Introducción
Las LE son un tipo de sistema de tratamiento de aguas residuales (TAR) consistentes en estanques artificiales que requieren largos tiempos de retención hidráulica que permiten mejorar la calidad del agua, este tipo de tratamiento se recomiendan en países con climas tropicales, ya que las condiciones ambientales incrementan la eficiencia en la remoción de contaminantes (Coggins et al., 2019). Las LE se pueden clasificar en relación con la presencia de oxígeno en tres tipos: anaerobias, facultativas y de maduración (Edokpayi et al., 2021). En las anaerobias, las bacterias presentes no requieren oxígeno disuelto para la descomposición de materia orgánica, ya que esta se degrada por procesos metanogénicos, las lagunas facultativas se caracterizan por presencia y ausencia de oxígeno disuelto, teniendo un proceso aerobio en el estrato superior y condiciones anaerobias en el estrato inferior (Joshi et al., 2020).
Mientras que las lagunas de maduración presentan poca profundidad, siendo así un proceso totalmente aerobio. Su diseño tiene tres objetivos principales. La eliminación de coliformes fecales y microorganismos patógenos, que representan un grave peligro para la salud causando enfermedades como: hepatitis, cólera y tifoidea entre otras importantes (Achag et al., 2021), remoción de nutrientes: nitrógeno y fósforo, con el fin de evitar la eutrofización en los cuerpos receptores (Laaksonen et al., 2017) y por último la remoción de la materia orgánica también llamada demanda bioquímica de oxígeno (DBO5), responsable del agotamiento del oxígeno disuelto necesario para el sostenimiento de los ecosistemas acuáticos (Minakshi et al., 2018). El resultado del efluente final del TAR deberá cumplir la calidad del agua referida en la NOM-001- SEMARNAT-1996, la cual indica los límites máximos permisibles (DOF, 1996).
Las principales ventajas de las LE, son sus bajos costos de construcción, operación y mantenimiento en comparación a otros sistemas de TAR, razón por la cual es el sistema más frecuentemente usado en municipios pequeños y regiones con grandes áreas disponibles (Al-Zreiqat et al., 2018). Las LE tienen una buena aceptación en países en vías de desarrollo, por ser económicamente viables (López et al., 2018). Sin embargo, una desventaja de los sistemas de LE es que generan un problema socio-ambiental; debido al mal olor originado por la descomposición de la materia orgánica en las lagunas anaerobias (Ho et al., 2018).
El mal olor generado en las LE es provocado por la generación de H2S, derivado de la presencia de sulfatos en el agua residual, donde las bacterias anaerobias reductoras de sulfatos utilizan el oxígeno de los sulfatos, generándose este ácido, lo que produce el olor a huevo podrido y mercaptanos (Ramazan, 2021) lo cual puede ser una verdadera molestia para las comunidades y residentes, quienes coinciden en la recepción de los vientos provenientes de plantas de tratamiento. Es importante mencionar, que el H2S más allá del olor es un agente altamente corrosivo y ocasiona daños a la integridad estructural de las instalaciones de la TAR y se sabe que este compuesto al contacto con los seres vivos es altamente nocivo debido a que se ha reportado que puede ocasionar desde cefaleas hasta la muerte (Sun et al., 2019; Salehi y Chaiprapat, 2019).
Por tal motivo existe la necesidad de realizar una modificación en el diseño de las LE en el cual se plantea aplicar una reingeniería al TAR implementando una recirculación del efluente al inicio del proceso, consiguiendo las siguientes ventajas: evitar la generación de olores al disminuir la concentración de H2S, controlar las variaciones estacionales de los principales parámetros, mantener las condiciones aerobias en la entrada de la primera laguna (Liu, 2018). En base a lo anterior el objetivo del presente estudio fue mejorar el sistema actual lagunas de estabilización del municipio de Torreón, Coahuila, mediante la ejecución de un proceso de recirculación de 20% del efluente a las lagunas primarias, determinando parámetros propios de la calidad del agua (pH, conductividad eléctrica, DBO5, sólidos suspendidos totales, oxígeno disuelto, grasas y aceites, coliformes fecales, huevos de helminto y generación de H2S.
Materiales y métodos
Área de estudio
Las LE del presente estudio están ubicadas en la planta tratadora de aguas residuales (PTAR) Municipal de Torreón Coahuila, México a 25° 30’ 50.3” latitud norte; 103° 19’ 16.8” longitud oeste y 1 125 msnm. El estudio se realizó durante el periodo de enero a diciembre de 2019 y 2020 (Figura 1).
Determinación de porcentaje de retorno
Para determinar el porcentaje del efluente se realizó un experimento preliminar mediante pruebas por el método de jarras (Leones et al., 2018), en vasos de precipitado de 1 L (Figura 1) equipo de jarras. modelo TS1198X85 marca Thomas Scientific, el cual consistió en realizar mezclas del influente y efluente con diferentes porcentajes de recirculación 10, 20 y 30% respectivamente, para conocer el porcentaje óptimo de la calidad del agua sin impactar los costos operativos.
Etapas del estudio
En el presente estudio se llevaron a cabo dos etapas; etapa 1, se determinaron 20 puntos de monitoreo a intervalos de 100 m en la periferia de la PTAR, en los cuales se llevaron a cabo las mediciones de los niveles de H2S (Figura 2).

Figura 2 Mapa de la zona de estudio, en la imagen se presenta una vista satelital de la planta de tratamiento de aguas residuales municipal de la ciudad de Torreón, Coahuila, donde se indican con puntos rojos los veinte sitios de muestreo. Las instalaciones se encuentran en la colonia Villas de Zaragoza, las coordenadas geográficas del sitio son 25° 30’ 50.3” latitud norte; 103° 19’ 16.8” longitud oeste y 1 125 msnm (imagen tomada de Google Earth).
Etapa 2, se realizaron muestreos de agua con la NOM-001-SEMARNAT-1996, cada 15 días por 24 meses del influente y efluente, en las cuales se determinaron parámetros de pH, conductividad eléctrica (CE), demanda bioquímica de oxígeno (DBO5), solidos suspendidos totales (SST), oxígeno disuelto (OD), grasas y aceites, coliformes fecales, huevos de helminto y generación H2S.
Métodos analíticos
Los parámetros arriba mencionados se determinaron con las metodologías propuestas por standard methods for the examination of water and wastewater (Rice et al., 2012). Los valores de pH se obtuvieron mediante un potenciómetro (ultra BASIC series meter; Denver, Colorado, USA), la conductividad eléctrica (CE) empleando un conductímetro (Hanna HI 993310 ann arbor, Michigan, USA). La demanda bioquímica de oxígeno (DBO5), fue determinada conforme a la NMX-AA-030/1-SCFI-2012 con un sonda de oxígeno disuelto (Orion, thermo scientific), los sólidos suspendidos totales (SST) se determinaron mediante capsulas de evaporación de porcelana, usando un dispositivo de filtración crisol Gooch aplicando a la Secretaría de Economía (2015), para el oxígeno disuelto (OD) se determinó conforme a la Secretaría de Economía (2001), utilizando la misma sonda que en la determinación de DBO5, para las grasas y aceites se utilizó un equipo de extracción (Soxleth Fermatte) de acuerdo a la norma Secretaría de Economía, 2013, para los coliformes fecales se determinó por la técnica del número más probable (NMP) conforme a la norma Secretaría de Economía (1987), para la determinación de los huevos de helminto se utilizó la técnica de filtración por tamizaje conforme a la norma de la Secretaría de Economía (2012).
Para la determinación de la concentración del H2S se utilizó un detector de gases GasAlertMax XT II (Honeywell, United States of America) con rangos de medición de 0-200 ppm y resolución de 1 ppm. La calibración del equipo fue acorde a las especificaciones del fabricante.
Análisis de datos
Los resultados obtenidos fueron analizados mediante un análisis estadístico de medias, desviación estándar y una prueba de t de student (α= 0.05) (Walpone et al., 2012). Dichos resultados fueron producto de un muestreo mensual en cada punto, estos muestreos se realizaron durante dos años para efectos comparativos, antes de la recirculación (2019) y después de la recirculación (2020).
Resultados y discusión
Se consideró como porcentaje óptimo para la recirculación 20% total del efluente de la PTAR, esto fue determinado mediante un ensayo preliminar prueba de jarras (Cuadro 1). Para el análisis de los resultados se contrastaron los valores previos a la recirculación de influente y efluente (2019) con respecto a los valores posteriores a la misma (2020).
Cuadro 1 Resultados de las pruebas de jarras.
| Parámetros | Influente | Prueba 10% | Prueba 20% | Prueba 30% | Prueba 40% | |||||||||
|---|---|---|---|---|---|---|---|---|---|---|---|---|---|---|
| Media | DesvEst | Media | DesvEst | Media | DesvEst | Media | DesvEst | Media | DesvEst | |||||
| Grasas y aceites (mg L-1) | 82.25 | ±7.4 | 71 | ±9.5 | 55.8 | ±3.4 | 51 | ±4.1 | 46.8 | ±4.4 | ||||
| DBO5 (mg L-1) | 300 | ±16.9 | 274.6 | ±0 | 230.9 | ±0 | 215.3 | ±0 | 188.8 | ±0 | ||||
| SST (mg L-1) | 281.9 | ±15.3 | 266.4 | ±0 | 228.3 | ±0 | 193.2 | ±0 | 178.5 | ±0 | ||||
| OD (mg L-1) | 0 | ±0 | 0.35 | ±0.15 | 1.45 | ±0.45 | 1.65 | ±0.45 | 1.9 | ±0.4 | ||||
| H2S (mg m-3) | 22.5 | ±4.9 | 12 | ±2 | 7.5 | ±1.5 | 5.5 | ±1.5 | 4 | ±1 | ||||
| pH | 6.9 | ±0 | 7.3 | ±0.1 | 7.65 | ±0.25 | 8.05 | ±0.15 | 8.3 | ±0.2 | ||||
| Conductividad (mS cm-1) | 101.7 | ±11.9 | 95.4 | ±7.3 | 97.4 | ±10.7 | 92.75 | ±8.45 | 90.9 | ±8.5 | ||||
Variación del pH
Antes de la recirculación el valor promedio del pH en el influente fue 7.5 ±0.2, mientras que, el efluente en el mismo periodo tuvo un promedio anual de 8.3 ±0.2. Después de la recirculación de 20%, se obtuvieron los promedios anuales del influente 7.2 ±0.2 y del efluente 8.2 ±0.3 (Figura 3).

Figura 3 Resultados de potencial de hidrogeno, antes y después de la recirculación del influente y efluente.
No encontrándose diferencias significativas entre los resultados antes y después de la recirculación. Se considera que esto se debió principalmente a las variaciones naturales del agua residual generada en el municipio, esto es muy relevante porque la variación del pH afecta considerablemente la estructura de las comunidades microbianas y por ende ocasiona una fluctuación en la producción de H2S. Sin embargo, estos rangos de pH continúan siendo idóneos para otros procesos de tratamiento de aguas residuales (Leite et al., 2020) y es importante mencionar que estos valores también son óptimos para un futuro proceso de recuperación de nitrógeno y fósforo (Kuzumita et al., 2020).
Variación de CE
El valor del promedio anual para la CE de 2019, antes de la recirculación en el efluente fue de 100.8 ±8.6 mS cm-1, mientras que en el año 2020 posterior a la recirculación se obtuvo un promedio de 103.7 ±9 mS cm-1. No encontrándose diferencias significativas antes y después de la recirculación, ni afectación al proceso de generación de H2S.
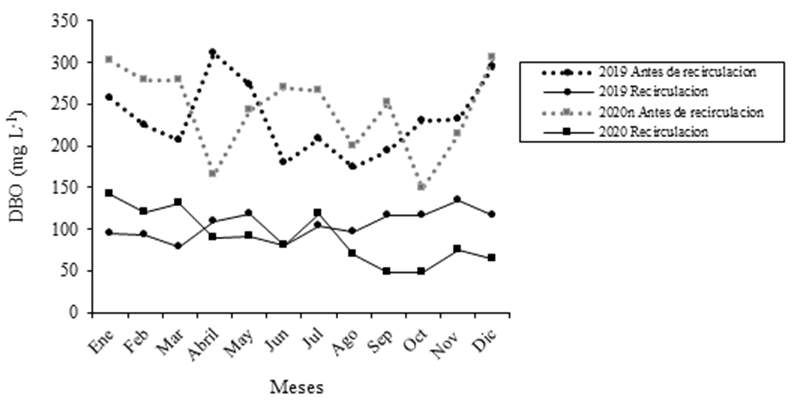
Demanda bioquímica de oxígeno
El valor del promedio anual para la DBO5 del año 2019, antes de la recirculación, fue de 231.7 mg L-1 mientras que en el año 2020 posterior a la recirculación se obtuvo un promedio de 83.1 mg L-1. Los porcentajes de remoción para la DBO5 oscilaron entre 56.5 y 64.7% y posterior a la recirculación (Cuadro 1), los promedios oscilaron entre 34.2 y 60.5. Para 2020, los promedios oscilaron entre 50.1 y 93.1, con un promedio en Junio de (78 ±15.2%). A nivel internacional se han reportado valores que oscilan entre 20.2 y 85.1 (Verbyla, 2016), lo que indica que la recirculación en el presente trabajo mejoró la remoción de la DBO5 (Figura 4), de manera más marcada para 2020, con excepción del mes de enero, los valores fueron superiores en los otros meses previos a la recirculación en 2019 (Ávila et al., 2017).

Figura 4 Resultados de demanda bioquímica de oxígeno, antes y después de la recirculación del influente y efluente.
Obtuvieron valores superiores pero esto fue debido a la calidad del agua que manejaron, además usar un porcentaje de recirculación mucho mayor al nuestro (50%), por otra parte también su estudio prueba que la eficiencia de la técnica puede disminuir entre un 10 y 15% dependiendo de la estación del año, obteniéndose mejores en verano respecto del invierno (Minakshi et al., 2017), maneja rangos de recirculación entre 25 y 75%, viendo que con este último porcentaje, la remoción de la DBO fue mucho mejor, pero los cambios significativos en la disminución de contaminantes se comienza a apreciar con solo 25% de recirculación.
Solidos suspendidos totales
El valor del promedio anual para SST del 2019, antes de la recirculación fue de 114.3 mg L-1 mientras que después de la recirculación en 2020 fue 89 mg L-1 (Cuadro 1). Los porcentajes de remoción obtenidos para los SST oscilaron para 2019 de 35.1-80.5% antes de la recirculación y de 27.1-60.9% posterior a ésta. Sí bien la mejoría no fue tan evidente en 2019, para mediados de 2020, la situación se mejoró con valores de remoción de 66.8-91% (Cuadro 2). Estudios publicados han determinado que los porcentajes fluctúan con valores de 25.7-86% (Verbyla, 2016).
Cuadro 2 Medias estadísticas de los parámetros de calidad de agua tratada del año 2019 antes de la recirculación y 2020 después de la recirculación.
| 2019 | 2020 | |||||
|---|---|---|---|---|---|---|
| Media | DesvEst | Media | DesvEst | |||
| Grasas y aceites (mg L-1) | Influente | 56.32 | ±14.37 | 68.93 | ±15.59 | |
| Efluente | 19.67 | ±3.96 | 13.86 | ±2.56 | ||
| Solidos suspendidos totales (mg L-1) | Influente | 256.53 | ±14.69 | 229.29 | ±35.81 | |
| Efluente | 114.34 | ±21.2 | 88.98 | ±26.26 | ||
| DBO5 (mg L-1) | Influente | 231.68 | ±49.66 | 236.33 | ±49.66 | |
| Efluente | 105.04 | ±24.5 | 83.11 | ±24.5 | ||
| Coliformes fecales | Influente (E06) | 7.14 | ±0.68 | 8.98 | ±0.68 | |
| Efluente (E04) | 54.3 | ±0.80 | 4.4 | ±0.8 | ||
| Potencial hidrógeno | Influente | 7.45 | ±0.24 | 7.22 | ±0.24 | |
| Efluente | 8.28 | ±0.29 | 8.17 | ±0.29 | ||
| Oxígeno disuelto (mg L-1) | Influente | 0.06 | ±0.09 | 0.3 | ±0.09 | |
| Efluente | 7.18 | ±1.45 | 7.86 | ±1.45 | ||
| Huevos de helminto (NMP) | Influente | 7.83 | ±2.11 | 8.42 | ±2.11 | |
| Efluente | 3.75 | ±1.19 | 1.83 | ±1.19 | ||
| Conductividad eléctrica (mS cm-1) | Influente | 111.54 | ±8.58 | 109.16 | ±8.58 | |
| Influente | 100.8 | ±9.91 | 103.71 | ±9.91 | ||
Oxígeno disuelto
El valor del promedio anual para el OD del año 2019, antes de la recirculación, fue de 7.2 mg L-1 mientras que en el año 2020 posterior a la recirculación fue 7.9 mg L-1. A diferencia de otros parámetros medidos el aumento en la concentración del oxígeno disuelto es un resultado remarcable y positivo, ya que se logra la inhibición del crecimiento de las comunidades bacterianas anaerobias, quienes son responsables de la producción de H2S; por lo tanto, disminuyen los efectos nocivos de este compuesto y por ende los malos olores (Aslam et al., 2019). El incremento observado es debido al aumento de la concentración de algas (Jørgensen, 2020).
Grasas y aceites
El valor del promedio anual para las grasas y aceites del año 2019 en el efluente antes de la recirculación fue de 19.7 mg L-1 mientras que en el año 2020 posterior a la recirculación se obtuvo una disminución de 70.4%. De acuerdo con los resultados encontrados, los valores de reducción de influente a efluente durante 2019 iniciaron con 43.5%, estos valores se fueron incrementando después del proceso de recirculación hasta 83.5% en 2020.
Este incremento de 40% es debido principalmente a dos factores, el incremento en el oxígeno disuelto favorece el desarrollo de bacterias aerobias y aumenta su actividad metabólica, lo cual aumenta la tasa de remoción de contaminantes (Holmes et al., 2019) por otra parte, la recirculación aumenta periodo de retención hidráulico que a su vez incrementa el tiempo de contacto de las bacterias lipofílicas con las grasas y aceites potenciando su degradación (Cisterna, 2015).
Coliformes fecales
El valor del promedio anual para CF del año 2019 en el efluente, antes de la recirculación, fue de 4.5 E04 NMP 100 ml-1, mientras que en el año 2020 posterior a la recirculación se obtuvo un promedio de 4.8 E04 NMP 100 ml-1. Este aumento es debido a las variaciones naturales del influente ya que en 2019 se tuvo un valor promedio de 7.14 E06 con una remoción del orden 99.369% necesitándose una remoción superior al 99.985% para cumplir con lo establecido en la NOM-SEMARNAT-1996 (sin recirculación).
En el año 2020 con la recirculación el valor promedio del influente fue de 8.97 E06 con una remoción del orden de 99.46% lo cual es casi una unidad decimal que en remoción exponencial de coliformes fecales es muy significativa. Este efecto es debido a las mismas causas expuestas en los parámetros de OD y grasas y aceites. Estos resultados son superiores a los reportados en estudios de modelos de reducción de coliformes en 186 lagunas de maduración en el mundo (Rezvani et al., 2021). Diversos estudios presentaron niveles de reducción de este indicador en promedios de 23-99% (Sheludchenko et al., 2016; Verbyla et al., 2016), donde uno de estos estudios presentó valores inferiores (23-43%) a los encontrados en nuestro estudio en 2020 (Reinoso et al., 2011). Lo que indica que las lagunas de estabilización cumplen con el objetivo de la reducción de patógenos.
En el parámetro de los coliformes fecales, si bien sigue estando por encima de la norma, la reducción presentada en este estudio es considerable y en conjunto con otro tipo de sistemas (químicos o cortinas de homogenización (Cortés, 2013), la combinación de ambos procesos podría lograr el cumplimiento con las normatividades aplicables sin requerir fuertes inversiones.
Huevos de helmintos
El parámetro de huevos de helminto también presento un resultado significativo, al disminuir casi a la mitad después de la recirculación. El valor del promedio anual para huevos de helminto del año 2019, antes de la recirculación, fue de 3.75 H/L mientras que en el año 2020 posterior a la recirculación fue de 1.83 H/L. Esta reducción de casi 50% es destacable, si bien es cierto previo a la recirculación este parámetro estaba por debajo del límite máximo permisible que es 5 H/L y dado su comportamiento en una columna de agua estratificada, es de esperarse que la recirculación aunada a un proceso de homogenización física como las cortinas de reducción de flujo, logre su total eliminación (Benito et al., 2020).
Generación de H2S
Las emisiones de gases como el H2S, son responsables de los malos olores y fueron reducidas de manera significativa durante los muestreos del año 2020 (p= 0.01), Los resultados fueron estadísticamente diferentes comparando el antes y después de la recirculación, obteniendo una reducción promedio anual de 48.9% de H2S (µg L-1) v/v. Lográndose que el parámetro este dentro de los límites permisibles indicados en la norma Secretaría del Trabajo y Previsión Social (1999). Desde el punto de vista químico la recirculación del efluente inhibió la generación de H2S en las lagunas anaerobias, ya que el efluente agregado contenía una mayor cantidad de microalgas y carbonatos de calcio lo cual coadyuva a la eliminación del microbiota por alcalinización del medio.
Es importante recalcar que la microbiota metanogénica es acidófila y por lo tanto la competencia con las microalgas impide su desarrollo y la generación de H2S responsable de los malos olores, este fenómeno ocasiona un efecto de sello ya que en las capas superiores se genera un ambiente alcalino y con más oxígeno y debido a este arreglo estratificado, las capas inferiores no sufren alteraciones en su funcionamiento tradicional, ya que la anaerobiosis y la microbiota natural no cambia y continúan trabajando con la misma eficiencia de remoción de otros contaminantes (Aslam et al., 2019; Sun et al., 2019; Salehi y Chaiprapat, 2019).
La recirculación permite que la concentración de H2S disminuyera considerablemente, si bien este compuesto no es un gas de efecto invernadero, se estima que otros gases también disminuyan su producción con esta reingeniería, tales como lo son los gases de efecto invernadero que se producen en la PTAR (metano, bióxido de carbono), si bien no es el objetivo de este estudio, sería recomendable determinar la disminución de la concentración de esos gases, evaluando la recirculación como una alternativa para la mitigación del cambio climático debido al efecto invernadero en LE (Figura 5).
Conclusiones
La recirculación de 20% del efluente redujo significativamente (p= 0.05) los valores de grasas, aceites, coliformes fecales, huevos de helminto y generación de H2S. Lo anterior, permitió dar cumplimiento para los parámetros de grasas y aceites en la normatividad mexicana. Es también importante mencionar que la concentración de H2S disminuyó en los 20 puntos de muestreo; sin embargo, este contaminante no está normado en la legislación mexicana ambiental a pesar de que su toxicidad se encuentra reportada en la literatura internacional.
Por otra parte a pesar que hubo una reducción considerable en la concentración de coliformes, este parámetro sigue estando fuera de norma, lo cual es de esperarse ya que su concentración inicial era elevada y dada a la naturaleza de este tipo de tratamiento es difícil lograr la concentración que estipula la norma, es importante destacar que incluso otro tipo de tratamientos no consiguen bajar la concentración de loc coliformes para cumplir con la norma por lo cual deben recurrir a procesos químicos de desinfección.
En vista de los resultados obtenidos, la recirculación representa una alternativa viable desde el punto de vista económico y ecológico ya que disminuye costos operativos, y en materia de salud ambiental reduce el riesgo por exposición a los gases tóxicos en la población aledaña. Es recomendable continuar la evaluación durante un periodo más largo, ya que sólo se evaluó un año, siendo interesante su continuación para seguir analizando los efectos de la recirculación ante las variaciones naturales y estacionales del influente.










texto en 




