Servicios Personalizados
Revista
Articulo
Indicadores
-
Citado por SciELO -
Accesos
Links relacionados
-
Similares en
SciELO
Compartir
Revista mexicana de ciencias forestales
versión impresa ISSN 2007-1132
Rev. mex. de cienc. forestales vol.5 no.23 México may./jun. 2014
Artículos
Ecuaciones y tablas de volumen para dos especies de Pinus de la Sierra Purhépecha, Michoacán
Equations and volume tables for two Pinus species of la Sierra Purhépecha, Michoacán
José A. Ramos-Uvilla1, J. Jesús García-Magaña1, Jonathan Hernández-Ramos2,Xavier García-Cuevas2, Juan C. Velarde-Ramírez1, H. Jesús Muñoz-Flores3 y Guadalupe Geraldine García Espinoza1
1 Facultad de Agrobiología Presidente Juárez, Universidad Michoacana de San Nicolás de Hidalgo
2 E. Chetumal, CIR-Sureste INIFAP
3 C. E. Uruapan, CIR-Pacífico INIFAP. Correo-e: jesusmuflores@yahoo.com.mx
Fecha de recepción: 12 de junio de 2012;
Fecha de aceptación: 9 de abril de 2014.
RESUMEN
Uno de los principales problemas que enfrentan los productores forestales es la incógnita de saber cómo estimar el volumen de madera que tienen en su área boscosa, a partir de datos obtenidos de un inventario forestal. Las ecuaciones de volumen y sus expresiones tabuladas son una de las principales herramientas para conocer, de manera confiable, las existencias reales y realizar un manejo sostenible, así como para la gestión forestal. En este contexto, se realizó un estudio para elaborar ecuaciones y tablas de volúmenes para Pinus lawsonii y P. oocarpa en la zona sur de la Sierra Purhépecha. La toma de datos de campo se llevó a cabo mediante el derribo y cubicación de 152 árboles de P. lawsonii y 83 para P. oocarpa. Se ajustaron y compararon los modelos de Schumacher-Hall, Thornber, Spurr con variable combinada aritmética, Spurr con variable combinada logarítmica y Korsun, los cuales presentaron valores de R2 ajustada entre 0.97 a 0.99 estadísticos de Durbin Watson cercanos a 2; la prueba de Shapiro-Wilk muestra una buena distribución de los residuales. Un análisis ponderado concluyó que para la estimación del volumen de árboles en pie, el modelo de Schumacher-Hall fue el de mejor ajuste. La prueba de homogeneidad de varianzas indica que se puede emplear de manera indistinta este modelo para ambas especies.
Palabras clave: Ecuaciones de volumen, inventario forestal, modelo Schumacher-Hall, Pinus lawsonii Roezl, Pinus oocarpa Schiede, Sierra Purhépecha.
ABSTRACT
One of the main problems faced by forest managers is the need to know how to estimate the volume of wood they have in their forest area, obtained from forest inventory data. Volume equations and weighted expressions are one of the main tools to know, reliably, the actual stocks and achieve sustainable management, as well as forest management. In this context, a study was conducted to develop equations and volume tables for Pinus oocarpa and P. lawsonii in the southern part of the Sierra Purhépecha. The field data collection was carried out by using the scaling and felling of 152 P. lawsonii trees and 83 for P. oocarpa. The Schumacher-Hall, Thornber, Spurr with combined arithmetic variable, Spurr with combined logarithmic variable and Korsun models were fitted and compared, which presented R2 fitted values between 0.97 and 0.99, Durbin Watson statistics close to 2; the Shapiro-Wilk test shows a good distribution of the residuals. A weighted analysis concluded that to estimate the volume of standing timber, the Schumacher-Hall model was the best fit. The test of homogeneity of variance indicated that this model can be used interchangeably for both species.
Key words: Volume equations, forest inventory, Schumacher-Hall model, Pinus lawsonii Roezl, Pinus oocarpa Schiede, Sierra Purhépecha.
INTRODUCCIÓN
La estimación del volumen maderable de un bosque a través de la información del inventario forestal siempre ha causado inseguridad en su exactitud. La falta de certeza se debe a las diversas condiciones ambientales en que las especies interactúan y que, como consecuencia, generan variadas formas del tronco y registran diferentes volúmenes, aun cuando tengan el mismo diámetro (Muñoz et al., 2003; Velasco et al., 2006).
Las ecuaciones de volumen y sus expresiones tabuladas son una de las principales herramientas para conocer, de manera confiable, las existencias reales y realizar un manejo sostenible; así como para la gestión forestal, la comercialización de productos leñosos y la investigación, principalmente, en lo que concierne al estudio de la calidad de estación (Muñoz et al., 2003; Velasco et al., 2006; Rondeux, 2010). Se elaboran con variables dasométricas fáciles de medir (diámetro a la altura de 1.3 m (D), la altura total del árbol (A) y el factor de forma (f); los modelos pueden representar el volumen medio de madera por árbol, a partir de las variables independientes mencionadas (Salas et al., 2005; Rondeux, 2010; Muñoz et al., 2012).
Una tabla de volúmenes se define como la expresión tabular de los valores predichos por una ecuación (Fucaraccio y Staffieri, 1999), las cuales deben ser elaboradas por taxón y para cada localidad, ya que los ámbitos de crecimiento pueden variar entre taxa y de un lugar a otro. Toda tabla de volumen es de aplicación en una superficie forestal limitada, y tal restricción de su uso estará dada por la información obtenida. En general, las tablas locales son más restringidas que las correspondientes a las estándar o generalizadas; sin embargo, ambas son representadas por una ecuación estadísticamente factible (Fucaraccio y Staffieri, 1999; Rondeux, 2010).
Con base en las variables independientes utilizadas, las tablas de volúmenes se clasifican en locales, que solo utilizan el diámetro normal; estándar que usan el diámetro normal y una altura; y las tablas de forma que calculan el volumen a partir del diámetro, alguna altura y un indicador de forma del tronco (Carrillo et al., 2004; Rondeux, 2010; Muñoz, 2012).
Es importante considerar que el cambio dinámico en la estructura arbórea, la densidad y composición de especies en las masas forestales presentes originan incertidumbre en las estimaciones volumétricas, y que la información de una ecuación o tabla de volumen específica se considera obsoleta después de un aprovechamiento maderable (Velasco et al., 2006); por ello, es necesaria la constante actualización de las tablas de volumen.
En las zonas de transición del sur de la Sierra Purhépecha, Michoacán se distribuyen Pinus oocarpa Schiede y Pinus lawsonii Roezl; en la región son aprovechadas para la obtención de resina y madera para aserrío, cajas de empaque, molduras y construcciones rurales, por lo que las ecuaciones de volumen deben ser dinámicas. Dada la importancia de contar con expresiones tabuladas con alto grado de precisión para coníferas que crecen en masas naturales de zonas de transición de la Sierra Purhépecha, se plantearon los siguientes objetivos: a) generar ecuaciones para predecir volúmenes fustales de árboles individuales en pie de P. oocarpa y P. lawsonii en el municipio Tancítaro; y b) evaluar estadísticamente la factibilidad de emplear una sola para las dos especies de pino.
MATERIALES Y MÉTODOS
El área de estudio
La presente investigación se realizó en el Eje Neo Volcánico Transversal, en la porción sur de la denominada Sierra Purhépecha, en el estado de Michoacán; se incluyeron los predios Agua Zarca y Zurumútaro, ambos ubicados en el municipio Tancítaro, en un intervalo altitudinal de 1 200 a 1 980 m, entre las coordenadas 19° 19´ y 19° 22´ N y 101° 52´ y 101° 56´ W.
De acuerdo con la clasificación de Köppen modificada por García (1988), el clima es tipo A(C) W2' semicálido subhúmedo con abundantes lluvias en verano.
La forma del terreno se clasifica de semiplana, ondulada y semimontañosa, con pendientes de 5 a 45 %, con exposición variada. La vegetación predominante corresponde a bosques de pino-encino con mezclas de P. lawsonii, P. leiophylla Shiede & Deppe, P. oocarpa y Quercus spp. (Anguiano et al., 2003).
La geología está conformada por rocas ígneas y extrusivas, principalmente basaltos, que han originado suelos de las unidades Andosol, Luvisol y Litosol (INEGI, 1985) que en conjunto con las condiciones antes mencionadas favorecen el desarrollo de P. oocarpa y P. lawsonii.
Selección del arbolado por medir y tamaño de muestra
Se incluyeron solo árboles representativos de las dos especies, con fustes rectos, sin bifurcaciones y que se desarrollaron en las diferentes condiciones de crecimiento para ambas especies en la región.
Con base en lo recomendado por Loestsch et al. (1973), Montes de Oca et al. (2008), Rondeux (2010) y Honorato-Salazar (2011), se muestrearon 152 individuos de P. lawsonii y 83 de P. oocarpa en los predios Agua Zarca y Zurumútaro.
Derribo del arbolado, troceo y medición de las variables
Con la técnica de árboles derribados se marcaron las alturas de 0.30 y 1.30 m, además de las trozas consecutivamente a longitudes comerciales de 2.5146 m en el fuste comercial, 1.10 m en el fuste restante, hasta llegar a la punta. Las mediciones se realizaron con una forcípula; la altura total se obtuvo al sumar la longitud de cada una de las trozas y se agregó la longitud de la punta (Velasco et al., 2006; Rondeux, 2010).
Obtención del volumen del tocón, trozas y punta
Para el volumen del tocón se empleó solo el diámetro superior transformado en área basal y la longitud de 0.3 m (1); en las trozas se utilizó la fórmula de Smalian (2) y para el volumen de la punta se usó la del cono (3) (Bailey, 1995); de acuerdo a las siguientes expresiones:

Donde:
abt = Área basal de la sección superior del tocón (m2)
ab0 = Área basal de la sección mayor de la troza (m2)
ab1 = Área basal de la sección menor de la troza (m2)
abn = Área basal de la base de la punta (m2)
LS = Longitud de sección (m)
LP = Longitud de punta (m)
La suma de los volúmenes de todas las secciones del árbol, más el volumen del tocón y el de la punta es igual al volumen total del tronco:

Donde:
VFT = Volumen fuste total (m3)
Vi = Volumen de la iésima troza (m3)
Vp = Volumen de la punta (m3)
Vt = Volumen del tocón (m3).
Análisis de la información
Se ejecutó un análisis de correlación para comparar los coeficientes y contar con una base estadística para verificar si existe una asociación significativa entre diámetros, alturas y volúmenes, observar su comportamiento y, de acuerdo a su tendencia, probar los modelos más adecuados (Caillez, 1980; Volke, 2008; Rondeux, 2010). Con los volúmenes de toda la muestra, se aplicó un análisis de regresión para obtener una función matemática que permita predecir el volumen de un árbol con base en la dependencia de las variables diámetro y altura, con un nivel de confiabilidad aceptable (Volke, 2008; Rondeux, 2010).
Selección de modelos matemáticos empleados
En el estudio se emplearon algunos modelos de uso común en la construcción de tablas de volumen (Schumacher y Hall, 1933, citado por Diéguez et al., 2003; Spurr, 1952, citado por Diéguez et al., 2003; Caillez, 1980, Clutter et al., 1983; Romahn et al., 1994; Prodan et al., 1997; Velasco et al., 2007; Da Cunha y Guimaraes, 2009; Rondeux, 2010); los modelos seleccionados se muestran en el Cuadro 1
Donde:
VFU = Volumen fustal (m3)
D = Diámetro normal (m)
H = Altura (m)
a, b, c = Parámetros de la regresión a estimar
Comparación y validación de los modelos
Los estadísticos para la comparación y validación de los modelos fueron el nivel de significancia del modelo o la probabilidad p>F; el Cuadrado Medio del Error (CME); la distribución de los residuales; el Coeficiente de Determinación Ajustado (R2ajustado) en modelos lineales o el Pseudo Coeficiente de Determinación (Pseudo R2) en modelos no lineales (Barrio et al., 2004; Volke, 2008; Da Cunha y Guimaraes, 2009).
De igual manera, se calculó el Error Estándar de Estimación (%) comparado con el Índice de Furnival (%) (Furnival, 1961); los estadísticos de Durbin Watson para indicar la existencia o no de autocorrelación de los errores y la prueba de Shapiro-Wilk para confirmar la normalidad de los errores. La prueba de t para observar la significancia de los coeficientes de regresión y se utilizó la F de Snedecor como estadístico de prueba para comparar la homogeneidad de los modelos (Barrio et al., 2004; Velasco et al., 2006; Da Cunha y Guimaraes, 2009).
El proceso de selección del mejor modelo se hizo a partir del valor ponderado que atribuye valores o pesos a los estadísticos, conforme a la siguiente expresión:

Donde:
VP = Valor ponderado del modelo
Nri = Números de registro que obtuvieron el iésimo puesto
Pi = Peso del iésimo puesto
Los estadísticos se ordenaron de acuerdo con su eficiencia. Se atribuyó el peso 1 para el modelo más eficiente y pesos crecientes para los demás modelos según la metodología de Thiersch (1997), citado por Da Cunha y Guimaraes (2009).
Homogeneidad de modelos
La factibilidad de emplear una sola ecuación para P. lawsonii y P. oocarpa indistintamente se evaluó mediante pruebas de homogeneidad de los coeficientes de regresión del mejor modelo seleccionado. Los estadísticos de prueba fueron la Fcal. Y t, como lo indican Muñoz et al. (2003).
RESULTADOS Y DISCUSIÓN
Depuración de la base de datos
Con las 152 muestras de P. lawsonii y 83 de P. oocarpa se realizó una corrida de los datos en Statgraphics Centurión XV para detectar y segregar los valores atípicos de la muestra, que salen de la tendencia de la relación entre la variable respuesta y uno o más factores que la afectan (Volke, 2008), los que presentaron residuos "Estudentizados" mayores a 2 en valor absoluto, al final quedaron 134 muestras de P. lawsonii y 80 de P. oocarpa.
Análisis de correlación y análisis gráfico
Para verificar el supuesto de que las variables empleadas están correlacionadas y conocer la tendencia de las relaciones entre ellas por separado (Volke,2008), se realizó un análisis de correlación con las variables diámetro normal, altura total y volumen; los resultados evidenciaron un alto grado de asociación en la relación diámetro-volumen, con coeficientes que variaron de 0.9525 a 0.9756 para las dos especies y localidades; en la relación con altura-volumen (H-V) y diámetro-altura (D-H) se obtuvo un menor grado de asociación, que fluctuó entre 0.8334 y 0.9918; y para D-H varió de 0.8771 a 0.9466 (Figura 1).
Los coeficientes fueron altamente significativos para indicar que existe una asociación significativa entre las variables evaluadas.
Al transformar los datos se observó una tendencia curvilínea en los gráficos, lo que concuerda con Alder (1980), Moret et al. (1998) y Couchard et al. (2009). Se verificó que la tendencia es, ahora, lineal, lo que demuestra que se trata de una regresión lineal al graficar las variables independientes D2 H y el volumen (Figura 2).
Índices estadísticos para la comparación de los modelos
Se emplearon cinco indicadores para comparar la bondad de ajuste de los modelos y en el Cuadro 2 se presenta el resumen general de los estadísticos.
Los estadísticos de cada modelo indican que para ambas especies el valor más bajo del CME correspondió al modelo de Spurr con variable combinada aritmética: P. lawsonii fue de 0.00469 y P. oocarpa de 0.00351.
La F calculada y la p>F de Snedecor fueron utilizadas para comprobar la significación estadística de la regresión (Alder, 1980); el valor más alto se obtuvo con el modelo de Spurr con variable combinada logarítmica: P. lawsonii, con 23 469.7 y para P. oocarpa, 16 334.5; en los dos casos, la p>F fue <.0001, que indica la significancia del modelo.
Respecto a la R²ajustada, en ambas especies el mayor índice se logró con los cuatro modelos logarítmicos: P. lawsonii, 0.996 a 0.994 y en P. oocarpa, 0.995.
El error estándar de estimación en porcentaje (EEE%) y el Índice de Furnival (%), para P. lawsonii, los modelos de SchumacherHall y Thornber presentaron el menor índice (7.56 %) y en P. oocarpa, el modelo de Spurr con variable combinada logarítmica tuvo la menor desviación (7.58 %).
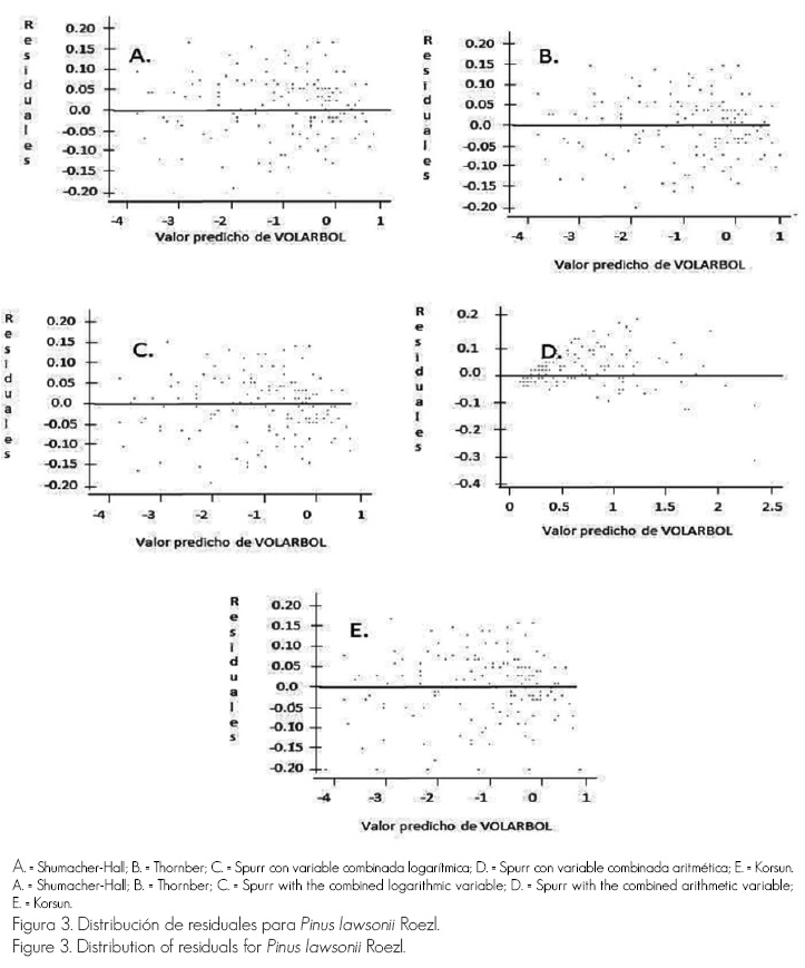
La distribución gráfica de los residuales para P. lawsonii y P. oocarpa fue aceptable con los cuatro modelos de variable dependiente transformada, en los cuales se destacan patrones específicos, en relación con la violación del supuesto del análisis de regresión; con el modelo de Spurr con variable combinada aritmética, la distribución evidenció una mala distribución de residuos, ya que forma un patrón en forma de embudo (figuras 3 y 4).
En el Cuadro 3, se resumen los resultados de las pruebas de normalidad y autocorrelación de los residuos, así como de la validación de los coeficientes de los modelos. El estadístico de Durbin Watson señala que para P. lawsonii los valores más próximos a 2, se obtuvieron con los modelos de Schumacher-Hall, Thornber, Korsun y Spurr logarítmico (2.32 a 2.02); y en P. oocarpa, los modelos logarítmicos fueron los que lograron los valores más aproximados (1.829 a 1.856).
En la prueba de Shapiro-Wilk, con P. lawsonii, la mayor significancia se determinó con el modelo de Korsun (p=0.4815) y en P. oocarpa con el modelo de Spurr con variable combinada logarítmica (p=0.3209).
En el Cuadro 4 se presentan las ecuaciones obtenidas con las dos especies evaluadas y en las figuras 5 y 6, la distribución de los volúmenes estimados respecto a los muestrales, en ellas se observa la aceptable relación entre ambos volúmenes.
Selección de modelos por Valores Ponderados
Los modelos con menor puntaje se consideran los más idóneos para la selección final; para P. lawsonii, fueron los modelos de Schumacher-Hall y Thornber (12) y en P. oocarpa, los modelos de Schumacher-Hall, Thornber y Spurr con variable combinada logarítmica (11) (Cuadro 5).
El modelo de Schumacher-Hall, fue el seleccionado para las dos especies de pino, pese a que tuvo un valor similar al de Thornber, en el caso de Pinus lawsonii y el modelo de Spurr para Pinus oocarpa; sin embargo se prefirió por su simplicidad, por contar con menor número de coeficientes (Caillez, 1980; Velasco et al., 2007; Volke, 2008; Da Cunha y Guimaraes 2009; Rondeux, 2010); además de ser ampliamente utilizado en la generación de ecuaciones de volumen.
Homogeneidad de los modelos
Se procedió a verificar la posibilidad de emplear una sola ecuación (modelo Schumacher-Hall) para predecir el volumen de árboles de P. lawsonii y P. oocarpa, los resultados son como se indica a continuación:

La segunda metodología para comprobar el resultado se realizó la prueba de t con dicha modalidad:

B1 = Regresor de P. lawsonii
B2 = Regresor de P. oocarpa
SCT1 = Suma de cuadrados total de P. lawsonii
SCT2 = Suma de cuadrados total para P. oocarpa
SCE = Suma de cuadrados del error (corriendo el modelo para las dos especies)
SCE1 = Suma de cuadrados del error de P. lawsonii
SCE2 = Suma de cuadrados del error de P. oocarpa
N1 = Número de observaciones de P. lawsonii
N2 = Número de observaciones de P. oocarpa
tc = Valor de t de Student calculado
ttab = Valor de t de Student tabulada
Fc = Valor de F calculado
F∞; = Valor de F de Snedecor tabular
r = Número de modelos comparados.
Como Fc = 0.19003 y >Ft0.05, 2, 215 g l = 3.04, se concluye que si es factible emplear un solo modelo para ambas especies. La segunda prueba lo confirma, puesto que tc< = 1.3486 y el tabular ttab 0.5, α gl = 1.96, al ser mayor el valor de tablas, se infiere que las dos ecuaciones son estadísticamente semejantes, por lo que se pueden usar para estimar el volumen fustal de P. lawsonii y P. oocarpa.
Construcción de las tablas de volumen
Las tablas de volumen con las mejores ecuaciones de cada localidad y especie se muestran en los cuadros 6 y 7.
CONCLUSIONES
El tamaño de muestra empleado en las dos localidades y las especies estudiadas está dentro de los límites recomendados para dar confiabilidad a los resultados.
Se confirma que el diámetro y la altura son buenos predictores del volumen y se corrobora que las ecuaciones y tablas de volumen son una herramienta fundamental para la estimación de los volúmenes reales de los bosques, lo que resultará en una buena conducción de los aprovechamientos forestales en las localidades y con las especies estudiadas.
De los modelos probados con P. lawsonii y P. oocarpa se recomienda el de Schumacher-Hall, puesto que presentó los mejores estadísticos y el mayor ajuste para los valores observados y estimados del volumen fustal con corteza.
Las ecuaciones de P. lawsonii y P. oocarpa son estadísticamente similares por lo que se pueden emplear indistintamente en la estimación del volumen fustal.
REFERENCIAS
Alder, D. 1980. Estimación del volumen forestal y predicción del rendimiento con referencia especial a los trópicos. Vol. 2 Predicción del rendimiento. Estudio FAO: Montes 22/2. Roma, Italia. 80 p. [ Links ]
Anguiano C., J., J. J.Alcánta, A. Ruíz C., J. González A., I. Viscaíno V., R. Regalado R. y C. De la Mora O. 2003. Recursos edafo-climáticos para la planeación del sector productivo en el estado de Michoacán. Sagarpa.INIFAP. Uruapan, Mich. México. Libro Técnico Núm. 1. 173 p. [ Links ]
Bailey, R. L. 1995. Upper-stem volumes from stem-analysis data: an overlapping bolt method. Can. J. Forest Res. 25:170-173. [ Links ]
Barrio A., M., J. G. Álvarez G. y J. Díaz M. H. 2004. Elaboración de una tarifa con clasificación de productos para Quercus robur L. en Galicia basada en un modelo de volumen porcentual. Invest Agrar. Sist. Recur. For. 13(3): 506-517. [ Links ]
Caillez, F. 1980. Estimación del volumen forestal y predicción del rendimiento con referencia especial a los trópicos. Vol. 1. Estimación del volumen. FAO. Roma, Italia. 92 p. [ Links ]
Carrillo A., F., M. Acosta M., G. Tenorio G. y F. Becerra L. 2004. Tablas de volúmenes para Pinus patula Schl. et Cham. en el estado de Hidalgo. INIFAP. Pachuca, Hgo. México.15 p. [ Links ]
Clutter, J. L., J. C. Fortson, L. V. Pienaar, G. H. Brister and R. L. Bailey. 1983. Timber management: a quantitative approach. John Wiley & Sons, Inc. New York, NY. USA. 333 p. [ Links ]
Couchard, L., R. Sbrancia, A. Medina y A. Rabino. 2009. Funciones de volumen total para Prosopis caldenia (Burk) en Argentina. Quebracho 17(1): 41-51. [ Links ]
Da Cunha, T. A. y C. A. Guimaraes F. 2009. Modelo de regresión para estimar el volumen total con corteza de árboles de Pinus taeda L. en el sur de Brasil. Kuru: Revista forestal (Costa Rica) 6(16): 15 p. [ Links ]
Diéguez, A. U., M. Barrio A., F. Castedo D., A. D. Ruíz G., M. F. Álvarez T., J. G. Álvarez G. y A. Rojo A. 2003. Dendrometría. Ediciones Mundi-Prensa. Madrid. España. 327 p. [ Links ]
Fucaraccio, F. y G. M. Sttafieri. 1999. Desarrollo y uso de ecuaciones de volumen y tablas de volumen en la República de Argentina. Facultad de Ciencias Agrarias y Forestales. Universidad Nacional de La Plata. Facultad de Ciencias Agrícolas y Forestales. La Plata, Buenos Aires. Argentina. Informe Técnico UNLP. 26 p. [ Links ]
Furnival, G. M.1961. An index for comparing equations used in constructing volume tables. For. Scie. 7: 337-341. [ Links ]
García, E. 1988. Atlas Climático de la República Mexicana. Ed. Porrúa. México, D.F. México. 250 p. [ Links ]
Honorato-Salazar., J. A. 2011. Modelos volumétricos fustales para Acrocarpus raxinifolius Wight & Arn. en plantaciones agroforestales de la Sierra Norte de Puebla. Rev. Mex. Cien. For. 2(6):55-72. [ Links ]
Instituto Nacional de Estadística Geografía e Informática (INEGI). 1985. Síntesis geográfica del estado de Michoacán. Secretaría de Programación y Presupuesto. México, D.F. México. 341 p. [ Links ]
Loestsch, F., F. Zöhrer and K. E. Haller. 1973. Forest Inventory. Volume 2. BLV Verlagsgesellschaft mbH. Münich, Germany. 468 p. [ Links ]
Montes de Oca C., E., S. Corral R. y J. A. Nájera L. 2008. Ajuste de ecuaciones de volumen en Pinus duranguensis en la Comunidad Las Flechas, Durango, México. Inter Sedes 9(17):173-180. [ Links ]
Moret, A. Y., M. Jerez y A. Mora. 1998. Determinación de ecuaciones de volumen para plantaciones de teca (Tectona grandis L.) en la Unidad Experimental de la Reserva Forestal Caparo, Estado Barinas-Venezuela. Rev. Forest. Venez. 42 (1):41-50. [ Links ]
Muñoz F., H. J., S. Madrigal H., M. Aguilar R., J. García M. y M. Lara R. 2003. Tablas de volumen para Pinus lawsonii Roezl y P. pringlei Shaw. en el Oriente de Michoacán. Cien. For. Méx. 28(94):81-104. [ Links ]
Muñoz F., H. J., J. C. Velarde R., J. J. García M., J. T. Sáenz R., E. H. Olvera D. y J. Hernández R. 2012. Predicción de volúmenes de fuste total para plantaciones de Pinus greggii Engelm. Rev. Mex. Cien. For. 3(14):11-22. [ Links ]
Prodan, M., R. Peters, F. Cox y P. Real. 1997. Mensura Forestal. IICA-BMZ/GTZ. San José, Costa Rica. 586 p. [ Links ]
Romahn de la V., C. F., H. Ramírez M. y J. L. Treviño G. 1994. Dendrometría. Universidad Autónoma Chapingo. Texcoco, Edo. de Méx. México. 354 p. [ Links ]
Rondeux, J. 2010. Medición de árboles y masas forestales. Ediciones Mundi-Prensa. Madrid, España. 521 p. [ Links ]
Salas, C., L. Nieto y A. Irisarri. 2005. Modelos de volumen para Pinus pinaster Ait. en la Comarca del Baixo Miño, Galicia España. Quebracho 12: 11-22. [ Links ]
Velasco B., E., S. Madrigal H., I. Vázquez C., A. González H., F. Moreno S. 2006. Manual para la elaboración de tablas de volumen fustal en pino. INIFAP-Conacyt-Conafor. México, D.F. México. Libro Técnico No. 1. 34 p. [ Links ]
Velasco B., E., S. Madrigal H., I. Vázquez C., A. González H. y F. Moreno S. 2007. Tablas de volumen con corteza para Pinus douglasiana y P. pseudostrobus del Sur Occidente de Michoacán. Cien. For. en Méx.32(101):93-116. [ Links ]
Volke, H. V. 2008. Estimación de funciones de respuesta para información de tipo no experimental, mediante regresión. Colegio de Postgraduados. Montecillo, Edo. de Méx. México. 113 p. [ Links ]













