Introducción
La miel que producen las abejas melíferas (Apis mellifera L.) es un alimento natural compuesto principalmente por carbohidratos, agua, aminoácidos, ácidos orgánicos, vitaminas y minerales1. La composición, color, aroma y sabor de la miel dependen principalmente de su origen floral, así como de la región geográfica y el clima donde se produce2,3.
Las abejas producen miel a partir del néctar de las flores, por lo que en algunas ocasiones la miel contiene compuestos que las plantas generan como mecanismos de defensa en respuesta a factores de estrés bióticos y abióticos. Unos de estos compuestos son los alcaloides pirrolizidínicos, los cuales son metabolitos secundarios que las plantas utilizan para protegerse de animales herbívoros, insectos y algunos microorganismos4,5.
Los alcaloides pirrolizidínicos pueden estar presentes en el néctar de las flores. Cuando las abejas pecorean néctar que contiene estos alcaloides, producen miel con estos compuestos y es entonces cuando la miel se convierte en una fuente de alcaloides pirrolizidínicos tanto para las abejas como para los humanos que la consumen6,7,8,9.
La miel es un producto de importancia comercial en México, en el 2019 el valor de la producción fue de aproximadamente 2,489 millones de pesos, en ese año se produjeron 61,986 toneladas y se exportaron aproximadamente 42,150 toneladas. Estos volúmenes de producción y exportación ubican a México en el décimo lugar como productor y en el cuarto lugar como exportador de miel en el mundo10,11.
El objetivo de este trabajo es hacer una revisión sobre la presencia de alcaloides pirrolizidínicos en la miel, sobre el origen y características de estos compuestos, sobre los efectos que tiene el consumir este tipo de alcaloides tanto para el ser humano como para las abejas y sobre la regulación alimentaria que establece los límites de consumo diario de alcaloides pirrolizidínicos para el ser humano.
Origen de los alcaloides pirrolizidínicos
Las plantas enfrentan factores de estrés bióticos y abióticos que afectan su desarrollo, como lo es el daño causado por animales herbívoros, insectos y microorganismos4,5. En respuesta a estos factores de estrés, las plantas producen metabolitos secundarios como los alcaloides, que tienen un efecto disuasivo y tóxico ya que no son palatables y algunos afectan el sistema nervioso central. La producción de metabolitos secundarios es uno de los sistemas de defensa más utilizados por las plantas en contra de los animales herbívoros y de los insectos12.
Actualmente se conocen cerca de 20,000 metabolitos secundarios que se dividen en dos grupos: nitrogenados y no nitrogenados. Los alcaloides pertenecen al grupo de los metabolitos nitrogenados y son compuestos heterocíclicos sintetizados a través de aminoácidos como la tirosina y la arginina. Los alcaloides se dividen en cinco grupos: alcaloides pirrolizidínicos, alcaloides isoquinoléicos, alcaloides quinolizidínicos, alcaloides tropánicos y alcaloides indólicos5,13.
Los alcaloides pirrolizidínicos los producen más de 560 especies de plantas, distribuidas principalmente en las familias: Asteraceae, Boraginaceae, Apocynaceae y en el género Crotalaria de la familia Fabaceae, aunque también existen algunas plantas de las familias Celastraceae, Convolvulaceae y Ranunculaceae y de los géneros Liparis, Malaxis y Cysis de la familia Orchidaceae que también producen alcaloides pirrolizidínicos14,15.
Estructura química de los alcaloides pirrolizidínicos
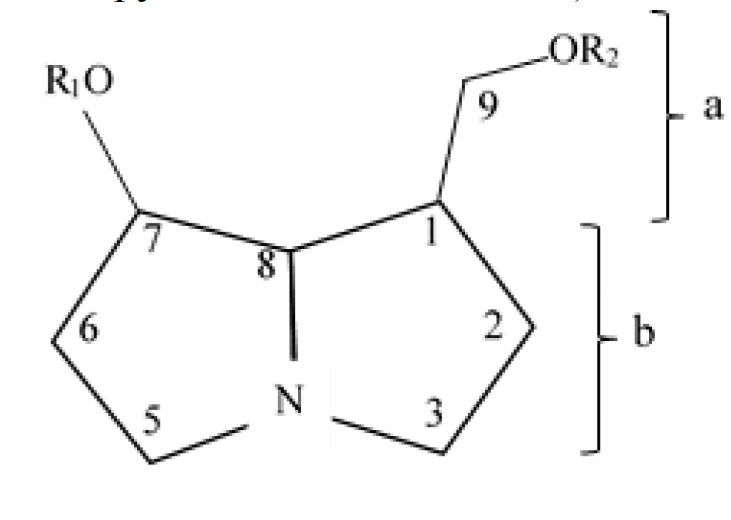
La estructura química de los alcaloides pirrolizidínicos consiste en un fragmento ácido denominado ácido nécico (Figura 1a) y una base de necina bicíclica (Figura 1b) con un sustituyente de hidroximetil en la posición 1 y un grupo hidroxilo en posición 7. Esta base de necina puede tener una saturación (Figura 2a) o una insaturación (Figura 2b) entre las posiciones 1 y 216,17.

Figura 1 Estructura básica de los alcaloides pirrolizidínicos: a) ácido nécico; b) necina bicíclica17

Figura 2 Diferentes formas de presentación de los alcaloides pirrolizidínicos: a) necina bicíclica con una saturación entre las posiciones 1 ,2; b) necina bicíclica con una insaturación entre las posiciones 1 ,2; c) estructura básica de los alcaloides pirrolizidínicos en su forma de N-óxido17
Los alcaloides pirrolizidínicos se pueden encontrar en dos formas, una es en forma de base libre o alcaloide terciario (Figura 2a y 2b) y la otra es en forma de N-óxidos (Figura 2c). La base libre o alcaloide terciario es la forma conjugada de una amina, que en el caso de los alcaloides se trata de una amina terciaria, lo que les da la propiedad de ser alcaloides terciarios, cuando esta base libre posee una insaturación entre las posiciones 1 y 2 se presenta la versión tóxica del alcaloide, la presencia de esta insaturación es una característica fundamental para su toxicidad17,18.
La forma de N-óxido es producto de la oxidación de los pirroles, y en esta forma los alcaloides pirrolizidínicos no son tóxicos, pero estos pueden ser reducidos y transformados en alcaloides terciarios, de la misma manera, los alcaloides terciarios pueden ser oxidados a su correspondiente N-óxido; por lo que los alcaloides pirrolizidínicos tienen la capacidad de cambiar de una forma a otra19,20.
Clasificación de los alcaloides pirrolizidínicos
Existen dos sistemas principales para clasificar a los alcaloides pirrolizidínicos, uno se basa en la combinación de la base de necina con el ácido nécico y sus patrones de enlace, mientras que el otro se basa en la estructura química de la base de necina14,21.
En el primer sistema de clasificación, existen cinco tipos de alcaloides pirrolizidínicos. Los del tipo senecionina, que los sintetizan las plantas del género Senecio y Eupatorium de la familia Asteraceae. Los de tipo licopsamina, que los sintetizan principalmente plantas de las familias Boraginaceae y Apocynaceae. Los alcaloides tipo triangularina que los producen varias especies de los géneros Senecio y Boraginaceae. Los de tipo monocrotalina, que los producen principalmente especies de plantas del género Crotalaria y algunas especies de la familia Boraginaceae. Los alcaloides tipo falaenopsina que se encuentran en plantas de la familia Orchidaceae. Los de tipo lolina que los producen la planta Lolium cuneatum y plantas del género Adenocarpus de la familia Fabaceae. Los alcaloides del tipo misceláneo que se encuentran principalmente en el género Crotalaria de la familia Fabaceae. La mayoría de los alcaloides pirrolizidínicos que se conocen son de los tipos senecionina y licopsamina14.
En el segundo sistema de clasificación, que se deriva de las diferentes bases de necina, existen cuatro tipos de alcaloides pirrolizidínicos: los del tipo retronecina, los del tipo heliotridina, los del tipo otonecina y los del tipo platinecina. La base de los alcaloides de los tipos retronecina, heliotridina y otonecina tiene una insaturación entre las posiciones 1 y 2, por lo que se consideran de mayor toxicidad que los del tipo platinecina15,21.
Toxicidad de los alcaloides pirrolizidínicos
El nivel de toxicidad de los alcaloides pirrolizidínicos depende principalmente de su estructura química, las rutas involucradas en el metabolismo de los alcaloides, la tasa de desintoxicación y las variaciones de cada individuo22. Para que los alcaloides pirrolizidínicos sean tóxicos es necesario que presenten un doble enlace entre las posiciones 1 y 2 y un grupo éster en la posición C-7, en la posición C-9 o en ambas posiciones de la base de necina23.
Los alcaloides pirrolizidínicos se consideran pretoxinas, para que causen daño es necesario que se activen vía el metabolismo hepático, a través de los mecanismos normales de detoxificación oxidativa. De esta manera, los alcaloides que se consumen en su forma terciaria se transforman en metabolitos pirrólicos con la participación de la enzima citocromo P-450 monooxigenasa20,24,25. Por otro lado, cuando se consume la forma no tóxica de los alcaloides pirrolizidínicos pueden reducirse a su correspondiente alcaloide terciario (forma tóxica), absorberse y activarse vía hepática22,26,27.
El efecto tóxico de los alcaloides se debe a que interrumpen la transmisión de la señal neuronal al afectar a los receptores neuronales, a los canales iónicos y a las enzimas encargadas de la degradación de neurotransmisores y mensajeros secundarios. Además, tienen la capacidad para intercalarse en el ADN, así como de detener la síntesis de proteínas, inducir la apoptosis e inhibir la actividad de las enzimas involucradas en el metabolismo de los carbohidratos28.
Estudios que se realizaron en Drosophila melanogaster indican que los alcaloides pirrolizidínicos son mutagénicos y genotóxicos (Cuadro 1)29,30,31. De igual manera, un estudio desarrollado con ratas y ratones que se alimentaron con el alcaloide ridelina mostró un incremento significativo en la presencia de diferentes tipos de cáncer como hemangiosarcoma, y tumores como adenoma hepatocelular, adenoma alveolar y adenoma bronquiolar32.
Cuadro 1 Concentraciones de alcaloides pirrolizidínicos en las que se presentan efectos mutagénicos o genotóxicos en Drosophila melanogaster(29,30,31)
| Tipo | Alcaloide pirrolizidínico | Concentración en moles | Efecto |
|---|---|---|---|
| Senecionina | Jacolina | 25x10-6-5x10-4 | Genotóxico |
| Platifilina | 2x10-2 | Mutagénico | |
| Retrorsina | 25x10-6-5x10-4 | Genotóxico | |
| Senecifilina | 5x10-6 - 5x10-5 | Genotóxico | |
| Senecifilina | 1x10-5 | Mutagénico | |
| Senecifilina | 1x10-4 | Mutagénico | |
| Senecifilina | 1x10-3 | Mutagénico | |
| Senecionina | 5x10-6 - 1x10-4 | Genotóxico | |
| Senecionina | 2x10-2 | Mutagénico | |
| Senkirkina | 5x10-3 a 5x10-2 | Genotóxico | |
| Senkirkina | 1x10-5 | Mutagénico | |
| Licopsamina | 7 - acetil intermidina | 1x10-5 - 1x10-4 | Genotóxico |
| 7 - acetil licopsamina | 1x10-5 - 1x10-4 | Genotóxico | |
| Equimidina | 2x10-2 | Mutagénico | |
| Equinatina | 2x10-2 | Mutagénico | |
| Indicina | 1x10-3 - 1x10-2 | Genotóxico | |
| Intermedina | 5x10-4-1x10-3 | Genotóxico | |
| Licopsamina | 1x10-3 | Genotóxico | |
| N - óxido indicina | 25x10-4-25x10-3 | Genotóxico | |
| Monocrotalina | Monocrotalina | 25x10-4-0.10 | Genotóxico |
| Monocrotalina | 2x10-2 | Mutagénico | |
| Retronecina | Simlandina | 1x10-4 | Genotóxico |
| Heliotrina | Heliotrina | 25x10-6-5x10-4 | Genotóxico |
| Heliotrina | 2x10-2 | Mutagénico | |
| Lasiocarpina | 2x10-2 | Mutagénico |
Efectos de la ingesta de alcaloides pirrolizidínicos en la salud del ser humano
La presencia de estos alcaloides en los alimentos es un peligro para la salud humana, los casos de exposición a los alcaloides pirrolizidínicos en humanos ocurren por el consumo de alimentos que contienen estos alcaloides, o por el consumo de medicinas y complementos alimenticios elaborados a partir de plantas medicinales.
Existen dos tipos de intoxicaciones por la ingesta de alcaloides pirrolizidínicos. La intoxicación crónica es la más frecuente33) y ocasiona principalmente daño hepático retardado y progresivo, oclusiones venosas tanto hepáticas como pulmonares y daño en vasos sanguíneos. Además, puede provocar en menor medida daño en riñón, en el tracto gastrointestinal, en la médula ósea, en el páncreas, megalocitosis e inhibición de la mitosis24,34,35,36. La intoxicación aguda ocurre con menor frecuencia y ésta provoca efectos como hepatomegalia y ascitis36; se estima que causa mortalidad en el 20 % de las personas que sufren una intoxicación aguda, mientras que el 50 % se recupera y el restante 30 % puede desarrollar enfermedad veno-oclusiva hepática crónica años después de la intoxicación37.
Además, se sabe que los agentes alquilantes que se forman por la biotransformación de los alcaloides pirrolizidínicos en el organismo tienen un efecto sinérgico con aflatoxinas y con el virus que ocasiona la hepatitis, lo que causa diferentes tipos de cáncer de hígado36,38.
Efectos de la ingesta de alcaloides pirrolizidínicos en las abejas
Existen algunos insectos que poseen mecanismos para evitar los efectos adversos de consumir alcaloides pirrolizidínicos; sin embargo, las abejas no cuentan con estos mecanismos, ya que no son capaces de realizar la conversión metabólica de la forma tóxica del alcaloide a la forma no tóxica y tampoco cuentan con un sistema específico para mantener a los alcaloides en su forma no tóxica, por lo que transforman hasta un 69 % de los alcaloides pirrolizidínicos que ingieren en forma no tóxica a su forma tóxica en el intestino debido a una reducción del N - óxido, y los absorben de forma pasiva hacia la hemolinfa ya que éstos son liposolubles18,39.
Una vez que los alcaloides se encuentran en la hemolinfa, la base libre funciona como sustrato para la enzima citocromo P450 oxidasa, que forma parte del metabolismo xenobiótico y esta base libre se transforma en pirroles. Los productos que resultan de esta bioactivación son agentes alquilantes altamente reactivos y mutagénicos24,39.
Un estudio que se realizó en Alemania indica que concentraciones de 2 % de alcaloides pirrolizidínicos insaturados en una solución de sacarosa producen efectos dañinos para las abejas y pueden ocasionar la muerte de hasta el 70 % de las abejas en un periodo de 48 h bajo condiciones de laboratorio. Este mismo estudio mostró que la presencia de alcaloides pirrolizidínicos en el néctar afecta la trofolaxia, ya que abejas que recolectaron jarabe de azúcar con una concentración de 2 % de alcaloides pirrolizidínicos, sólo pudieron transferir el 4 % del volumen del jarabe que almacenaron en el buche de miel a otras abejas, mientras que abejas que se alimentaron con jarabe de azúcar con concentraciones de alcaloides pirrolizidínicos del 0.2 %, fueron capaces de transferir más del 15 % del volumen del jarabe almacenado en el buche a otras abejas18.
Regulación y límites de consumo de alcaloides pirrolizidínicos
La Organización Mundial de la Salud recomienda reducir la contaminación de alimentos por alcaloides pirrolizidínicos al menor nivel posible, así como monitorear mieles que se producen en regiones donde se conoce que existe el riesgo de contaminación con alcaloides pirrolizidínicos36. Sin embargo, a la fecha no existe una regulación para la presencia de estos alcaloides en la miel, ya que no se han determinado los límites para establecer los criterios de aceptación o rechazo en la comercialización de este alimento.
Algunos países han establecido límites en el consumo de alcaloides pirrolizidínicos basados principalmente en el uso de medicinas y complementos alimenticios elaborados a partir de plantas medicinales.
Alemania estableció que los productos que contengan alcaloides pirrolizidínicos y que se ingieren vía oral deben contar con la leyenda “no se use durante el embarazo y lactancia” y a través del Instituto Federal de Evaluación de Riegos (BfR, por sus siglas en alemán), recomienda un límite de ingesta de alcaloides pirrolizidínicos de 0.007µg/kg de peso corporal/día, ya que es poco probable que esta dosis provoque efectos dañinos como cáncer. Además, para tratamientos que utilizan medicamentos elaborados a partir de plantas medicinales cuya duración sea menor a seis semanas el límite de ingesta diaria de alcaloides pirrolizidínicos es de 1µg/día; si el tratamiento debe seguirse por más de seis semanas, el límite de ingesta diaria de estos se reduce a 0.1µg40,41.
El Comité de Toxicidad del Reino Unido recomienda un límite de ingesta de alcaloides pirrolizidínicos de 0.007µg /kg de peso corporal/día42.
En los Países Bajos, el Instituto Nacional para la Salud Pública y el Medio Ambiente (RIVM, por sus siglas en holandés) estableció un límite de consumo máximo de alcaloides pírrolizidínicos de 0.1µg /kg de peso corporal al día con el propósito de disminuir el riesgo de cáncer por la ingesta de concentraciones elevadas de estos alcaloides43,44.
La Administración de Alimentos y Medicamentos de los Estados Unidos (FDA, por sus siglas en inglés) retiró del mercado productos comestibles que contenían alcaloides pirrolizidínicos o que provenían de la planta consuelda (Symphytum spp), ya que se consideró que provocan daños severos a la salud. Sin embargo, no se ha establecido un límite de ingesta específico debido a falta de información45.
En Japón, el Ministerio de Sanidad, Trabajo y Bienestar prohibió la comercialización de consuelda (Symphytum spp.) y todos los alimentos que la contengan46.
En Australia y Nueva Zelanda sólo la intoxicación crónica por alcaloides pirrolizidínicos es considerada un riesgo para la salud humana, por lo que se estableció una ingesta diaria tolerable de alcaloides pirrolizidínicos de 1µg/kg de peso corporal47. El Código Conjunto sobre Normas Alimentarias en Australia y Nueva Zelanda prohíbe la adición intencional de algunas plantas productoras de alcaloides pirrolizidínicos a los alimentos, como Crotolaria spp, Echium plantagineum, Echium vulgare y Heliotropium spp, entre otras48.
Asimismo, en Australia y Nueva Zelanda existen medidas específicas para disminuir la concentración de alcaloides pirrolizidínicos en miel, que consiste en mezclar mieles que se sabe que provienen de plantas productoras de estos alcaloides con mieles que provienen de plantas que no los producen49.
Alcaloides pirrolizidínicos en miel
La presencia de alcaloides pirrolizidínicos en miel ha sido documentada en estudios que se han desarrollado en varios países y reportan diferentes niveles de concentración y orígenes vegetales de los alcaloides.
En un estudio que se hizo en Estados Unidos se encontró que miel que se obtuvo de la planta Senecio jacobea en el estado de Oregón presentó una concentración de hasta 3.9µg/g de este tipo de alcaloides7.
En Nueva Zelanda se encontraron mieles con concentraciones de alcaloides pirrolizidínicos que van de 0.017 a 2.85µg/g de la forma terciaria y N-óxidos de equivulgarina, vulgarina, uplandicina, equiuplatina, 3’-O-acetilequimidina y leptantina, los cuales son característicos de la planta Echium vulgare (viborera)50.
En Australia se desarrolló un estudio en el que se analizaron mieles que provenían de plantas productoras de alcaloides pirrolizidínicos (n= 29) y mieles que provenían de plantas que no producen alcaloides pirrolizidínicos o bien cuyo origen floral no fue asociado a una fuente específica (n= 35). En las 29 mieles que provenían de plantas productoras de alcaloides se encontraron concentraciones de alcaloides pirrolizidínicos en un rango de 0.033 a 2.27µg/g, mientras que 19 de las 35 mieles sin fuente floral específica o no productora de alcaloides pirrolizidínicos resultaron positivas y presentaron concentraciones entre 0.003 y 0.8µg/g, debido a mezcla de mieles de diferentes orígenes florales51. La mezcla y homogenización de mieles que provienen de diferentes apiarios, que realizan algunos productores y comercializadores, ocasiona que los alcaloides pirrolizidínicos se encuentren con frecuencia en mieles comerciales, aunque no todas las mieles que se utilicen en el proceso provengan de néctar de plantas que producen estos alcaloides.
En un estudio que se realizó en Irlanda, se encontró que en 50 muestras de mieles que se comercializaron al menudeo en Irlanda, el 16 % fueron positivas a alcaloides pirrolizidínicos y tuvieron una concentración promedio de 1.26µg/g de miel, cantidades capaces de ocasionar intoxicaciones crónicas en humanos9.
En Suiza se realizó un estudio en donde se analizaron 18 muestras de miel y 36 muestras de néctar provenientes de lugares en donde abunda la planta productora de alcaloides Echium vulgare, se encontraron concentraciones de hasta 0.153µg/g de alcaloides pirrolizidínicos en miel y un rango de 0.3 - 95.1µg/g en néctar, asimismo se encontró que el alcaloide más frecuente en las muestras tanto de miel como de néctar fue la equimidina6.
En Alemania se realizó un estudio en el que se incluyeron 216 muestras de mieles que se obtuvieron de supermercados europeos, así como de distribuidores de miel por internet, y se encontró que 19 muestras contenían alcaloides pirrolizidínicos en concentraciones de 0.02 a 0.12µg/g, el método empleado en este estudio sólo detecta los alcaloides pirrolizidínicos de los tipos retronecina y heliotridina de una muestra, pero no detecta otro tipo de alcaloides, por lo que es probable que la cantidad de alcaloides pirrolizidínicos por muestra fuera más alta que la que mostraron los resultados52. En otro estudio que se desarrolló en ese país, en el que se analizaron 8,000 muestras de miel importada, se encontraron muestras positivas a la presencia de alcaloides pirrolizidínicos con una concentración promedio de 0.036µg/g, siendo la equimidina, licopsamina y el N-óxido de licopsamina los alcaloides pirrolizidínicos que se encontraron con mayor frecuencia53.
Asimismo, en Alemania, en el 2016, se detectó que miel importada de México estaba contaminada con estos alcaloides con concentraciones de 0.46µg/g, lo que hizo que se clasificara como un riesgo serio por las autoridades sanitarias y ocasionó que se retirara del mercado54, mientras que en el 2019 se detectó polen importado de España que contenía alcaloides pirrolizidínicos en una concentración de 0.786µg/g, lo cual implicó que también se clasificara como un riesgo serio y se retirara del mercado54.
Conclusiones
En algunos países existen regulaciones que determinan la concentración límite de alcaloides pirrolizidínicos que pueden estar presentes en ciertos alimentos, y en algunos de estos países también se han establecido límites en el consumo diario de estos alcaloides para el ser humano. A pesar de la evidencia científica que indica que la miel puede ser una fuente de alcaloides pirrolizidínicos para las personas, y que la intoxicación crónica es la de mayor preocupación por el consumo de miel, a la fecha no existen reportes de intoxicación por alcaloides pirrolizidínicos a través del consumo de miel en seres humanos. Es posible que esto se deba a que los alcaloides pirrolizidínicos también son tóxicos para las abejas, por lo que no pueden consumir miel con concentraciones altas de estos compuestos. Es importante considerar que las colonias de abejas producen miel para consumirla y por esto las abejas evitan recolectar néctar con altos niveles de alcaloides pirrolizidínicos para protegerse de sus efectos tóxicos. Sin embargo, es importante contar con regulaciones específicas, en donde se establezcan los límites máximos permitidos de estos compuestos en la miel, así como criterios específicos de aceptación o rechazo en cuanto a alcaloides pirrolizidínicos se refiere para la comercialización nacional e internacional de la miel. En este sentido es muy importante establecer los límites máximos tolerables de alcaloides pirrolizidínicos en miel, ya que es un alimento natural que se consume tal como se obtiene de la colmena y la presencia de este tipo de compuestos es una causa de pérdida de inocuidad y calidad en la miel.
La producción de miel es una actividad importante en México, en la que la exportación de este producto tiene un papel muy importante desde el punto de vista económico, por lo que debe tomarse en cuenta seriamente cualquier impedimento para su comercialización internacional. Existen casos recientes en el que se retiraron mieles mexicanas del mercado alemán, debido a que la concentración de alcaloides pirrolizidínicos fue clasificada como un riesgo severo para la salud de los consumidores.
La información sobre la presencia de alcaloides pirrolizidínicos en mieles mexicanas es muy limitada, por lo que se requiere de estudios para definir los tipos y concentraciones de alcaloides pirrolizidínicos que se pueden encontrar en las mieles mexicanas de acuerdo a su origen floral o región en donde se producen, con el fin de evitar o disminuir sus efectos en la salud de los humanos y su posible impacto en la exportación de este producto.










texto en 


