijos, el componente espacial, la tendencia temporal y la interacción
entre tiempo y espacio) a
Donde:
Los efectos espaciales aleatorios están dados por
Para fines prácticos, el modelo (Ecuaciones 1 y 2) se
ajustó con el enfoque estadístico bayesiano, mediante la Integración Aproximada
por transformada de Laplace (INLA, por sus
siglas en inglés) (Rue et al.,
2009) en el lenguaje de programación R (R Core Team, 2019). Por lo tanto, a fin de completar la
especificación de los modelos, se requieren distribuciones a
priori (tercer nivel de la jerarquía) para todos los parámetros del
modelo. Para la media global en la escala logarítmica, se supuso una
distribución a priori uniforme no informativo; es decir,
Los otros parámetros que, se supone, tienen distribuciones normales son el efecto
temporal
Donde:
El efecto temporal estructurado se modela dinámicamente como una caminata
aleatoria de segundo orden (RW-2):
Resultados y Discusión
En el Cuadro 1 se presentan la media a
posteriori, la desviación estándar a posteriori y el
intervalo de credibilidad a posteriori a 95 % de cada elemento de (
Cuadro 1 Resumen estadístico para los efectos fijos.
| Variable ambiental | Parámetro | Media | Desviación estándar | Intervalo de confianza de 95 % | Exp (media) |
|---|---|---|---|---|---|
| Intercepto |
|
0.153 | 0.149 | [-0.192, 0.41] | 1.165 |
| TempCS* |
|
0.577 | 0.122 | [0.337, 0.817] | 1.781 |
| ppCS |
|
-0.008 | 0.126 | [-0.255, 0.238] | 0.992 |
| Pendiente |
|
0.013 | 0.061 | [-0.106, 0.132] | 1.013 |
| Velocidad del viento* |
|
-0.348 | 0.122 | [-0.588,-0.108] | 0.706 |
| IVM* |
|
0.299 | 0.062 | [0.178,0.419] | 1.349 |
| El Niño* |
|
-0.523 | 0.186 | [-0.836,-0.088] | 0.593 |
| La Niña |
|
-0.248 | 0.193 | [-0.591,0.184] | 0.78 |
*Variables estadísticamente significativas.
En otros estudios también se documenta que la temperatura aumenta el riesgo de incendios forestales (Perez-Verdin et al., 2014; Antonio y Ellis, 2015). Por otra parte, los valores promedio del IVM proporcionan información acerca de las reservas de biomasa que potencialmente podrían estar disponibles como combustible forestal en la temporada seca del año; por lo tanto, conforme se incrementan los valores de IVM es mayor el efecto sobre el peligro de incendios forestales.
Contrariamente a lo que se esperaría, el aumento de una unidad estandarizada en la
velocidad del viento disminuye el riesgo de un incendio forestal en 29.4 %
((1-0.706)
El efecto asociado a El Niño requiere de especial atención. Cuando se observa el fenómeno de El Niño, al año siguiente se reduce en 40.7 % el riesgo de que se presenten focos de calor. Lo anterior se debe a que El Niño ocasiona, en general, más precipitación en México durante el invierno (Bravo-Cabrera et al., 2017), y en consecuencia, hay menos combustible vegetal seco durante la temporada de secas (en la primavera del año siguiente).
En la Figura 2 se representa la moda a
posteriori del efecto espacial principal

Figura 2 Moda a posteriori del efecto espacial principal
Algunas celdas con valores altos de
En México, muchas selvas caducifolias originales son una mezcla de especies arbóreas adaptadas al fuego y sensibles a este, de tal manera que el fuego tiende a seleccionar a las primeras y las segundas se eliminan (Rodríguez et al., 2019). Es importante señalar que la selva de Chimalapas, región con gran biodiversidad, tiene valores del efecto espacial pequeños a pesar de que las zonas aledañas presentan valores altos. Probablemente, los esfuerzos de conservación de su población indígena nativa expliquen los valores bajos. En 1998, año de incendios extremos en México, la región estuvo severamente afectada por incendios de gran magnitud.
El segundo agrupamiento va del suroeste (limítrofe con Guerrero) al sureste del estado, una zona que comprende la Sierra Madre del Sur, la cual está constituida por bosques cálidos secos y cordilleras templadas; es probable que los valores altos del efecto espacial principal se deban también a efectos antropogénicos. Ambos agrupamientos coinciden con los identificados por Zúñiga-Vásquez et al. (2017), quienes utilizaron datos de todo el territorio mexicano.
En el Cuadro 2 se presenta un resumen de los
hiperparámetros. El cálculo de
Cuadro 2 Resumen estadístico de los hiperparámetros.
| Hiperparámetro | Media | Desviación estándar | intervalo de confianza de 95% |
|---|---|---|---|
|
|
2.161 | 0.078 | [2.039,2.339] |
|
|
0.03 | 0.017 | [0.012,0.075] |
|
|
0.114 | 0.067 | [0.025,0.277] |
|
|
0.216 | 0.087 | [0.108,0.443] |
|
|
0.762 | 0.007 | [0.748,0.776] |
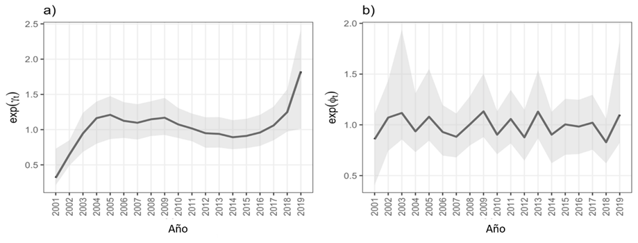
Las Figuras 3a y 3b muestran la moda a posteriori de los efectos
temporales estructurados

a) Efecto temporal estructurado
Figura 3 Moda a posteriori e intervalo de credibilidad de la tendencia temporal para los eventos de focos de calor en Oaxaca, México.
Las proyecciones de Senande-Rivera et al. (2022) apuntan a que el área global susceptible de experimentar incendios frecuentes podría incrementarse en 29 % (25 % en las zonas templadas) a finales del siglo XXI. Un efecto del aumento en la incidencia de incendios forestales en el futuro, sería una mayor pérdida de cobertura en zonas boscosas que alteraría los procesos hidrológicos (Ruíz-García et al., 2022), además de tener impactos sociales y ambientales. Por otra parte, el término del efecto no estructurado (Figura 3b) presentó cierta fluctuación en torno a uno como se esperaba, debido a que representa la variación temporal (residual) no explicada por el modelo.
Las probabilidades de excedencia se representan en las Figuras 4a-4d. Las probabilidades
de excedencia corresponden a la probabilidad de que la tasa relativa de que en
cierta celda

a) Para
Figura 4 Probabilidad de excedencia
En la Figura 5 se representa la moda a
posteriori para la interacción espacio-temporal en la escala original;
es decir,
A través de los años, las celdas naranja y rojas (con valores altos de
Conclusión
Se realiza un análisis espacio-temporal de los eventos de focos de calor registrados en el estado de Oaxaca en los últimos 19 años mediante datos del sensor MODIS, con el propósito de investigar si los incendios forestales ocurren en forma dispersa, o si se forman agrupamientos. Los resultados evidencian que las variables ambientales como la temperatura media del cuatrimestre más seco, los valores promedio del Índice de Vegetación Mejorada, velocidad media del viento, y la incidencia de la Oscilación del Sur El Niño, explican algunas de las variaciones espaciales observadas en los eventos de focos de calor. De acuerdo al componente espacial del modelo estadístico empleado, los focos de calor forman agrupamientos, sobre todo a lo largo de la Sierra Juárez y hasta el Istmo de Tehuantepec, pero también a lo largo de toda la Sierra del Sur (hacia la costa del estado). A partir del análisis, se identifica una señal de alarma: el término temporal muestra una tendencia no lineal que se ha incrementado en 42.2 % en el periodo analizado, lo que altera aún más los regímenes de incendios. El parámetro de las interacciones espacio-temporales también confirma esa tendencia, y demuestra que el número de eventos está incrementándose en el espacio y el tiempo. De continuar el aumento, en las próximas décadas cientos de hectáreas de bosque y su biodiversidad estarán amenazadas; ello incluirá las actividades económicas y la salud de las personas que viven tanto en áreas rurales, como urbanas.
Este trabajo puede ser un punto de partida para investigaciones posteriores encaminadas a entender mejor la distribución espacial y temporal de los incendios forestales y los regímenes alterados en Oaxaca. La identificación de los principales agrupamientos permitirá a la Conafor diseñar una mejor logística para actuar de manera oportuna, y así reducir los impactos ambientales y socioeconómicos de los incendios forestales, además de optimizar los recursos económicos y técnicos que se requieren para combatir los incendios.
La probabilidad de excedencia revela algunas regiones muy locales en las que se espera un número alto de eventos por año (>4 en un año), por lo que sería interesante responder desde un punto de vista causal por qué ocurre esto, así como diseñar acciones de mitigación eficaces. La tendencia temporal creciente puede revertirse de muchas maneras, como la concientización mediante campañas completas y bien planeadas que se centren en las poblaciones rurales que más interactúan con el bosque. También se requiere proporcionar a los agricultores capacitación técnica para cambiar a prácticas agrícolas que conlleven un menor riesgo de provocar incendios forestales. La explotación ilegal de los bosques y el cambio de uso del suelo se neutralizan eficazmente a partir de la generación del desarrollo rural a través de actividades rentables como el ecoturismo, la agroforestería, la incorporación de las comunidades rurales en los programas de pago por servicios ambientales, entre otros.
Desde un punto de vista estadístico, en el futuro se propone ampliar el análisis mediante la incorporación de otras variables ambientales, además de las de tipo socioeconómico para cuantificar indirectamente los efectos antropogénicos de la pobreza y de la desigualdad social en el riesgo de incendios forestales y de la alteración de sus regímenes.










texto en 





