Servicios Personalizados
Revista
Articulo
Indicadores
-
Citado por SciELO -
Accesos
Links relacionados
-
Similares en
SciELO
Compartir
Revista mexicana de ciencias pecuarias
versión On-line ISSN 2448-6698versión impresa ISSN 2007-1124
Rev. mex. de cienc. pecuarias vol.4 no.2 Mérida abr./jun. 2013
Notas de investigación
Adopción de tecnologías por productores beneficiarios del programa de estímulos a la productividad ganadera (PROGAN) en México
Technology adoption by producers participating in the livestock productivity enhancement scheme (PROGAN) in Mexico
José María Salas Gonzáleza, Juan Antonio Leos Rodrígueza, L. Myriam Sagarnaga Villegasa, María Jesica Zavala-Pinedaa
a Centro de Investigaciones Económicas, Sociales y Tecnológicas de la Agroindustria y la Agricultura Mundial (CIESTAAM), de la Universidad Autónoma Chapingo. Chapingo, Estado de México. México. C.P. 56230. jleos45@gmail.com. Correspondencia al segundo autor.
Recibido el 9 de febrero de 2011.
Aceptado el 21 de junio de 2011.
Resumen
La adopción de tecnologías constituye un factor importante en la rentabilidad y producción de las empresas ganaderas. Se estudió el grado de adopción y el tipo de prácticas tecnológicas implementadas por los productores beneficiados del PROGAN que poseen más de 30 vientres. Este trabajo hace una tipificación de los beneficiarios analizando las características socioeconómicas (escolaridad, ingreso e infraestructura), productivas (alimentación, sanidad, genética, sobrepastoreo, manejo y administración) y la cantidad y tipo de prácticas adoptadas. Se hace un ajuste de los datos del productor a través del análisis de cluster aplicando el método Two Step Cluster. Se caracterizaron tres grandes grupos: productores con indicadores productivos altos, medios (ambos con alto grado de adopción) y bajos (menor número de prácticas tecnológicas adoptadas). Con respecto al ingreso, el estudio permitió diferenciar también a tres grandes grupos: productores con ingresos altos; con ingresos medios, y de bajos ingresos. Los ganaderos con mayor ingreso son los que cumplieron con la adopción de tecnologías, aunque en promedio ninguno asumió las 10 obligatorias.
Palabras clave: Unidades de Producción Pecuaria, Rentabilidad, Cluster.
Abstract
Adoption of new technologies decisively influences profitability and output of livestock raising businesses. Type of practices and their level of adoption by producers included in PROGAN owning more than 30 breeding cows were studied. The present study grades beneficiaries of PROGAN in accordance with their socioeconomic (schooling, income and infrastructure) and productive traits (animal health, feeding, genetics, overgrazing and overall farm management) and number and type of adopted practices. Producer data were adjusted through cluster analysis applying the Two Step Cluster method. Three main groups were identified, producers showing high, intermediate and low production indexes. The first two groups display a great number of adopted practices. Regarding income, three groups (high, intermediate and low) were identified too. Producers in the higher income brackets were those that adopted the greater number of new technologies, although none of them adopted the mandatory ten.
Key words: Livestock production units, Profitability, Cluster.
El Programa de Estímulos a la Productividad Ganadera (PROGAN) surge en el año 2003(1) con el objetivo de fomentar la productividad de la ganadería bovina extensiva, el incremento de la rentabilidad y el mejoramiento de la cobertura vegetal a través de la incorporación de prácticas tecnológicas y, con ello, el mejoramiento del ingreso de los ganaderos del país. El catálogo de tecnologías disponibles en el programa está compuesto por 80 prácticas tecnológicas, agrupadas en seis categorías: manejo de agostaderos y praderas (39.0 %), alimentación (16.3 %), manejo reproductivo del ganado (11.3 %), administración y manejo de registros (11.3 %), sanidad (16.3 %) y otras prácticas (12.5 %).
El PROGAN es una respuesta al problema del bajo nivel de producción y productividad de la ganadería mexicana comparada con la de los países más desarrollados. Estos problemas se deben por un lado, al rezago tecnológico, producto de una baja adopción de tecnologías por parte de los productores(2) y, por otro, de acuerdo a los datos presentados por la SAGARPA(3), a la acelerada y creciente competencia de los productos de importación, que ocasionan una disminución significativa de los precios reales de los productos pecuarios y una pérdida de rentabilidad en la ganadería nacional.
La adopción de tecnologías es un proceso mental que comienza con el primer conocimiento y termina cuando el individuo incorpora prácticamente, a su sistema de trabajo o a su modo de vida, la innovación de que se trate, con el fin de elevar la productividad física de su predio y la rentabilidad económica de su sistema de producción(4). Este proceso sólo ocurre cuando la tecnología reúne una serie de características de tipo técnico, económico, social y cultural, que sean similares a las propias características del grupo o individuo adoptador(5,6,7). Algunos autores asignan gran relevancia al papel de los actores múltiples(8,9) y a la sustentabilidad en el contexto ecológico y social(10,11).
En el sector agropecuario la transferencia de tecnología debe diferenciar al menos dos tipos de productores: aquéllos incorporados al mercado, que han logrado capitalizarse, y aquéllos de autoconsumo, de escasos recursos y caracterizados por una economía familiar, donde el cambio tecnológico habrá de abordarse mediante la estrategia educativa que permita un mayor equilibrio y sustento del funcionamiento de su unidad de producción.
Entre las variables relevantes que se citan en la literatura para explicar las tasas de adopción de tecnologías están: el tamaño de la explotación, la edad del productor, la proporción en que la actividad productiva contribuye al ingreso total familiar, la propensión de los productores al cambio, la aversión al riesgo y la rentabilidad esperada no sólo para el productor sino también para los proveedores de la tecnología(12-15). Uno de los estudios precursores que exploró la economía de la innovación agrícola en E.U.A. encontró que las tasas de adopción de tecnología del maíz híbrido fueron explicadas por las diferencias en las tasas de rentabilidad(16).
La no adopción de tecnología en el medio rural mexicano puede ser explicada porque los investigadores no toman en cuenta las condiciones socioeconómicas de los productores, y que los campos agrícolas experimentales no son representativos de su área de influencia y como consecuencia, la tecnología generada no se adapta a las condiciones reales del productor; en adición, la adopción tiene un costo que en la mayoría de los casos sólo las explotaciones grandes pueden pagar(7).
El objetivo fue tipificar a los productores beneficiarios del PROGAN con más de 30 vientres en 2007 e identificar las tecnologías adoptadas por cada grupo para determinar las variables relevantes en el proceso de adopción por medio del análisis de cluster.
El tema del análisis económico de la adopción de tecnología ha sido abordado desde diferentes enfoques metodológicos, entre los que destacan los cuasi-experimentos (regresión múltiple y modelos logísticos)(13,14), modelos de máxima verosimilitud(15) y funciones logísticas de crecimiento(16).
Se caracterizó a los productores para identificar grupos tecnológicos, que permitan el análisis de política pública diferenciada.
El estudio se dividió en dos: un análisis socioeconómico de los productores con más de 30 vientres apoyados por el PROGAN para mostrar las características generales de la población estudiada, y un análisis multivariado de componentes principales y análisis cluster, aplicado a una muestra de productores para identificar grupos de adopción.
Se utilizó la base de datos de los beneficiarios del PROGAN generada por el programa de Apoyos y Servicios a la Comercialización Agropecuaria (ASERCA). Para la caracterización de acuerdo con la tecnología utilizada e ingreso de los ganaderos se eligieron el total de los 36,428 productores con más de 30 vientres apoyados, que de acuerdo con las reglas de operación están obligados a verificar el cumplimiento en la adopción de las tecnologías requeridas. Para realizar el análisis de Cluster se obtuvo una muestra por proporciones, con una confiabilidad del 95 % y un error de muestreo del 7 %, resultando un total de 227 productores, los cuales se seleccionaron aleatoriamente de acuerdo a su número de beneficiario, discriminando aquéllos cuyos cuestionarios presentaron información incompleta.
Como técnica de agrupación se utilizó el procedimiento Two Step que maneja variables categóricas y variables continuas; al asumir independencia entre éstas, se puede asignar una distribución multinomial normal conjunta.
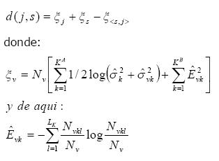
El procedimiento se dividió en dos etapas: la preagrupación y la agrupación. En la primera se generaron k grupos por métodos jerárquicos. En la segunda, conjuntos finales con base en las distancias entre los grupos previamente formados. Cuando se agrupa en clusters se reduce la variabilidad, porque los individuos dentro del grupo tendrán menor variación respecto a individuos de otros grupos. La distancia entre los cluster j y s se define como:

Donde kA es el número total de variables continuas, kB el número total de variables categóricas, Lk el número de categorías de cada una de las k-ésimas variables categóricas, Nj el número de observaciones del cluster j,
la varianza de la k-ésima variable continua en la base original y, finalmente
la varianza de la k-ésima variable continua en el cluster j cuya k-ésima variable categórica toma la l-ésima categoría y <j,s> representa al cluster formado por la unión de los cluster j y s.
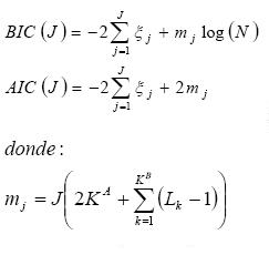
El número óptimo de cluster se determina utilizando, bien el criterio de información bayesiano o, el de Akaike. Para el caso de J clusters, puede obtenerse de la siguiente manera(17):

Algunos estudios previos han realizado tipificaciones de acuerdo al valor del índice de adopción(11); con base en estos resultados, para la caracterización de los productores se emplearon las variables que mostraron ser relevantes en función del número de tecnologías adoptadas: escolaridad, nivel de ingreso, sobrepastoreo, incremento en cobertura vegetal, calidad de alimentación, sanidad y calidad genética, así como indicadores del manejo, administración e infraestructura de la UPP.
Se utilizó el método de cluster mediante el paquete estadístico Statistical Package for the Social Sciences® (SPSS). La construcción de los clusters utilizó una variable categórica que indica el ingreso y ocho variables continuas: tecnologías adoptadas, escolaridad, sobrepastoreo, incremento de cobertura, indicadores de alimentación, sanidad, genética y manejo de la UPP (Cuadro 1).

Los indicadores empleados para la construcción de los clusters, fueron calculados con el método de índices ponderados, que asigna diferente peso a cada variable, con respecto a su importancia relativa en el indicador. El valor de estos índices se ubicó entre 0 y 1, en donde el valor de uno significa la mayor importancia teóricamente posible para el indicador.
Las variables consideradas para construir cada uno de estos índices fueron las siguientes:
Alimentación. Se incluyeron variables como el tipo de alimentación complementaria (forraje, sales minerales, granos, esquilmos y alimentos balanceados), si era únicamente en la pradera o agostadero, si se daban dietas diferenciadas y si se separaba a los animales por edad y estado fisiológico.
Sanidad. Se consideraron variables indicadoras como el tipo de campañas sanitarias en las que participó el productor, aplicación de vacunas, medicamentos y desparasitantes. En el caso del ganado criollo no se aplican, porque los animales son tolerantes a los parásitos externos e internos; lo que no implica un nivel tecnológico bajo. En algunos otros sistemas, simplemente no se requieren, porque el ambiente no favorece la infestación parasitaria.
Calidad genética del ganado. Este índice incluyó variables relacionadas con el principal sistema de reproducción utilizado (monta natural, inseminación artificial o ambas) y el porcentaje de ganado criollo, cruzado o de raza en la explotación.
Infraestructura. Se tomó en cuenta si en la UPP existían cerco perimetral, corrales de manejo, embarcadero, prensa, báscula, ordeñadora mecánica, etc. y el material de los cercos que dividen al potrero (postes y alambres de púas y eléctricos, piedra y plantas naturales entre otros).
Administración. El grado de organización, contabilidad y administración se midió mediante un índice basado en las siguientes variables: si el productor contaba o no con registros de producción, ingresos y egresos, crédito y estimación de costos unitarios de producción.
Finalmente, se incluyeron las variables de sobrepastoreo, que se midió por la proporción de vientres existentes por encima de la capacidad de carga de cada UPP; el incremento en cobertura vegetal, se calculó como el porcentaje de aumento del año 2005 con respecto al 2004; y el ingreso promedio mensual de cada productor, agrupado en 4 rangos: ingresos menores de $3,600, de $3,600 a $12,000, de $12,000 a $24,000 y mayores a $24,000.
El 65.6 % del total de las explotaciones tiene como propósito la producción de carne, el 23.1 % el de doble propósito y el 7.7. % la producción de pie de cría.
Según las reglas de operación del PROGAN los productores beneficiados con más de 30 vientres estaban obligados a cumplir con al menos 10 prácticas tecnológicas. Sin embargo, sólo el 30.0 % adoptó las 10 tecnologías, resultando un promedio nacional de 7.3 tecnologías adoptadas.
Las mayores frecuencias de adopción fueron para las que se relacionaron con el manejo de agostaderos y praderas, el 90.2 % de los productores eligió al menos una tecnología relacionada con ello. El 80.3 % seleccionó tecnologías de sanidad, 65.4 % de alimentación, 45.6 % de manejo y administración de registros, 30.8 % de manejo reproductivo del ganado y 16.4 % eligieron otras prácticas. Los tres tipos de tecnología con menor grado de adopción son importantes para la mejora de los aspectos productivos y reproductivos del hato así como de la rastreabilidad, por lo que es necesario elevar estos grados de adopción. Dado que no hubo una línea base contra la cual comparar la adopción, es posible que los datos sobre ésta estén sobreestimados, porque probablemente algunas tecnologías ya se utilizaban antes de la inserción de los productores en el PROGAN.
En el Cuadro 2 se muestran las principales tecnologías adoptadas dentro de cada catálogo del Programa y el por ciento de productores que las han asumido. De las 300 tecnologías que componen el Programa éstas representan el 28.9 %. Esta escasa adopción puede deberse a que eran irrelevantes o inadecuadas para las localidades o no estaban disponibles o los productores ignoraban que existían. No hubo tampoco una amplia difusión de ellas entre los ganaderos.

La mayor adopción en las zonas árida y semiárida y en el trópico seco se explica por los baños garrapaticidas y las obras de captación de agua, que no están presentes en las otras zonas (Cuadros 3, 4).
Las variables más importantes para la creación de los cluster fueron ingreso, infraestructura de la UPP y alimentación del ganado. Se encontró que el 100 % de los productores se ubicó dentro de cada uno de los clusters para nivel de ingreso; lo que indica una alta correlación del ingreso con todas las variables continuas consideradas en el estudio.
El ajuste de bonferroni muestra que únicamente en el tercer cluster no existen diferencias significativas intragrupales con excepción de las variables ingreso y escolaridad, debido a que este cluster tiene menor número de observaciones en comparación con los dos primeros.
El resultado del agrupamiento de los cluster se describe en el Cuadro 5.

Con relación al número de tecnologías adoptadas, los productores con menor ingreso acogieron menos tecnologías. Este resultado coincide con los de estudios que consideran como variable explicatoria la importancia relativa del ingreso de la actividad en el ingreso total familiar(14). Diversos estudios en México muestran que en promedio el ingreso proveniente de las actividades agropecuarias representa cada vez menos del ingreso total rural(18). Es importante señalar que se trató de productores con el más bajo nivel de escolaridad y que registraron los mayores porcentajes de sobrepastoreo, los índices de alimentación del ganado más bajos (no utilizan alimentos balanceados sólo sus agostaderos). Por el contrario, los productores con más altos ingresos no tienen sobrepastoreo y presentaron el más alto incremento en cobertura vegetal debido a que complementan la alimentación con alimentos balanceados, ya que disponen de los recursos económicos para la compra de estos.
La diferencia entre los tres grupos de productores es mínima en términos de sanidad y genética, aunque es mayor en los productores de los cluster dos y tres, debido a que aplican todas las vacunas y realizan inseminación artificial (Cuadro 6). Una explicación plausible es que las campañas sanitarias impulsadas por el gobierno han sido exitosas. Además es natural que los productores den preferencia a la salud de los animales o plantas, ya que es necesario que estos sobrevivan antes de llevar a cabo cualquiera otra práctica cultural.

Los tipos de tecnologías de manejo de agostaderos y praderas y alimentación fueron las más adoptadas (Cuadro 7).

Con respecto a la adopción dentro de cada grupo, el cluster de los productores de bajos ingresos mostró una preferencia por las relacionadas con el control de malezas y enfermedades, debido a que éstas inciden directamente en la sobrevivencia de los animales. Los productores de altos ingresos, eligieron tecnologías referidas con el mejoramiento y comercialización del ganado (Cuadro 8), una vez que han resuelto los problemas básicos de la producción, el apoyo del Programa lo dedican a estas actividades, a las que sólo se les atiende cuando hay suficientes recursos. Estos resultados sugieren también que los apoyos debieran ser diferenciados por tamaño de ingreso o grupos de productores.
Otras variables que explican la escasa adopción son el bajo nivel de escolaridad y la edad avanzada de los ganaderos. El 65.6 % de los beneficiarios del PROGAN tenían más de 50 años y el 35.6 % más de 60 años. El 14.3 % de los beneficiarios no tenía ninguna escolaridad; el 28.4 % de uno a tres años; y el 32.5 % poseía una escolaridad de 4 a 6 años. Según el censo agropecuario de 2007, sólo el 55.3 % de los agricultores había concluido la primaria. Estos resultados concuerdan con los hallazgos de otras investigaciones(11,12,13).
El estudio permitió diferenciar a tres grandes grupos: 1) productores con ingresos altos, sin problemas de sobrepastoreo, con el mayor incremento en la cobertura vegetal, alto grado de adopción de tecnologías, y mejores índices de infraestructura y manejo del ganado y UPP; 2) productores con ingresos medios, con sobrepastoreo, limitado incremento en cobertura vegetal e indicadores productivos bajos, y 3) productores de bajos ingresos, con sobrepastoreo intenso y con los menores indicadores de productividad. El grupo con mayor ingreso es el que adoptó las tecnologías requeridas por el Programa, aunque en promedio ningún estrato cumplió cabalmente con las 10 obligatorias. Este grupo utiliza tecnologías enfocadas a la mejora y comercialización del ganado, en contraste con los de bajos ingresos que prefieren el control de plagas y enfermedades. El programa de fomento a la productividad ganadera PROGAN, contribuyó al proceso de adopción de tecnologías por parte de los ganaderos beneficiarios del Programa.
Se sugiere que el diseño del Programa se mejore para otorgar apoyos diferenciados por tipo de productor, incrementando el monto de apoyo a los productores con menor ingreso para elevar la adopción tecnológica por parte de los pequeños productores participantes y reducir la brecha tecnológica existente entre las unidades de producción ganadera del país.
LITERATURA CITADA
1. DOF. Diario Oficial de la Federación. Reglas de Operación del Programa de Estímulos a la Producción Ganadera (PROGAN). 17 de junio 2003. [ Links ]
2. Corro M. Factores que determinan la adopción de tecnologías en el área de reproducción en el ganado bovino. CEIEGT-UNAM. 2005. [ Links ]
3. SAGARPA. Secretaría de Agricultura, Ganadería, desarrollo rural, pesca y alimentación. Situación actual y perspectiva de la producción de carne de bovino en México. 2006. [ Links ]
4. Rogers EM. Diffusion of innovations. Fifth ed. New Yor, USA: The Free Press; 2003. [ Links ]
5. Anderson JR. Agricultural advisory services. Background paper for the world development Report 2008. Agriculture and Rural Development Department. Washington, D.C. World Bank. 2007. [ Links ]
6. Monardes A, Cox P, Narea D, Laval E, Revoredo C. Evaluación de adopción de tecnología. Centro de Estudios para América Latina sobre Desarrollo Rural, Pobreza y Alimentación (CEDRA). Chile. 1993. [ Links ]
7. Mata B. Transferencia de tecnología en México: Críticas y propuestas. IICA-UACh-UNAM. México. 1997. [ Links ]
8. Muñoz-Rodríguez M, Altamirano-Cárdenas JR. Modelos de innovación en el sector agroalimentario mexicano. Agricultura, Sociedad y Desarrollo 2008;5(2):185-211. [ Links ]
9. Matuschke I, Evaluating the impact of social networks in rural innovation systems. IFPRI. Discussion Paper 00816. Int Food Policy Res Inst. Washington, D.C. 2008. [ Links ]
10. Feder G, Anderson JR, Birner R, Deininger K. Promises and realities of community-based agricultural extension. IFPRI. Discussion Paper 00959. Int Food Policy Res Inst. Washington, D.C. 2010. [ Links ]
11. Chacón E. Programa de desempeño tecnológico en recursos alimentarios para la producción con rumiantes a pastoreo. III Foro de Cavilac. Caracas, Venezuela; 2005:1-3. [ Links ]
12. Damián HMA, Ramírez VB, Parra IF, Paredes SJA, Gil MA, Cruz LA, López OJ. Apropiación de tecnología por productores de maíz en el estado de Tlaxcala, México. Agr Téc Méx 2007;33(2):163-173. [ Links ]
13. McGinty MM, Swisher ME, Alavalapati J. Agroforestry adoption and maintenance: self-efficacy, attitudes and socio-economic factors. Agroforest Syst 2008;73:99-108. [ Links ]
14. Ward CE, Vestal MK, Doye DG, Lalman DL. Factors affecting adoption of cow-calf production practices in Oklahoma. JAAE 2008;40(3):851-863. [ Links ]
15. Kosarek JL, Garcia P, Morris ML. Factors explaining the diffusion of hybrid maize in Latin America and the Caribbean region. Agr Econ 2001;26:267-280. [ Links ]
16. Griliches Z. Hybrid corn: An exploration in the economics of technological change. Econometrica 1957;25(4):501-522. [ Links ]
17. Pérez LC. Técnicas de análisis multivariante de datos. Aplicaciones con SPSS. 1era. ed. Madrid, España: Pearson Educación; 2004. [ Links ]
18. Gómez OL. Visión del desarrollo rural en México en el siglo XXI: limitantes estratégicas y opciones de política. [en línea]. http://www.iiec.unam.mx/sites/www.iiec.unam.mx/files/LGomezomOliver2do-premio-ernnest-feder2011.pdf. Consultado 12 mar, 2012. [ Links ]












