Introduction
Gastrointestinal nematodes (GIN), primarily H. contortus, which is the most prevalent nematode in tropical regions, are among the primary pathogens that reduce animal production1. For a long time, anthelmintic drugs have been used as the main traditional method of control, and only one is on the market2. However, the inadequate use of this drug has caused worldwide resistance problems in various ruminant species3,4. The high prevalence and the fast dispersion of anthelmintic resistance have increased in domestic ruminants, which show resistance to multiple anthelmintic drugs in certain regions5. In Mexico, diverse reporting on GIN has occurred, and other strategies of control are under study6.
The use of different methods of control have been denoted Parasite Integral Control (PIC)7. The strategy of most studies is to focus on the control of highly pathogenic nematodes, such as H. contortus and Teladorsagia, in small ruminants because of their blood-feeding habits. Paddock rotation, selection of resistant breeds, biological control (i.e., nematophagous fungi and predatory nematodes)8, selective deworming, vaccines and derivatives of the traditional herbolary (i.e., homeopathic products) are considered in the PIC9. However, more studies are needed of alternative methods to reduce the epg and the adult nematodes during husbandry procedures10.
Homeopathic compounds are substances of different origins, such as vegetable or mineral, that have therapeutic effects. The homeopathic products are prepared following the instructions of the Homeopathic Pharmacopeia10,11. For instance, the homeopathic products obtained from plants are acquired as ethanolic extracts (generally), and they are diluted in 99 parts alcohols until the desired concentration (decimal and centesimal) below the Avogadro number 6.02214*1023 is reached. In this way, the homeopathic drugs are obtained with low inversion and easy extraction and represent a safe method of control12. Recently, several reports regarding the possible use of homeopathic products with a nematicidal effect have provided a new opportunity to integrate A. cina as a novel method of control. A. cina is a plant that belongs to the Asteraceae family and contains artemisinin as the active metabolite13. This plant has shown anthelmintic and antimalarial properties14. For instance, A. cina appears to have a potential therapeutic effect against parasites, but further study is required to determine if A. cina can be used as a homeopathic or natural product as a possible anthelmintic against GIN. A. cina took is conformided by the 30 centesimal hannemaniana (CH) concentration as reported by the Mexican Homeopathic Pharmacopoeia (concentration: 10-60M), which is suggested to be administered in ruminants. The aim of this study was to determine the antiparasitic efficacy of a homeopathic product based on A. cina 30 CH in in vitro and in vivo assays against a natural infection of small ruminants with GIN.
Material and methods
Locality
The analysis by mass spectrometry was carried out in laboratory 5 of Unidad de Investigación Multidisciplinaria, and the in vitro analysis carried out in laboratory 3 and 5 of the Unidad de Investigación Multidisciplinaria of Facultad de Estudios Superiores Cuautitlán (FESC), UNAM, in Cuautitlan Municipality, State of México and the in vivo assay on a farm in Mixquiahuala Municipality, Hidalgo State at 2,100 m asl with a semi-dry climate, an annual temperature of 16.6° C and rainfall of 500 mm15.
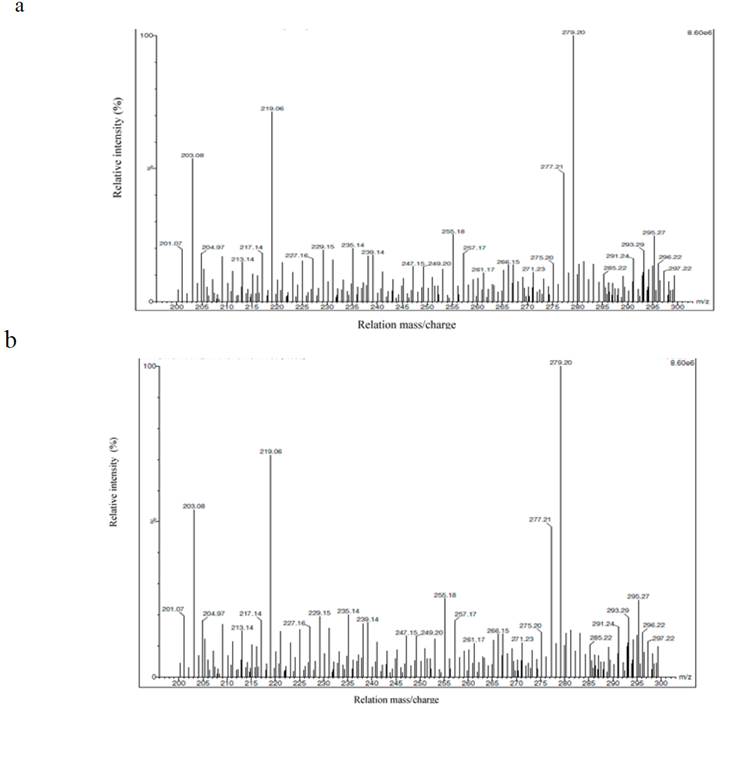
Identification of artemisinin in A. cina 30 CH
The artemisinin molecules were identified from A. cina 30 CH commercial products (Millenium Lab, México). Ultra-performance liquid chromatography with mass spectrometry (UPLC/MS) was used with a reversed-phase column in positive mode. All samples were performed according to the following conditions: 70 cone velocity, Sm (Mn 2*0.75) and UPLC/MS reading from 200 to 300 m/z laboratory 5 of Unidad de Investigación Multidisciplinaria. Concentration of A. cina 30CH was 10-60M.
Parasites
Faeces positive for parasitic nematode eggs were collected from a donor lamb previously infected with 5,000 eggs of H. contortus L3, a strain isolated and maintained in the FESC, UNAM. The quantitative McMaster technique was used to determine the number of epg, and coproculture techniques were performed to collect H. contortus L3 at 21 d post-infection (PI). Larvae were kept at -20 oC until used (the larvae recovered from the larval culture were cryopreserved in glycerol; for bioassays, the larvae were thawed at room temperature, and 95 % motility was verified).
Bioassays
Two different in vitro assays were performed to determine the inhibition of egg hatching (IEH) and the inhibition of larval migration (ILM)16. All techniques were performed using 100 eggs or infective stages of larvae (L3) of H. contortus. For each assay, three replicates were prepared, and five treatments were applied as follows: 1) 20 µL A. cina 30 CH (10-60M); 2) 100 µL of distilled water (DW, control); 3) 50 mg/mL albendazole (ABZ, control) (Sigma-Aldrich, St Louis, Missouri, USA), solubilized with 0.1 mg/mL dimethyl sulfoxide (DMSO); 4) 20 µL of ethanol; and 5) 1 mg/mL artemisinin (Sigma-Aldrich, St Louis, Missouri, USA).
The IEH was performed in ELISA plates that were incubated at 28 °C for 48 h. The IEH reading was conducted using Lugol’s iodine solution, which was added to each well after incubation. The total volume of each ELISA well was read to count the number of active H. contortus L1 and IEH per well with a microscope under 10× magnification (Olympus, model CK-2, Japan).
The ILM received similar treatment as the IEH, except that the ABZ was replaced by levamisole (300 mg/mL). Larvae were also read using Lugol´s solution after incubation. The total volume per well was read to determine the ILM.
Lambs
Thirty Suffolk breed lambs, 16 males and 14 females, 3 mo of age and at 20 d post-weaning, were naturally infected with GIN. All lambs were kept in semi-stabled conditions, grazing in paddocks during the day and kept inside at night. Lambs were fed commercial concentrate and water ad libitum. No anthelmintic treatment was applied to any lamb before the present study. All lambs were positive for GIN eggs, which was confirmed by McMaster and coproculture techniques.
Experimental design
Prior to the treatments, the lambs were randomized into three groups of 10 each with the support of the Statgraphics Centurion XV. Treatments were designed as follows: group A received 1 mL per 5 kg of body weight (BW) by oral route of A. cina 30 CH (Millenium Laboratories, México) as a single dose, concentration of A. cina 30CH was 10-60M. (1); group B was orally treated with ABZ at 7.5 mg/kg of BW; and group C, without treatment, was used as the control. Faecal and haematological samples were collected at 1 d pre-treatment (0 day) and at 7, 14 and 28 d post-treatment (PT). In addition, eye mucosa colour was observing using the FAMACHA index.
Statistical analysis
The means of H. contortus eggs and larvae L3 were compared between treatments and control groups using ANOVA analysis, complementary with Tukey’s test to identify the differences between treatments, using Statgraphics Centurion XV software. The number of epg was transformed to log10 epg + 10 to stabilize the variance, and the least significant difference (LSD) test was applied using Statgraphics Centurion XV software with a completely randomized design that considered repeated measurements over time and treatment. Differences with P<0.05 were considered to be significant.
Results
Identification of artemisinin in A. cina 30 CH
The mass spectrophotometry analysis showed artemisinin molecules in the A. cina 30 CH commercial products used in the present study. The A. cina 30 CH chromatographic analysis was performed to compare the profile of the commercial products to the artemisinin pure reagent. Figure 1, a-b showed artemisinin molecules corresponding to A. cina 30 CH and the artemisinin pure reagent with 279.20 m/z.
In vitro assays
IEH. Data obtained from the evaluation of A. cina 30 CH showed 100 % IEH of H. contortus A. cina after 48 h; this result was followed by the ABZ treatment, with 93 %. In contrast, no IEH of H. contortus was observed with the 80 % ethanol, the artemisinin pure reagent and the DW treatments did not show effect (Figure 2).

Figure 2 Inhibition of egg hatch assays against Haemonchus contortus eggs exposed with Artemisia cina 30 CH and albendazole treatments and controls (artemisinin, water and methanol)
ILM. The A. cina 30 CH showed 65.7 % inhibition of migration of the H. contortus infective larvae. Different results were observed with the artemisinin pure reagent used at 0.1 and 1 mg/mL with DW and ethanol, with all treated groups showing 100 % larval migration, indicating that no inhibition was observed in the control groups. The levamisol used as the anthelmintic showed lethal efficacy of 100 % against larvae; therefore, no migration was observed (Table 1).
Artemisia cina nematicide efficacy
Natural infection with GIN on grazing lambs showed two main GIN species: H. contortus (75%) and T. circumcincta (25 %). Infected lambs for all groups showed a mean of approximately 2,000 epg prior to treatment (d- 0). Through the following periods, significant differences in the reduction in epg were observed at 7 and 14 d PT (P<0.05) (Figure 3). In addition, significant differences were also observed between groups A (A. cina 30 CH) and B (ABZ) in comparison to group C (control, P<0.05) at 7 d.

Figure 3 Egg per gram observed at -7, 0, 7, 14 and 28 d postreatment of lambs infected naturally with gastrointestinal nematodes *(P<0.05)
FAMACHA Index Card. For all groups, the FAMACHA card index was determined to be 3.0 to 5.0 in the in vivo study. The FAMACHA values were variable for all groups. Important differences were observed at 14 and 28 d PT for the A. cina 30 CH and ABZ treatments (Table 2).
Table 2 FAMACHA index of lambs naturally infected with gastrointestinal nematodes and receiving Artemisia cina 30 CH or albendazole
| Days post-treatment | |||||
|---|---|---|---|---|---|
| Treatment | 0 | 7 | 14 | 28 | p |
| Artemisia cina 30 CH | 3.0 + 0.13a | 4.0 + 0.44aA | 3.0 + 0.52bB | 2.0 + 0.31bA | 0.44 |
| Albendazole | 5.0 + 0.26ª | 3.0 + 0.21bB | 2.0 + 0.30cA | 1.0 + 0.22cA | 0.19 |
| Control | 3.0 + 0.25b | 2.0 + 0.29aB | 1.0 + 0.20aA | 3.0 + 0.71bB | 0.62 |
Equal lower case letters have no statistical significance and different lower case letters have statistical difference within the group (P<0.05). Equal capital letters have no statistical significance and different capital letters have statistical difference between groups (P<0.05).
Discussion
A. cina has chemical compounds, such as the terpenoids, that provide insecticidal activity against reproductive capacity and cause antioxidative stress in the pathogens17,18,19. In recent years, important results identified artemisinin as having a possible anthelmintic effect20. For instance, Akkari et al21, reported a lethal dose (LD) of Artemisia campestris of 0.8 mg/mL against H. contortus when using an ethanolic extract. In the present study, A. cina 30 CH showed 100 % of H. contortus IEH. In addition, A. cina 30 CH showed efficacy for decreasing the larval migration, and these results were like those reported by others22. Bashtar et al.22 described the ethanolic extract of A. cina with efficacy against the cestode Moniezia. In addition, the present study had 64.7 % ILM of H. contortus using A. cina 30 CH. It was reported a reduction in the larval rate in rats infected with the nematode Trichinella spiralis when the rats were treated with A. cina 30 CH, Podophyllum 0 and Santoninun 30 CH (homeopathic products) in 68.14 %, 84.10 % and 81.20 % respectively23.
Conversely, artemisinin pure reagent was used as control, and no inhibition of egg or larval migration was observed. These results suggest that the absence of activity might have been produced by the chemical conformation of A. cina 30 CH, and a solvent that used compounds with hydrogens and phenyl rings, thereby enabling a fast change in conformation.
Regarding the natural infection with GIN and the A. cina 30 CH treatments applied after 2 wk, the ABZ and A. cina 30 CH showed significant differences (P<0.05) in reductions in the number of epg. These findings were like those reported by Bashtar et al22, who found a reduction of proglottids of Moniezia sp. in animals treated with A. cina. However, more studies are required to confirm the possible anthelmintic effect of A. cina 30 CH against nematode stages using artemisinin from native plants.
Treatments with A. cina 30 CH and ABZ against natural infection improved the FAMACHA values caused by the blood-feeding habit of H. contortus at 7 and 14 d after administration (P<0.05). Similar results were found by Cala et al1, with artemisinin supported as a possible nematicide metabolite after infection. Demeler et al24 showed the anaemia caused by H. contortus infection in lambs treated with ABZ showed nematicidal efficacy. A review carried out by Kerboeuf et al25 suggests the activity of flavonoids on the structure and cell target is similar to the antioxidant effect caused by artemisinin. Although the A. cina anthelmintic mechanism of action is unknown, determination of this mechanism is needed for its application to nematodes infecting hosts. It was demonstrated the stability of artemisinin in the rumen, which was detectable in blood samples at 33 mg of artemisinin/kg of body weight21. The study of A. cina 30 CH showed participation of the drug as an anthelmintic, and it should be considered as a possible method for use in the control of parasitic nematodes.
Conclusions and implications
The A. cina 30 CH had anthelmintic efficacy against H. contortus egg hatching during natural infection. The FAMACHA index suggest reduction of nematode activity after treatment with A. cina 30 CH and ABZ. In addition, this product demonstrated inhibition of egg hatching and larval migration, which indicates its possible anthelmintic effect. To optimize the use of this homeopathic compound, the mechanism of its action must be determined.










texto en 



