Introducción
El hierro (Fe) es un mineral abundante y altamente reactivo en estado libre, presente en dos formas: hémica y no-hémica1. Múltiples factores, tanto intrínsecos como extrínsecos, afectan su solubilidad y absorción en los cerdos2,3. En los lechones al nacimiento, la concentración total de Fe es de ≈47 mg, distribuido mayoritariamente entre la sangre, el bazo, el hígado y el músculo esquelético4, requiriendo de 7 mg/día sólo para satisfacer la eritropoyesis5,6. Adicionalmente, la pobre transferencia materno filial en gestación y lactación de Fe (≈2 цg/ml) y el rápido crecimiento de los lechones, pueden inducir la deficiencia de Fe y la presencia de anemia microcítica-hipocrómica3,7-9. A pesar de lo anterior, existe desconocimiento sobre la incidencia de anemia en lechones expresada en valores de hemoglobina (Hb) y sus consecuencias en la producción y calidad de la carne10, lo que ha descansado en la recomendación de una sola aplicación de hierro dextrano (200 mg/lechón IM) en los primeros días de vida del neonato9,11,12 y en la suplementación de Fe en las dietas posdestete a partir de premezclas minerales que, en su gran mayoría exceden los requerimientos nutricionales13. A pesar, de que algunos trabajos reportan el retraso en el crecimiento de cerdos anémicos8,14,15, no indagan en como el manejo del hierro dietario influye en el contenido de mioglobina (Mb), y por lo tanto, en las consecuencias sobre la estabilidad del color en los músculos con diferente nivel de Mb3, siendo uno de los principales argumentos de compra del consumidor16.
Por lo tanto, el objetivo del trabajo fue evaluar en cerdos la respuesta productiva y la calidad de la carne en dos músculos (Longissimus dorsi y Psoas major), a través de las inferencias en la concentración de Mb y Hb en los lechones, después de aplicar una dosis de hierro dextrano (FeD) y el manejo suplementario de Fe (vía la dieta) a partir del destete, satisfaciendo el 100 % de los requerimientos nutricionales durante el crecimiento-engorda. El trabajo constó de dos experimentos independientes pero continuos: en el primero (Exp-1) se describe la prevalencia de anemia en cerdos hasta el día 63 de vida, en respuesta al uso de Fe dietario en las madres y la aplicación de FeD al tercer día de vida a la progenie. En el segundo experimento (Exp-2) se monitorearon los parámetros hemáticos, el comportamiento productivo, el contenido de Mb y la calidad de la carne en dos músculos con diferente contenido de Mb (Longissimus dorsi y Psoas major) resultado del manejo del Fe dietario a partir de los 70 días de vida y hasta la finalización.
Material y métodos
Instalaciones
Los experimentos se realizaron en la Unidad Pecuaria Porcina del CENID Fisiología del INIFAP, localizada en Ajuchitlán, Colón, Querétaro a 20°41’44” N 100° 00’59” O y 1,964 msnm. Las instalaciones usadas fueron: 1) Gestación, edificio abierto con jaulas individuales de acero inoxidable, piso de concreto con declive en la parte posterior, comedero de cemento tipo “canoa” y un bebedero de chupón. 2) Maternidad, edificio cerrado con ventilación natural mediante ventanas, con jaulas de acero, piso rígido de plástico ranurado, comedero individual y dos bebederos tipo chupón a diferente altura. Cada jaula contó con una lechonera de fibra de vidrio y fuente de calor, con dos vías de acceso para los lechones en la parte frontal de la jaula. 3) Destete, edificio con ambiente controlado por medio de un calentador de gas y ventilación natural, con corrales elevados con piso de rejilla de plástico, un comedero de acero inoxidable con siete bocas de alimentación y un bebedero de chupón en la parte opuesta del comedero. 4) Crecimiento, edificio abierto con corrales de piso de concreto, un comedero de plástico tipo holandés para alimentación húmeda y un bebedero de chupón extra. 5) Engorda, edificio abierto con jaulas individuales de 1.95 m2 de superficie, delimitadas por estructura de acero inoxidable con piso frontal de concreto (60 %) y en la parte posterior con malla trenzada de acero (40 %), con comedero y un bebedero de chupón en la parte opuesta al comedero. El protocolo experimental se aprobó por el comité interno de ética del CENID con número SIGI 15142034838, considerando la Normativa Oficial Mexicana para asegurar el bienestar animal17,18.
Experimento 1 (Exp-1)
Para la generación de individuos del experimento se usaron 30 cerdas (Landrace × Large White) inseminadas con semen de un macho de línea terminal (PIC 337). El trabajo partió de un diseño de bloques completos al azar con arreglo factorial 2×2, donde el primer factor fue la suplementación de Fe en las dietas de las cerdas (gestación-lactación) en función de la etapa productiva (primeros 80 días de gestación (Gestación 1), con 0 o 75 ppm; del día 81 de gestación al parto (Gestación 2) con 0 y 66 ppm y durante toda la lactación con 0 y 100 ppm), y como segundo factor la aplicación de FeD (0 y 200 mg/lechón) vía intramuscular al tercer día de vida. El criterio de bloqueo fue el grupo de parición (2 grupos consecutivos). Previo a la inseminación, las cerdas fueron aleatorizadas considerando la edad reproductiva (número de parto) y el peso corporal, a los Tratamientos que fueron: CC) dietas control sin la suplementación de Fe, y CF) dietas igual que CC más la inclusión Fe a partir de sulfato de hierro heptahidratado (FeSO4●7H20). Las dietas se calcularon con un programa de formulación a costo mínimo en función de los requerimientos nutricionales para cada etapa productiva5. En gestación se incluyeron ingredientes fibrosos como la alfalfa deshidratada y el heno de avena, además de sorgo, pastas de soya y de canola, y aceite de soya, las dietas resultantes fueron: Gestación 1 (del día 1 al 80 de gestación) con 2.94 Mcal/kg de EM, 12.02 % de PC, 0.35 kg/t de L-Lisina-HCl; y Gestación 2 (del día 81 al parto) con 3.03 Mcal/kg de EM, 13.02 % de PC, 0.64 kg/t de L-Lisina-HCl. En lactación, la dieta tuvo 3.32 Mcal/kg de EM, 17.40 % de PC, 2.25 kg/t de L-Lisina-HCl y 0.45 kg/t de L-Treonina. Las premezclas de vitaminas y minerales se incluyeron para satisfacer o exceder el requerimiento5, además del uso de aditivos convencionales (enzimas y probióticos) para reproductoras. En las dietas CF, la suplementación de hierro fue de 75, 66 y 100 ppm de FeSO4●5H2O a expensas de sorgo para Gestación 1, Gestación 2 y Lactación, resultando en un contenido final de 84.27, 136.54 y 150.28 ppm de hierro, respectivamente.
En todas las dietas se realizó el análisis químico proximal19 y la determinación del contenido de Fe19 mediante un equipo de inducción acoplado a plasma ICP-AES (iCAP 6000, Thermo ScientificTM, USA). Al tercer día de vida, los lechones se aleatorizaron dentro de su camada en función del peso y sexo al segundo factor (la aplicación o no de FeD, Lectron 20®, Virbac, México), resultando en cuatro Tratamientos: 1) CC-NoD, lechones sin la aplicación de FeD provenientes de cerdas alimentadas con CC; 2) CC+FeD, lechones con la aplicación de FeD de cerdas alimentadas con CC; 3) CF-NoD, lechones sin la aplicación de FeD provenientes de cerdas alimentadas con CF; y 4) CF+FeD, lechones con la aplicación de FeD de cerdas alimentadas con CF.
Manejo de las cerdas
Las cerdas se pesaron individualmente a la inseminación, a los 30, 80, 109 días de gestación, y al final de la lactación (≈18 días). La alimentación en gestación fue restringida para no sobrepasar un consumo de 8.0 Mcal de EM/día, dividido en dos horarios (0700 y 1600 h) y a libertad en lactación en tres horarios (0800, 1400 y 2000 h). En gestación se usaron dos dietas, una para los primeros 80 días y la segunda a partir del día 81 y hasta el parto. En lactación, el alimento se incrementó a razón de 0.5 kg/día a partir de 2.0 kg ofrecidos el día del parto20. Las cerdas tuvieron libre acceso al agua en todo momento. Semanalmente se midió el consumo de alimento (CDA), por la diferencia del alimento ofrecido del rechazado, así como los pesos individuales para estimar la ganancia diaria de peso (GDP) y la eficiencia alimenticia como la relación G×C.
Manejo de los lechones
Inmediato al parto, los lechones fueron pesados e identificados de forma individual mediante muescas en las orejas. Durante las primeras 48 h posparto se homogenizaron las camadas dentro de los mismos tratamientos de las cerdas en función del peso y sexo de los lechones, para aleatorizar a los lechones en su camada al factor FeD. Durante la lactación, los lechones solo tuvieron acceso a la leche materna y se tuvo especial atención en la salud y bienestar animal, por lo que se monitorearon los posibles síntomas asociados a la presencia de anemia. En caso de identificar animales con Hb <9.0 mg/dl, estos fueron removidos del estudio y tratados farmacológicamente para enfrentar los signos de anemia. Al final del periodo de lactación, se registró el peso individual del lechón para estimar la ganancia diaria promedio (GDP). Al destete, los lechones se aleatorizaron a las nuevas unidades experimentales (UE) considerando la camada de origen, peso y sexo. Las UE fueron conformadas por 6 cerdos: 3 machos castrados y 3 hembras. El periodo experimental tuvo una duración de 42 días posdestete, momento en que los cerdos alcanzaron ≈63 días de vida.
Obtención y análisis de las muestras
Se colectaron muestras de sangre de las cerdas y los lechones en ayuno (0700 h), en tubos al vacío de 6 ml sin aditivos y de 0.5 ml con EDTA-K2. En las cerdas, el muestreo de sangre se realizó a los 30, 80, 109 días de gestación, y a los 18 días de lactación; y en los lechones a los 3, 11, 15, 18 y 63 días de vida. Los parámetros hemáticos se analizaron con un equipo automatizado ADVIA® 60 (Hematology Systems, Bayer HealthCare, Siemens, Alemania): conteo de eritrocitos (RBC), reticulocitos (Rt), hemoglobina (Hb), hematocrito (Ht), volumen corpuscular medio (MCV), Hb corpuscular media (MCH) y concentración de Hb corpuscular media (MCHC).
Experimento 2 (Exp-2)
Se usó la progenie completa de dos grupos de producción (280 cerdos, machos castrados y hembras) del mismo cruzamiento como en Exp-1. Todos los lechones recibieron aplicación intramuscular de FeD (200 mg /lechón, Lectron 20®, Virbac) al día 3 de vida, así como la suplementación de Fe dietario al 100 % del requerimiento nutricional5, a partir de FeSO4●7H20, durante 42 días posdestete. Los cerdos a partir de un DCA, se aleatorizaron a dos tratamientos a los 64 días de vida, considerando la camada de origen, sexo y peso: NOF) dietas sin la suplementación de Fe en la dieta; y FES) dietas con la suplementación de Fe en la dieta, satisfaciendo el 100% del requerimiento nutricional5. El programa de alimentación a partir del destete consistió en ocho fases con diferente duración cada una (Cuadro 1).
Cuadro 1 Dietas experimentales por fase de alimentación (kg/t) para cerdos, Experimentos 1 y 2
| Fase | 1 | 2 | 3 | 4 | 5 | 6 | 7 | 8 |
|---|---|---|---|---|---|---|---|---|
| Duración, días | 7 | 14 | 21 | 21 | 21 | 21 | 21 | 21 |
| Maíz amarillo, grano | 257.42 | 250.26 | 250.37 | 241.38 | 64.86 | - - | - - | - - |
| Suero de leche deshidratado | 216.00 | 120.00 | 90.00 | - - | - - | - - | - - | - - |
| Sorgo, grano | 200.00 | 310.00 | 310.00 | 354.00 | 600.00 | 663.72 | 725.54 | 791.84 |
| Soya, pasta | 100.00 | 130.00 | 180.00 | 272.00 | 221.00 | 233.00 | 168.11 | 81.55 |
| Proteína de plasma | 60.00 | - - | - - | - - | - - | - - | - - | - - |
| Pescado, harina | 50.00 | 50.00 | 50.00 | - - | - - | - - | - - | - - |
| Soya, concentrado proteico | 35.31 | 54.00 | 30.00 | 6.10 | - - | - - | - - | - - |
| Canola, pasta | 30.00 | 30.00 | 40.00 | 60.00 | 65.00 | 70.00 | 80.00 | 100.00 |
| Soya, aceite | 26.00 | 28.80 | 25.00 | 33.00 | 20.00 | 11.00 | 6.00 | 6.00 |
| Carbonato de calcio | 7.50 | 5.65 | 4.60 | 8.70 | 8.30 | 8.03 | 7.58 | 7.36 |
| L-Lisinaּּּ HCl | 4.20 | 6.20 | 5.65 | 5.55 | 4.75 | 2.66 | 2.52 | 3.36 |
| Sal yodada | 4.00 | 4.00 | 4.00 | 4.00 | 3.60 | 3.60 | 3.60 | 3.60 |
| Fosfato mono-dicálcico | 3.90 | 3.40 | 3.41 | 9.00 | 7.63 | 5.45 | 4.18 | 2.97 |
| DL-Metionina | 1.70 | 2.40 | 2.24 | 1.43 | 1.39 | 0.27 | 0.09 | - - |
| Colina-HCl | 1.45 | 1.25 | 1.25 | 1.12 | 0.67 | 0.67 | 0.67 | 0.67 |
| Minerales traza, pmx ֆ | 1.00 | 1.00 | 0.90 | 0.90 | 0.80 | 0.80 | 0.70 | 0.70 |
| Vitaminas. pmx ¥ | 0.50 | 0.50 | 0.50 | 0.50 | 0.40 | 0.40 | 0.40 | 0.40 |
| L-Treonina | 0.51 | 1.75 | 1.45 | 1.79 | 1.15 | - - | 0.21 | 1.15 |
| L-Triptófano | 0.11 | 0.39 | 0.23 | 0.13 | 0.05 | - - | - - | - - |
| Otros § | 0.40 | 0.40 | 0.40 | 0.40 | 0.40 | 0.40 | 0.40 | 0.40 |
| EM, Mcal/kg | 3.45 | 3.42 | 3.40 | 3.35 | 3.30 | 3.27 | 3.24 | 3.20 |
| PC, % ‡ | 22.88 | 20.75 | 21.43 | 20.90 | 18.75 | 19.14 | 16.94 | 14.25 |
| Fe de ingredientes, ppm ‡ |
81.47 | 98.36 | 111.66 | 108.27 | 89.72 | 86.37 | 86.89 | 81.47 |
| Fe total, ppm | 191.47 | 208.36 | 201.66 | 188.27 | 169.72 | 166.37 | 156.89 | 191.47 |
ֆ La premezcla de minerales traza libre de Fe aportó por kg de premezcla: Mg, 30,000 ppm; Zn, 120,000 ppm; Cu, 12,000 ppm; I (EDDI), 800 ppm; Co, 600 ppm. El hierro se suplementó a partir de FeSO4●5H2O. ¥ La premezcla de vitaminas aportó por kilo de alimento terminado (Fase 1 a 4): retinol acetato, 10,000 UI; colecalciferol, 2,000 UI; α-tocoferol acetato, 120.0 mg; menadiona, 8.04 mg; biotina, 0.30 mg; cianocobalamina, 0.05 mg; ácido fólico, 1.50 mg; niacina, 60.00 mg; ácido pantoténico, 35.00 mg; piridoxina, 6.00 mg; riboflavina, 10.00 mg; tiamina, 3.50 mg. La premezcla de vitaminas aportó por kg de alimento terminado (Fase 5 a 8): retinol acetato, 8,000 UI; colecalciferol, 1,600 UI; α-tocoferol acetato, 96.0 mg; menadiona, 6.43 mg; biotina, 0.24 mg; cianocobalamina, 0.04 mg; ácido fólico, 1.20 mg; niacina, 48.00 mg; ácido pantoténico, 28.00 mg; piridoxina, 4.80 mg; riboflavina, 8.00 mg; tiamina, 2.80 mg. § Ronozyme-VP® (complejo enzimático con acción sobre polisacáridos no amiláceos), 0.30 kg/t; Ronozyme HiPhos® (Fitasa), 0.10 kg/t. ‡ Valor determinado.
Manejo de los cerdos
El manejo y alimentación de los cerdos hasta el día 63 de vida se realizó siguiendo los procedimientos del Exp-1, con un periodo de seis días más de adaptación al alojamiento individual a fin de reducir el estrés por el nuevo alojamiento. El agua y el consumo de alimento fueron ad libitum, el ofrecimiento de alimento se realizó en dos horarios (0700 y 1600 h). La evaluación inició a los 70 días de vida y se midió el comportamiento productivo: consumo diario de alimento (CDA), ganancia diaria de peso (GDP) y eficiencia alimenticia (G×C). Al término del experimento (≈168 días de vida), los animales iniciaron un ayuno total de 24 h previo al sacrificio, desde el cese de la alimentación hasta el momento de inicio de la matanza, incluido un descanso previo de 4 h en corrales de un rastro Tipo Inspección Federal (TIF-117).
Obtención y análisis de las muestras
Se colectaron los músculos Longissimus dorsi (LD) y Psoas major (PM) de dos cerdos de camadas al azar al destete (≈21 días) y al día 105 de edad, lo que resultó en 14 cerdos/edad/tratamiento, para determinar el contenido de Mb21. Adicionalmente, se tomaron muestras aleatorias de sangre del 80 % de la población de un grupo de producción, para monitorear los cambios en Hb y parámetros hemáticos. Al día 168 de vida, todos los cerdos de un grupo de producción fueron enviados y procesados en rastro. Durante el proceso de obtención de la carne, a los 45 min y 24 h posmortem, se midió el pH y la temperatura en la región dorsal, a la altura de la última costilla con un potenciómetro y electrodo de punción (HI 99163, Hanna®, Rumania) previamente calibrados. Se registró el peso de la canal caliente (45 min posmortem) y de la canal fría (24 h post mortem), ambos pesajes incluyeron cabeza y patas. Durante el despiece de las canales, se obtuvieron los músculos LD y PM, a los que se les midió el pH, el color y marmoleo subjetivos22, así como el color instrumental CIE L*a*b* (MiniScan® EZ, D65/10°, HunterLab, USA) con barrido espectral para estimar la relación de especies Redox de mioglobina23,24: deoxi-mioglobina (Deo-Mb), oxi-mioglobina (Oxy-Mb) y meta-mioglobina (Met-Mb). Además, se determinó la pérdida de agua por goteo25, así como el estatus oxidativo por las técnicas de oxidación lipídica por las metodologías para Sustancias Reactivas al Ácido 2-tiobarbitúrico (TBARS)26 y la capacidad antioxidante por la de habilidad férrico reductora del plasma (FRAP)27.
Análisis estadístico
Los resultados se muestran como la media de mínimos cuadrados y el error estándar de la media (EEM). Todos los análisis se realizaron con el paquete estadístico SAS® 9.4 (SAS Institute Inc., Cary, NC, USA). Para el primer experimento (Exp-1), se utilizó un diseño completamente al azar en bloques (DBCA) en un arreglo factorial 2x2. Los datos se analizaron utilizando el procedimiento GLM, con medidas repetidas en el tiempo evaluadas mediante el procedimiento MIXED con una prueba previa de covarianzas (AR1, UN y CS) considerando el mejor valor BIC. Para la comparación de medias, se aplicó la opción PDIFF con el ajuste del tipo III de cuadrados medios (SS3), considerando un nivel de significancia de P<0.05 para determinar diferencias estadísticas. Además de los procesos UNIVARIATED y FREQ del mismo software para explorar la distribución normal de las variables de respuesta. En el segundo experimento (Exp2), se empleó un diseño completamente al azar (DCA) con dos tratamientos. El análisis de los datos se llevó a cabo utilizando también el procedimiento GLM y MIXED. Al igual que en el primer experimento, se usó PDIFF/SS3 para la comparación de medias, estableciendo un criterio de significancia de P<0.05.
Resultados y discusión
Experimento 1
El factor Fe dietario suplementario en la cerda no tuvo interacción con la aplicación de Fe dextrano (P>0.09) en el neonato, por lo que, los parámetros productivos y parámetros hemáticos de la progenie no fueron afectados, presentando la discusión de los efectos mayores. Como se esperaba, el comportamiento productivo (Cuadro 2) y los parámetros hemáticos (Cuadro 3) de las cerdas fueron similares entre tratamientos (P>0.15). La productividad de las cerdas fue de 14.34 ± 1.788 nacidos totales y 13.13 ± 1.786 nacidos vivos, con un peso total de la camada de 18.86 ± 2.056 kg. Al destete, las cerdas perdieron 2.21 % de su peso durante lactación, con un CDA= 5.19 ± 1.032 kg/día, destetando 10.88 ± 1.659 lechones a 18 ± 3.54 días de lactación. Algunas investigaciones, mencionan que la cerda gestante tiene la capacidad de anteponer el aporte de nutrientes al feto sobre algún otro factor que pudiera demandar una falta de nutrientes como es el caso de Fe28,29. Durante la gestación y lactación, la cerda se encuentra en un estado fisiológico muy demandante de nutrientes, siendo el requerimiento de Fe en cerdas gestantes de aproximadamente 168 mg/día y de 477 mg/día durante lactación5, si bien, el contenido de Fe de los ingredientes podría contribuir al aporte total, su disponibilidad es incierta. En gestación, con la suplementación del 100 % del requerimiento y consumos restringidos de 2.2 - 2.5 kg de alimento, el tratamiento CF tuvo un consumo total de Fe, 76 % mayor al requerimiento (296 mg Fe/día); mientras que en CC (sin suplementación de hierro) fue de 148 mg/día en promedio, equivalente al 88.5 % del requerimiento. Respecto al valor de Hb, en toda la gestación, al menos el 10 % de las cerdas tuvo valores de Hb <9 g/dl (francamente anémicas), y 33 % presentó deficiencia de hierro (9 <Hb <11g/dl). Aparentemente, a inicios del último tercio de gestación (día 80), el valor Hb se incrementó ligeramente a 12.19 ± 1.249 g/dl, reduciendo la población de cerdas anémicas al 3 %. Los otros parámetros hemáticos se encuentran dentro de la respuesta previamente reportada7.
Cuadro 2 Efecto de la suplementación de hierro en gestación y lactación sobre los parámetros productivos de las reproductoras ֆ
| CC | CF | EEM | Valor - P | |
|---|---|---|---|---|
| Peso de la cerda posparto, kg ¥ | 208.13 | 213.35 | 20.619 | 0.50 |
| Peso de la camada, kg | 19.23 | 18.48 | 4.254 | 0.64 |
| Lechones nacidos totales, n | 15.14 | 13.53 | 3.205 | 0.18 |
| Lechones nacidos vivos, n | 14.00 | 12.26 | 3.237 | 0.16 |
| CDA de las cerdas en lactación, kg | 5.02 | 5.35 | 1.073 | 0.42 |
| Peso de la cerda al destete, kg | 203.54 | 208.63 | 18.350 | 0.24 |
| Peso de la camada al destete, kg | 50.33 | 51.27 | 14.678 | 0.87 |
| Lechones destetados, n | 11.00 | 10.76 | 2.784 | 0.83 |
ֆ Medias de mínimos cuadrados y error estándar de la media (EEM).
CC= sin suplementación de Fe; CF= suplementadas con Fe; n=15 cerdas/tratamiento. Edad= 2.6 ± 0.63 partos (P= 0.63). Duración de la lactación= 18 ± 3.54 días. ¥ Peso posparto estimado, kg= -5.39 + (0.875 × peso de la cerda antes del parto en kg) - (1.281 × peso total de la camada al parto en kg) + (0.962 × número total de lechones); R2= 0.9720.
Cuadro 3 Efecto de la suplementación de Fe durante gestación y lactación sobre los parámetros hemáticos en las cerdas (n = 15) ֆ
| RBC, 106/mm3 | Hb, g/dl | Ht, % | MCV, fl | MCH, pg | MCHC, g/dl | Rt, % | ||||||||
|---|---|---|---|---|---|---|---|---|---|---|---|---|---|---|
| Días | CC | CF | CC | CF | CC | CF | CC | CF | CC | CF | CC | CF | CC | CF |
| Gestación | ||||||||||||||
| 30 | 5.85 | 6.21 | 11.48 | 11.89 | 35.55 | 37.46 | 60.78 | 60.46 | 19.67 | 19.21 | 32.27 | 31.81 | 1.69 | 1.19 |
| 80 | 6.09 | 6.18 | 12.24 | 12.14 | 37.87 | 38.02 | 62.19 | 61.49 | 20.11 | 19.59 | 32.40 | 31.91 | 1.33 | 1.23 |
| 109 | 5.77 | 5.98 | 11.63 | 11.80 | 34.85 | 36.07 | 60.50 | 60.42 | 20.21 | 19.74 | 33.38 | 33.69 | 1.17 | 1.34 |
| Lactación | ||||||||||||||
| 18 | 5.62 | 5.55 | 11.65 | 11.10 | 34.48 | 33.53 | 61.14 | 60.41 | 20.75 | 20.01 | 33.95 | 33.11 | 1.50 | 1.23 |
| EEM | 0.818 | 1.642 | 4.936 | 2.575 | 1.315 | 1.778 | 0.757 | |||||||
| Valor - P | 0.81 | 0.44 | 0.64 | 0.54 | 0.87 | 0.76 | 0.81 | |||||||
ֆ Medias de mínimos cuadrados y error estándar de la media (EEM).
CC< sin la suplementación de Fe; CF= suplementadas con Fe.
RBC= eritrocitos; Hb= hemoglobina; Ht= hematocrito; MCV= volumen corpuscular medio; MCH= Hb corpuscular media; MCHC= concentración de Hb corpuscular media; Rt= reticulocitos.
Clínicamente en los cerdos, la deficiencia de Fe se define como una anemia microcítica-hipocrómica, los signos clínicos se observan como: inapetencia, palidez en mucosas y, por lo tanto, pérdida de peso; en estadios graves se identifica disnea, taquicardia y taquipnea1. En los lechones al nacimiento, el nivel de Hb fue similar (P>0.40) sin importar la suplementación de hierro en la cerda. En la Figura 1 se observa que en promedio 27 % de los lechones aparentemente son anémicos (Hb <9 g/dl), y hasta un 75 % podrían estar deficientes en Fe (11 > Hb > 9). Al tercer día de vida, el promedio de Hb disminuyó a 8.45 g/dl en los tratamientos, considerándose como una anemia transitoria en cerca del 75 % de la población (Hb <9 g/dl). A los 11 días de edad, en los lechones que se aplicó FeD, la Hb aumentó a 10.91 g/dl, mientras que en los cerdos sin la aplicación de FeD (NoD), descendió a 5.50 g/dl (anemia severa en >90 % de la población), lo que se asoció a un conteo bajo de eritrocitos RBC (6.35 vs 2.74 106/mm3) y de Ht (37.45 vs 13.70 %), comportamiento similar de otros reportes, pero que podrían subestimar el requerimiento de Fe en la sangre6,12,14. Al destete (18 días), los cerdos con la aplicado FeD tuvieron ≈11.4 g Hb/dl, donde cerca del 60 % de la población se encontró en valores >11 g/dl, datos también reportados por otros investigadores6,8,9,30. El resto de los parámetros hemáticos (Figura 2) mantuvieron las diferencias asociadas al uso de FeD, dentro de lo normal4,7,11,31.

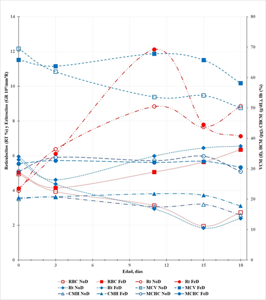
Puntos (sólidos y huecos) representan la media de mínimos cuadrados y las barras el error estándar de la media (EEM). La línea verde corresponde al valor Hb aceptado como normal y la línea amarilla el límite de una deficiencia de Fe, e inicio de un estado de anemia severa. Los tratamientos fueron CC-NoD) lechones sin aplicación de FeD provenientes de cerdas sin la suplementación de Fe; CC+FeD) lechones con la aplicación de FeD al 3er día de vida provenientes de cerdas sin la suplementación de Fe; CF-NoD), lechones sin aplicación de FeD provenientes de cerdas suplementadas con Fe; y CF+FeD), lechones con la aplicación de FeD al 3er día de vida provenientes de cerdas suplementadas con Fe.
Figura 1 Cambios en la hemoglobina de los lechones (n=28) durante la lactación, efecto del hierro dextrano (FeD) y la suplementación de Fe dietario en la cerda

Marcadores (sólidos y huecos) representan la media de mínimos cuadrados. Los Tratamientos fueron: NoD, lechones sin la aplicación de FeD; y FeD, lechones con la aplicación IM de 200 mg/lechón de FeD. Los parámetros hemáticos fueron RBC, eritrocitos; Ht, hematocrito; MCV, volumen corpuscular medio; MCH, hemoglobina corpuscular media; MCHC, concentración de hemoglobina corpuscular media, y Rt, reticulocitos.
Figura 2 Cambios en los parámetros hemáticos de lechones (n= 55) durante lactación (P<0.04), efecto de la aplicación de hierro dextrano (FeD) al 3er día de vida
En el Cuadro 4, sólo se muestra el efecto de la aplicación de FeD en los parámetros productivos de los lechones hasta el día 14 posdestete (tiempo en que estuvieron completas las UE) y del destete hasta los 63 días de edad con la población remanente. Los cerdos con Hb < 9 g/dl, fueron removidos del experimento y se sometieron a terapia parenteral de recuperación para la anemia.
Cuadro 4 Efecto de la aplicación de Fe dextrano (FeD) en el comportamiento productivo posdestete de los cerdos ֆ
| NoD | FeD | EEM | Valor - P | |
|---|---|---|---|---|
| Unidades experimentales, n ¥ | 20 | 20 | ||
| Peso al destete, kg | 4.05 | 5.02 | 0.106 | 0.01 |
| Respuesta acumulada al día14 posdestete | ||||
| CDA, kg | 0.04 | 0.08 | 0.015 | 0.09 |
| GDP, kg | -0.06 | 0.04 | 0.010 | 0.01 |
| G×C, kg | -1.51 | 0.50 | 0.039 | 0.04 |
| Peso a 14 días posdestete, kg | 3.09 | 5.58 | 0.155 | 0.01 |
| Cerdos, n § | 27 | 118 | ||
| GDP, kg | 0.39 | 0.57 | 0.118 | 0.01 |
| Peso a 42 días posdestete, kg | 18.50 | 29.83 | 6.561 | 0.01 |
ֆ Medias de mínimos cuadrados y error estándar de la media (EEM). El destete fue a 18±3.54 días. NoD= lechones sin la aplicación de FeD; FeD= lechones con la aplicación IM de 200 mg/lechón de Fe dextrano al 3er día de vida.
¥ Corrales con 6 cerdos (3 machos castrados y 3 hembras).
§ Cerdos viables a 63 días de edad, con valores de Hb ≥ 9 g/dl. El valor de n es diferente, debido a que los animales, por debajo del valor Hb fueron tratados parenteralmente para contrarrestar los signos de anemia y removidos del experimento
El retraso en el crecimiento de los cerdos NoD (P<0.01) se mantuvo después del destete, aún con niveles de Hb dentro de lo normal (12.72 g/dl). El peso inicial al destete (5.02 vs 4.05 kg) y a los 14 días posdestete (5.58 vs 3.09 kg) de los lechones fue mayor en el tratamiento con la aplicación de FeD, lo que se reflejó en una ganancia diaria de peso esperada de 40 g/día, y una pérdida de peso de 60 g/día en NoD. En adición, el CDA tendió (P=0.09) a reducirse en los animales NoD en ≈50 %, propiciando una eficiencia alimenticia negativa de -1.51 ± 1.462 (P=0.04). Estos resultados concuerdan con reportes sobre detrimento productivo, aún con diferentes esquemas de aplicación de Fe11,12.
Experimento 2
El comportamiento productivo (GDP, CDA y G×C) de los cerdos no fue diferente por la falta de suplementación de Fe en las dietas después de los 70 días de vida; finalizando con un peso promedio de 122.23 ± 17.16 kg (P>0.30, Cuadro 5). Al respecto, otras investigaciones con el uso de Fe en la dieta como fuente única de variación8,9,14 o en combinación con otros minerales2, tampoco encontraron diferencias en el comportamiento productivo a una mayor edad del cerdo. Lo anterior podría estar asociado al Fe aportado por los ingredientes (87.7 ± 1.80 ppm en las dietas de este trabajo), aún con un valor bajo de biodisponibilidad que se pueda asignar, los niveles en dietas complejas pueden estar muy cercanos al aporte del requerimiento nutricional. A pesar de que la interacción tratamiento x edad mostró una tendencia (P>0.07) para Mb, las concentraciones de Mb y Hb fueron iguales entre tratamientos al final del estudio (P≥0.65), sólo la edad del individuo (P<0.01) incidió en sus concentraciones. El resto de los parámetros hemáticos mostraron el mismo comportamiento, sin diferencias por el uso de Fe, concordando con otros trabajos2,8, que indican que una vez alcanzados niveles Hb ≥11 mg/dl, el estatus inmunitario se puede mejorar, lo que lleva a expresar completamente el desempeño productivo. Respecto a la cuantificación de Mb, en este trabajo se realizaron mediciones en momentos críticos de la vida productiva del cerdo para abasto, que están asociados a factores de alto estrés (nacimiento y destete) o de grandes cambios fisiológicos (105 días de edad), sin observarse un efecto directo sobre el contenido de Mb en ambos músculos, lo que sugiere, que aún con un aporte menor de Fe, sin llegar a una deficiencia o carencia total, la Mb se preserva y solo los cambios se atribuyen a la edad en el animal.
Cuadro 5 Efecto de la suplementación de Fe en las dietas de cerdos sobre su potencial productivo, contenido de mioglobina en músculos y parámetros hemáticos ֆ
| FES | CON | EEM | Valor - P | |
|---|---|---|---|---|
| Comportamiento productivo | ||||
| Peso final, kg | 122.13 | 120.64 | 2.230 | 0.63 |
| CDA, kg | 2.56 | 2.49 | 0.049 | 0.33 |
| GDP, kg | 0.94 | 0.94 | 0.018 | 0.95 |
| G×C, kg | 0.37 | 0.38 | 0.005 | 0.30 |
| Mioglobina en músculos ¥ | ||||
| L. dorsi, mg/g | 1.22 | 1.24 | 0.054 | 0.72 |
| P. major, mg/g | 1.41 | 1.38 | 0.066 | 0.65 |
| Parámetros hemáticos ¥, § | ||||
| Hb, g/dl | 13.20 | 13.27 | 0.133 | 0.72 |
| RBC, 106/mm3 | 7.42 | 7.49 | 0.066 | 0.47 |
| Ht, % | 42.92 | 43.57 | 0.479 | 0.33 |
| MCH, pg | 17.71 | 17.95 | 0.138 | 0.21 |
| MCHC, g/dl | 30.66 | 30.73 | 0.154 | 0.76 |
| Rt, % | 2.03 | 2.02 | 0.084 | 0.93 |
ֆ Medias de mínimos cuadrados y error estándar de la media (EEM). n= 58 cerdos/tratamiento, excepto para Mb (n= 12 cerdos/tratamiento). Peso inicial a 70 días= 35.85±7.783 kg (P=0.26). Los tratamientos fueron aplicados durante 98 días: FES= suplementados al 100% del requerimiento a partir de FeSO4●7H20; CON= sin Fe.
¥ Efecto de la edad, P<0.01.
§ Hb= hemoglobina; RBC= eritrocitos; Ht= hematocrito; MCH= hemoglobina corpuscular media; MCHC= concentración de hemoglobina corpuscular media; Rt= reticulocitos.
Los parámetros de calidad de carne para los músculos LD y PM, se muestran en el Cuadro 6. La temperatura (T) y el pH de la carne de cada músculo fue igual entre tratamientos (P>0.09). Para el LD, la T final fue 6.1°C (EEM= 0.38) con pH de 5.51 (EEM= 0.015); mientras que, en el PM la T fue 6.7°C (EEM= 0.32) con pH de 5.72 (EEM= 0.023) a ≈22.5 h post mortem. En el LD, la evaluación del color (P>0.13) y el estatus oxidativo (P>0.30) por TBARS y FRAP fueron iguales. Estos resultados difieren de algunos trabajos, que reportan una mayor oxidación en el LD16, esto pudo deberse a que, en su diseño, evaluaron alta concentración de Fe un mes previo al sacrificio de los animales. En adición, las especies Redox de mioglobina no fueron afectadas, encontrándose porcentajes aceptables, representativos de carne fresca. Lo anterior indica, que con niveles suplementarios del 100 % del requerimiento nutricional o bien con ingredientes que aporten cerca del 70 % de Fe (sin considerar su biodisponibilidad), los sistemas antioxidantes no son alterados en la carne del LD. Sin embargo, la capacidad de retención de agua, evaluada por la pérdida de peso por goteo fue mayor (P<0.02), 2.5 % para FES respecto a la no suplementación de Fe, 2.10 % (CON). Estos resultados, aunque se encuentran en valores aceptables, difieren de lo reportado8. En este caso, el proceso de matanza y ayuno juegan un papel muy importante en el descenso del pH, factor regulador de la estabilidad de las proteínas post-mortem sobre su capacidad de retención de agua.
Cuadro 6 Pérdida de peso por goteo, color, estatus oxidativo y mioglobina en la carne de dos músculos del cerdo ֆ
| Longissimus dorsi | Psoas major | |||||
|---|---|---|---|---|---|---|
| FES | CON | EEM | FES | CON | EEM | |
| Pérdida de peso por goteo, % | 2.50a | 2.00b | 0.108 | 0.61 | 0.60 | 0.051 |
| Color, escala NPPC | 2.97 | 3.10 | 0.449 | - | - | - |
| Luminosidad, L* | 55.17 | 54.61 | 0.284 | 48.96a | 47.66b | 0.292 |
| Tonos rojos, a* | 17.56 | 17.63 | 0.141 | 22.81 | 22.64 | 0.161 |
| Tonos amarillos, b* | 9.03 | 9.10 | 0.133 | 7.01 | 6.64 | 0.171 |
| FRAP, mg eq. Trolox/kg carne | 53.81 | 57.83 | 2.604 | 58.86 | 54.03 | 3.440 |
| TBARS, mg MDA/kg carne | 0.14 | 0.13 | 0.010 | 0.13a | 0.10b | 0.006 |
| Mioglobina, mg/g | 0.96 | 0.95 | 0.063 | 1.35 | 1.39 | 0.063 |
| Deo-Mioglobina, g/100 g | 21.58 | 21.00 | 0.790 | 18.80 | 19.87 | 0.873 |
| Met-Mioglobina, g/100 g | 23.20 | 23.28 | 0.495 | 29.63b | 28.71a | 0.265 |
| Oxy-Mioglobina, g/100 g | 55.26 | 55.75 | 0.796 | 51.57 | 51.57 | 0.753 |
ֆ Medias de mínimos cuadrados y error estándar de la media (EEM). n = 42/tratamiento. Los tratamientos fueron aplicados durante 98 días: FES) cerdos suplementados al 100% del requerimiento a partir de FeSO4●7H20; y CON) cerdos sin Fe suplementario en la dieta.
a,b Diferentes literales dentro del mismo músculo indican diferencias (P<0.02).
Respecto a la carne del PM, se observan diferencias (P<0.02) en la luminosidad (L*) donde el valor es mayor con FES (48.96) vs CON (47.66), lo que podría estar asociado a su mayor oxidación lipídica (0.13 vs 0.10 mg MDA/kg). Aparentemente, la oxidación también produjo cambios en las especies Redox de Mb en el PM, incrementando el contenido de meta-mioglobina (P<0.01) en FES= 29.63 vs CON= 28.71 g/100 g de carne. El incremento en meta-mioglobina fue previamente observado en LD16, y asociado al potencial pro-oxidativo del hierro, que puede ser reducido al suplementar vitamina E (≈200 mg de alfa-tocoferol acetato/kg alimento), además, se ha recomendado incluir vitamina C; sin embargo, un exceso de ésta puede llevar a mayor absorción de Fe y potenciar la oxidación32. En conjunto, tanto el nivel de Hb como de Mb pueden inducir la oxidación (auto-oxidación, principalmente de Hb), cambiando su estado de oxidación de 2+ a 3+. La oxidación de Met-Mb, liberará ferri-protoporfirina IX que puede oxidar a los fosfolípidos de las membranas musculares10, y por consiguiente afectar la capacidad de retención de agua. El uso de Fe suplementario en todo el crecimiento-engorda del animal aparentemente indujo un desbalance oxidativo a nivel lipídico de las membranas del músculo PM (FES= 0.13 vs CON= 0.10 mg MDA/kg carne, P<0.02) que, al tener un metabolismo oxidativo, es propenso a más reacciones de oxidación33, con una actividad antioxidante FRAP rebasada (P=0.06), posiblemente asociada al nivel convencional de vitamina E usado en el alimento de este trabajo (30 mg de alfa-tocoferol acetato/kg).
Conclusiones e implicaciones
Los parámetros hemáticos en las cerdas reproductoras son fuertemente regulados y ante la falta de suplementación de Fe en su dieta, el aporte de los ingredientes pareció ser suficiente para no afectar los parámetros hemáticos y el contenido de mioglobina en la progenie. En los lechones, la aplicación de Fe dextrano disminuyó en 80 % la proporción de lechones con Hb <9 g/dl (anémicos) al destete. Mientras que, en el crecimiento-finalización, los cerdos con valores de Hb entre 9 y 11 g/dl, catalogados como deficientes en hierro, tuvieron un crecimiento normal; sin embargo, el consumo de Fe más allá del requerimiento (aporte de ingredientes + Fe suplementario) aparentemente exacerbó un desbalance oxidativo mayor en el músculo P. major que en el L. dorsi, haciendo más notorios los cambios en el color de la mioglobina que en la capacidad de retención de agua de la carne. Por lo que, podría ser factible el ajuste de Fe en las dietas, considerando también el aporte de los ingredientes, así como, la inclusión de antioxidantes para reducir procesos de oxidación de lípidos y hemoproteínas.










texto en 



