Introducción
La raicilla, destilado artesanal originario de Jalisco, México, se ha convertido en un emblema cultural y ecológico gracias a sus métodos de producción agrícola tradicionales y su arraigo en las comunidades locales (Cabrera et al., 2020). Este destilado de diversas especies de agave silvestre conocidas como ‘lechuguillas’, obtuvo la denominación de origen (DO) en 2019, lo que mejoró su impacto internacional (Zazueta et al., 2024). Sin embargo, su creciente demanda comercial puede generar un problema local al ejercer presión sobre los recursos naturales y la biodiversidad de los agaves silvestres utilizados.
En particular, la pérdida de diversidad genética y los impactos asociados al manejo inadecuado de los agroecosistemas representan desafíos críticos para la sostenibilidad del sector (Cuevas-Coeto et al., 2019). A pesar de la riqueza en biodiversidad que caracteriza a los agaves raicilleros, existe una brecha de conocimiento sobre las estrategias efectivas para garantizar su conservación y su integración en mercados globales que exigen sostenibilidad (Delgado et al., 2024).
El objetivo general de este trabajo fue examinar la brecha mediante un análisis exhaustivo del cultivo sostenible de agaves raicilleros en los 17 municipios que conforman la DO. Además, se exponen las oportunidades y estrategias de innovación para garantizar la viabilidad a largo plazo de la raicilla en un mercado internacional en crecimiento (Zazueta et al., 2024).
La hipótesis central plantea que las estrategias de reforestación de agaves, el manejo sostenible del suelo y las políticas públicas pueden equilibrar la productividad agrícola con la conservación de la biodiversidad.
Para responder a esta cuestión, se aplicó una metodología basada en entrevistas, análisis documental y uso de datos estadísticos actualizados. Este enfoque permitió identificar en los resultados, las tendencias en la diversidad de especies de agave cultivadas y su impacto en la sostenibilidad agroecológica, para contribuir al entendimiento de cómo las prácticas agrícolas sostenibles no solo preservan los recursos naturales, sino que también garantizan la viabilidad a largo plazo de la raicilla como un destilado emblemático de México en un contexto global (Zizumbo-Villarreal et al., 2013).
La diversidad de agaves raicilleros y sus prácticas agrícolas sostenibles
La biodiversidad del agave es un componente crucial en la producción de destilados artesanales como la raicilla, el mezcal y el tuxca (Zizumbo-Villarreal et al., 2013). A diferencia del tequila, que se produce exclusivamente a partir de Agave tequilana Weber, la raicilla utiliza diversas especies de agave, incluyendo Agave maximiliana Baker, A. inaequidens, A. rodhacantha y A. angustifolia Haw. (Delgado et al., 2024). Esta diversidad genética no solo fomenta la resiliencia a plagas y enfermedades, sino que también enriquece el perfil organoléptico de la raicilla (Franco, 2015).
Los monocultivos intensivos como en el caso del tequila, han reducido significativamente la biodiversidad en las regiones productoras, causando la degradación del suelo y la pérdida de servicios ecosistémicos clave (Lucio, 2022). Por el contrario, la producción de raicilla, al integrar múltiples especies de agave, promueve un enfoque agroecológico que equilibra productividad y conservación, como es el caso de A. maximiliana, una especie amenazada que se rescató cuando se empezó a domesticar en el 2009 (Franco, 2015; García-Mendoza et al., 2019).
La diversidad genética de los agaves raicilleros es crucial para su adaptabilidad al cambio climático, un problema urgente en la agricultura sostenible mundial. La raicilla es un ejemplo emblemático de cómo las prácticas agrícolas tradicionales pueden ser sostenibles y culturalmente relevantes (Bowen y Zapata, 2009; Franco, 2015). Los productores emplean técnicas como la reforestación de agaves silvestres, la rotación de cultivos y recientemente también se utilizan técnicas de micropropagación y de propagación in vitro de agaves, minimizando los impactos negativos en los ecosistemas locales (Aureoles et al., 2008; Valenzuela et al., 2008; Santacruz et al., 2022).
Un aspecto destacado es el manejo de los suelos en las regiones productoras de raicilla, con técnicas de conservación como el uso de terrazas y cultivos intercalados (Torres-García et al., 2020). Además, la integración de agaves silvestres en los paisajes agrícolas contribuye a la preservación de corredores ecológicos que benefician a la fauna local y fortalecen los ecosistemas (Torres-García et al., 2019). A medida que crece la demanda de raicilla, será fundamental que estas prácticas sostenibles sean protegidas y promovidas mediante incentivos y políticas públicas efectivas. Esto incluye la creación de programas de certificación que valoren prácticas responsables y fomenten la participación de pequeños productores en mercados globales (Martínez et al., 2024).
Innovación y su impacto en la conservación y biodiversidad
El futuro de la raicilla depende en gran medida de su capacidad para innovar sin perder su esencia artesanal. La creciente demanda internacional de productos sostenibles representa una oportunidad para este destilado, especialmente en mercados como Alemania, Estados Unidos de América y Japón, donde los consumidores valoran la autenticidad y las prácticas responsables (Nava et al., 2024).
La adopción de tecnologías innovadoras, como los drones o vehículos aéreos no tripulados (UAVs) para monitoreo de cultivos de lechuguillas y para optimizar el manejo agrícola integral, podría aumentar la eficiencia en la producción de agaves, reduciendo el uso de recursos naturales. Estas tecnologías ya han demostrado ser efectivas para calcular la biomasa verde (Wt) de Agave durangensis Gentry utilizando imágenes de alta resolución obtenidas por drones (López-Serrano et al., 2022).
En una entrevista con el ingeniero Jorge Antonio Dueñas Peña, fundador del Consejo Mexicano Promotor de la Raicilla AC (CMPR), y conocido entre el gremio de raicilleros como el padre de la raicilla por haber promovido y obtenido su DO, comenta que el CMPR ha iniciado estrategias de certificaciones sostenibles con homologación de procesos entre raicilleros e inspecciones a tabernas (Poot-Rodríguez y Mercado-Salgado, 2024; Zazueta et al., 2024).
En otra entrevista, el maestro de la Universidad ITESO de Guadalajara, Jair Benjamín Godínez Herrera, menciona la importancia del ecoturismo y de las plataformas digitales que destaquen las prácticas sostenibles y su carácter artesanal, las cuales podrían expandir el alcance de la raicilla a más países (Zazueta et al., 2024).
La producción de raicilla destaca por su importante relevancia ecológica y cultural en Jalisco desde el siglo XVI, donde se le ha conocido también como vino mezcal o vino del cerro (Franco, 2015). En contraste con la extensa industrialización del tequila, la raicilla conserva los métodos artesanales que fortalecen los lazos comunitarios dentro de sus regiones productoras (Bowen y Zapata, 2009). El impacto cultural incluye la preservación de conocimientos antiguos, como la cocción en hornos subterráneos y la fermentación natural.
Estas tradiciones mejoran el perfil del destilado y fomentan la participación de la comunidad en la producción (Tetreault et al., 2021). En términos de sostenibilidad, las prácticas culturales de la raicilla incluyen métodos ancestrales en la recolección de agaves silvestres y el respeto por los recursos naturales, según comenta en una entrevista el maestro raicillero Manuel Salcedo Gutiérrez, de Mascota, Jalisco y expresidente del CMPR (Delgado et al., 2024).
La biodiversidad es uno de los pilares fundamentales de la producción de raicilla, la preservación de agaves silvestres y la diversidad genética son esenciales (Trejo-Salazar et al., 2016). Las regiones de raicilla albergan hasta 15 especies de agave, esta biodiversidad protege de plagas y mejora la estabilidad ecológica. Los policultivos de lechuguillas promueven la polinización y la calidad del suelo, estas iniciativas de conservación benefician tanto a los raicilleros como a las comunidades (Figura 1) (Franco, 2015; Sánchez-González, 2025).
Sostenibilidad, retos y oportunidades de la raicilla en mercados internacionales
En entrevistas realizadas a los expresidentes municipales de Mascota, Miguel Castillón López y Sara Eugenia Castillón Ochoa, se destaca la importancia ecológica de los co-cultivos sostenibles de agaves y pinos, ya que la raicilla es un mezcal de sombra porque las lechuguillas crecen entre los árboles de la sierra, como se muestra en la Figura 1A. La creciente demanda de destilados artesanales presenta una oportunidad sustancial para los raicilleros, pero para penetrar en los mercados internacionales es necesario superar complejos desafíos logísticos, regulatorios y culturales, particularmente para alcanzar los estrictos estándares de calidad que prevalecen en países como Alemania, Estados Unidos de América y Japón (Bowen y Zapata, 2009).
Los análisis de exportación indican que la raicilla es muy prometedora en nichos de mercado centrados en la sostenibilidad y la autenticidad, con certificaciones orgánicas y de comercio justo, que son diferenciadores en un mercado abarrotado (IIEGJ, 2024; Pablo et al., 2024). Además, las estrategias de marketing que destaquen el carácter artesanal y las prácticas sostenibles de la raicilla podrían atraer a consumidores que buscan alternativas responsables (Trejo-Salazar et al., 2016). Un factor clave para prosperar en los mercados mundiales es facilitar las ganancias a los productores, lo que requiere políticas públicas con subsidios, capacitación y acceso financiero para ayudar a los raicilleros a cumplir con estándares internacionales (Poot-Rodríguez y Mercado-Salgado, 2024).
Materiales y métodos
Los datos estadísticos se obtuvieron de las encuestas realizadas por el Instituto de Información Estadística y Geográfica de Jalisco (IIEGJ) en su informe de 2024, ‘radiografía estadística de la industria de la raicilla’, en colaboración con el CMPR. Se empleó una metodología censal para mejorar las tasas de respuesta, yuxtaponiendo los datos de 2022 y 2023. La escala de medición en todos los casos se ajustó a porcentajes relativos, por el tipo de información obtenida.
Es importante destacar que, si bien el 13.8% de los raicilleros encuestados comenzaron a operar antes de 2005, el 75.1% se establecieron desde 2011 y se ha observado una expansión notable en los últimos años en estos ecosistemas agrícolas (IIEGJ, 2024).
Resultados
De los tipos de agaves cultivados desde 2022 en la zona de protección a la DO se observó lo siguiente: en 2023, el 70.2% de los raicilleros eligieron el Agave maximiliana Baker, que aumentó a 75.4% en 2024, manteniendo su estatus como el más popular. Le sigue el Agave angustifolia Haw, con un potencial aumento del 22.8% hasta el 31.6% a principios de 2024. En tercer lugar, el Agave inaequidens Koch., también está ganando terreno, con un aumento previsto del 7% a principios de 2024, en comparación con el 5.3% de 2023 (Figura 2).

Figura 2 Tipos de agaves cultivados durante el 2023-2024 en la zona de protección a la denominación de origen (DO) raicilla. El Agave maximiliana Baker es el más popular desde 2022 y representa el 75.4% en 2024. Los porcentajes no suman 100% debido que se podían elegir varias respuestas de los encuestados (IIEGJ, 2024).
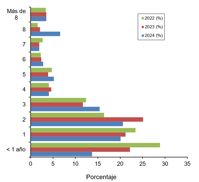
Con respecto a la distribución porcentual de agaves sembrados de acuerdo con sus años de maduración, los raicilleros promediaron un 13.7% de agaves plantados en 2024, frente al 22.2% del año anterior y una reducción de años de maduración, pasando del 21.2% en 2023 al 20.1% en 2024 de un año y del 25.1% al 20.6% el de dos años para 2024 (Figura 3).

Figura 3 Distribución porcentual de agaves sembrados de acuerdo con los años de maduración. La distribución de agaves raicilleros por años de maduración muestra una tendencia negativa. Las barras representan porcentajes relativos (IIEGJ, 2024).
En cuanto a los porcentajes de agave plantado por municipios de la DO desde 2022, Mascota es el municipio líder en el cultivo de agave, a pesar de una disminución del 40.4% en 2022 al 33.3% en 2024, le sigue Mixtlán manteniendo una participación del 33.3% en 2024. Cabo Corrientes y Talpa de Allende tienen una participación combinada del 25% para las plantaciones de agaves raicilleros en 2024, a pesar de los porcentajes más bajos que en años anteriores (Figura 4).

Figura 4 Porcentajes de agave plantado por los 17 municipios de la DO (2022-2024). Mascota es el municipio líder del cultivo de agave con 33.3% en 2024. Las barras son porcentajes y reflejan preferencias de localización, no suman 100% por la posibilidad de tener plantaciones en múltiples municipios entre los raicilleros (IIEGJ, 2024).
Con respecto al porcentaje de hectáreas plantadas por municipios, Mascota lidera con 36% en 2024, mientras que Mixtlán alcanzó el 29.8%. Atenguillo tuvo una disminución del 16.8% en 2023 al 6.4% en 2024, mientras que municipios como Tecolotlán, Atengo, Juchitlán, Puerto Vallarta y Tomatlán, a pesar de la disminución de las participaciones, tienen mayor diversificación en su agricultura sostenible de agaves para raicilla (Figura 5) (IIEGJ, 2024).

Figura 5 Porcentaje de hectáreas plantadas por cada municipio de la DO, 2022-2024. Mascota mantiene su posición como el municipio líder con 36% en 2024. Las barras representan porcentajes relativos (IIEGJ, 2024).
Discusión
La producción de raicilla representa un modelo integral de agricultura sostenible al combinar métodos tradicionales de cultivo con la conservación de la biodiversidad del agave. Los resultados obtenidos destacan el predominio del Agave maximiliana, que aumentó del 70.2% en 2023 al 75.4% en 2024, reflejando su preferencia como una especie clave por su resistencia y rendimiento. En paralelo, el incremento en la adopción de Agave angustifolia y A. inaequidens, que alcanzaron participaciones del 31.6% y 7% respectivamente, subraya la importancia de la diversificación en la producción agrícola (IIEGJ, 2024).
La reproducción sexual de agaves raicilleros mediante semillas ofrece ventajas respecto a la propagación clonal de especies como Agave tequilana Weber y asegura la disponibilidad de materia prima a largo plazo (Martínez et al., 2022). La integración de múltiples especies de agave refuerza los servicios ecosistémicos, como la polinización y la fertilidad del suelo, factores esenciales para mantener la estabilidad de los agroecosistemas, especialmente en regiones vulnerables (Trejo-Salazar et al., 2016).
Mascota es el principal municipio productor, con un 36% de las hectáreas dedicadas al agave en 2024, aunque presenta una ligera disminución respecto a años anteriores debido a la rotación de cultivos en ese municipio. A pesar de su liderazgo, es necesario diversificar la actividad productiva en otras regiones para garantizar la sostenibilidad ecológica a largo plazo y evitar la sobreexplotación de recursos en áreas concentradas.
Prácticas agrícolas sostenibles como la reforestación de agaves, el manejo de suelos mediante terrazas y cultivos intercalados, y el uso de biofertilizantes han demostrado ser efectivas para equilibrar productividad y conservación ambiental (Torres-García et al., 2020).
La agricultura sostenible de agaves raicilleros también se impulsa por su potencial como materia prima en biotecnología (Navarro-Badilla et al., 2023). Basado en lo comentado previamente, se sugieren las siguientes acciones: 1) reforestación de agaves silvestres en colaboración con comunidades locales y académicas para garantizar la regeneración de las especies utilizadas (Nuño y Navarro, 2021); 2) promover la adopción de certificaciones orgánicas y de comercio justo que permitan diferenciar a la raicilla en mercados internacionales (Delgado Aceves et al., 2024); 3) fomentar la innovación, investigación y el desarrollo de tecnologías que optimicen los procesos agrícolas y de destilación (Martínez et al., 2022) y 4) fortalecimiento de las políticas públicas con marcos regulatorios que protejan las prácticas tradicionales y promuevan la sostenibilidad en la producción de raicilla, así como la promoción de programas de capacitación (Bowen y Zapata, 2009; IIEGJ, 2024).
Conclusiones
La producción de raicilla ejemplifica la sostenibilidad al fusionar la agricultura tradicional con prácticas modernas que conservan la biodiversidad del agave. El interés por el Agave maximiliana, junto con el interés por el A. angustifolia y el A. inaequidens, ilustran el equilibrio entre la resiliencia de los cultivos y la diversificación. El uso de múltiples especies de agave garantiza la disponibilidad de materia prima a largo plazo y mejora la resiliencia contra las plagas, las enfermedades y los desafíos ambientales.
El liderazgo de municipios como Mascota en el cultivo de agaves para raicilla subraya la necesidad de centrarse en las regiones fundamentales y al mismo tiempo, abogar por la diversificación agrícola para promover la sostenibilidad y mitigar la sobreexplotación. Además, la implementación de prácticas agroecológicas como la reforestación de agaves y la reciente introducción de técnicas de micropropagación y de propagación in vitro de agaves puede mejorar la productividad y al mismo tiempo, preservar la integridad ecológica, fomentando así un equilibrio entre la innovación y la tradición, algo esencial para el futuro de la raicilla.










texto en 



