Servicios Personalizados
Revista
Articulo
Indicadores
-
Citado por SciELO -
Accesos
Links relacionados
-
Similares en
SciELO
Compartir
Revista mexicana de ciencias forestales
versión impresa ISSN 2007-1132
Rev. mex. de cienc. forestales vol.6 no.30 México jul./ago. 2015
Artículo
Producción de hojarasca y depósito potencial de nutrientes de las hojas en el Matorral Espinoso Tamaulipeco
Litter production and potential deposit of leaves nutrients in the Tamaulipan Thornscrub
Juan Manuel López Hernández1, Humberto González Rodríguez1, Roque Gonzalo Ramírez Lozano2, Jorge Ignacio del Valle Arango3, Israel Cantú Silva1, Marisela Pando Moreno1, Andrés Eduardo Estrada Castillón1 y Marco Vinicio Gómez Meza4
1 Facultad de Ciencias Forestales. Universidad Autónoma de Nuevo León.
2 Facultad de Ciencias Biológicas. Universidad Autónoma de Nuevo León. Correo: rramirezlozano@gmail.com
3 Departamento de Ciencias Forestal. Universidad Nacional de Colombia sede Medellín.
4 Facultad de Economía. Universidad Autónoma de Nuevo León.
Fecha de recepción: 3 de octubre de 2014
Fecha de aceptación: 31 de marzo de 2015
Resumen
Se cuantificó la dinámica mensual (enero a diciembre) de la producción de hojarasca, así como el depósito de macro y microminerales de las hojas en tres sitios en el estado de Nuevo León, México. La producción total de hojarasca (g m-2 anõ-1) fue de 408.0 (S1), 613.7 (S2) y 703.3 (S3), respectivamente. La mayor recepción correspondió a las hojas (247.5 - 515.1 g m-2 año-1) seguidas por la de ramas (76.7-107.0), las estructuras reproductivas (56.7-66.7) y por material vegetal no identificado, cuerpos y heces de insectos (18.0-36.2). El depósito anual de Ca varió de 4.6 a 14.5, K de 2.0 a 8.7, Mg de 0.9 a 3.4, N de 4.0 a 9.3 y P de 0.1 a 0.3 g m-2 año-1. El Cu, de 0.9 a 4.9, Fe de 52.8 a 91.2, Mn de 9.5 a 18.1 y Zn de 5.9 a 9.2 mg m-2 año-1. El uso eficiente de nutrientes no mostró una tendencia definida entre los sitios. Para N, P y K el patrón fue: S1 > S3 > S2, para Mg fue: S3 > S1 > S2 y Ca fue: S1 > S2 > S3. Aun cuando el P no mostró diferencias estadísticas entre sitios, su uso eficiente fue un poco mayor que el Ca, K, N o Mg. En general, el depósito de minerales fue más alto en el otoño e invierno. Hubo diferencias espaciales y temporales en cantidad, calidad y retorno potencial de los elementos en las hojas depositadas.
Palabras clave: Depósito de minerales de las hojas, hojarasca, estado de Nuevo León, Matorral Espinoso Tamaulipeco, noreste de México, uso eficiente de los nutrientes.
Abstract
In three states of Nuevo León State, Mexico, the monthly dynamics (January to December) of litterfall production, as well as the macro and micronutrients of the leaves, were quantified. The total litterfall production (g m-2 year-1) was 408.0 (S1), 613.7 (S2) and 703.3 (S3), respectively. Leaves represented the highest component (from 247.5 to 515.1 g m-2 year-1) followed by branches (76.7-107.0), reproductive structures (56.7-66.7) and unidentified material, bodies and insect feces (18.0-36.2). Annual deposition of Ca in the three sites varied from 4.6 to 14.5, K from 2.0 to 8.7, Mg from 0.9 to 3.4, N from 4.0 to 9.3 and P from 0.1 to 0.3 g m-2 year-1. The Cu ranged from 0.9 to 4.9, Fe from 52.8 to 91.2, Mn from 9.5 to 18.1 and Zn from 5.9 to 9.2 mg m-2 year-1. The efficiency on nutrient use did not show a clear tendency among sites. For N, P and K pattern was: S1 > S3 > S2, for Mg was: S3 > S1 > S2 and for Ca was: S1 > S2 > S3. Even though phosphorus showed no significant differences among sites, its use efficiency was relatively higher than Ca, K, N or Mg. In general, mineral deposition was higher during autumn and winter months than in other periods. There were space and temporal variations in litterfall deposition in terms of quantity, quality and potential nutrient return.
Key words: Leaf mineral deposition, litterfall, Nuevo León State, Tamaulipan Thornscrub, northeastern Mexico, efficient use of nutrients.
Introducción
La materia vegetal que se acumula sobre el suelo y su descomposición tienen una participación importante en el mantenimiento de la productividad de los ecosistemas terrestres (Swamy et al., 2004) al constituir el principal retorno de nutrientes al sustrato (Landsberg y Gower, 1997). Gran parte de la misma procede de la abscisión de hojas, ramas y estructuras reproductivas (Carnevale y Lewis, 2001). Una vez mineralizada libera bioelementos que las plantas reabsorben con lo que se contribuye al funcionamiento del ciclo biogeoquímico (Zamboni y Aceñolaza, 2004). Dicha liberación está determinada por las características morfológicas y fisiológicas de las especies, la variación anual de la composición de la hojarasca, sus propiedades físico-químicas y las condiciones ambientales, lo que define el tiempo de cesión de nutrientes (Aceñolaza et al., 2006; Polyakova y Billor, 2007; Wang et al., 2008). El estudio de los ciclos de nutrientes a través de la caída de hojarasca representa una valiosa aproximación hacia la comprensión de los ecosistemas forestales.
La tasa de descomposición del mantillo se calcula mediante la relación entre la cantidad de material que cae en el año con la acumulada en el suelo. De acuerdo con Poggiani y Schumacher (2004) y Pallardy (2008) la forma y velocidad de descomposición se vinculan, principalmente con el clima y, en esencia, con la proporción carbono/nitrógeno. En condiciones normales, las hojas verdes registran mayor tasa de descomposición que las senescentes en razón de su concentración inicial más elevada de N y de P, además los materiales con mayor lignificaión son más resistentes a la descomposición (Reis y Barros, 1990). La tasa de mineralización del nitrógeno en el suelo forestal está correlacionada con la mineralización total del N (mantillo y suelo) y depende, de la calidad de la hojarasca (Stump y Binkley, 1993).
A diferencia de los bosques húmedos tropicales, donde la descomposición de los restos orgánicos es rápida, en los ecosistemas de climas semiáridos este proceso ocurre con mucha lentitud. Por lo mismo, en tales ambientes la dinámica de los aportes y la descomposición de los nutrientes adquieren especial relevancia en el funcionamiento y estabilidad de esos ecosistemas, especialmente cuando son objeto de intervenciones antropogénicas que remueven parte de su biomasa (Kim et al., 1996). El tipo de vegetación denominado Matorral Espinoso Tamaulipeco está constituido, en su gran mayoría, por especies caducifolias que pierden sus hojas en periodos de sequía y algunas perennifolias (Northup et al., 1996); se distinguen por tener una amplia diversidad taxonómica, una intensa dinámica de crecimiento, variedad en su desarrollo fenológico y longevidad foliar (González et al., 201).
La biomasa arbustiva constituye una importante fuente forrajera, energética, de estantería, para construcciones rurales, alimentaria, medicinal, entre otros beneficios (Reid et al., 1990). A pesar de la diversidad de estudios ecológicos y biológicos realizados en el Matorral Espinoso Tamaulipeco del noreste de México, y en particular en el estado de Nuevo León, no se ha documentado, en todo el ecosistema, el depósito y el uso eficiente de minerales de la hojarasca. Por lo tanto, la hipótesis que se planteó en el presente estudio fue que los constituyentes, i.e., hojas, ramas, estructuras reproductivas y otros componentes del Matorral Espinoso Tamaulipeco presentan diferencias en su producción y en el depósito de nutrientes por vía foliar. Los objetivos de este trabajo fueron cuantificar mensualmente, durante un año, las fluctuaciones de la producción de hojarasca, el depósito de macro (Ca, K, Mg, N y P) y microminerales (Cu, Fe, Mn y Zn) de la hojarasca y el uso eficiente de nutrientes en tres sitios del noreste de México.
Materiales y Métodos
Área de estudio
El estudio se llevó a cabo en tres sitios en el estado de Nuevo León, México, dentro del Matorral Espinoso Tamaulipeco y sin disturbios recientes aparentes. El sitio 1 (S1) se localiza en el municipio China (25°31' N, 99°16' O) a 200 msnm. El sitio 2 (S2), en el municipio Los Ramones (25°40' N, 99°27' O) a la misma altitud. El sitio 3 (S3), en el Campus Experimental de la Facultad de Ciencias Forestales de la Universidad Autónoma de Nuevo León (24°47' N, 99°32' O), a 350 msnm, al sur del municipio Linares. Las distancias entre ellos son: del S1 al S2, 54 km aproximadamente; del S2 al S3, 131 km y del S1 al S3, 154 km.
El clima de la región es subtropical y semiárido con verano cálido, con lluvias predominantes de verano entre abril y noviembre, pero son usuales las sequías intraestivales. Temperaturas máximas de hasta 45 °C durante el verano, y promedio anual de 14.7 °C a 22.3 °C; la precipitación promedio anual es de 805 mm con una distribución bimodal (González et al., 2004).
Los suelos dominantes son Vertisoles profundos, de color café oscuro, limo-arcillosos, con montmorillonita; se contraen y expanden notablemente en respuesta a los cambios en el contenido de humedad. Las propiedades físicas y químicas del suelo a una profundidad de 0-20 cm para los tres sitios fueron previamente registrados por López et al. (2013).
Vegetación del área de estudio
El principal tipo de vegetación en los tres sitios se caracteriza por ser una formación arbustiva y subarbórea, con elementos florísticos dominantes de 4 a 6 m de alto, perennes, espinosos en su mayoría, con hojas pequeñas y caducifolias. Las especies más representativas son: Prosopis laevigata (Humb. & Bonpl. ex Willd.) M.C. Johnst., Ebenopsis ebano (Berland.) Barneby & J.W. Grimes, Acacia amentacea DC., Castela erecta Turpin subsp. texana (Torr. et A. Gray) Cronquist, Celtis pallida Torr., Parkinsonia texana var. macra (I.M. Johnst.) Isely, Forestiera angustifolia Torr., Cordia boissieri A. DC., Leucophyllum frutescens (Berland.) I. M. Johnst., Guaiacum angustifolium Engelm., Cylindro puntialeptocaulis (DC.) F. M. Kunth, Opuntia spp., Zanthoxylum fagara Sarg., Bumelia celastrina Kunth, Helietta parvifolia (A. Gray ex Hemsl) Benth., entre las que destaca la palma china (Yucca filifera Chabaud). Las caducifolias pierden sus hojas en otoño o a inicios del invierno, mientras que la caída de hojas de las perennifolias ocurre de manera constante a lo largo de todo el año, aunque la mayor abscisión de hojas se verifica en la época estival (verano-otoño) (Moro, 1992). La descripción florística de los sitios de interés se basó en la contribución de Domínguez et al. (2013).
Recolecta de hojarasca
En cada sitio, de 2 500 m2 aproximadamente, se establecieron diez recolectores de hojarasca (1.0 m2) al azar, que se construyeron con un marco de madera biselado cuyo fondo se cubrió con malla plástica fina (1 mm) para evitar la acumulación de agua en los periodos de lluvia. Cada trampa fue colocada a 0.50 m sobre el nivel del suelo para interceptar la hojarasca. Su contenido se depositó en bolsas de papel etiquetadas con los datos correspondientes al sitio, fecha y número de colector. Este procedimiento se realizó cada 15 días de enero a diciembre de 2010; no obstante, las dos recolectas de cada mes se mezclaron en una sola luego de secarlas hasta alcanzar un peso constante a 65 °C por 72 horas.
Análisis de laboratorio
El contenido de hojarasca se separó de forma manual en hojas, estructuras reproductivas (flores, frutos y semillas), ramitas o ramas (<2 cm de diámetro), y otros (tejidos no identificados, materiales finos, corteza, fragmento de cuerpos de insectos o heces). No se cuantificó la pérdida de peso de la muestra de la hojarasca que pudo haber ocurrido entre las fechas de muestreo o la cantidad de hojarasca depositada dentro o fuera de las trampas por la acción del viento.
Al sumar las muestras recolectadas por mes, por repetición y por sitio de estudio, se determinó la producción anual total de la hojarasca y sus componentes. Una vez cuantificado el peso de la misma en una balanza analítica Sartorius, modelo MC1, las hojas fueron molidas con un molino Thomas Willey (Thomas Scientific Apparatus, Modelo 3383) con una malla No. 60 (1 mm x 1 mm). El material molido fue recolectado en bolsas tipo Ziploc etiquetadas con los datos correspondientes a cada muestra, para su posterior análisis químico. Se consideraron solo las hojas por ser el componente principal de la hojarasca y por estar presente a lo largo de todo el periodo de estudio.
De cada canasta (repetición) procedente de un sitio y fecha de recolecta, se usaron 1.0 g para ponderar la concentración de minerales (Ca, Mg, K, P, Cu, Fe, Mn y Zn). Se sometieron las muestras a incineración en una mufla Felisa, modelo FE-340 a 550 °C, durante 5 h. Paso seguido, las cenizas fueron digeridas en una solución de HCl y HNO3 por digestión húmeda (Cherney, 2000).
Mediante el uso de un espectrofotómetro de absorción atómica marca Varian, modelo Spectr AA-200, se determinaron los contenidos de Ca (óxido nitroso/llama de acetileno), K, Mg, Cu, Mn, Fe y Zn (aire/llama de acetileno). El P se cuantificó por colorimetría con un espectrofotómetro Perkin-Elmer, modelo Lamda 1A a 880 nm (AOAC, 1997). El N se calculó por el método micro-Kjeldahl (AOAC, 1997). El depósito de minerales se midió al multiplicar la producción de hojas de la hojarasca por el contenido de cada mineral. La sumatoria de los valores mensuales acumulados por sitio se utilizó como una estimación del depósito anual de minerales. El correspondiente a Ca, K, Mg, N y P fue empleado para ponderar, en cada sitio, la eficiencia en el uso de macrominerales (EUN) de la hojarasca por la vía de las hojas, definida como la relación de la masa anual de hojas incorporadas al depósito anual de macrominerales (Vitousek, 1982).
Variables ambientales
En los sitio de muestreo se obtuvieron mediciones horarias de la temperatura ambiente (°C) y humedad relativa (%) mediante sensores automatizados tipo HOBO (Familia H8). Se registró la precipitación pluvial diaria (mm) durante el periodo experimental en un pluviómetro automatizado marca HOBO (Cuadro 1).
Cuadro 1. Temperatura (°C) y humedad relativa (%) media mensual y precipitación (mm) registrada durante el periodo de estudio (2010).
Table 1. Temperature (°C) and mean monthly relative humidity (%) and precipitation (mm) during the study period (2010).
Hacer clic en agrandar
Análisis estadísticos
Los datos de la producción de la hojarasca, así como la de nutrientes de las hojas fueron sometidos a un análisis de varianza con un diseño completamente al azar (Steel y Torrie, 1980). Para probar los supuestos de normalidad y homogeneidad de varianzas de cada componente, se les aplicaron pruebas estadísticas de Kolmogorov-Smirnov, Shapiro Wilk y Levene (Steel y Torrie, 1980).
Los resultados demostraron que la mayoría de los datos no se distribuyeron normalmente y, en la mayor parte de los meses de muestreo, el análisis de varianza no confirmó los supuestos de igualdad de varianzas, por lo que se utilizó la prueba no paramétrica de Kruskal-Wallis (Ott, 1993) paradetectar diferencias significativas entre los sitios en cada mes de muestreo. Para lo correspondiente a la producción de la hojarasca y depósito de nutrientes entre sitios, se aplicó la prueba no paramétrica de Mann-Whitney U (Wackerly et al., 2002) con la corrección de Bonferroni con un nivel de significancia de P<0.05. Todos los análisis estadísticos se hicieron con el paquete computacional Statistical Package for the Social Sciences (SPSS) versión 17.0 para Windows (SPSS, 2004).
Resultados
Producción de hojarasca
El S3 tuvo el máximo aporte anual de hojarasca, seguido por S2 y S1 (Cuadro 2). Las hojas resultaron ser el principal componente con 60.6 (S1), 67.4 (S2) y 73.2 % (S3) de la producción anual respectiva en cada sitio (Cuadro 2). Las ramas tuvieron valores de 18.7, 17.4 y 14.7 %. Las estructuras reproductivas adquirieron valores de 15.1, 9.2 y 9.5 % y el componente "otros" contribuyó con 5.4, 5.9 y 2.5 %, respectivamente.
Cuadro 2. Producción anual de hojarasca, macro y microminerales de las hojas y uso eficiente de los macrominerales.
Table 2. Annual production of litter, macro and micro minerals leaves and efficient use of macrominerals.
* = P< 0.05; ** = P< 0.01; *** = P < 0.001; ns = No significativo. ER = Estructuras reproductivas; Otros = Material no identificado, cuerpos de insectos y heces de insectos; Uso eficiente de nutrientes = [hojas (g m-2 año-1) / mineral en hojas (g m-2 año-1)] (Vitousek, 1982). La significancia de la prueba de Kruskal-Wallis y de la prueba Mann-Whitney U para la comparación de medias entre los sitios se muestra en la columna derecha.
* = P< 0.05; ** = P< 0.01; *** = P < 0.001; ns = Non significant; ER = Reproductive structures; Others = Non identified material, insect bodies and feces; Efficient use of nutrients = [leaves (g m-2 year-1) / mineral in leaves (g m-2 year-1)] (Vitousek, 1982). The significance of the Kruskal-Wallis and Mann-Whitney U test for comparison of means between the sites is shown in the right column.
Hacer clic en agrandar
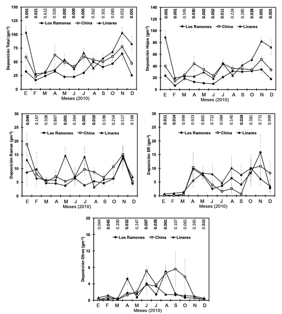
Las producciones mensuales totales de dichos materiales mostraron variaciones significativas entre sitios, aunque no hubo significancia en algunos meses (Figura 1). La producción total de hojarasca más alta se presentó en el sitio 3 (de 28 a 123 g m-2), mientras que en el sitio 1 fue la más baja (16 a 64 g m-2). En los tres sitios, las menores producciones se verificaron en febrero y las mayores en noviembre. La producción de hojas también fue superior en el sitio 3 con un intervalo de 18.4 (junio) a 89.0 g m-2 (enero) y las mínimas se registraron en sitio 1 con producciones de 6.5 (febrero) a 34.0 (noviembre). El acopio de estructuras reproductivas fue más reducido en enero (0.09) y mucho más cuantioso (10.8 g m-2) en el sitio 2, en noviembre. La máxima producción de ramas fue en enero (18.8) en el sitio 2, y la mínima en agosto (3.1 g m-2) en el sitio 3. Para el componente "otros", la producción mínima (0.11) se obtuvo en enero y la máxima (7.6 g m-2) en septiembre en el sitio 2.
Figura 1. Producción mensual (media ± error estándar, n=10) de los componentes de la hojarasca para los sitios de estudio.
Figure 1. Monthly production (mean ± standard error, n=10) of litter components of the study sites.
* = P< 0.05; ** = P< 0.01; *** = P< 0.001; ns = No significativo. Los Ramones (●); China (□); Linares (▲).
* = P< 0.05; ** = P< 0.01; *** = P< 0.001; ns = Non significant. Los Ramones (●), China (□), Linares (▲).
Hacer clic en agrandar
Depósito de minerales
La producción potencial de micro y macrominerales (figuras 2 y 3) fue significativamente diferente entre los sitios de estudio en la mayoría de los meses. La significancia de la prueba de Kruskal-Wallis se muestra en cada mes de muestreo dentro de la Figura 1. En general, durante el otoño y el invierno (septiembre a enero), cuando se observó la mayor caída de hojas, el depósito de todos los minerales fue superior en S3, mientras que en primavera, S2 tuvo los depósitos más grandes.
Figura 2. Depósito mensual (media ± error estándar, n=10) de Cu, Fe, Zn y Mn en el componente hojas para los sitios de estudio.
Figure 2. Monthly deposition of (mean ± standard error, n=10) of Cu, Fe, Zn and Mn in the leaf component for the study sites.
* = P< 0.05; ** = P< 0.01; *** = P< 0.001; ns = No significativo. Los Ramones (●); China (□); Linares (▲).
* = P< 0.05; ** = P< 0.01; *** = P< 0.001; ns = Non significant. Los Ramones (●), China (□), Linares (▲).
Hacer clic en agrandar
Figura 3. Depósito mensual (media ± error estándar, n=10) de N, Ca, K, Mg y P en el componente hojas para los sitios de estudio.
Figure 3. Monthly deposit (mean ± standard error, n = 10) of N, Ca, K, Mg and P in the leaves component for the study sites.

* = P<0.05; ** = P< 0.01; *** = P< 0.001; ns = No significativo. Los Ramones (●); China (□); Linares (▲).
* = P< 0.05; ** = P< 0.01; *** = P< 0.001; ns = Non significant. Los Ramones (●), China (□), Linares (▲).
Hacer clic en agrandar
El aporte potencial (mg m-2 año-1) de Cu fue 1.0, 1.4 y 4.9 para los sitios 1, 2 y 3, respectivamente; de Mn de 9.5, 12.8 y 18.1; de Fe de 52.8, 54.05 y 91.25 y de Zn de 5.9, 9.2 y 9.0. Sin importar el sitio, el depósito potencial anual de micronutrientes se distribuyó en el siguiente orden: Fe>Mn>Zn>Cu (Cuadro 2). El depósito total anual (Cu+Mn+Fe+Zn) fue 69.2, 77.5 y 123.1 mg m-2 año-1 en el sitio 1, en el 2 y en el 3, respectivamente. En los tres, el hierro alcanzó niveles muy elevados en relación a los otros elementos analizados, el sitio 3 fue donde se determinó la más alta producción.
El depósito (g m-2 año-1) de Ca para el sitio 1 fue de 4.6, de 8.1 para el sitio 2 y de 14.5 para el sitio 3; de K fue de 2.0, 8.7 y 5.8; de Mg de 0.84 a 3.42 y 1.45; de P fue de 0.1, 0.3 y 0.3; de N fue de 4.04, 8.21 y 9.26 (Cuadro 2). A pesar del sitio, la contribución potencial anual de nutrientes de las hojas mostró el siguiente orden: Ca > N > K > Mg > P (Cuadro 2). El total del depósito anual de macrominerales (Ca+K+Mg+N+P) para los sitios 1, 2 y 3 fue de 11.7, 28.7 y 31.3, respectivamente.
La eficiencia del uso de nutrientes [hojas (g m-2 año-1)/mineral en hojas (g m-2 año-1)] de macrominerales en forma individual no mostró una tendencia clara entre los sitios (Cuadro 2). Para N, P y K el patrón fue el siguiente: Los Ramones > Linares > China; para Mg fue: Linares > Los Ramones > China, y para Ca fue: Los Ramones > China > Linares.
Discusión
Caída de hojarasca
La mayor caída de hojarasca por vía de las hojas y de las ramas se registró en octubre, noviembre y diciembre en los tres sitios. El estrés hídrico producto de la baja precipitación pudo haber incrementado la tasa de abscisión de hojas y de ramas como mecanismo de defensa ante la sequía edáfica (Pavón et al., 2005; López et al., 2010). Diversos estudios (Bosco et al., 2004; Deng y Janssens, 2006; Jeong et al., 2009; Caldato et al.,2010) confirman una relación entre la producción de hojarasca y las variables climáticas, en particular con la temperatura y la precipitación, incluida la humedad relativa (Gutiérrez et al., 2012). No obstante, la alta variabilidad en la caída de hojas también puede estar vinculada con el área y número de recolectores (Del Valle, 2003).
Aun si otras fuentes de variación pueden alterar este proceso en una base estacional o anual, los resultados del presente estudio indican claramente que el principal integrante de la hojarasca en orden de mayor a menor producción está representado por las hojas seguidas por ramas, estructuras reproductivas y otros elementos; a nivel total o individual de cada sitio, los montos se ubican dentro del intervalo de los valores consignados por González et al. (2011) y López et al. (2013); sin embargo, González et al. (2013) estimaron en el matorral desértico micrófilo producciones mucho más bajas (de 141.76 a 390.47 g m-2 año-1).
La estacionalidad del componente foliar, evaluada mediante su productividad y descomposición, justifica el empleo de dicha dinámica como indicador ambiental, dado que entre 30 y 70 % del total de los nutrientes almacenados por año se concentran en ellas (Piatek y Allen, 2000). La hojarasca calculada en este estudio se ubica dentro de los intervalos registrados por Pavón et al. (2005), Caritat et al. (2006) y Gutiérrez et al. (2012), quienes cuantificaron cantidades de 50 a 90 % en diversos ecosistemas. Experiencias en el noreste de México consideran valores de 40 a 86 % (González et al., 2008; González et al., 2013; López et al., 2013).
En la zona templada, la producción de hojarasca es superior a la de la zona boreal, ya que los bosques caducifolios aportan 540 g m-2 año-1 y los de coníferas 438 g m-2 año-1 (Lousier y Parkinson, 1976). Aunque el patrón general de producción de hojarasca es mayor en latitudes tropicales, dicha relación a menudo se altera por las variaciones dentro de las zonas. Por ejemplo, ahí la producción fluctúa entre 560 y 1 430 g m-2 año-1, por lo que estas variaciones están influenciadas por la longevidad de las especies, el área basal, las características morfológicas y los factores edafoclimáticos (McDonald y Healey, 2000).
Depósito de nutrientes
Durante los meses en que ocurrió la mayor caída de hojas, los depósitos de macro y microminerales también fueron más elevados. Tendencias similares las verificaron López et al. (2013) y González et al. (2013) en trabajos realizados en el Matorral Espinoso Tamaulipeco. Aparentemente, a diferencia de los macro, el depósito de microminerales fue más variable entre meses y sitios. Lo anterior puede estar relacionado, además de las diferencias en producción de hojarasca, con la variabilidad climática, en especial de la precipitación y la temperatura y con la diversidad de plantas, tanto caducifolias como perennifolias que pudieron estar presentes o ausentes en los diferentes meses y sitios de estudio (González et al., 2013).
El alto nivel de Fe en las hojas es posible que responda al hecho de que en los sitios existen altos contenidos de Fe y a su disponibilidad en el suelo para ser absorbido por las plantas. Investigaciones conducidas por Ramírez et al. (2010), en el Matorral Espinoso Tamaulipeco y González et al. (2013) en el matorral xerófito del noreste de México establecieron que las hojas de todas las plantas evaluadas mostraron elevados contenidos de hierro.
En general, en el sitio 3 se depositó significativamente la mayor cantidad de macro y microminerales (Cuadro 2). El orden de mayor a menor recepción de macrominerales para los sitios 1 y 3 fue Ca > N > K > Mg > P, mientras que para el sitio 2 fue K > N > Ca > Mg > P. En los tres, el orden depositado de los microminerales fue Fe > Mn > Zn > Cu. Tendencias similares han sido observadas en estudios previos (González et al., 2011; López et al., 2013) conducidos en el Matorral Espinoso Tamaulipeco. En el Cuadro 2, se resumen las diferencias existentes entre sitios.
El uso eficiente de los macrominerales [hojas (g m-2 año-1x)/ mineral en hojas (g m-2 año-1)] provenientes de las hojas está relacionado con su aprovechamiento para producir nueva biomasa. En este estudio, tal concepto para Ca, K, Mg y N fue significativamente mayor en el sitio 1 que en los sitios 2 y 3, mientras que el del P no fue diferente entre ellos (Cuadro 2). Aun cuando el depósito de P en general fue bajo, su uso eficiente fue mayor que el del Ca, K, N o Mg. Resultados similares se han sido confirmado en diferentes ecosistemas forestales (Del Valle, 2003; Swamy et al., 2004; Safou et al., 2005).
Se ha discutido que el P, debido a su alta movilidad, pudiera reubicarse en otras estructuras de las plantas antes de la senescencia de las hojas y que esta reabsorción se destinaría a la producción de nuevas estructuras vegetales o procesos fisiológicos. Con frecuencia se ha sugerido que las especies de hábitats pobres en nutrientes exhiben una mayor eficiencia en la reubicación (Vitousek, 1982). Nambiar y Fife (1987) indicaron que las plantas que crecen en hábitats fértiles son más eficaces en la reabsorción. Asimismo, Del Arco et al. (1991) argumentaron que el grado de reabsorción depende del periodo de abscisión de la hoja, de modo que los taxa con una caída de la hoja más lenta son menos eficientes en la reabsorción de nutrientes debido, probablemente, a lo impredecible de la época de abscisión foliar. El proceso gradual de desprendimiento de hojas parece ser una adaptación al estrés hídrico en regiones con climas áridos o semiáridos. El estado nutricional de la planta y la humedad del suelo están entre los posibles factores que controlan la reabsorción de nutrientes (Pavón et al., 2005; Rentería et al., 2005).
Por otra parte, Vitousek y Sanford (1986) definieron que la eficiencia en la reabsorción está influida por el incremento de la radiación debido a que la reubicación necesita cierta cantidad de energía proporcionada por la fotosíntesis, en la que el Mg es el elemento más requerido por ser el constituyente principal de la clorofila y favorecer la absorción del P.
Conclusiones
La cantidad de hojarasca producida y sus respectivos constituyentes fue diferente entre los sitios estudiados, al sitio Linares le correspondió la mayor produccón de hojarasca. Esta misma tendencia se observó en el depósito potencial de minerales y el sitio ubicado en el municipio Los Ramones fue el más bajo. Aparentemente las diferencias en el aporte de minerales se atribuye a diferencias edáficas, de estructura y composición florística, de calidad de hojarasca, de respuestas a factores intrínsecos (fenología) de las diferentes especies, así como, a las condiciones de temperatura y precipitación, lo que repercutió en la eficiencia del uso de nutrientes, en la que P, a pesar que fue el de aporte más reducido, tuvo una mayor eficiencia de uso.
Los resultados muestran la importancia que tiene la composición de especies y su producción de hojarasca en el matorral, por lo que se sugiere continuar con estudios de la dinámica involucrada en ella, pues contribuyen al mejoramiento y conservación de los procesos ecológicos de comunidades vegetales en regiones semiáridas.
Conflicto de intereses
Los autores declaran no tener conflicto de intereses.
Contribución por autor
Juan Manuel López Hernández: selección de unidades de estudio y muestreo en campo; Humberto González Rodríguez: selección de unidades de estudio, muestreo en campo y negociación del financiamiento; Roque Gonzalo Ramírez Lozano: selección de unidades de estudio y definición del diseño experimental; Jorge Ignacio del Valle Arango: estructuración y revisión del manuscrito; Israel Cantú Silva: análisis químico de las muestras y revisión del manuscrito; Marisela Pando Moreno: estructuración y revisión del manuscrito; Andrés Eduardo Estrada Castillón: identificación taxonómica de las especies; Marco Vinicio Gómez Meza: análisis estadísticos.
Agradecimientos
Los autores desean expresar su agradecimiento al Consejo Nacional de Ciencia y Tecnología (Conacyt) por proporcionar la beca al primer autor, y a la Universidad Autónoma de Nuevo León por el financiamiento otorgado al Proyecto PAICYT CT289-10. A Manuel Hernández, Perla Cecilia Rodríguez, Christian Marroquín y Elsa González por su participación en los muestreos en campo y actividades de laboratorio. A los propietarios del Rancho Zaragoza y del Rancho El Abuelo por brindar todas las facilidades para llevar a cabo esta investigación.
Referencias
Aceñolaza, P. G., L. P. Zamboni y J. F. Gallardo. 2006. Ciclos biogeoquímicos de bosques de la llanura de inundación del río Paraná (Argentina): Aporte de hojarasca. In: Gallardo, J. F. (ed.). Medioambiente en Iberoamérica. Visión desde la Física y la Química en los albores del siglo XXI. Sociedad Iberoamericana de Física y Química Ambiental. Badajoz, España. pp. 529-536. [ Links ]
Association of Official Analytical Chemists (AOAC). 1997. Official methods of analysis, 15th ed. Washington, DC, USA. 482 p. [ Links ]
Bosco, I. J., J. A. Blanco y F. J. Castillo. 2004. Gestión forestal y ciclos de nutrientes en el marco del cambio global. In: Valladares, F. (ed.). Ecología del bosque mediterráneo en un mundo cambiante. Ministerio de Medio Ambiente. EGRAF, S. A. Madrid, España. pp. 479-506. [ Links ]
Caldato, S. L., P. A. Floss y E. C. Serafini. 2010. Producción y descomposición de hojarasca en la selva ombrófila mixta en el sur de Brasil. Bosque 31(1):3-8. [ Links ]
Caritat, A., B. E. García, R. Lapena and L. Vilar. 2006. Litter production in a Quercus suber forest of Montseny (NE Spain) and its relationship to meteorological conditions. Annals Forest Sciences 63:791-800. [ Links ]
Carnevale, N. and J. P. Lewis. 2001. Litterfall and organic matter decomposition in a seasonal forest of the eastern Chaco (Argentina). Revista Biología Tropical 49(1):203-212. [ Links ]
Cherney, D. J. R. 2000. Characterization of forages by chemical analysis. In: Givens, D. I., E. Owen, R. F. E. Axford and H. M. Omed (eds.). Forage evaluation in ruminant nutrition. CAB International. Wallingford, UK. 281-300. [ Links ]
Del Arco, J. M., A. Escudero and M. V. Garrido. 1991. Effects of site characteristics on nitrogen retranslocation from senescent leaves. Ecology 72: 701-708. [ Links ]
Del Valle A., J. I. 2003. Cantidad, calidad y nutrientes reciclados por la hojarasca fina de bosques pantanosos del pacífico sur Colombiano. Interciencia 28:443-449. [ Links ]
Deng, Z. and M. J. J. Janssens. 2006. Litter fall production in West-African forests and plantations. In: Conference on International Agricultural Research for Development. Proceedings of the Tropentag 2006. October 11th-13th. University of Bonn. Bonn, Germany. pp. 1-5. [ Links ]
Domínguez G., T. G., H. González R., R. G. Ramírez L., A. E. Estrada C., I. Cantú S., M. V. Gómez M., J. A. Villarreal Q., M. S. Alvarado y G. Alanís F. 2013. Diversidad estructural del Matorral Espinoso Tamaulipeco durante las épocas seca y húmeda. Revista Mexicana de Ciencias Forestales 4(17):106-123. [ Links ]
González R., H., I. Cantú, M. V. Gómez and R. G. Ramírez. 2004. Plant water relations of thornscrub shrub species, northeastern Mexico. Journal of Arid Environments 58:483-503. [ Links ]
González R., H., I. Cantú, R. G. Ramírez, M. V. Gómez, T. G. Domínguez, J. Bravo and R. K. Maiti. 2008. Spatial and seasonal litterfall deposition pattern in the Tamaulipan thornscrub, Northeastern Mexico. International Journal of Agriculture Environment and Biotechnology 1:177-181. [ Links ]
González R., H., T. G. Domínguez, I. Cantú, M. V. Gómez, R. G. Ramírez, M. Pando and C. J. Fernández. 2011. Litterfall deposition and leaf litter nutrient return in different locations at Northeastern Mexico. Plant Ecology 212:1747-1757. [ Links ]
González R., H., R. G. Ramírez, I. Cantú, M. V. Gómez, M. Cotera, A. Carrillo and J. J. Marroquín. 2013. Producción de hojarasca y retorno de nutrientes vía foliar en un matorral desértico micrófilo en el noreste de México. Revista Chapingo, Serie Ciencias Forestales y del Ambiente 19 (2):249-262. [ Links ]
Gutiérrez V., M. H., J. Méndez, C. Flores, J. A. Ramírez and B. N. Gutiérrez. 2012. Caída de hojarasca en plantaciones de Pinus greggii Engelm. y Pinus cembroides Zucc., en Coahuila, México. Revista Fitotecnia Mexicana 35(2):123-133. [ Links ]
Jeong, J., C. Kim, A. Hyun Ch., C. Hyun S. and C. Gap Ch. 2009. A comparison of litterfall dynamics in three coniferous plantations of identical age under similar site conditions. Journal of Ecology and Field Biology 32:97-102. [ Links ]
Kim, C., T. Sharik and M. Jurgensen. 1996. Canopy cover effects on mass loss, and nitrogen and phosphorus dynamics from decomposing litter in oak and pine stands in northern Lower Michigan. Forest Ecology and Management 80:13-20. [ Links ]
Landsberg, J. J. and S. T. Gower. 1997. Applications of physiological ecology to forest management. Academic Press Co. New York, NY, USA. 345 p. [ Links ]
López H., J. M., H. González, I. Cantú, R. G. Ramírez, M. V. Gómez, M. Pando, J. I. Sarquís, N. Coria, R. K. Maiti and N. C. Sarkar. 2010. Adaptation of native shrubs to drought stress in north-eastern Mexico. International Journal of Bio-resource and Stress Management 1(1):30-37. [ Links ]
López H., J. M., H. González, R. G. Ramírez, I. Cantú, M. V. Gómez, M. Pando y A. E. Estrada. 2013. Producción de hojarasca y retorno potencial de nutrientes en tres sitios del estado de Nuevo León, México. Polibotánica 35(1):41-64. [ Links ]
Lousier, J. D. and D. Parkinson. 1976. Litter decomposition in a cool temperate deciduous forest. Canadian Journal of Botany 54:419-436. [ Links ]
McDonald, M. A. and J. R. Healey. 2000. Nutrient cycling in secondary forests in the Blue Mountains of Jamaica. Forest Ecology and Management 139:257-278. [ Links ]
Moro M., J. 1992. Desfronde, descomposición y fijación de nitrógeno en una microcuenca con repoblación joven de coníferas y matorral de Cistus laurifolius y Adenocarpus decorticans en la Sierra de los Filabres (Almería). Tesis doctoral. Facultad de Ciencias. Universidad de Alicante. Alicante, España. 463 p. [ Links ]
Nambiar, E. K. S. and D. N. Fife. 1987. Growth and nutrient retranslocation in needles of radiata pine in relation to nitrogen supply. Annals of Botany 60:147-156. [ Links ]
Northup, B. K., S. F. Zitzer, S. R. Archer and T. W. Boutton. 1996. A technique to allocate biomass of woody plants. La Copita Research Area: 1996 Consolidated Progress Report. Texas Agricultural Experiment Station, Corpus Christi, TX. A & M University System, College Station. Corpus Christi, TX, USA. pp. 47-55. [ Links ]
Ott, L. 1993. An introduction to statistical methods and data analysis. 2nd ed. Duxbury Press. Boston, MA, USA. 775 p. [ Links ]
Pallardy, S. G. 2008. Physiology of woody plants. Academic Press - Elsevier. New York, NY, USA. 454 p. [ Links ]
Pavón, H. N., V. O. Briones and R. J. Flores. 2005. Litterfall production and nitrogen content in an intertropical semi-arid Mexican scrub. Journal of Arid Environments 60:1-13. [ Links ]
Piatek, K. B. and H. L. Alen. 2000. Site preparation effects on foliar N and P use, retranslocation and transfer to litter in 15-years old Pinus taeda. Forest Ecology and Management 129:143-152. [ Links ]
Poggiani, F. and M. V. Schumacher. 2004. Nutrient cycling in native forests. In: Goncalves, J. L. M. and V. Benedetti (eds.). Forest nutrition and fertilization. IPEF. Piracicaba, Brasil. pp. 287-305. [ Links ]
Polyakova, O. and N. Billor. 2007. Impact of deciduous tree species on litterfall quality, decomposition rates and nutrient circulation in pine stands. Forest Ecology and Management 253:11-18. [ Links ]
Ramírez L., R. G., H. González, M. V. Gómez, I. Cantú and J. I. Uvalle. 2010. Spatio-temporal variations of macro and trace mineral contents in six native plants consumed by ruminants at northeastern Mexico. Tropical and Subtropical Agroecosystems 12: 267-281. [ Links ]
Reid, N., J. Marroquín and M. P. Beyer. 1990. Utilization of shrubs and trees for browse, fuelwood and timber in the Tamaulipan thornscrub, northeastern Mexico. Forest Ecology and Management 36: 61-79. [ Links ]
Reis M., G. F. y N. F. Barros. 1990. Ciclage de nutrientes en plantíos de eucalipto. In: Barros, N. F. y R. F. Novais (eds.). Relacao solo-eucalipto. Editora Folha de Vicosa. Vicosa, Brasil. pp. 265-302. [ Links ]
Rentería, L. Y., V. J. Jaramillo, A. Martínez Y. and A. Pérez. 2005. Nitrogen and phosphorus resorption in trees of a Mexican tropical dry forest. Trees 19:431-441. [ Links ]
Safou M., R., P. Deleporte, J. P. Laclau and J. P. Bouillet. 2005. Hybrid and clonal variability of nutrient content and nutrient use efficiency in Eucalyptus stands in Congo. Forest Ecology and Management 210:193-204. [ Links ]
Statistical Package for the Social Sciences (SPSS). 2004. SPSS Statistics. Standard released Version. 17.0. for Windows. SPSS Inc. Chicago, IL, USA. n/p. [ Links ]
Steel, R. G. D. and J. H. Torrie. 1980. Principles and procedures of statistics. A biometrical approach. McGraw-Hill Book Company. New York, NY, USA. 633 p. [ Links ]
Stump, L. M. and D. Binkley. 1993. Relationships between litter quality and nitrogen availability in Rocky Mountain forests. Canadian Journal of Forest Research 23:492-502. [ Links ]
Swamy, S. L., S. K. Kushwaha and S. Puri. 2004. Tree growth, biomass, allometry and nutrient distribution in Gmelina arborea stands grown in red lateritic soils of central India. Biomass and Bioenergy 26:305-317. [ Links ]
Vitousek, P. M. 1982. Nutrient cycling and nutrient use efficiency. American Naturalist 119:553-572. [ Links ]
Vitousek, P. M. and R. L. Sanford. 1986. Nutrient cycling in moist tropical forest. Annual Review of Ecology and Systematics 17:137-167. [ Links ]
Wackerly, D. D., W. Mendenhall and R. L. Scheaffer. 2002. Estadística matemática con aplicaciones. Editorial Thomson International. México, D. F., México. 872 p. [ Links ]
Wang Q., S Wang and Y. Huang. 2008. Comparisons of litterfall, litter decomposition and nutrient return in a monoculture Cunninghamia lanceolata and a mixed stand in southern China. Forest Ecology and Management 255:1210-1218. [ Links ]
Zamboni, P. y P. Aceñolaza. 2004. Aporte al conocimiento de ciclos de materia orgánica en formaciones boscosas de la llanura de inundación del río Paraná. Serie Miscelánea INSUGEO-CONICET 12:5-12. [ Links ]













