Introducción
Gmelina arborea Roxb. es originaria de los bosques caducifolios húmedos del sureste de Asia (Osorio, 2004; Wee et al., 2012). En la actualidad, la especie es considerada como una opción prometedora para garantizar el abastecimiento de materia prima para la industria forestal en el trópico y subtrópico. Esto se debe, principalmente, a su fácil manejo, bajo costo de establecimiento, rápido crecimiento en sus primeros estadios y alta producción de biomasa en ciclos cortos (Kumar, 2007; Adebisi et al., 2011; Rojas et al., 2012).
En Costa Rica es el segundo taxón forestal en importancia con más de 18 000 ha, lo que representa 20.5 % del área total establecida con fines maderables (INEC, 2015). Su posicionamiento en el sector forestal se debe al impulso de programas de mejoramiento genético clonal, iniciados en los años noventa, de los cuales se obtuvieron excelentes resultados en características de interés comercial; con ello, se buscaba aumentar la productividad y la calidad de la madera, con base en la selección de genotipos sobresalientes para contar con caracteres genéticos específicos (Balcorta y Vargas, 2004).
Una estrategia clave en la producción clonal radica en seleccionar o excluir genotipos con rasgos deseables desde fases previas a su establecimiento en campo (Puttonen, 1989; Mattsson, 1996). Lo anterior es crucial para la reducción de costos y, por ende, el aumento de la eficiencia del sistema productivo, mediante la disminución en los tiempos de los procesos de selección de los materiales genéticos superiores. Para lograr dicho objetivo se deben identificar criterios, parámetros o variables que puedan emplearse en su selección temprana. Además es indispensable que se asocien al desarrollo de la masa forestal, por lo que las variables morfológicas y las fisiológicas, en particular, se convierten en una opción principal (Puttonen, 1989; Mattsson, 1996; Rakocevic et al., 2005; Ávila, 2013; Ávila et al., 2016).
De este modo, correlacionar parámetros fisiológicos evaluados en la etapa de vivero con el desarrollo en campo de los genotipos, a partir de la evaluación de ensayos clonales formalmente establecidos ofrece la posibilidad de identificar genotipos con un crecimiento óptimo para áreas de producción forestal continua que, a su vez, sirvan como instrumento para esa selección de clones superiores (Puttonen, 1989; Goswami y Tewari, 2011; Codesido et al., 2012; Ávila et al., 2016); tal es la condición del sitio experimental aquí estudiado.
A pesar de la relevancia que tiene el conocer a detalle el comportamiento de distintos tipos de variables, para los materiales genéticos que hoy en día se utilizan en la producción de madera, y en cada uno de sus estadios de vida. La información existente y necesaria para tomar decisiones fundamentadas científicamente es muy limitada a nivel internacional, y casi nula para Costa Rica (Gonçalves et al., 2008; Silla et al., 2010).
Es por esa necesidad de conocimiento que se ha estudiado ampliamente la fotosíntesis, proceso fisiológico vital en las plantas, y en particular, lo relacionado a la capacidad y eficiencia fotosintética (Puttonen, 1989). El contenido y tipo de clorofila y de carotenoides influyen en la captación de luz y la trasferencia de esa energía a los centros de reacción. Además, la clorofila está involucrada en la síntesis de moléculas de crecimiento celular, por lo que es un indicador clave del estado físico de la planta, reflejado en su capacidad fotosintética, la productividad y nivel de estrés, entre otros aspectos (Puttonen, 1989; Mattsson, 1996; Richardson et al., 2002; Umazi et al., 2016).
Una alternativa para estimar de manera indirecta el contenido de clorofila de forma rápida y no destructiva es mediante un medidor de clorofila de campo portátil Minolta SPAD ® 502 (Soil Plant Analisis Development), que calcula el índice de verdor que está directamente relacionado con el contenido de clorofila en la hoja (Rodríguez et al., 1998; Rincón y Ligarreto, 2010).
Varios autores sugieren que la utilización del medidor portátil puede ayudar en la discriminación preliminar de genotipos con alto y bajo contenido de clorofila; podría utilizarse, eventualmente, en la selección temprana de genotipos superiores, una vez identificados los valores de referencia de clorofila (Neufeled et al., 2006; Barrios et al., 2011; Díaz, 2014), y además asociarlos con su crecimiento en campo (Puttonen, 1989; Mattsson, 1996; Ávila et al., 2016).
Al asumir posibles diferencias en el contenido de clorofila entre clones en la etapa de vivero y en campo, se puede establecer una relación entre ambos ámbitos que permitiría identificar genotipos como superiores, desde etapas tempranas en el vivero (Mattsson, 1996; Codesido et al., 2012). Así, se dispondría de información técnico-científica para decidir la incorporación o exclusión de genotipos a conjuntos clonales que formen parte de programas de mejoramiento genético (Mattsson, 1996), y con ello aumentar la precisión de la información que sustente paquetes silvícolas de producción continua e intensiva.
Al respecto, el Instituto de Investigación y Servicios Forestales de la Universidad Nacional (Inisefor-UNA) de Costa Rica ejecuta proyectos de investigación orientados a generar conocimiento que contribuyan a mejorar la productividad de las plantaciones forestales. En ese contexto, el objetivo del presente estudio consistió en identificar posibles diferencias entre clones de G. arborea o melina, que componen su colección genética en cuanto a su contenido de clorofila, y asociar dicha variable a su desempeño en campo a un año de edad, para finalmente determinar el potencial de selección temprana de genotipos superiores con base en la posible correlación vivero - campo, entre clorofila y variables dasométricas.
Materiales y Métodos
El presente estudio se realizó de forma conjunta entre el Inisefor-UNA y la Escuela de Biología de la Universidad de Costa Rica. El material experimental se produjo vegetativamente en el vivero clonal del Inisefor, en la localidad La Palma, distrito Puerto Jiménez, cantón Golfito, provincia Puntarenas, zona sur de Costa Rica (83.39655 N, 8.57701 O). El sitio se ubica a una altitud de 20 m, registra una precipitación anual de 3 500 a 4 000 mm y temperatura media anual de 24 a 28 °C (Kappelle et al., 2002). La región está clasificada como bosque muy húmedo premontano transición a basal (Holdridge, 1967).
Material experimental
La investigación se llevó a cabo con 14 genotipos de melina, que forman parte de la colección genética del Inisefor. Se evaluaron 10 plantas por clon, para un total de 140. Los genotipos fueron reproducidos a partir de jardines clonales de la colección genética de la misma institución.
Determinación de la cantidad de clorofila y nitrógeno
Se estimó la cantidad de clorofila a partir de dos métodos:
1) Determinación mediante un medidor portátil: las lecturas se realizaron con el medidor Minolta SPAD ® 502 en una hoja de cada una de las 140 plantas evaluadas, sobre el primer par nuevo con pleno desarrollo que no exhibieran daño. Por hoja se tomaron cinco lecturas en distintas partes, una en el centro y las restantes cuatro en su contorno, de tal forma que abarcara la mayor parte del área foliar (10 cm2 en promedio); dichas mediciones las promedia automáticamente el equipo, con lo que se registró un solo dato por muestra. Las mediciones se hicieron durante el día.
2) Determinación en laboratorio: las hojas sobre las cuales se realizó la lectura del medidor portátil fueron marcadas para su identificación y seccionadas de las plantas. De cada una se extrajo un disco de 1 cm de diámetro con un peso promedio de 0.6 ± 0.01 mg, que posteriormente se maceró en un mortero con ayuda de un pistilo y 5 mL de etanol al 90 %. El contenido del mortero se transfirió a tubos de 50 mL, los cuales se centrifugaron a 2 000 rpm durante 5 minutos. Del sobrenadante se tomaron 1.5 mL para medir las absorbancias en el nanofotómetro Implen P300 con las siguientes longitudes de onda: 430, 470, 620, 665, 645, 647, 663, y 750. Por último, se determinaron las variables clorofila a, b y total, así como los carotenoides (mg L-1) según Lichtenthaler (1987); y el nitrógeno foliar mediante el método de Kjeldahl (Horneck y Miller, 1998).
Análisis estadístico
Para calcular diferencias estadísticamente significativas para las variables evaluadas entre los genotipos, se practicó un análisis de varianza y una prueba de medias de Tukey (p>0.05) para la base de datos procedentes del laboratorio y del medidor portátil.
Se aplicó una prueba de correlación de Pearson entre las lecturas de clorofila obtenidas a partir del medidor portátil (unidades SPAD) y las determinadas en el laboratorio (mg L-1), tanto de clorofila como de nitrógeno para todos los individuos (n = 140) y para cada uno de los clones (n = 10). Posteriormente, se agruparon los resultados en tres subconjuntos clonales según su nivel de correlación en alta (≥0.61), media (0.31≤r≤0.60) y baja (r≤0.30).
Finalmente, se efectuó una prueba de correlación de Pearson entre la clorofila en vivero y las variables dasométricas de crecimiento de los genotipos muestreados en el campo a un año de edad, plantados en un ensayo genético donde están presentes los 14 genotipos. Las variables dasométricas consideradas fueron las siguientes:
Diámetro a la Altura del Pecho (DAP) = 1.30 m para cada árbol, con una cinta diamétrica Forestry Suppliers
Altura Total (HT) = a partir de la lectura del clinómetro Suunto Pm5/15-20 m
Volumen Total (VT) = ((DAP/100)2)*0.7854*HT*0.65
Para los análisis estadísticos se utilizó el programa estadístico InfoStat versión 2015 (Balzarini et al., 2008;InfoStat, 2015).
Resultados y Discusión
Evaluación de la clorofila determinada mediante medidor portátil y en laboratorio
La clorofila registró un promedio para la especie de 21.51 unidades. Ávila (2013), en la misma región y edad de los individuos, obtuvo un promedio general de clorofila de 23.57 unidades SPAD para material clonal de melina, dato que respalda los resultados aquí documentados.
Los resultados anteriores (Cuadro 1) revelan una relación potencial de 10:1 entre el valor promedio de clorofila del medidor portátil con su similar procedente del laboratorio (unidades SPAD vs mg L-1). Por lo tanto, es factible predecir el contenido de clorofila que revela el análisis de laboratorio, a partir de la lectura en las unidades del SPAD, aunque se necesitan más estudios al respecto para corroborarlo. Dicha factibilidad ha sido consignada por varios autores para especies como Acer saccharum Marshall (Van den Berg y Perkins, 2004), Betula pendula Roth (Uddling et al., 2007), Lindera melisifolia (Walter) Blume (Hawkins, 2009), Bombacopsis macrocalyx (Ducke) A. Robyns., Eugenia cumini (L.) Druce, Iryanthera macrophylla (Benth.) Warb. y Senna reticulata (Willd.) H. S. Irwin & Barneby (Gonçalves et al., 2008), Platanus occidentalis L., Liquidambar styraciflua L., Fraxinus pennsylvanica Marshall y Populus heterophylla L. (Chang y Robinson, 2003).
Cuadro 1 Valor promedio de los parámetros evaluados para todos los individuos de melina (n = 140) y para cada uno de los genotipos (n = 10) generados con el SPAD y en laboratorio.
| Clon | SPAD (unidades SPAD) | Chl-T (mg L -1 ) | Chl-a (mg L -1 ) | Chl-b (mg L -1 ) | N (%) |
|---|---|---|---|---|---|
| 1 | 18.11 de | 2.25 cde | 1.64 de | 0.61 b | 2.00 d |
| 2 | 23.38 abc | 3.84 ab | 1.60 de | 2.23 a | 3.20 ab |
| 3 | 17.32 e | 1.60 e | 1.20 e | 0.40 b | 2.18 cd |
| 4 | 25.31 a | 3.15 abcd | 2.52 a | 0.63 b | 3.22 ab |
| 5 | 25.45 a | 4.40 a | 2.19 abc | 2.21 a | 3.05 ab |
| 6 | 19.86 bcde | 2.04 cde | 1.43 de | 0.61 b | 2.60 bcd |
| 8 | 23.72 ab | 2.51 bcde | 1.91 bcd | 0.60 b | 3.02 ab |
| 9 | 19.34 cde | 2.01 de | 1.53 de | 0.48 b | 3.27 ab |
| 10 | 21.81 abcd | 2.33 cde | 1.66 de | 0.67 b | 3.08 ab |
| 11 | 24.50 a | 4.04 a | 2.33 ab | 1.71 ab | 3.42 a |
| 12 | 22.18 abcd | 2.10 cde | 1.59 de | 0.51 b | 3.64 a |
| 13 | 21.43 abcde | 3.45 abca | 1.93 bcd | 1.52 ab | 3.60 a |
| 15 | 21.46 abcde | 2.16 cde | 1.64 de | 0.53 b | 2.95 abc |
| 16 | 21.29 abcde | 2.27 cde | 1.74 cd | 0.53 b | 3.47 a |
| Promedio | 21.51 | 2.63 | 1.73 | 0.89 | 3.01 |
| Min | 12.5 | 1.18 | 0.51 | -1.1 | 1.6 |
| Max | 29.4 | 1.28 | 3.27 | 4.85 | 4.95 |
| CV(%) | 15.97 | 43.21 | 25.11 | 115.13 | 21.89 |
Chl-T = Clorofila total; Chl-a = Clorofila a; Chl-b = Clorofila b; N = Nitrógeno foliar; CV = coeficiente de variación; Medias con distinta letra en una hilera son estadísticamente diferentes (Tukey, p≤0.05)
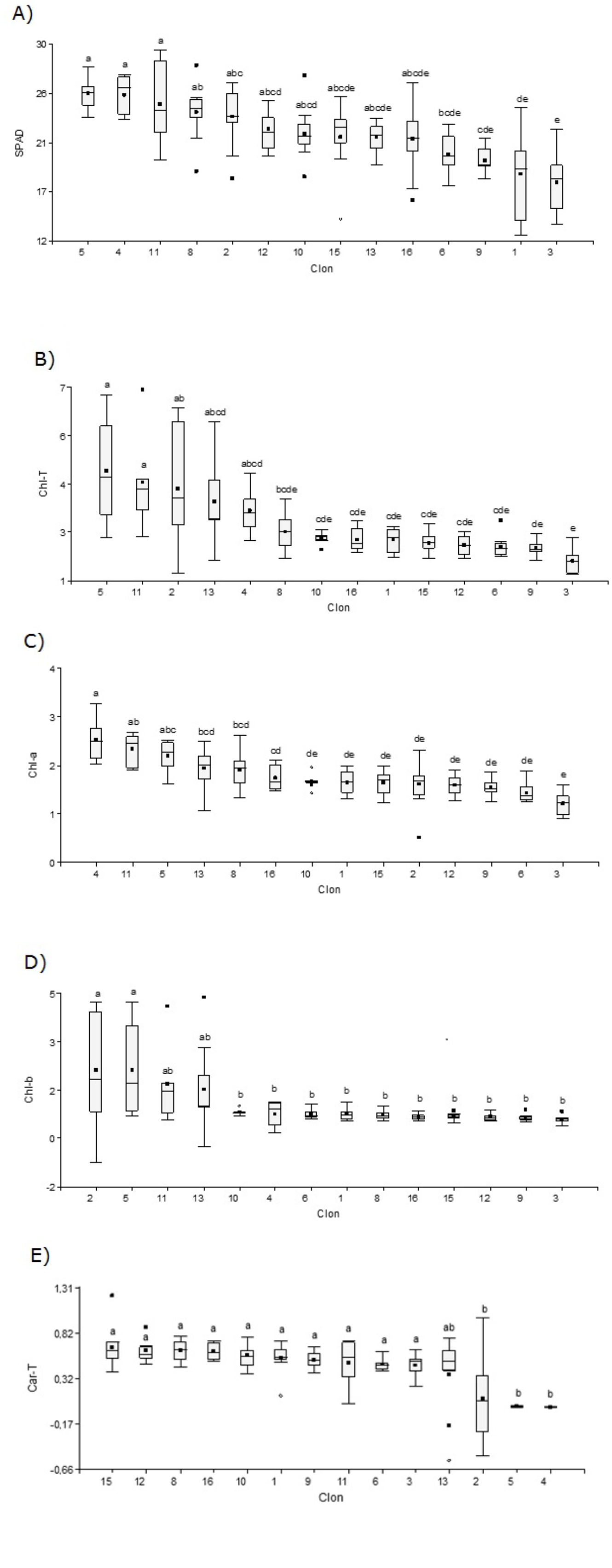
El clon 5 registró el valor más destacado de clorofila total (Chl-T) en laboratorio y campo (SPAD) (Cuadro 1) y resultados altos de clorofila a (Chl-a) y clorofila b (Chl-b). Esto supone una mejor capacidad para captar la energía lumínica, con lo que se podría maximizar el proceso fotosintético y, eventualmente, expresarlo con un crecimiento más rápido en condiciones naturales (Richardson, 2002; Rakocevic, 2005; Ávila, 2013; Díaz, 2014; Ávila et al., 2015). Además, según Umazi et al. (2016) los árboles con mayor contenido foliar de clorofila muestran mejor crecimiento, lo que aumentaría su resistencia al intemperismo.
El caso contrario se verificó con el clon 3, que alcanzó el valor promedio menor de clorofila SPAD, Chl-T, Chl-a y Chl-b, lo que representa una desventaja para su desarrollo en campo, ya que la cantidad de radiación solar absorbida por una hoja es, en gran parte, una función de las concentraciones foliares de pigmentos fotosintéticos; por lo tanto, bajo esta condición, se puede limitar directamente el potencial fotosintético y, con ello, la producción primaria (Umazi et al., 2016).
De la misma manera, las diferencias clonales en la concentración foliar de N en las que el clon 12 tuvo el mayor promedio (3.64 %), el clon 1 registró el más bajo (2.00 %). La concentración de nitrógeno se asocia de forma directa a variaciones en la capacidad fotosintética de la hoja y, finalmente, a la productividad y desempeño de los genotipos (Mattsson, 1996; Richardson, 2002; Corcuera et al., 2005; Ávila et al., 2015).
Más allá del aspecto genético, los contrastes observados podrían explicarse con base en distintos factores como la calibración de los equipos y el grado de madurez de la hoja muestreada; a pesar de evaluar en todos los casos el primer par de hojas, no siempre fueron del mismo tamaño, ni desarrollo por las disimilitudes en la elongación del tallo entre clones. Al respecto, Silla et al. (2010) consignaron interacciones significativas entre las lecturas generadas con un medidor portátil y la etapa de hoja para especies de Quercus; por ello, la interpretación de las lecturas debe limitarse a muestras de hojas con aspecto y condiciones semejantes (Puttonen, 1989); entonces, es conveniente homogeneizar al máximo el material que será utilizado.
Por otra parte, la calibración de los medidores de clorofila está ligada a las diferencias en las propiedades ópticas y anatómicas de las hojas. El medidor es sensible a características como las venas de la hoja, su grosor y el contenido de humedad, por lo que se recomienda hacer múltiples evaluaciones a la misma hoja (Chang et al., 2003; Pinkard, 2006; Wang et al., 2009).
La lectura no solo depende del contenido de clorofila, sino también de su distribución en la hoja, lo que a su vez está codeterminado por la disposición del cloroplasto en las células, que depende de las condiciones de luz y de su variación durante el día. Dado que el medidor portátil mide la transmitancia de la luz a través de la hoja, el movimiento de los cloroplastos dentro de ella influye también en las lecturas (Naus et al., 2010). Por lo tanto, se ratifica la importancia de contar con una metodología estandarizada para la utilización del medidor portátil en la obtención de un valor confiable de clorofila para la especie en cuestión.
Se verificó una diferencia entre la cantidad de Chl-a y Chl-b para cada uno de los clones evaluados, con una relación muy cercana de 3:1, lo cual coincide con valores para otras plantas superiores (Mustafa et al., 2015). Chazdon y Montgomery (2002) indican que la proporción de los diferentes tipos de clorofila constituye una adaptación a la cantidad de luz recibida. Las especies heliófitas contienen mayor contenido de clorofila “a” que “b”. Melina se ubica dentro de tales especies, lo que le da validez al resultado obtenido en la presente investigación.
Diferencias entre genotipos para clorofila SPAD y laboratorio
Se registraron diferencias estadísticamente significativas entre clones para todas las variables evaluadas (p< 0.05) (Cuadro 1). La clorofila obtenida mediante el medidor portátil presentó la mayor cantidad de ellas entre clones, contrario a la clorofila b. Los clones 3 y 5 alcanzaron promedios extremos (17.32 y 25.45 unidades SPAD, respectivamente).
Para todos los valores de clorofila y nitrógeno, tanto de laboratorio como del medidor portátil, se configuró un patrón de tres grupos. El primero, con los genotipos superiores; un segundo grupo amplio que comparte valores intermedios entre sí, y el tercero conformado por los clones con los valores promedio más bajos.
Tal patrón de grupos es resultado de la variabilidad entre genotipos; no obstante, llama la atención el integrado por los clones 3 y 9 con contenidos de pigmentos tan reducidos, a pesar de los crecimientos en campo sin diferencias estadísticamente significativas, comparados con los demás genotipos. Para este caso en particular, los valores de clorofila podrían deberse, en primera instancia, a que las hojas evaluadas tenían distinto grado de madurez, en relación con los demás, lo que se explica porque todos los genotipos no tienen la misma velocidad en el desarrollo y maduración de sus hojas (Silla et al., 2010). Este es un aspecto metodológico que se debe tomar en cuenta en futuros estudios; y en segunda instancia, una afectación por factores ópticos, lo que es factible que influya directamente en los contenidos de los pigmentos.
Las diferencias entre clones para cada una de las variables evaluadas se ilustran en la Figura 1. Al igual que se deduce del Cuadro 1, la lectura de clorofila con el SPAD exhibe el mayor número de diferencias entre clones; los clones 3 y 9 se ubican hacia la derecha de los gráficos de clorofila con los valores más bajos.

A) Clorofila SPAD; B) Chl-T= Clorofila total; C) Chl-a= Clorofila a; D) Chl-b= Clorofila b; N= Nitrógeno foliar; E) Car-T.
Figura 1 Valores promedio de contenido de clorofila y caroteno en clones de Gmelina arborea Roxb.
Intentar predecir el contenido de clorofila de las plantas mediante evaluaciones sencillas, necesariamente, implica confiabilidad en las mediciones realizadas sobre las variables predictoras; por eso, es importante observar la posición que ocupa cada clon por variable y la posible correlación entre ellas. Identificar los subconjuntos de genotipos evidencia su variabilidad genética y la posibilidad de generar modelos de predicción.
Diez genotipos mantuvieron una tendencia estable en cuanto a su posición para ambas variables (Figura 2), lo que sugiere que la medición con SPAD tiene una relación lineal, o directamente proporcional, con el dato de clorofila generado en laboratorio, ya que presenta la misma (o muy similar) ordenación, con base en su promedio.
La identificación de esos tres subconjuntos sugiere dos hipótesis. La primera se refiere a que es posible descartar el uso de ciertos genotipos debido a sus bajos valores de pigmentos fotosintéticos; y la segunda, que las lecturas de clorofila en melina mediante medidores portátiles son confiables.
Posibilidad de predicción en la lectura de clorofila en laboratorio a partir del SPAD
Una lectura confiable de la cantidad de clorofila, a partir de una medición sencilla como la realizada con el equipo SPAD ®, resulta de gran utilidad en los programas de investigación y mejoramiento genético forestal. Para la presente investigación, casi todas las correlaciones fueron positivas y superiores a 0.50, a excepción de la registrada entre SPAD y Chl-b (debido a la dificultad de generar el valor de Chl-b, explicado anteriormente) (Cuadro 2). En lo que respecta a Chl-b, otros autores han descrito un patrón similar; así, Gonçalves et al. (2008) registraron una correlación más baja entre Chl-b - Chl-T, en comparación con las obtenidas entre Chl-a y Chl-T. En el Cuadro 3 se ordenan los valores de correlación entre las variables evaluadas por cada genotipo.
Cuadro 2 Matriz de correlación de Pearson para el tipo de clorofila y su valor absoluto promedio para genotipos de Gmelina arborea Roxb.
| SPAD | Chl-T | Chl-a | Chl-b | |
|---|---|---|---|---|
| Chl-T | 0.53 | - | - | - |
| Chl-a | 0.65 | 0.96 | - | - |
| Chl-b | 0.31 | 0.92 | 0.64 | - |
| N | 0.42 | 0.26 | 0.27 | 0.18 |
Chl-T= Clorofila total; Chl-a= Clorofila a; Chl-b= Clorofila b; N= Nitrógeno. Significativo = p ≤ 0.05.
Cuadro 3 Correlación entre genotipos de Gmelina arborea Roxb. y las variables clorofila y nitrógeno evaluadas.
| Clon | |||||||||||||||
|---|---|---|---|---|---|---|---|---|---|---|---|---|---|---|---|
| 8 | 10 | 3 | 11 | 9 | 5 | 15 | 6 | 4 | 2 | 1 | 13 | 12 | 16 | ||
| SPAD | Chl-T | 0.81 | 0.75 | 0.67 | 0.66 | 0.65 | 0.59 | 0.49 | 0.44 | 0.37 | 0.33 | 0.17 | 0.12 | 0.09 | 0.02 |
| Chl-a | 0.80 | 0.86 | 0.72 | 0.47 | 0.42 | 0.51 | 0.63 | 0.51 | 0.59 | 0.75 | 0.36 | 0.16 | 0.05 | 0.17 | |
| Chl-b | 0.78 | 0.19 | 0.48 | 0.59 | 0.79 | 0.47 | 0.11 | 0.28 | 0.02 | 0.12 | -0.15 | 0.05 | 0.13 | -0.29 | |
| N | 0.78 | -0.36 | -0.07 | 0.70 | 0.19 | 0.89 | 0.14 | 0.43 | 0.37 | 0.02 | 0.30 | -0.48 | -0.15 | 0.59 | |
| Chl-T | Chl-a | 0.99 | 0.83 | 0.91 | 0.34 | 0.92 | 0.03 | 0.97 | 0.94 | 0.83 | -0.27 | 0.85 | -0.70 | 0.94 | 0.98 |
| Chl-b | 0.96 | 0.67 | 0.91 | 0.98 | 0.85 | 0.98 | 0.87 | 0.89 | 0.82 | 0.97 | 0.75 | 0.98 | 0.90 | 0.93 | |
| N | 0.50 | -0.78 | -0.22 | 0.64 | 0.34 | 0.53 | -0.53 | 0.58 | 0.08 | 0.17 | -0.29 | 0.18 | 0.24 | -0.61 | |
| Chl-a | Chl-b | 0.92 | 0.14 | 0.78 | 0.12 | 0.57 | -0.18 | 0.72 | 0.68 | 0.36 | -0.49 | 0.29 | -0.83 | 0.70 | 0.85 |
| N | 0.51 | -0.49 | -0.24 | 0.94 | 0.46 | 0.26 | -0.42 | 0.63 | 0.49 | 0.06 | -0.35 | -0.15 | 0.30 | -0.52 | |
| Chl-b | N | 0.44 | -0.83 | -0.15 | 0.14 | 0.12 | 0.46 | -0.68 | 0.40 | -0.36 | 0.14 | -0.09 | 0.18 | 0.12 | -0.73 |
Significativo = (p ≤ 0.05)
Con base en los resultados de todas las plantas evaluadas para la especie, el contenido de clorofila determinado por SPAD tuvo una correlación de 0.53 con la clorofila total obtenida en laboratorio, la que es considerada como moderada para las especies forestales. En su estudio con Acer saccharum, Van den Berg y Perkins (2004) calcularon una correlación de 0.76 entre clorofila de lectura con SPAD y clorofila total. De la misma manera, Silla et al. (2010), para tres especies de Quercus, registraron correlaciones de 0.58 a 0.83 entre las mismas variables. No obstante, ninguno de los anteriores taxa presenta un comportamiento de heliófita total, similar al de la melina.
La lectura de clorofila del SPAD tuvo una correlación con Chl-a superior a Chl-T, lo que sugiere que la correlación tan baja entre SPAD y Chl-b (0.31) afectó de manera significativa la correlación SPAD - Chl-T; dicho resultado confirma que la determinación en laboratorio de los valores de Chl-b para G.arborea debe ser afinada, al mostrar una variabilidad importante que amerita una lectura más minuciosa de dicho pigmento. Esta identificación de correlaciones significativas entre variables, resulta vital como aspecto adicional en la posibilidad de predecir de manera temprana su desempeño en campo, lo cual es el objetivo final de la presente investigación. De la misma manera, dicha información actuaría como un indicador de la salud y el rendimiento fisiológico de los distintos materiales vegetales (Neufeld et al., 2006; Gonçalves et al., 2008; Wang et al., 2009; Silla et al., 2010; Díaz, 2014; Umazi et al., 2016). Todo lo anterior permitiría identificar los genotipos que se deben utilizar en sistemas de producción forestal intensiva (Mattsson, 1996; Ávila, 2013).
El clon 8 registró los valores de correlación más altos en la mayor parte de las variables; caso contrario, el clon 16, los más bajos. Se obtuvo un comportamiento homogéneo para el clon 3, con grandes correlaciones (r≤0.60) para todas las variables evaluadas (Cuadro 3). Lo anterior permite establecer una línea base para comparación, que podrá ser un punto de referencia en la búsqueda de parámetros para la posible selección temprana de genotipos superiores; no obstante, estas variables son solo algunas de las posibles para seleccionarse.
Los clones se clasificaron en tres grupos, con base en los valores de correlaciones individuales (Cuadro 4).
Cuadro 4 Correlación registrada entre Chl-T y SPAD para cada uno de los conjuntos de clones de Gmelina arborea Roxb.
| Conjunto | Correlación Chl-T-SPAD |
|---|---|
| Alta | 0.73 |
| Moderada | 0.55 |
| Baja | 0.11 |
Significativo = (p ≤ 0.05)
Los clones 8, 10, 3, 11 y 9 se correlacionaron, principalmente entre SPAD y CHl-T, catalogadas como altas, mientras que para el 1, 12, 13 y 16 fueron bajas (<0.30). La identificación de dichos grupos sugiere que existe una variabilidad marcada entre genotipos, la cual de inicio puede explicarse por diferencias en el grado de madurez y lámina en las hojas evaluadas de cada planta, en el momento de tomar la medición. Calvo et al. (2008), Crespo et al. (2011), Rojas et al. (2012) y Umazi et al. (2016) coinciden en atribuir la variabilidad en el contenido de clorofilas o carotenoides, a situaciones de estrés hídrico; sin embargo, esto no sería extensivo a la presente investigación, al asegurarse homogeneidad en las condiciones experimentales en las que se desarrollaron todos los genotipos durante el periodo de evaluación (Puttonen, 1989; Mattsson, 1996; Rojas et al., 2012).
Correlación tipos de clorofila vs desarrollo en campo
Las correlaciones joven - adulto; es decir, las que se basan entre variables evaluadas a edades tempranas y en campo son una herramienta muy valiosa para la selección de materiales vegetales que podrían expresar características deseables en una plantación a nivel productivo. El análisis realizado a todos los individuos indica que las correlaciones entre Chl-T y SPAD con las variables dasométricas (de crecimiento) en campo a un año de edad resultaron ser muy bajas, sin superar 0.19 (Cuadro 5). No obstante, a pesar de no lograr vincular estadísticamente el desempeño en campo a partir de los tipos de clorofila, este resultado tiene gran importancia, ya que es un primer intento de explicar la variabilidad de parámetros de campo de manera muy temprana, a partir de dichos niveles en las plantas bajo condiciones de vivero.
Cuadro 5 Matriz de Correlación de Pearson para la cantidad y tipo de clorofila promedio y las variables dasométricas en plantación a un año de edad, para diez clones de Gmelina arborea Roxb.
| Chl-T | SPAD | Chl-a | Chl-b | Car-T | D | Ht | |
|---|---|---|---|---|---|---|---|
| SPAD | 0.52 | - | - | - | - | - | - |
| Chl-a | 0.96 | 0.6 | - | - | - | - | - |
| Chl-b | 0.84 | 0.25 | 0.64 | - | - | - | - |
| Car-T | 0.55 | 0.51 | 0.66 | 0.2 | - | - | - |
| DAP | 0.02 | 0.08 | -0.03 | 0.11 | 0.03 | - | - |
| HT | 0.09 | 0.19 | 0.09 | 0.07 | 0.15 | 0.41 | - |
| VT | 0.04 | 0.11 | 1.00E-03 | 0.11 | 0.07 | 0.97 | 0.6 |
DAP = Diámetro a la Altura del Pecho; HT = Altura total; VT = Volumen total. Significativo = p ≤ 0.05.
Resultados similares se han obtenido en estudios retrospectivos para selección temprana, generalmente con correlaciones muy bajas (Harfouche, 2003; Ávila et al., 2016). Dichos autores señalan varias razones para explicar esta situación. A partir de la interacción genotipo-ambiente, los contenidos de clorofila pueden afectase por la temperatura, irradiación solar y estrés hídrico.
Jansson (1998) suma a las anteriores explicaciones, que diversos conjuntos de genes regulan el crecimiento en diferentes edades, por lo que la edad de las plántulas utilizadas en la medición de vivero pudo no haber sido la necesaria para generar la inferencia vivero- campo. Lo anterior es ratificado por distintos autores, al concluir que las plántulas deben alcanzar una etapa de desarrollo mínimo para que los rasgos juveniles se conviertan en un criterio de selección confiable (Erickson et al., 1993; Rojas et al., 2012). La cantidad de material evaluado, también se ha señalado en la literatura como una posible razón que incide las correlaciones juvenil-adulto (Puttonen, 1989). Todo lo anterior debe considerarse en el planteamiento metodológico de próximas investigaciones.
De la misma manera que en las evaluaciones anteriores, se identificaron clones con correlaciones muy bajas (Cuadro 6), lo cual pudo afectar la base de datos general y explicaría las correlaciones bajas de clorofila y crecimiento, en general determinadas para la especie.
Cuadro 6 Matriz de Correlación de Pearson entre la lectura de clorofila del SPAD y las variables dasométricas en plantación a un año de edad, para cada uno de los clones evaluados de Gmelina arborea Roxb.

DAP = Diámetro a la Altura del Pecho; HT = Altura total; VT = Volumen total. Significativo = p ≤ 0.05.
Los clones 12 y 10 alcanzaron las correlaciones más altas entre el SPAD - DAP y SPAD - HT; los clones 1 y 8 presentaron valores medios para las mismas correlaciones, y los genotipos restantes, valores muy bajos entre la lectura del SPAD y todas las variables dasométricas (<0.18).
Este nuevo patrón de agrupamiento de genotipos condujo a una estratificación según el nivel de correlación entre SPAD y Volumen Total (VT), en alta (x>0.60), media (0.30>x<0.60) y baja (x<0.30). El patrón identificado sugiere que los genotipos se comportan con tendencia grupal. Los resultados de la prueba de correlación, por separado para cada uno de los grupos determinados anteriormente, se presentan en el Cuadro 7.
Cuadro 7 Correlaciones de Pearson para cada uno de los conjuntos formados a partir de la correlación entre SPAD y Volumen Total (VT) de Gmelina arborea Roxb.
| Alta (10-12) | Media (8-1) | Baja (2-3-6-9-15-16) | ||
|---|---|---|---|---|
| SPAD | DAP | 0.65 | 0.30 | -0.16 |
| HT | 0.25 | 0.75 | 0.0012 | |
| VT | 0.63 | 0.45 | -0.14 |
DAP = Diámetro a la Altura del Pecho; HT = Altura total; VT = Volumen total. Significativo = p ≤ 0.05.
Se registraron clones con alta correlación del SPAD con el DAP y VT (clones 10 y 12). Este resultado sugiere la posibilidad de que exista una relación entre los contenidos de clorofila en vivero y las variables de crecimiento en campo, que aporten como un aspecto más en la selección temprana de clones. Sin embargo, se debe tener cuidado en la interpretación de dichas correlaciones, ya que es necesario establecer parámetros específicos para cada especie (Mattsson, 1996).
A excepción del tercer grupo de clones, el valor siempre fue superior a 0.30 para las correlaciones entre clorofila y las variables dasométricas; las correlaciones bajas se pueden explicar por la débil expresión genética a nivel de plántulas en vivero vs su desempeño en plantación (Ávila, 2013). El número de clones evaluados también influyó en la estimación de las correlaciones, así como lo mencionado respecto a la interacción genotipo - ambiente, incluso a nivel de micrositio (Puttonen, 1989; Mattsson, 1996). Algunos estudios que se han realizado en condiciones de ambiente controlado (Mattsson, 1996; Karisson et al., 2002; Jansson et al., 2005), así como en combinaciones de rasgos juveniles en la medición de vivero (Jansson et al., 2005), evidencian incrementos en las correlaciones con el desarrollo en campo. Por su parte, Jansson et al. (1998) sugieren la necesidad de llevar a cabo investigaciones genómicas, para identificar los genes que regulan el crecimiento de juveniles y adultos. Lo anterior ratifica la complejidad de intentar predecir el comportamiento de los genotipos en campo, a partir de la identificación en primera instancia de variables - parámetros - indicadores confiables (Mattsson, 1996).
Conclusiones
La lectura de clorofila con el medidor portátil registró el coeficiente de variación menor de todas las variables estudiadas, lo que sugiere que proporciona datos consistentes. Los clones 8 y 3 llegaron a valores extremos en el contenido de clorofila y mostraron un comportamiento más homogéneo, tanto en niveles de clorofila como en la correlación entre SPAD- Chl-T. En promedio, para todos los genotipos de Gmelina arborea evaluados, la correlación SPAD-Chl-T fue de 0.52, que se considera moderada para especies forestales.
Persiste la posibilidad de predecir el contenido de clorofila de laboratorio a partir de las lecturas del medidor portátil, mediante un modelo de regresión lineal principalmente para los clones 8 y 10. Los clones 10 y 12 alcanzaron las correlaciones más altas entre SPAD con DAP y VT, lo que deja abierta la posibilidad de sean variables de desempeño en campo que puedan utilizarse para seleccionar, de manera temprana, genotipos superiores, con base en variables de fácil medición como la clorofila determinada con el medidor portátil, en etapa de vivero.
Asimismo, se requiere desarrollar y validar una metodología estandarizada para la obtención del contenido de clorofila en edades tempranas para clones de melina, principalmente por las características del material experimental que se pretende evaluar.










texto en 




