Servicios Personalizados
Revista
Articulo
Indicadores
-
Citado por SciELO -
Accesos
Links relacionados
-
Similares en
SciELO
Compartir
Revista mexicana de ciencias pecuarias
versión On-line ISSN 2448-6698versión impresa ISSN 2007-1124
Rev. mex. de cienc. pecuarias vol.13 no.3 Mérida jul./sep. 2022 Epub 22-Ago-2022
https://doi.org/10.22319/rmcp.v13i3.6004
Review
Presence of pyrrolizidine alkaloids in honey and the effects of their consumption on humans and honeybees. Review
a Instituto Nacional de Investigaciones Forestales, Agrícolas y Pecuarias. Centro Nacional de Investigación Disciplinaria en Fisiología y Mejoramiento Animal. Km. 1, Carretera a Colón, 76280, Colón, Querétaro. México.
b Instituto Nacional de Investigaciones Forestales, Agrícolas y Pecuarias. Centro de Investigación Regional Sureste. Campo Experimental Mocochá. México.
Honey produced by honeybees (Apis mellifera L.) is a natural food whose composition depends on the floral origin, the geographical region and the climate where it is produced. Honeybees produce honey from the nectar of flowers, so honey may have secondary metabolites such as pyrrolizidine alkaloids, which are produced by some plants as defense mechanisms against insects and herbivorous animals. Pyrrolizidine alkaloids are toxic to humans and honeybees since they are mutagenic, carcinogenic and hepatotoxic to humans, and in honeybees they produce deterrent effects on feeding, reduce trophallaxis among worker honeybees and can cause the death of honeybees in a colony. The objective of this paper was to review the origin and chemical characteristics of pyrrolizidine alkaloids, the presence of these compounds in honey, their toxicity to both humans and honeybees, and the food regulation that establishes the limits of daily consumption of pyrrolizidine alkaloids.
Key words Honey; Pyrrolizidine alkaloids; Consumption; Honeybees; Humans
La miel que producen las abejas melíferas (Apis mellifera L.) es un alimento natural cuya composición depende del origen floral, la región geográfica y el clima en donde se produce. Las abejas producen miel a partir del néctar de las flores, por lo que la miel puede poseer metabolitos secundarios como los alcaloides pirrolizidínicos, que algunas plantas producen como mecanismos de defensa en contra de insectos y animales herbívoros. Los alcaloides pirrolizidínicos son tóxicos para el ser humano y para las abejas, ya que son mutagénicos, carcinogénicos y hepatotóxicos para el ser humano, y en las abejas producen efectos disuasivos en la alimentación, reducen la trofolaxia entre las obreras y pueden llegar a ocasionar la muerte de las abejas de una colonia. El objetivo de este trabajo fue hacer una revisión sobre el origen y las características químicas de los alcaloides pirrolizidínicos, sobre la presencia de estos compuestos en la miel, sobre su toxicidad tanto para el ser humano como para las abejas, y sobre la regulación alimentaria que establece los límites de consumo diario de alcaloides pirrolizidínicos.
Palabras clave Miel; Alcaloides pirrolizidínicos; Consumo; Abejas melíferas; Humanos
Introduction
Honey produced by honeybees (Apis mellifera L.) is a natural food composed mainly of carbohydrates, water, amino acids, organic acids, vitamins and minerals1. The composition, color, aroma and taste of honey depend mainly on its floral origin, as well as on the geographical region and climate where it is produced2,3.
Honeybees produce honey from the nectar of flowers, so sometimes honey contains compounds generated by plants as defense mechanisms in response to biotic and abiotic stressors. Some of these compounds are pyrrolizidine alkaloids, which are secondary metabolites that plants use to protect themselves from herbivorous animals, insects and some microorganisms4,5.
Pyrrolizidine alkaloids may be present in the nectar of flowers. When honeybees forage nectar containing these alkaloids, they produce honey with these compounds and that is when honey becomes a source of pyrrolizidine alkaloids for both honeybees and humans who consume it6,7,8,9.
Honey is a product of commercial importance in Mexico, in 2019 the value of production was approximately 2.489 billion pesos, in that year, 61,986 t were produced and approximately 42,150 t were exported. These production and export volumes place Mexico in tenth place as a producer and in fourth place as an exporter of honey worldwide10,11.
The objective of this paper is to review the presence of pyrrolizidine alkaloids in honey, the origin and characteristics of these compounds, the effects of consuming this type of alkaloids for both humans and honeybees, and the food regulation that establishes the limits of daily consumption of pyrrolizidine alkaloids for humans.
Origin of pyrrolizidine alkaloids
Plants face biotic and abiotic stressors that affect their development, such as damage caused by herbivorous animals, insects and microorganisms4,5. In response to these stressors, plants produce secondary metabolites such as alkaloids, which have a deterrent and toxic effect as they are not palatable, and some affect the central nervous system. The production of secondary metabolites is one of the defense systems most used by plants against herbivorous animals and insects12.
Currently, about 20,000 secondary metabolites are known, which are divided into two groups: nitrogenous and non-nitrogenous. Alkaloids belong to the group of nitrogenous metabolites and are heterocyclic compounds synthesized through amino acids such as tyrosine and arginine. Alkaloids are divided into five groups: pyrrolizidine alkaloids, isoquinoline alkaloids, quinolizidine alkaloids, tropane alkaloids and indole alkaloids5,13.
Pyrrolizidine alkaloids are produced by more than 560 species of plants, distributed mainly in the families: Asteraceae, Boraginaceae, Apocynaceae and in the genus Crotalaria of the family Fabaceae, although there are also some plants of the families Celastraceae, Convolvulaceae and Ranunculaceae and of the genera Liparis, Malaxis and Cysis of the family Orchidaceae that also produce pyrrolizidine alkaloids14,15.
Chemical structure of pyrrolizidine alkaloids
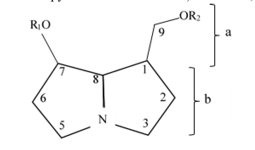
The chemical structure of pyrrolizidine alkaloids consists of an acid fragment called necic acid (Figure 1a) and a bicyclic necine base (Figure 1 b ) with a hydroxymethyl substituent at position 1 and a hydroxyl group at position 7. This necine base may have a saturation (Figure 2a) or an unsaturation (Figure 2b) between positions 1 and 216,17.

Figure 2 Different forms of appearance of pyrrolizidine alkaloids: a) bicyclic necine with a saturation between positions 1, 2; b) bicyclic necine with an unsaturation between positions 1, 2; c) basic structure of pyrrolizidine alkaloids in their N-oxide form17
Pyrrolizidine alkaloids can be found in two forms, one is in the form of a free base or tertiary alkaloid (Figure 2a and 2b) and the other is in the form of N-oxides (Figure c). The free base or tertiary alkaloid is the conjugate form of an amine, which, in the case of alkaloids, is a tertiary amine, which gives the property of being tertiary alkaloids, when this free base has an unsaturation between positions 1 and 2, the toxic version of the alkaloid appears, the presence of this unsaturation is a fundamental characteristic for its toxicity17,18.
The N-oxide form is a product of the oxidation of pyrroles, and in this form the pyrrolizidine alkaloids are not toxic, but these can be reduced and transformed into tertiary alkaloids, in the same way, tertiary alkaloids can be oxidized to their corresponding N-oxide; so pyrrolizidine alkaloids have the ability to change from one form to another19,20.
Classification of pyrrolizidine alkaloids
There are two main systems for classifying pyrrolizidine alkaloids, one is based on the combination of the necine base with necic acid and their binding patterns, while the other is based on the chemical structure of the necine base14,21.
In the first classification system, there are five types of pyrrolizidine alkaloids. Those of the senecionine type synthesized by the plants of the genera Senecio and Eupatorium of the family Asteraceae. Those of the lycopsamine type synthesized mainly by plants of the families Boraginaceae and Apocynaceae. The triangularine-type alkaloids, which are produced by several species of the genera Senecio and Boraginaceae. Those of monocrotaline type, which are produced mainly by plant species of the genus Crotalaria and some species of the family Boraginaceae. The phalaenopsine-type alkaloids, found in plants of the family Orchidaceae. Those of the loline type produced by the plant Lolium cuneatum and plants of the genus Adenocarpus of the family Fabaceae. Alkaloids of the miscellaneous type, mainly found in the genus Crotalaria of the family Fabaceae. Most of the known pyrrolizidine alkaloids are of the senecionine and lycopsamine types14.
In the second classification system, which is derived from the different necine bases, there are four types of pyrrolizidine alkaloids: those of the retronecine type, those of the heliotridine type, those of the otonecine type and those of the platynecine type. The base of the alkaloids of the retronecine, heliotridine and otonecine types has an unsaturation between positions 1 and 2, so they are considered of greater toxicity than those of the platynecine type15,21.
Toxicity of pyrrolizidine alkaloids
The level of toxicity of pyrrolizidine alkaloids depends mainly on their chemical structure, the pathways involved in the metabolism of the alkaloids, the rate of detoxification and the variations of each individual22. For pyrrolizidine alkaloids to be toxic, they must have a double bond between positions 1 and 2 and an ester group at position C-7, at position C-9 or at both positions of the necine base23.
Pyrrolizidine alkaloids are considered pretoxins, for them to cause damage, it is necessary that they be activated via hepatic metabolism, through the normal mechanisms of oxidative detoxification. In this way, the alkaloids that are consumed in their tertiary form are transformed into pyrrolic metabolites with the participation of the cytochrome P-450 monooxygenase enzyme20,24,25. On the other hand, when the non-toxic form of pyrrolizidine alkaloids is consumed, they can be reduced to their corresponding tertiary alkaloid (toxic form), absorbed and activated via the liver22,26,27.
The toxic effect of alkaloids is because they interrupt the transmission of the neuronal signal by affecting neuronal receptors, ion channels and enzymes responsible for the degradation of neurotransmitters and second messengers. In addition, they have the ability to intercalate in DNA, as well as to stop protein synthesis, induce apoptosis and inhibit the activity of enzymes involved in carbohydrate metabolism28.
Studies conducted on Drosophila melanogaster indicate that pyrrolizidine alkaloids are mutagenic and genotoxic (Table 1)29,30,31. Similarly, a study developed with rats and mice that were fed with the alkaloid riddelliine showed a significant increase in the presence of different types of cancer such as hemangiosarcoma, and tumors such as hepatocellular adenoma, alveolar adenoma and bronchiolar adenoma32.
Table 1 Pyrrolizidine alkaloid concentrations at which mutagenic or genotoxic effects occur in Drosophila melanogaster29,30,31
| Type | Pyrrolizidine alkaloid | Concentration in moles | Effect |
|---|---|---|---|
| Senecionine | Jacoline | 25x10-6-5x10-4 | Genotoxic |
| Platiphylline | 2x10-2 | Mutagenic | |
| Retrorsine | 25x10-6-5x10-4 | Genotoxic | |
| Seneciphylline | 5x10-6 - 5x10-5 | Genotoxic | |
| Seneciphylline | 1x10-5 | Mutagenic | |
| Seneciphylline | 1x10-4 | Mutagenic | |
| Seneciphylline | 1x10-3 | Mutagenic | |
| Senecionine | 5x10-6 - 1x10-4 | Genotoxic | |
| Senecionine | 2x10-2 | Mutagenic | |
| Senkirkine | 5x10-3 a 5x10-2 | Genotoxic | |
| Senkirkine | 1x10-5 | Mutagenic | |
| Lycopsamine | 7-acetyl intermidine | 1x10-5 - 1x10-4 | Genotoxic |
| 7-acetyl lycopsamine | 1x10-5 - 1x10-4 | Genotoxic | |
| Echimidine | 2x10-2 | Mutagenic | |
| Echinatine | 2x10-2 | Mutagenic | |
| Indicine | 1x10-3 - 1x10-2 | Genotoxic | |
| Intermedine | 5x10-4-1x10-3 | Genotoxic | |
| Lycopsamine | 1x10-3 | Genotoxic | |
| Indicine N-oxide | 25x10-4-25x10-3 | Genotoxic | |
| Monocrotaline | Monocrotaline | 25x10-4-0.10 | Genotoxic |
| Monocrotaline | 2x10-2 | Mutagenic | |
| Retronecine | Symlandine | 1x10-4 | Genotoxic |
| Heliotrine | Heliotrine | 25x10-6-5x10-4 | Genotoxic |
| Heliotrine | 2x10-2 | Mutagenic | |
| Lasiocarpine | 2x10-2 | Mutagenic |
Effects of pyrrolizidine alkaloid intake on human health
The presence of these alkaloids in foods is a hazard to human health, cases of exposure to pyrrolizidine alkaloids in humans occur due to the consumption of foods containing these alkaloids, or due to the consumption of medicines and food supplements made from medicinal plants.
There are two types of poisoning from the intake of pyrrolizidine alkaloids. Chronic poisoning is the most frequent33 and mainly causes delayed and progressive liver damage, hepatic and pulmonary vein occlusions and damage to blood vessels. In addition, to a lesser extent, it can cause damage to the kidney, the gastrointestinal tract, bone marrow, pancreas, megalocytosis and inhibition of mitosis24,34,35,36. Acute poisoning occurs less frequently and causes effects such as hepatomegaly and ascites36, it is estimated that it causes mortality in 20 % of people who suffer from acute poisoning, while 50 % recover and the remaining 30 % can develop chronic hepatic veno-occlusive disease years after poisoning37.
In addition, it is known that the alkylating agents that are formed by the biotransformation of pyrrolizidine alkaloids in the body have a synergistic effect with aflatoxins and with the virus that causes hepatitis, which causes different types of liver cancer36,38.
Effects of pyrrolizidine alkaloid intake on honeybees
There are insects that have mechanisms to avoid the adverse effects of consuming pyrrolizidine alkaloids. Honeybees do not have these mechanisms, since they can’t perform the metabolic conversion from the toxic form of the alkaloid to the non-toxic form and honeybees do not have a specific system to keep the alkaloids in their non-toxic form, so they transform up to 69 % of the pyrrolizidine alkaloids they ingest in non-toxic form to their toxic form in the intestine due to a reduction of the N-oxide and absorb them passively into the hemolymph since these are fat-soluble18,39.
Once the alkaloids are in the hemolymph, the free base functions as a substrate for the cytochrome P450 oxidase enzyme, which is part of xenobiotic metabolism, and this free base is transformed into pyrroles. The products resulting from this bioactivation are highly reactive and mutagenic alkylating agents24,39.
A study conducted in Germany indicates that concentrations of 2 % of unsaturated pyrrolizidine alkaloids in a sucrose solution produce harmful effects on honeybees and can cause the death of up to 70 % of honeybees in a period of 48 h under laboratory conditions. This study, showed that the presence of pyrrolizidine alkaloids in the nectar affects trophallaxis, since honeybees that collected sugar syrup with a concentration of 2 % of pyrrolizidine alkaloids could only transfer 4 % of the volume of the syrup they stored in the honey stomach to other honeybees, while honeybees that were fed sugar syrup with pyrrolizidine alkaloid concentrations of 0.2 % were able to transfer more than 15 % of the volume of syrup stored in the honey stomach to other honeybees18.
Regulation and consumption limits of pyrrolizidine alkaloids
The World Health Organization recommends reducing food contamination by pyrrolizidine alkaloids to the lowest possible level, as well as monitoring honeys that are produced in regions where it is known that there is a risk of contamination with pyrrolizidine alkaloids36. However, to date there is no regulation for the presence of these alkaloids in honey since the limits to establish the criteria for acceptance or rejection in the commercialization of this food have not been determined.
Some countries have established limits on the consumption of pyrrolizidine alkaloids based mainly on the use of drugs and food supplements made from medicinal plants.
Germany established that products that contain pyrrolizidine alkaloids and that are taken orally must have the warning label “not to be used during pregnancy and lactation” and through the Federal Institute for Risk Assessment (BfR, for its acronym in German) recommends a limit of intake of pyrrolizidine alkaloids of 0.007μg/kg of body weight/day, as this dose is unlikely to cause harmful effects such as cancer. In addition, for treatments using drugs made from medicinal plants whose duration is less than six weeks, the daily intake limit of pyrrolizidine alkaloids is 1μg/day; if treatment must be followed for more than six weeks, the daily intake limit of these is reduced to 0.1μg40,41.
The United Kingdom Committee on Toxicity recommends a pyrrolizidine alkaloid intake limit of 0.007μg/kg of body weight/d42.
In the Netherlands, the National Institute for Public Health and the Environment (RIVM, for its acronym in Dutch) established a maximum consumption limit for pyrrolizidine alkaloids of 0.1μg/kg of body weight per day in order to reduce the risk of cancer due to the intake of high concentrations of these alkaloids43,44.
The United States Food and Drug Administration (FDA) withdrew from the market edible products containing pyrrolizidine alkaloids or originating from the comfrey plant (Symphytum spp.) as they were considered to cause severe health damage. However, a specific intake limit has not been established due to lack of information45.
In Japan, the Ministry of Health, Labour and Welfare banned the commercialization of comfrey (Symphytum spp.) and all foods containing it46. In Australia and New Zealand, only chronic poisoning by pyrrolizidine alkaloids is considered a risk to human health, so a tolerable daily intake of pyrrolizidine alkaloids of 1μg/kg of body weight was established47. The Joint Code of Food Standards in Australia and New Zealand prohibits the intentional addition of some pyrrolizidine alkaloid-producing plants to foods, such as Crotolaria spp., Echium plantagineum, Echium vulgare and Heliotropium spp., among others48.
Likewise, in Australia and New Zealand there are specific measures to reduce the concentration of pyrrolizidine alkaloids in honey, which consist of mixing honeys that are known to come from plants that produce these alkaloids with honeys that come from plants that do not produce them49.
Pyrrolizidine alkaloids in honey
The presence of pyrrolizidine alkaloids in honey has been reported in several studies conducted in different countries and they report different levels of concentration and plant origins of the alkaloids.
In a study conducted in the United States, it was found that honey obtained from the plant Senecio jacobea in the state of Oregon had a concentration of up to 3.9 μg/g of this type of alkaloids7.
In New Zealand, honeys were found with concentrations of pyrrolizidine alkaloids ranging from 0.017 to 2.85 μg/g of the tertiary form and N-oxides of echivulgarine, vulgarine, uplandicine, echiuplatine, 3’-O-acetylechimidine and leptanthine, which are characteristic of the plant Echium vulgare (blueweed)50.
In Australia, a study analyzed honeys that came from plants that produce pyrrolizidine alkaloids (n= 29) and honeys that came from plants that do not produce pyrrolizidine alkaloids or whose floral origin was not associated with a specific source (n= 35). In honeys that came from alkaloid-producing plants, concentrations of pyrrolizidine alkaloids were found in a range of 0.033 to 2.27 μg/g, and 19 honeys without a specific floral source or from a source that does not produce pyrrolizidine alkaloids were positive and had concentrations between 0.003 and 0.8 μg/g, due to the mixing of honeys of different floral origins51. The mixing and homogenization of honeys that come from different apiaries, carried out by some producers and marketers, causes pyrrolizidine alkaloids to be frequently found in commercial honeys, although not all honeys used in the process come from nectar from plants that produce these alkaloids.
In a study carried out in Ireland, it was found that in 50 samples of honeys that were retailed in Ireland, 16 % were positive for pyrrolizidine alkaloids and had an average concentration of 1.26 μg/g of honey, amounts capable of causing chronic poisoning in humans9.
In Switzerland, a study analyzed 18 honey samples and 36 nectar samples collected from places where the alkaloid-producing plant Echium vulgare grows. Concentrations of up to 0.153 μg/g of pyrrolizidine alkaloids in honey and a range of 0.3-95.1 μg/g in nectar were found, it was also found that the most frequent alkaloid in both honey and nectar samples was echimidine6.
In Germany, a study conducted with 216 honey samples, obtained from European supermarkets as well as from online honey distributors, found that 19 samples contained pyrrolizidine alkaloids in concentrations of 0.02 to 0.12 μg/g. The method used in this study only detects pyrrolizidine alkaloids of the retronecine and heliotridine types, but it does not detect other types of alkaloids, so it is likely that the amount of pyrrolizidine alkaloids per sample was higher than that shown by the results52. In another study that was developed in this country, in which 8,000 samples of imported honey were analyzed, positive samples for the presence of pyrrolizidine alkaloids were found, with an average concentration of 0.036 μg/g, with echimidine, lycopsamine and lycopsamine N-oxide being the pyrrolizidine alkaloids that were found most frequently53.
In Germany, in 2016, it was detected that honey imported from Mexico was contaminated with these alkaloids with concentrations of 0.46 μg/g, which caused it to be classified as a serious risk by the health authorities and caused it to be withdrawn from the market54, while, in 2019, pollen imported from Spain containing pyrrolizidine alkaloids in a concentration of 0.786 μg/g was detected, which caused it to also be classified as a serious risk and to be withdrawn from the market54.
Conclusions
In some countries, there are regulations that determine the concentration limit of pyrrolizidine alkaloids in certain foods and in some of these countries, limits on the daily consumption of these alkaloids have also been established for humans. Despite of the scientific evidence that indicates that honey may be a source of pyrrolizidine alkaloids, and that chronic poisoning is of greatest concern, because of honey consumption, there are no reports of poisoning by pyrrolizidine alkaloid through honey consumption in humans. It is possible that this is because pyrrolizidine alkaloids are also toxic to honeybees, so they cannot consume honey with high concentrations of these compounds. It is important to consider that honeybee colonies produce honey for their own consumption; therefore, honeybees avoid collecting nectar with high levels of pyrrolizidine alkaloids to protect themselves from their toxic effects. However, it is important to have specific regulations that establish the maximum permitted limits of these compounds in honey, as well as specific acceptance or rejection criteria regarding pyrrolizidine alkaloids for the national and international commercialization of honey. It is very important to establish the maximum tolerable limits of pyrrolizidine alkaloids in honey, since it is a natural food consumed by humans as obtained from the hive and the presence of this type of compounds is a cause of loss of safety and quality in honey.
Honey production is an important activity in Mexico, in which the export of this product has a very important role from the economic point of view, so any impediment to its international commercialization must be taken into serious account. There are recent cases in which Mexican honeys were withdrawn from the German market because the concentration of pyrrolizidine alkaloids was classified as a severe risk to the health of consumers.
Information on the presence of pyrrolizidine alkaloids in Mexican honeys is very limited, so studies are required to define the types and concentrations of pyrrolizidine alkaloids that can be found in Mexican honeys according to their floral origin or region where they are produced, in order to avoid or reduce their effects on human health and their possible impact on the export of this product.
Literatura citada
1. Alqarni AS, Owayss AA, Mahmoud AA, Hannan M. Mineral content and physical properties of local and imported honeys in Saudi Arabia. J Saudi Chem Soc 2012;5:618-625. [ Links ]
2. Escuredo O, Dobre I, Fernández-González M, Seijo MC. Contribution of botanical origin and sugar composition of honeys on the crystallization phenomenon. Food Chem 2014;149:84-90. [ Links ]
3. Tornuk F, Karaman S, Ozturk I, Toker OS, Tastemur B, Sagdic O, et al. Quality characterization of artisanal and retail Turkish blossom honeys: Determination of physicochemical, microbiological, bioactive properties and aroma profile. Ind Crops Prod 2013;46:124-131. [ Links ]
4. Croteau R, Kutchan TM, Lewis NG. Natural products (Secondary metabolites). In: Buchanan B, Gruissem W, Jones R editors. Biochemistry and molecular biology of plants. Maryland, USA: Am Soc Plant Physiol; 2000:1250-1318. [ Links ]
5. Sepúlveda-Jiménez G, Porta DH, Rocha SM. La participación de los metabolitos secundarios en la defensa de las plantas. Rev Mex Fitopatol 2003;21(3):355-363. [ Links ]
6. Lucchetti M, Glauser G, Kilchenmann V, Dübecke A, Beckh G, Praz C, et al. Pyrrolizidine alkaloids from Echium vulgare in honey originate primarily from floral nectar. J Agric Food Chem 2016;64(25):5267-5273. [ Links ]
7. Deinzer ML, Thompson PA, Burgett DM, Isaacson DL. Pyrrolizidine alkaloids: Their occurrence in honey from tansy ragwort (Senecio jacobaea L.). Science 1977;795:497-499. [ Links ]
8. Crews C, Startin JR, Clarke PA. Determination of pyrrolizidine alkaloids in honey from selected sites by solidphase extraction and HPLC-MS. Food Addit Contamin 1997;14:419-428. [ Links ]
9. Griffin C, Danaher M, Elliot C, Kennedy D, Furey A. Detection of pyrrolizidine alkaloids in commercial honey using liquid chromatography - ion trap mass spectrometry. Food chem 2013;136:1577-1583. [ Links ]
10. FAO. Organización de las Naciones Unidas para la Alimentación y la Agricultura. Food and agriculture data. 2020. http://www.fao.org/faostat/en/#data/QA Consultado 1 Ago, 2020. [ Links ]
11. SIAP Servicio de Información Agroalimentaria y Pesquera. Anuario estadístico de producción ganadera 2019. https://nube.siap.gob.mx/cierre_pecuario/ Consultado 7 Ago, 2020. [ Links ]
12. Baker HG, Baker I. Studies of nectar-constitution and pollinator-plant coevolution. In: Gilbert LE, Raven PH, editors. Coevolution of Animals and Plants. Austin, Texas, USA: University of Texas Press; 1975:100-140. [ Links ]
13. Facchini PJ. Alkaloid biosynthesis in plants: Biochemistry, cell biology, molecular regulation, and metabolic engineering applications. Annual Review of Plant Physiology and Plant Molecular Biology 2001;52:29-66. [ Links ]
14. Hartmann T, Witte L. Chemistry, biology and chemoecology of the pyrrolizidine alkaloids. In: Pelletier SW editor. Alkaloids: Chemical and biological perspectives. 1rst ed. Oxford: Pergamon Press; 1995:155-233. [ Links ]
15. Robins DJ. The pyrrolizidine alkaloids. Prog Chem Org Nat Prod 1982;(41):115-203. [ Links ]
16. Edgar JA, Roeder E, Molyneux R. Honey from plants containing pyrrolizidine alkaloids: a potential threat to health. J Agric Food Chem 2002;50(10):2719-2730. [ Links ]
17. El-Shazly A, Wink M. Diversity of pyrrolizidine alkaloids in the boraginaceae structures, distribution, and biological properties. Divers 2014;6:188-282. [ Links ]
18. Reinhard A, Janke M, von der Ohe W, Kempf M, Theuring C, Hartmann T, et al. Feeding deterrence and detrimental effects of pyrrolizidine alkaloids fed to honey honeybees (Apis mellifera). J Chem Ecol 2009;35:1086-1095. [ Links ]
19. Mattocks AR, White IN. The conversion of pyrrolizidine alkaloids to dihydropyrrolizine derivatives by rat-liver microsomes in vitro. Chem Biol Interact 1971;3:383-396. [ Links ]
20. Johnson AE, Molyneux RJ, Merrill GB. Chemistry of toxic range plants. Variation in pyrrolizidine alkaloid content of Senecio, Amsinckia, and Crotalaria species. J Agric Food Chem 1985;33:50-55. [ Links ]
21. Wang Y, Fu P, Chou M. Metabolic activation of the tumorigenic pyrrolizidine alkaloid, retrorsine, leading to DNA adduct formation in vivo. Int J Environ Res Public Health 2005;2(1):74-79. [ Links ]
22. Stegelmeier B, Edgar J, Colegate S. Gardner D, Schoch T, Coulombe R et al. Pyrrolizidine alkaloid plants, metabolism and toxicity. J Nat Toxins 1999;8:95-116. [ Links ]
23. Kempf M, Reinhard A, Beuerle T. Pyrrolizidine alkaloids (PAs) in honey and pollen-legal regulation of PA levels in food and animal feed required. Mol Nutr Food Res 2010;54:158-168. [ Links ]
24. Mattocks, AR. Chemistry and Toxicology of Pyrrolizidine Alkaloids. Academic Press, London 1986. [ Links ]
25. Allsopp M. Biocontrol of bloublommetjies. S Afric Honeybee J 1993;65(2):32-36. [ Links ]
26. Williams L, Chou MW, Yan J, Young JF, Chan PC, Doerge DR. Toxicokinetics of riddelliine, a carcinogenic pyrrolizidine alkaloid, and metabolites in rats and mice. Toxicol Appl Pharmacol 2002;182:98-104. [ Links ]
27. Yang YC, Yan J, Doerge DR, Chan PC, Fu PP, Chou MW. Metabolic activation of the tumorigenic pyrrolizidine alkaloid, riddelliine, leading to DNA adduct formation in vivo. Chem Res Toxicol 2001;14:101-109. [ Links ]
28. Wink M, Schimmer O. Modes of action of defensive secondary metabolites. In: Wink M editor. Functions of plant secondary metabolites and their exploitation in biotechnology. Sheffield, England: Sheffield Academic Press; 1999:17-134. [ Links ]
29. Clark AM. The mutagenic activity of some pyrrolizidine alkaloids in Drosophila. Z Vererbungslehre 1960;91:74-80. [ Links ]
30. Candrian U, Lüthy J, Graf U, Schlatter C. Mutagenetic activity of the pyrrolizidine alkaloids seneciphylline and senkirkine in Drosophila and their transfer to rat milk. Food Chem Toxic 1984;22(3):223-225. [ Links ]
31. Frei H, Lüthy J, Brauchli J, Zweifel U, Würgler FE, Schlatter C. Structure/activity relationships of the genotoxic potencies of sixteen pyrrolizidine alkaloids assayed for the induction of somatic mutation and recombination in wing cells of Drosophila melanogaster. Chem-Biol Inter 1992;83:1-22. [ Links ]
32. Chan PC, Haseman JK, Prejean JD, Nyska A. Toxicity and carcinogenicity of riddelliine in rats and mice. Toxicol Lett 2003;144:295-311. [ Links ]
33. Boppré M. The ecological context of pyrrolizidine alkaloids in food, feed and forage: an overview. Food Addit Contam 2011;85(3):260-281. [ Links ]
34. Wiedenfeld H, Roeder E. Pyrrolizidine alkaloids: structure and toxicity. Dtsch Apoth Ztg 1984;124:2116-2122. [ Links ]
35. Fu P, Xia Q, Lin G, Chou M. Pyrrolizidine alkaloids-genotoxicity, metabolism, enzymes, metabolic activation and mechanisms. Drug Metab Rev 2004;36:1-55. [ Links ]
36. IPCS. International Programme on Chemical Safety. Pyrrolizidine Alkaloids. Environmental Health Criteria 80. OMS. Geneva, 1988. [ Links ]
37. Stuart KL, Bros B. Veno-occlusive disease of the liver. Q J Med 1957;26: 291-315. [ Links ]
38. Newberne PM, Rogers AE. Nutrition, monocrotaline and aflatoxin BI in liver carcinogenesis. Plant Foods Man 1973;1:23-31. [ Links ]
39. Hartmann T. Plant-derived secondary metabolites as defensive chemicals in herbivorous insects: a case study in chemical ecology. Planta 2004;219:1-4. [ Links ]
40. Bundesgesundheitsamt, Bekanntmachung uber die Zulas- . sung und Registrierung von Arzneimitteln, Bundesanzeiger 1992;111- 4805. [ Links ]
41. BfR. Bundesinstitut für Risikobewertung. Analytik und Toxizität von Pyrrolizidinalkaloiden sowie eine Einschätzung des gesundheitlichen Risikos durch deren Vorkommen in Honig. Stellungnahme 2011;038. [ Links ]
42. COT. Committee on toxicity of chemicals in food, consumer products and the environment. Annual Report. 2008. [ Links ]
43. RIVM Rijksinst;ituut voor Volksgezondheid en Milieu, RIKILT Institute of Food Safety, Risicobeoordeling inzake de Aanwezigheid van Pyrrolzidine Alkaloiden in Honing, Wageningen, Netherlands. 2007. [ Links ]
44. Van der Zee M. Advies inzake pyrrolizidine alkaloiden in kruidenpreparaten, , RIVM, Bilthoven. RIVM/S1R, report 09685A00. 2005. [ Links ]
45. FDA. Food and Drug Administration. Advises dietary supplement manufacturers to remove comfrey products from the market. 2001. [ Links ]
46. Comisión del Codex alimentarius. Documento Debate sobre los Alcaloides de Pirrolizidina. 2011. [ Links ]
47. ANZFA. Australia New Zealand Food Authority. Pyrrolizidine alkaloids in food a toxicological review and risk assessment. Technical report series no. 2. 2001. [ Links ]
48. ANZJFSC. Australia and New Zealand Joint Food Standards Code. Prohibited and restricted plants and fungi. Standard 1.4.4: Issue 67. 2015. [ Links ]
49. FSANZ. Food Standards Australia New Zealand. Consumers advised to limit consumption of Paterson’s Curse/Salvation Jane honey, Fact Sheet, 9. Canberra, Australia. 2004. [ Links ]
50. Betteridge K, Cao Yu, Colegate S. Improved method for extraction and LC-MS analysis of pyrrolizidine alkaloids and their N-oxides in honey: Application to Echium vulgare Honeys. J Agric Food Chem 2005;53:1894−1902. [ Links ]
51. Beales K, Betteridge K, Colegate S, Edgar J. Solid-phase extraction and LC−MS analysis of pyrrolizidine alkaloids in honeys. J Agric Food Chem 2004;52:6664−6672. [ Links ]
52. Kempf M, Beuerle T, Bühringer M, Denner M, Trost D, von der Ohe K, et al. Pyrrolizidine alkaloids in honey: Risk analysis by gas chromatography-mass spectrometry. Mol Nutr Food Res 2008;52:1193-1200. [ Links ]
53. Raezke K. Pyrrolizidine alkaloids in honey. FEEDM General Meeting. 2010. [ Links ]
54. European Commission. Rapid Alert System for Food and Feed. https://webgate.ec.europa.eu/rasffwindow/portal/?event=searchResultList&StartRow=301 . Consultado 20 Ago, 2020. [ Links ]
Received: June 10, 2021; Accepted: February 03, 2022










texto en 



