SciELO - Scientific Electronic Library Online

 
vol.9 número2Resistencia natural contra la tuberculosis en ganado. RevisiónEvaluación morfológica de gallinas de traspatio mexicanas (Gallus gallus domesticus) índice de autoresíndice de materiabúsqueda de artículos
Home Pagelista alfabética de revistas  

Servicios Personalizados

Revista

Articulo

Indicadores

Links relacionados

  • No hay artículos similaresSimilares en SciELO

Compartir


Revista mexicana de ciencias pecuarias

versión On-line ISSN 2448-6698versión impresa ISSN 2007-1124

Rev. mex. de cienc. pecuarias vol.9 no.2 Mérida abr./jun. 2018

https://doi.org/10.22319/rmcp.v9i2.4488 

Nota de investigación

Efecto prebiótico de dos fuentes de inulina en el crecimiento in vitro de Lactobacillus salivarius y Enterococcus faecium

Prebiotic effect of two sources of inulin on in vitro growth of Lactobacillus salivarius and Enterococcus faecium

Marco Antonio Ayala Montera 

David Hernández Sáncheza  * 

René Pinto Ruizb 

Sergio S. González Muñoza 

José Ricardo Bárcena Gamaa 

Omar Hernández Mendoa 

Nicolás Torres Saladoc 

aPrograma de Ganadería, Colegio de Postgraduados. Estado de México, México.

bFacultad de Ciencias Agronómicas, Universidad Autónoma de Chiapas. Chiapas, México.

cUnidad Académica de Medicina Veterinaria y Zootecnia No. 2, Universidad Autónoma de Guerrero. Guerrero, México.


Resumen:

Las diarreas en especies pecuarias son controladas con antibióticos, pero su uso inadecuado causa problemas de resistencia bacteriana. Las bacterias ácido lácticas (BAL) en la microbiota intestinal ejercen exclusión competitiva contra patógenos causantes de diarreas, y la inulina es un sustrato para las BAL. Por lo tanto, el objetivo de este estudio fue determinar el efecto prebiótico de dos fuentes de inulina en el crecimiento in vitro de Lactobacillus salivarius (Ls) y Enterococcus faecium (Ef), con el uso de Lactobacillus casei (Lc) como control positivo. Las incubaciones in vitro se realizaron a 37 °C, con sustitución de glucosa por inulina de achicoria (IAc) o de agave (IAg) en el medio MRS. Los tratamientos (T) evaluados fueron T1: MRS-glucosa+Lc; T2: MRS-IAc+Lc, T3: MRS-IAc+Ls, T4: MRS-IAc+Ef, T5: MRS-IAg+Lc, T6: MRS-IAg+Ls y T7: MRS-IAg+Ef. La curva y la tasa de crecimiento se determinaron mediante densidad óptica (630 nm) a las 0, 3, 6, 12, 24, 30, 36, 48, 54 y 60 h. El diseño experimental fue completamente al azar, los datos se analizaron con PROC GLM (SAS) y la comparación de medias se realizó mediante la prueba de Tukey. Los tratamientos con MRS-IAg mostraron mayores (P<0.05) tasas de crecimiento (0.51a, 0.50a y 0.50a h-1, T5, T6 y T7, respectivamente) y resultaron similares al control positivo (T2) cuando creció en MRS-IAc (0.48a h-1). El pH durante el crecimiento fue diferente entre tratamientos (P<0.05). La inulina de agave favorece el crecimiento de bacterias probióticas como Lactobacillus salivarius y Enterococcus faecium, y su efecto prebiótico supera a la inulina de achicoria.

Palabras clave: Agave tequilana; Cichorium intybus; Prebiótico; Probiótico; in vitro

Abstract:

Diarrhea in livestock species is controlled with antibiotics, but its inadequate use causes bacterial resistance. Lactic acid bacteria (LAB) in the intestinal microbiota have competitive exclusion against pathogens causing diarrhea, and inulin is a substrate for LAB. Therefore, the objective of this study was to determine the prebiotic effect of two inulin sources on in vitro growth of Lactobacillus salivarius (Ls) and Enterococcus faecium (Ef), with the use of Lactobacillus casei (Lc) as a positive control. In vitro incubations were performed at 37 °C, with glucose substitution by inulin of chicory (IAc) or agave (IAg) in MRS medium. The treatments (T) evaluated were T1: MRS-glucose+Lc; T2: MRS-IAc+Ls, T4: MRS-IAc+Ef, T5: MRS-IAg+Lc, T6: MRS-IAg+Ls and T7: MRS-IAg+Ef. The curve and the growth rate were determined by optical density (630 nm) at 0, 3, 6, 12, 24, 30, 36, 48, 54 and 60 h. A completely randomized design was used and the Tukey test for means comparison. MRS-IAg treatments showed higher (P<0.05) growth rates (0.51a, 0.50a and 0.50a h-1, T5, T6 and T7, respectively) and were similar to the positive control (T2) when grown in MRS- IAc (0.48a h-1). The positive control (T1) had a low growth rate (0.34b h-1) when the medium included glucose (MRS-glucose). pH during growth was different between treatments (P<0.05). Agave inulin favors the growth of probiotic bacteria such as Lactobacillus salivarius and Enterococcus faecium, and its prebiotic effect is better than chicory inulin.

Key words: Agave tequilana; Cichorium intybus; Prebiotic; Probiotic; in vitro

En los sistemas de producción pecuaria, las infecciones entéricas son una de las principales causas de mortalidad en los neonatos1, su manejo sanitario se realiza con antibióticos, pero el uso inadecuado de estos causa resistencia bacteriana2, así como residuos de los antibióticos en carne y leche3. Ante este problema, el uso de probióticos4 y el de prebióticos como la inulina5 son suplementos alternativos que benefician la salud y la productividad de especies pecuarias. La inulina estimula el desarrollo de bacterias ácido lácticas6 que actúan contra entero patógenos causantes de diarreas, mediante la producción de bacteriocinas7.

Las fuentes de inulina utilizadas en la industria internacional son la achicoria (Cichorium intybus) y la alcachofa (Helianthus tuberosus)8. Sin embargo, en México se cuenta con la especie Agave tequilana Weber var. Azul, reconocida por el contenido alto de inulina9. Se ha documentado en estudios in vitro el uso de inulina de achicoria como sustrato energético para bacterias ácido lácticas (BAL)10; pero las investigaciones con inulina de agave son escasas y se han realizado in vitro11,12,13 e in vivo14,15,16.

Por otra parte, recientemente se documentó el aislamiento de Lactobacilus salivarius y Enterococcus faecium a partir de mucosa oral de becerros y calostro de vacas Holstein, respectivamente, las cuales muestran potencial probiótico para ser administradas en sustitutos lácteos en becerros durante la lactancia17,18. Por lo anterior, el objetivo fue evaluar el efecto prebiótico de la inulina de achicoria y de agave, en el crecimiento in vitro de Lactobacillus salivarius y Enterococcus faecium.

El experimento se realizó en el Laboratorio de Nutrición Animal del Posgrado de Ganadería del Colegio de Postgraduados, Campus Montecillo, ubicado en Montecillo, Estado de México. Las incubaciones in vitro se realizaron a 37 °C, con sustitución de glucosa por inulina de achicoria o agave en el medio Man-Rogosa-Sharpe (MRS)19, para determinar el crecimiento de Lactobacillus salivarius y Enterococcus faecium, y Lactobacillus casei como control positivo.

El grado de pureza (Cuadro 1) de la inulina de agave Inulin Powder® (Bestground, Zapopan, Jalisco, México) y de la de achicoria (Inulin from chicory®, Sigma-Aldrich, USA) se determinó por cromatografía líquida de alta resolución (HPLC) (Knauer, Smartline, Alemania)20,21.

Cuadro 1: Composición (%) de las fuentes de inulina 

Inulin powder ®1 Inulin from chicory ®2
Inulina 89.56 98.80
Azúcar 3.17 0.93
Sacarosa 2.83 0.27
D-glucosa 1.17 -
D-fructosa 3.27 -

1Bestground, Zapopan, Jalisco, México; 2Sigma-Aldrich, USA.

Las cepas utilizadas fueron Lactobacillus salivarius y Enterococcus faecium aisladas de calostro de vacas Holstein y mucosa oral de becerros, respectivamente17, e identificadas mediante técnicas moleculares18. El control positivo fue Lactobacillus casei ATCC procedente del Departamento de Investigación y Posgrado de Alimentos de la Facultad de Química, de la Universidad Autónoma de Querétaro. Las cepas se conservaron a -20 °C en tubos Eppendorf (650 µl de inóculo crecido en medio MRS y 650 µl de glicerol como crioprotector).

El diseño experimental fue completamente al azar con siete tratamientos de acuerdo con lo descrito en el Cuadro 2.

Cuadro 2: Tratamientos experimentales 

Tratamiento Descripción
T1 Lactobacillus casei + MRS - glucosa (Testigo)
T2 Lactobacillus casei + MRS - inulina de achicoria1
T3 Lactobacillus salivarius + MRS - inulina de achicoria
T4 Enterococcus faecium + MRS - inulina de achicoria
T5 Lactobacillus casei + MRS - inulina de agave2
T6 Lactobacillus salivarius + MRS - inulina de agave
T7 Enterococcus faecium + MRS - inulina de agave

1Inulin from chicory®, Sigma-Aldrich, USA; 2Inulin Powder®, Bestground, Zapopan, Jalisco, México.

El medio de cultivo utilizado fue MRS (Fluka Analytical®, Sigma-Aldrich) descrito para bacterias ácido lácticas, en el cual se sustituyó la glucosa (20 g L-1, 2 % p/v) por inulina de achicoria o de agave de acuerdo con su pureza (Cuadro 3). Después se ajustó el pH a 6.2 + 0.2 en los medios y se esterilizaron 15 min a 121 °C.

Cuadro 3: Medios de cultivo MRS con glucosa o inulina 

Componente, g L -1 MRS-Glucosa †† MRS - Inulina de achicoria MRS - Inulina de agave
Peptona 10 10 10
Extracto de carne 8 8 8
Extracto de levadura 4 4 4
Glucosa 20 0 0
Inulina† 0 20.24 23.52
Fosfato dipotásico 2 2 2
Acetato de sodio 5 5 5
Citrato de triamonio 2 2 2
Sulfato de magnesio 0.2 0.2 0.2
Sulfato de manganeso 0.05 0.05 0.05
Monoleato de sorbitan, ml 1 1 1

pH final 6.2 + 0.2; Ajustado de acuerdo a la pureza de inulina en cada fuente; ††17.

Las cepas de L. salivarius, E. faecium y L. casei identificadas como BAL, se descongelaron gradualmente de -20 °C a 4 °C y después a temperatura ambiente (18 a 20 °C). Luego se inocularon 1.3 ml de cada cultivo en tubos Labcon (15 ml) con 11.7 ml de medio de cultivo (relación 1/10) según el tratamiento (Cuadro 2) y se incubaron 12 h a 37 °C.

Después de la reactivación (12 h) se tomaron alícuotas de 1 ml de cada cepa evaluada y se hicieron diluciones seriadas (10-1 a 10-12) en tubos que contenían 9 ml de agua peptonada (8.5 %); posteriormente se realizó la siembra por estría en cajas Petri con agar MRS de cada dilución elaborada y se incubaron a 37 °C por 24 h; finalmente se estimó la concentración bacteriana mediante el conteo de UFC, y los datos se expresaron con la función log10: 9.55; 9.21; 9.13; 9.15; 9.34; 9.36; 9.31 UFC ml-1 T1, T2, T3, T4, T5, T6 y T7, respectivamente.

Se agregaron 12 ml del cultivo reactivado en matraces Erlenmeyer (125 ml) con 108 ml del medio de cultivo (1/10 v/v) y se incubaron a 37 °C por 60 h. Los tiempos de lectura se establecieron de acuerdo a lo recomendado18 con base al inicio y término de la fase exponencial.

Para determinar la curva de crecimiento se tomaron alícuotas de 3 ml de los cultivos de cada tratamiento (Cuadro 2), y se realizaron lecturas de densidad óptica (630 nm) a las 0, 3, 6, 12, 24, 30, 36, 48, 54 y 60 h, utilizando un espectrofotómetro (Cary 1E UV-Visible, USA); asimismo, se registró el pH (Thermo Scientific Star A121®, USA) en cada horario de muestreo. Se realizaron seis repeticiones por tratamiento.

A partir de lecturas de densidad óptica (DO) en la fase exponencial se calculó: 1) tasa específica de crecimiento (μ, h-1) y 2) tiempo de generación (T, min), obtenido a partir del valor de μ, mediante las siguientes ecuaciones22:

lnN=lnN+μt 2) t=ln2/μ 1)

Donde:

Ln N= DO al inicio,

Ln N 0 = DO final de la fase exponencial,

t = tiempo transcurrido entre N 0 y N.

Los datos obtenidos de las variables estudiadas se analizaron mediante un diseño completamente al azar con siete tratamientos y seis repeticiones, procesados en un ANDEVA con PROC GLM23 y las medias de tratamientos se compararon con la prueba de Tukey (P<0.05).

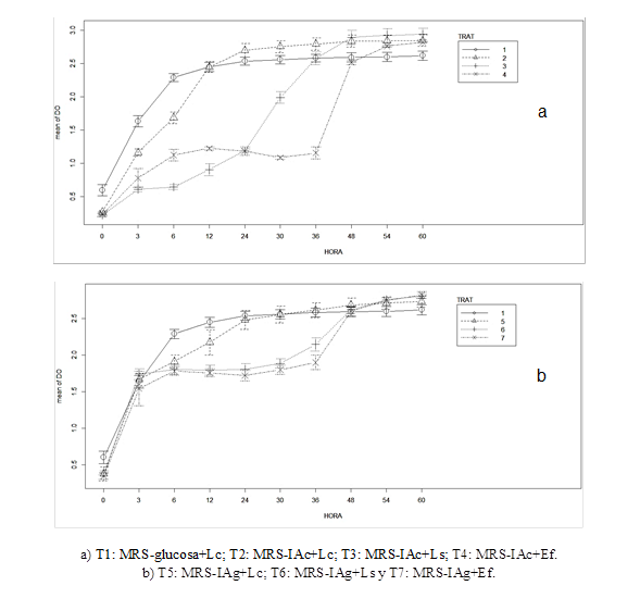
Las Figuras 1a y 1b presentan las curvas de crecimiento de las cepas L. salivarius y E. faecium con las fuentes de inulina evaluadas. El crecimiento bacteriano en los tratamientos T6 y T7 con inulina de agave fue mayor (P<0.05) a las 24 h (DO: 1.80c y 1.70c, respectivamente) respecto a los tratamientos T3 y T4 (DO: 1.19d y 1.19d, respectivamente) con inulina de achicoria. Por su parte, Lactobacillus casei a las 24 h mostró mayor (P<0.05) crecimiento en medio MRS-inulina de achicoria (DO: 2.70a), mientras que en MRS- glucosa y MRS-inulina de agave fue similar (DO: 2.54b y 2.48b, respectivamente). Al final de la incubación L. salivarius en medio con inulina de achicoria mostró el mayor crecimiento (P<0.05) respecto al resto de los tratamientos.

Figura 1: Crecimiento de Lactobacillus casei (Lc), Lactobacillus salivarius (Ls) y Enterococcus faecium (Ef) en inulina de achicoria (IAc) o inulina de agave (IAg) 

El mayor crecimiento observado con inulina de agave se relacionó con la estructura tipo mixto de este polímero, compuesto por cadenas lineales de fructosas unidas a enlaces (-[(2→1), (2→6)] con ramificaciones21; en contraste, la inulina de achicoria presenta enlaces (-(2→1), sin ramificaciones implicando menor degradación, no hidrolizables en mamíferos24, pero altamente utilizables por las BAL de los géneros Lactobacillus spp. y Bifidobacterium spp25,26. Además, el grado de polimerización (GP) y las ramificaciones de la molécula afectan la degradación de la inulina, donde el bajo GP de la inulina de agave propicia mayor solubilidad, lo cual favorece su degradación y utilización; por lo anterior, la inulina de agave resulta como una alternativa de energía y mostró capacidad prebiótica para las BAL evaluadas en este estudio.

Adicionalmente, el mayor crecimiento de las cepas L. salivarius y E. faecium con la inulina de agave se asoció al GP según las fuentes de inulina, observándose que el mayor desdoblamiento ocurre con fuentes de bajo GP27. El GP varía según la especie vegetal28, región de producción, nutrientes en el terreno, régimen hídrico29 y tiempo de cosecha20. La inulina de achicoria y alcachofa tienen alto GP < 606, y el agave presenta bajo GP < 3030. Lo anterior explica el mayor desarrollo de la BAL evaluadas cuando el medio contenía inulina de agave. El crecimiento de L. salivarius y E. faecium en MRS con inulina de agave (MRS-IAg) se caracterizó por una fase lag nula, y una fase exponencial eminente entre 0 y 6 h de incubación; sin embargo, para L. salivarius y E. faecium en MRS con inulina de achicoria (MRS-IAc) la fase exponencial fue menos pronunciada (Figuras 1 y 2).

Figura 2: pH de los medios de cultivo con inulina de achicoria (IAc) o inulina de agave (IAg) e inoculados con Lactobacillus salivarius (Ls), Enterococcus faecium (Ef) y Lactobacillus casei (Lc) 

La tasa de crecimiento (μ) tuvo un incremento (P<0.05) de 41 % en promedio, en los tratamientos T5, T6, T7 en MRS-IAg y T2 en MRS-IAc, comparados con el grupo testigo (T1) (Cuadro 4). Las cepas probióticas evaluadas en el presente estudio mostraron la capacidad de utilizar ambas fuentes de inulina; sin embargo, el crecimiento varió entre éstas en función del sustrato incluido en el medio como fuente de energía, e implicó una reducción (P<0.05) de 42.6 min en promedio en el tiempo de generación (T) para las cepas cultivadas con inulina de agave, respecto al grupo testigo.

Cuadro 4: Tasa específica de crecimiento (μ) y tiempo de generación (T) en bacterias ácido lácticas en medio MRS con dos fuentes de inulina 

Tratamientos
T1 T2 T3 T4 T5 T6 T7 EE P
μ (h-1) 0.34b 0.48a 0.33b 0.39b 0.51a 0.50a 0.50a 0.01 0.0001
T (min) 125.9a 85.9c 126.8a 106.2b 83.6c 82.9c 83.4c 3.85 0.0001

T1= L. casei + MRS; T2= L. casei + IAc; T3= L. salivarius + Inulina de achicoria; T4= E. faecium + Inulina de achicoria; T5= L. casei + Inulina de agave; T6= L. salivarius + Inulina de agave; T7= E. faecium + Inulina de agave. EE= error estándar.

Este crecimiento se explica por la rápida degradación observada en la inulina de agave de bajo GP; por el contario, la inulina de achicoria presenta compuestos remanentes de alto GP, los cuales propiciarán una degradación lenta y un efecto prebiótico prolongado31, lo cual está relacionado también con la longitud de las cadenas en su estructura12,13. Los fructanos de tipo inulina cuando no son ramificados, se dividen en disacáridos o monosacáridos y son degradados extracelularmente, mientras los mixtos como la inulina de agave, son absorbidos intracelularmente, y sólo las bacterias probióticas podrán usarlos12,32,33. En contraste, la baja tasa de crecimiento observada en el grupo testigo se relacionó con el agotamiento de glucosa durante las primeras 30 h de incubación (Figura 1), a diferencia de los tratamientos en los cuales se incluyó inulina donde la fase estacionaria se presentó después de las 48 h5,10.

El tiempo de generación (T) es 61 min para L. salivarius en medio MRS con fructooligosacaridos34 y de 40 min en cepas de E. faecium cultivadas en MRS35. Las diferencias en el valor de T indicado por estos autores con relación a los datos del presente estudio, se explican por la concentración de nutrientes en el medio y la cinética de las reacciones intracelulares, las cuales afectan la trascripción y traducción del ADN y la velocidad de crecimiento bacteriano36. E. faecium posee diferentes rutas para el metabolismo de carbohidratos, permitiéndole utilizar amplia variedad de azúcares37. Chowdhury et al38 hallaron el menor tiempo de generación (T=51 min) de L. casei cuando la concentración de lactosa e inulina en el medio MRS fue de 20 y 0.32 g L-1 , respectivamente. Este patrón de crecimiento se debe a la capacidad del género Lactobacillus de fermentar fructanos de bajo y alto peso molecular39; por el contrario, cepas del género Bifidobacterium tienen alta afinidad por los fructanos de bajo peso molecular40. El tipo de cepa y sustrato utilizado en el medio podría explicar el tiempo de generación obtenido en el presente estudio.

Velázquez-Martínez et al14 y Mueller et al12,13 reportan crecimientos mayores en bacterias prebióticas de los géneros Lactobacillus y Bifidobacterium cuando se utilizó inulina de agave de bajo GP, similar a lo observado en las cepas L. salivarius y E. faecium evaluadas en el presente estudio.

La diferencia en la tasa de crecimiento bacteriano se relaciona con enzimas41 sintetizadas por las BAL, responsables de la fermentación de diferentes carbohidratos; asimismo, de la presencia de códigos génicos definidos42, originando patrones de crecimiento en diferentes sustratos, debido al metabolismo específico en el consumo de inulina43. Lo anterior soporta las diferencias en el metabolismo de las fuentes de inulina evaluadas en este estudio y su relación con el crecimiento bacteriano observado.

El pH al inicio de la incubación fue menor (P<0.05) en T1, seguido de T5 al T7 y T2 al T4 con valores promedio de 5.4c, 5.5b y 5.7c, respectivamente. Los valores de pH en el medio de cultivo fueron disminuyendo gradualmente, independientemente de la fuente de inulina; al final de la incubación también hubo diferencia (P<0.05) entre tratamientos para esta variable (Figuras 2a y 2b).

La disminución del pH en el medio de cultivo es resultado de la fermentación de carbohidratos y la producción de ácido láctico por las BAL44. Pompei et al45 evaluaron cepas de Lactobacillus y Bifidobacterium en medio MRS con dos fuentes de inulina, y reportaron un pH de 3.7, similar a lo observado en el presente estudio. El pH inicial en el medio afecta las tasas de crecimiento; sin embargo, L. casei se adapta a medios ácidos (pH 3); de manera similar L. salivarius resiste pH de 2.6 por un lapso de 6 h46.

La importancia del pH en este tipo de estudios es por su efecto en la actividad enzimática, el metabolismo47 y transporte de nutrientes en la célula48; de tal manera que pHs bajos afectan el crecimiento celular e inhiben las reacciones bioquímicas para la producción de ácido láctico; sin embargo, las cepas evaluadas en el presente estudio mostraron un crecimiento apropiado, aun con valores de pH bajos, y se explica por la capacidad que tienen estas especies bacterianas para regular su pH intracelular a través de la ATPasa, mediante el bombeo de H+ fuera de la célula49.

Se concluye que la inulina de agave es un prebiótico de alternativa nacional para favorecer el crecimiento de bacterias probióticas como Lactobacillus salivarius y Enterococcus faecium.

Agradecimientos

A la compañía BESTGROUND por la información e inulina de agave donada; al DIPA-FQ de la Universidad Autónoma de Querétaro, México por la donación de la cepa control y a CONACYT, México, por la beca para realizar estudios de doctorado.

Literatura citada:

1. Li S, Cui D, Wang S, Wang H, Huang M, Qi Z, et al. Efficacy of an herbal granule as treatment option for neonatal Tibetan lamb diarrhea under field conditions. Livest Sci 2015;172:79-84. [ Links ]

2. Woolhouse M, Ward M, van Bunnik B, Farrar J. Antimicrobial resistance in humans, livestock and the wider environment. Phil Trans R Soc B 2015;370-377. [ Links ]

3. Beyene T. Veterinary drug residues in food-animal products: Its risk factors and potential effects on public health. J Vet Sci Technol 2016;7(1):1-7. [ Links ]

4. Yirga H. The use of probiotics in animal nutrition. J Prob Health 2015;3(2):1-10. [ Links ]

5. Samanta AK, Jayapal N, Senani S, Kolte AP, Sridhar M. Prebiotic inulin: Useful dietary adjuncts to manipulate the livestock gut microflora. Braz J Microbiol 2013;44(1):1-14. [ Links ]

6. Roberfroid M, Gibson G, Hoyles L, McCartney A, Rastall R, Rowland I, et al. Prebiotic effects: metabolic and health benefits. Br J Nutr 2010;104(2):1-63. [ Links ]

7. Messaoudi S, Manai M, Kergourlay G, Prévost H, Connil N, Chobert JM, et al. Review: Lactobacillus salivarius: Bacteriocin and probiotic activity. Food Microbiol 2013;36:296-304. [ Links ]

8. Leroy G, Grongnet JF, Mabeau S, Le Corre D, Baty JC. Changes in inulin and soluble sugar concentration in artichokes (Cynara scolymus L.) during storage. J Sci Food Agric 2010;90:1203-1209. [ Links ]

9. Carranza OC, Ávila FA, Bustillo AGR, López-Munguía A. Processing of fructans and oligosaccarides from agave plants. In: Preedy RV editor. Processing and impact on active components in food. 1ª ed. USA: Academic Press; 2015:121-129. [ Links ]

10. Díaz-Vela J, Mayorga-Reyes L, Alfonso-Totosaus SA, Pérez-Chabela ML. Kinetics parameters and short chain fatty acids profiles of thermotolerant lactic acid bacteria with different carbon sources. VITAE 2012;19(3):253-260. [ Links ]

11. Moreno-Vilet L, Camacho-Ruiz RM, Portales-Pérez DP. Prebiotic agave fructans and immune aspects. In: Watson RR, Preedy RV editors. Probiotics, prebiotics, and synbiotics. Bioactive foods in health promotion. USA: Academic Press ; 2016:165-179. [ Links ]

12. Mueller M, Reiner J, Fleischhacker L, Viernstein H, Loeppert R, Praznik W. Growth of selected probiotic strains with fructans from different sources relating to degree of polymerization and structure. J Funct Foods 2016;24:264-275. [ Links ]

13. Mueller M, Schwarz S, Viernstein H, Loeppert R, Praznik W. Growth of selected probiotic strains with fructans from agaves and chicory. Agro Food Ind Hi Tech 2016;27(3):54-57. [ Links ]

14. Velázquez-Martínez JR, González-Cervantes RM, Hernández-Gallegos MA, Mendiola RC, Aparicio AR, Ocampo ML. Prebiotic potential of Agave angustifolia haw fructans with different degrees of polymerization. Molecules 2014;19(8):12660-12665. [ Links ]

15. García-Curbelo Y, Bocourt R, Savon LL, García-Vieyra MI, López MG. Prebiotic effect of Agave fourcroydes fructans: an animal model. Food Funct 2015;6(9):3177-3182. [ Links ]

16. Márquez-Aguirre AL, Camacho-Ruíz RM, Gutiérrez-Mercado YK, Padilla-Camberos E, González-Ávila M, Gálvez-Gastélum FJ, et al. Fructans from Agave tequilana with a lower degree of polymerization prevent weight gain, hyperglycemia and liver steatosis in high-fat diet-induced obese mMice. Plant Foods Hum Nutr 2016;71:416-421. [ Links ]

17. Caballero CY. Aislamiento e identificación de bacterias ácido lácticas con potencial probiótico en bovinos Holstein [tesis maestría]. México: Colegio de Postgraduados; 2014. [ Links ]

18. Gómez HJL. Inulina como prebiótico para Lactobacillus salivarius y Enterococcus faecium con potencial probiótico en rumiantes [tesis maestría]. México: Colegio de Postgraduados; 2015. [ Links ]

19. de Man JC, Rogosa M, Sharpe ME. A medium for the cultivation of lactobacilli. J Appl Bacteriol 1960;23:130-135. [ Links ]

20. Arrizon J, Morel S, Gschaedler A, Monsan P. Comparison of the water-soluble carbohydrate composition and fructan structures of Agave tequilana plants of different ages. Food Chem 2010;122:123-130. [ Links ]

21. Praznik W, Löppert R, Cruz RJM, Zangger K, Huber A. Structure of fructo-oligosaccharides from leaves and stem of Agave tequilana Weber, var. Azul . Carbohyd Res 2013;381:64-73. [ Links ]

22. McKay AL, Peters AC, Wimpenny JWT. Determining specific growth rates in different regions of Salmonella typhimurium colonies. Lett Appl Microbiol 1997;24(1):74-76. [ Links ]

23. SAS. SAS/STAT User’s Guide (9.4) Cary NC, USA: SAS Inst. Inc. 2013. [ Links ]

24. Costabile A, Kolida S, Klinder A, Gietl E, Buerlein M, Frohberg C, et al. A double-blind, placebo-controlled, cross-over study to establish the bifidogenic effect of a very-long-chain inulin extracted from globe artichoke (Cynara scolymus) in healthy human subjects. Br J Nutr 2010;104(7):1007-1017. [ Links ]

25. Slavin J, Feirtag J. Chicory inulin does not increase stool weight or speed up intestinal transit time in healthy male subjects. Food Funct 2011;2(1):72-77. [ Links ]

26. Apolinário CA, de Lima Damasceno BPG, de Macêdo BNE, Pessoa A, Converti A, da Silva J. Inulin-type fructans: A review on different aspects of biochemical and pharmaceutical technology. Carbohyd Polym 2014;101:368-378. [ Links ]

27. Shoaib M, Shehzada A, Mukama O, Rakha A, Raza H, Sharif HR, et al. Inulin: Properties, health benefits and food applications. Carbohyd Polym 2016;147:444-454. [ Links ]

28. Mancilla MNA, López MG. Water-soluble carbohydrates and fructan structure patterns from Agave and Dasylirion species. J Agric Food Chem 2006;54(20):7832-7839. [ Links ]

29. Pinal L, Cornejo F, Arellano M, Herrera E, Nuñez L, Arrizon J, et al. Effect of Agave tequilana age, cultivation field location and yeast strain on tequila fermentation process. J Indust Microbiol Biot 2009;36(5):655-661. [ Links ]

30. Mellado-Mojica E, López MG. Fructan metabolism in A. tequilana weber Blue variety along its developmental cycle in the field. J Agric Food Chem 2012;60:11704-11713. [ Links ]

31. Ito H, Takemura N, Sonoyama K, Kawagishi H, Topping DL, Conlon MA, et al. Degree of polymerization of inulin-type fructans differentially affects number of lactic acid bacteria, intestinal immune functions, and immunoglobulin a secretion in the rat cecum. J Agr Food Chem 2011;59:5771-5778. [ Links ]

32. Takagi R, Tsujikawa Y, Nomoto R, Osawa R. Comparison of the growth of Lactobacillus delbrueckii, L. paracasei and L. plantarum on inulin in co-culture systems. Biosci Microb Food Health 2013;33(4):139-146. [ Links ]

33. Tsujikawa Y, Nomoto R, Osawa R. Difference in Degradation Patterns on Inulin-type Fructans among Strains of Lactobacillus delbrueckii and Lactobacillus paracasei. Biosci Microb Food Health 2013;32(4):157-165. [ Links ]

34. Saminathan M, Sieo CC, Kalavathy R, Abdullah N, Ho YW. Effect of prebiotic oligosaccharides on growth of Lactobacillus strains used as a probiotic for chickens. Afr J Microbiol Res 2011;5(1):57-64. [ Links ]

35. Morandi S, Brasca M, Alfieri P, Lodi R, Tamburini A. Influence of pH and temperature on the growth of Enterococcus faecium and Enterococcus faecalis. Lait 2005;85(3)181-192. [ Links ]

36. Carvalho AL, Turner DL, Fonseca LL, Solopova A, Catarino T, Kuipers OP, et al. Metabolic and transcriptional analysis of acid stress in Lactococcus lactis, with a focus on the kinetics of lactic acid pools. PLoS ONE 2013;8(7):68470. [ Links ]

37. van Schaik W, Top J, Riley RD, Boekhorst J, Vrijenhoek EPJ, Schapendonk MEC, et al. Pyrosequencing-based comparative genome analysis of the nosocomial pathogen Enterococcus faecium and identification of a large transferable pathogenicity island. BMC Genomics 2010;11:1-18. [ Links ]

38. Chowdhury R, Banerjee D, Bhattacharya P. The prebiotic influence of inulin on growth rate and antibiotic sensitivity of Lactobacillus casei. Int J Pharm Pharm Sci 2016;8(4):181-184. [ Links ]

39. Paludan-Müller C, Madsen M, Sophanodora P, Gram L, Moller PL. Fermentation and microflora of plaa-som, a thai fermented fish product prepared with different salt concentrations. Int J Food Microbiol 2002;73:61-70. [ Links ]

40. Falony G, Lazidou K, Verschaeren A, Weckx S, Maes D, De Vuyst L. In vitro kinetic analysis of fermentation of prebiotic inulin-type fructans by Bifidobacterium species reveals four different phenotypes. J Appl Microbiol 2009;75(2):454-461. [ Links ]

41. Tabasco R, Fernández PP, Fontecha J, Peláez C, Requena T. Competition mechanisms of lactic acid bacteria and bifidobacteria: Fermentative metabolism and colonization. Food Sci Technol 2014;55:680-684. [ Links ]

42. Saulnier DMA, Molenaar D, de Vos, WM, Gibson GR, Kolida S. Identification of prebiotic fructooligosaccharide metabolism in Lactobacillus plantarum WCFS1 through microarrays. Appl Environ Microb 2007;73(6):1753-1765. [ Links ]

43. Watson D, O’Connell MM, Schoterman MHC, van Neerven RJ, Nauta A, van Sinderen D. Selective carbohydrate utilization by lactobacilli and bifidobacteria. J Appl Microbiol 2013;114:1132-1146. [ Links ]

44. Özcelik S, Kuley E, Özogul F. Formation of lactic, acetic, succinic, propionic, formic and butyric acid by lactic acid bacteria. Food Sci Technol 2016;73:536-542. [ Links ]

45. Pompei A, Cordisco L, Raimondi S, Amaretti A, Pagnoni AM. In vitro comparation of the prebiotic effect of two inulin-type fructans. Aerobe 2008;14:280-286. [ Links ]

46. Sanhueza E, Paredes-Osses E, González CL, García A. Effect of pH in the survival of Lactobacillus salivarius strain UCO_979C wild type and the pH acid acclimated variant. Electron J Biotechno 2015;18:343-346. [ Links ]

47. Tang J, Wang X, Hu Y, Zhang Y, Li Y. Lactic acid fermentation from food waste with indigenous microbiota: Effects of pH, temperature and high OLR. Waste Manage 2016;52:278-285. [ Links ]

48. Panesar PS, Kennedy JF, Knill JC, Kosseva M. Production of L (+) Lactic acid using Lactobacillus casei from whey. Braz Arch Biol Technol 2010;53(1):219-226. [ Links ]

49. Ai Z, Lv X, Huang S, Liu G, Sun X, Chen H, Sun J, Feng Z. The effect of controlled and uncontrolled pH cultures on the growth of Lactobacillus delbrueckii subsp. Bulgaricus. Food Sci Technol 2017:77:269-275. [ Links ]

Recibido: 10 de Mayo de 2017; Aprobado: 19 de Octubre de 2017

*Autor para correspondencia: sanchezd@colpos.mx

Creative Commons License Este es un artículo publicado en acceso abierto bajo una licencia Creative Commons