Servicios Personalizados
Revista
Articulo
Indicadores
-
Citado por SciELO -
Accesos
Links relacionados
-
Similares en
SciELO
Compartir
Revista mexicana de ciencias agrícolas
versión impresa ISSN 2007-0934
Rev. Mex. Cienc. Agríc vol.12 no.1 Texcoco ene./feb. 2021 Epub 21-Feb-2022
https://doi.org/10.29312/remexca.v12i1.2426
Research notes
Morphometric variation in seeds of wild agaves from Oaxaca
1Maestría en Ciencias en Productividad de Agroecosistemas, Tecnológico Nacional de México-Instituto Tecnológico del Valle de Oaxaca. (ducimariva@yahoo.com.mx).
2Tecnológico Nacional de México-Instituto Tecnológico del Valle de Oaxaca. Ex-Hacienda de Nazareno, Xoxocotlán, Oaxaca, México. CP. 71230. Tel. 951 5170788. (rdelossr@hotmail.com; judithruizl@hotmail.com; geraro65@gmail.com).
Agaves are plants that present adaptations in their morphology and proliferate in difficult environments, but at present the production of mezcal assemblages has caused a drastic decrease in wild populations. Seeds have a very important function in the biological cycle of plants, through them populations persist, disperse and regenerate. The geometric morphometry in the agave seeds allows us to delve into the biological characteristics of the seeds such as shape and size and whether this variation may be causing some characteristic of the locality. The objective was to analyze at the population level the morphological variation in agave seeds, at the interspecific and intangible levels, to propose sustainable and commercial management strategies. Between December 2017 to July 2018, capsules of Agave angustifolia Haw (espadin), A. karwinskii Zucc (cirial or cuishe), A. rhodacantha Trel (Mexican) and A. potatorum Zuc (tobalá) were collected in different locations in Oaxaca. The seeds were photographed (100 for each species) and were processed in the Makefan6, TpsUtil and TpsDig programs. The data were analyzed in the MorphoJ program. The differences found (p< 0.05) were mainly in size, and to a lesser extent in shape. Greater variation was found in the micropillary zone and the basal zone of the seeds. The differences found in the shape of the seeds regardless of the localities where they develop may be due to genetic factors and habitat pressures. The agave seeds have a lacrimal structure.
Keywords: Agave potatorum; morphometry; size
Los agaves son plantas que presentan adaptaciones en su morfología y proliferan en ambientes difíciles, pero en la actualidad la producción de ensambles de mezcal ha provocado una drástica disminución en las poblaciones silvestres. Las semillas tienen una función de gran importancia en el ciclo biológico de las plantas, por medio de ellas las poblaciones persisten, se dispersan y regeneran. La morfometría geométrica en las semillas de agave permite profundizar en características biológicas de las semillas como la forma y el tamaño, y si dicha variación puede estar provocando alguna característica de la localidad. El objetivo fue analizar a nivel poblacional la variación morfológica en semillas de agave, a nivel interespecífico e intaespecífico, para proponer estrategias de manejo sustentable y comercial. Entre diciembre de 2017 a julio de 2018 se colectaron capsulas de Agave angustifolia Haw (espadín), A. karwinskii Zucc (cirial o cuishe), A. rhodacantha Trel (mexicano) y A. potatorum Zuc (tobalá) en diferentes localidades de Oaxaca. Se fotografiaron las semillas (100 por cada especie) y fueron procesadas en los programas Makefan6, TpsUtil y TpsDig. Los datos se analizaron en el programa MorphoJ. Las diferencias encontradas (p< 0.05) fueron principalmente en tamaño, y en menor proporción en la forma. Se encontró mayor variación en la zona micropilar y la zona basal de las semillas. Las diferencias encontradas en la forma de las semillas independientemente de las localidades donde se desarrollen puede deberse a factores genéticos y presiones del habitat. Las semillas de agave presentaron estructura lacriforme.
Palabras clave: Agave potatorum; morfometría; tamaño
Agaves have a ‘bulb’ within the floral scape that is part of their reproductive organ, where the seeds are found (Arizaga and Ezcurra, 2002). Currently, commercial plantations are carried out through asexual propagation, generating inbreeding that reduces their ecological size, so that agaves originating from seeds favor their population dynamics, due to sexual recombination that favors population genetic variability (Ramírez-Tobias et al., 2012).
The reserves and quality of germplasm in the seeds encourage wild agave populations to persist, promote their dispersal and adaptation to new environments (Doria, 2010; Verma et al., 2014). Conserving such reserves is of vital importance, since improper management, lack of planning in the extraction of wild agaves just before flowering and the increase in monocultures have caused a decrease in the population variability of agaves.
The immediate consequence is a fragmentation of wild populations into smaller units, thus increasing their vulnerability (Delgado-Lemus et al., 2014). Geometric morphometry studies allow to delve into characteristics, such as the shape and size of the seeds and through the use of quantitative descriptors, it contributes to the knowledge of the species and their systematic grouping (Miniño-Mejía et al., 2014), it also includes techniques for numerical registration through distances between points (Zelditch et al., 2004), it also analyzes from the shape and size of a structure with multivariate analysis, which allows the comparative study between individuals and between species (Bookstein , 1982; Adams et al., 2004; Mitteroecker and Gunz, 2009).
Herridge et al. (2011); Tanabata et al. (2012) indicate that the analyzes carried out on the shape of the seeds are important to make inferences about the biological diversity in natural populations due to their dispersal mechanisms. Geometric morphometry is a tool that is currently used in various areas of biology, to support studies with ecological, evolutionary and genetic approaches (Chuanromanee et al., 2019), in the case of agaves they can be applied in conservation or agricultural management of natural populations.
Therefore, the objective of this work was to analyze the morphological variation in agave seeds, which allow generating strategies to establish management and conservation programs for wild agaves through their population variation.
Morphometric study
For the morphometric analyzes, seeds of Agave angustifolia Haw, A. karwinskii Zucc, A. potatorum Zucc and A. rhodacantha Trel were used. The samples were collected between December 2017 and June 2018 in the towns of San Bartolo Coyotepec (16° 57’ 24’’ north latitude and 96° 42’ 23’’ west longitude), Tlacolula de Matamoros (16º 57’ 15” north latitude and 96º 28’ 45” west longitude) and Villa Sola de Vega (16° 30’ 42’’ north latitude and 96° 58’ 46’’ west longitude).
These localities belong to the Central Valleys region of Oaxaca, Mexico. In San Bartolo Coyotepec, records of the four species were obtained, and in the other two populations only records of seeds of A. potatorum Zucc were used.
100 fertile seeds of each species were selected verifying that they did not present breaks, fractures, damage by insects, deformations or that they were affected by fungi. Each seed was weighed on an analytical balance (Sartorius CP224S) and placed in a properly identified Eppendorf tube. To obtain the images, a millimeter reference was placed. The photographs were obtained with a camera (Nikon Reflex, D5600 of 24 MP), which was oriented parallel to the horizontal plane of the seed base and was kept fixed to a column and a support.
Each seed was placed at the same point and oriented in one direction only. The images were saved in JPG image format. Using the MakeFan6 software (Sheets, 2005), the images were cut, the homologous points were established and the combs were generated that were used as a reference for the marking of the contour points or Landmarks, later they were saved as PNG files. With the TpsUtil program (Rohlf, 2005), the Landmarks were assigned from the homologous points (22 for each record), converting the image into a cartesian plane, saving the database with the TPS extension.
Obtained the database of the coordinates, it was edited with the corresponding name of each species. The database is the complete configuration that represents the shape of the object of study, made up of ‘k’ quantity of Landmarks and ‘m’ coordinates. With the MorphoJ program, the Procrusters analysis was performed for the records, that is, through multivariate principal component analysis (PCA), canonical variables analysis (AVA) and canonical discriminant analysis considering the Mahalanobis and Procrusters distances (Rohlf, 2015).
Geometric variation of four Agave seeds in a locality
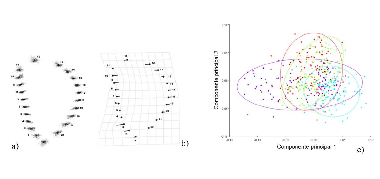
The agave seeds of the four species collected in San Bartolo Coyotepec, showed significant differences (p= 0.001) in the variation of shape and size. The data cloud (Figure 1a) and the expression of the variation (Figure 1b) present at the micropillar end, landmark 1, 2, 3, 21 and 22 of the A. karwinskii seed, showed a shift to the left; in the basal part, landmark 10, 11, 12, 13 and 14, the shift was observed to the right expressed by A. potatorum.

Figure 1 Data cloud (a), expression of variation (b) and principal component analysis of the patterns of change (c), in the seeds of A. angustifolia Haw (red points), A. rodacantha Trel (green points), A. potatorum Zucc (blue spots), A. karwinskii Zucc (purple spots) from San Bartolo Coyotepec.
In general, the seeds had a flat lacriform shape. Leishman and Westoby (1992) indicate that variations in the shape and size of seeds play an important role in the life history of a species.
The variations in shape and size (p≤ 0.01: Mahalanobis and Procrustes) expressed in the seeds of A. angustifolia Haw, A. rodacantha Trel, A. karwinskii Zucc and A. potatorum Zucc in San Bartolo Coyotepec, are the response to the adaptations that each species presents in its place of growth.
In this sense, Chuanromanee et al. (2019) indicate that the variation in the shape of a plant species is conditioned mainly by the genetic load and later by the environmental one, this supposed evidence because there was a difference between the four species of Agave present in San Bartolo Coyotepec. Moles et al. (2005) mention that the factors that affect changes in size are the way the seed expresses the changes during its growth.
From the space defined by the values of the first two main components, there was not a total separation in the shape of the seeds of the four species. The distribution patterns overlap in part of the occupied areas (Figure 1c), although A. karwinskii and A. potatorum showed slight variations in their shape. Component 1 explained 45.14% and component 2 41.34%, with a total variation of 86.48% in the form of the seeds.
The discriminant analysis and the permutation test showed significant differences both for the value of the Mahalanobis distances (p≤ 0.001) and for the value of the Procrustes distances (p≤ 0.001), that is, both the size and the shape were different, respectively (Table 1). The greatest differences in the seeds of the four species were observed mainly in size.
Table 1 Relationship of distances that determine the size (Mahalanobis) and the shape (Procrustes) of the seeds of A. potatorum Zucc in San Bartolo Coyotepec.
| Species | Mahalanobis | Procrustes |
| A. angustifolia vs A. rodacantha | 2.9887** | 0.0297** |
| A. angustifolia vs A. potatorum | 3.5435** | 0.0552** |
| A. angustifolia vs A. karwinskii | 2.2368** | 0.0355** |
| A. rhodacantha vs A. potatorum | 3.5134** | 0.0495** |
| A. rhodacantha vs A. karwinskii | 3.4579** | 0.0373** |
| A. potatorum vs A. karwinskii | 3.2108** | 0.0597** |
**= Significance p≤ 0.01.
The alteration in the shape and size of the seeds of Agave sp. they are related to the availability of resources, being common for other plants such as herbaceous (Winn, 1988; Ericksson, 1999). Seed size is considered an indicator of physiological quality, since it is positively correlated with the vigor of the plants (Aguiar, 1995; Sánchez-Rendón et al., 2002; Aráoz et al., 2004) and greater survival capacity.
Therefore, the size of the seed can potentially affect the size and resistance of the seedlings that are generated (Wulff, 1986). The variability in the biometric values of the seeds in the seeds of the four agave species could be due to phenological conditions of the parent plants, which in turn are the product of the environmental conditions of the site where they were extracted. The variation in agave seeds, as well as the variations found by Pozo-Gómez et al. (2019) in seeds of Croton sp. they are the consequence of multifactoial conditions.
Geometric variation of A. potatorum in three locations
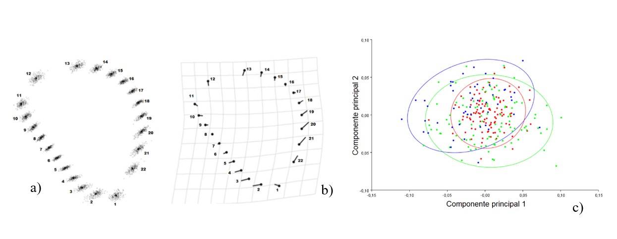
The shape of the A. potatorum seeds from Tlacolula de Matamoros, Villa Sola de Vega and San Bartolo Coyotepec, showed significant differences between the localities (p≤ 0.01). The data cloud (Figure 2a) and the expression of the variation (Figure 2b) showed variations in shape, mainly in the micropillar zone, there was a shift to the left in Larmacks 1, 2, 3, 4 and 5 and to the right in Larmacks 18, 19, 20, 21 and 22.

Figure 2 Data cloud (a), expression of the variation (b) and analysis of main components of the change patterns (c), in the seeds of A. potatorum Zucc from San Bartolo Coyotepec (red dots), Villa Sola de Vega (green dots) and Tlacolula de Matamoros (blue dots).
The variation in size and shape of the seeds of A. potatorum Zucc in the three localities, registered a less expressible dispersion for the Mahalanobis size (p≤ 0.01) and for the Procrustes form (p≤ 0.01). This variation may indicate for this species that the site conditions were not decisive in terms of changes in the shape or size of the seeds. The variation registered in the seeds of A. potatorum Zucc occurred in the apical region (micropylar), which is the place where the seedling emerges.
In the space defined by the two main components, the separation between localities with A. potatorum was gradual, showing a heterogeneous population in terms of shape in Villa Sola de Vega and less heterogeneity in San Bartolo Coyotepec (Figure 2c). The total variation explained by component 1 (51.6%) and component 2 (48.3%) was 99.9%, the change occurred mainly in the micro-pillar zone of the seed.
The permutation test yielded significant values both for the value of the Procrustes distances (p≤ 0.001) that indicates the shape of the seeds, and for the values of the Mahalanobis distances (p≤ 0.001) for their size (Table 2).
Table 2 Relationship of distances that determine the size (Mahalanobis) and the shape (Procrustes) of the seeds of A. potatorum Zucc in the localities.
| Localities | Mahalanobis | Procrustes |
| San Bartolo C. vs Sola de Vega | 1.9651** | 0.0165** |
| San Bartolo C. vs Tlacolula | 2.3415** | 0.0287** |
| Sola de Vega vs Tlacolula | 2.3878** | 0.0356** |
**= significance p≤ 0.01
Although the genetic differences are relatively important, the physical or structural patterns of the seed may be influenced by factors such as the maturation stage of the fruit, and the stimulus of abiotic or biotic stress, including climate change and the stimulation of interactions between and between. intraspecific highlands during seed development (Howe and Richter, 1982).
In this sense, Boyd (2002) mentions that isolated populations of a species may present differences in shape in some of their structures. This can be seen in the case of A. potatorum, where the isolation of its populations caused differences in the shape of its seeds.
Conclusions
The seeds of the agaves A. angustifolia Haw, A. rodacantha Trel, A. karwinskii Zucc and A. potatorum Zucc in their lacriform structure showed differences (p< 0.05) in shape and size in the basal and micropylar parts, establishing that if there is a pattern of variation according to the species. In an intraspecific analysis the basal and apical region of Agave potatorum presented variations (p< 0.05) between seeds from different locations, establishing that there are factors in the environment that generate heterogeneity in the species, such a population characteristic can be used to establish strategies of intercrosses in commercial plantations and of this that promote the conservation of wild species.
Literatura citada
Adams, D. C.; Rohlf, F. J. and Slice, D. E. 2004. Geometric morphometrics: ten years of progress following the ‘revolution’. Italian J. Zool. 71(1):5-16. https://doi.org/ 10.1080/ 11250000 409356545. [ Links ]
Aguiar, I. B. 1995. Conservação de sementes. In: Silva A, Piña-Rodrigues F. C. M. e Figliolia, M. B. coordinadore. Manual técnico de sementes florestais. São Paulo: Instituto Florestal, IF Série Registros. Núm. 14. 33-44. p. [ Links ]
Aráoz, S.; Del-Longo, O. y Karlin, O. 2004. Germinación de semillas de Zizyphus mistol Grisebach III. Correlaciones paramétricas del tamaño y peso de drupas, endocarpos y semillas con la germinación y el vigor. Multequina. 13(2):51-56. [ Links ]
Arizaga, S. and Ezcurra, E. 2002. Propagation mechanism in Agave macroacantha. (Agavaceae), a tropical arid-land succulent rosette. Am. J. Bot. 89(4):632-641. Doi: 10.3732/ajb.89.4.632. [ Links ]
Bookstein, F. L. 1982. Foundations of morphometrics. Annual Review of Ecology and Systematics. 13:451-470. http://doi.org/10.1146/anurev.es.13.110182.002315. [ Links ]
Boyd, A. 2002. Análisis morfológico de las poblaciones de la isla Sky de Macromeria viridiflora (Boraginaceae). Botánica Sistemática. 27(1):116-126. https://doi.org/10.1043/0363-6445-27.1.116. [ Links ]
Chuanromanee, T. T; Cohen, J. I. and Ryan, G. L. 2019. morphological analysis of size and shape (MASS): an integrative software program for morphometric analyses of leaves. Appl. Plant Sci. 7(9):e11288. Doi:10.1002/aps3.11288. [ Links ]
Delgado-Lemus, A.; Torres, I.; Blancas, J. and Casas, A. 2014. Vulnerability and risk management of Agave species in the Tehuacán Valley, México. J. Ethnobiol. Ethnomedicine. 10:1-15. http://www.ethnobiomed.com/content/10/1/53. [ Links ]
Doria, J. 2010. Generalidades sobre las semillas: su producción, consevacion y almacenamiento. Cultivos Tropicales. 31(1):74-85. [ Links ]
Eriksson, O. 1999. Seed size variation and its effect on germination and seedling performance in the clonal herb Convallaria majalis. Acta Oecologica. 20(1):61-66. Doi:10.1016/S1146-609X(99)80016-2. [ Links ]
Herridge, R. P.; Day, R. C.; Baldwin, S. and Macknight, R. C. 2011. Rapid analysis of seed size in Arabidopsis for mutant and QTL discovery. Plant Methods. 7:3. http://www.plantmethods.com/content/7/1/3. [ Links ]
Howe, H. F. y Richter, W. M. 1982. Efectos del tamaño de la semilla y el tamaño de la plántula en Virola surinamensis: un análisis dentro y entre árboles. Oecologia. 53(3):347-351. [ Links ]
Leishman, M. R. and Westoby, M. 1992. Classifying plants into groups on the basis of associations of individual traits-evidence from Australian semi-arid woodlands. J. Ecol. 80(3):417-424. Doi:10.2307/2260687. [ Links ]
Miniño-Mejía, V. A.; Rodríguez-de Francisco, L. E; Paino-Perdomo, O.; León, Y. y Paulino, L. 2014. Caracterización de la morfología de la semilla de Pinus occidentalis Swartz. Ciencia y Sociedad. 39(4):777-801. Doi: 10.22206/cys. 2014.v39i4.pp777-801. [ Links ]
Mitteroecker, P. and Gunz, P. 2009. Advances in geometric morphometrics. Evolutionary Biolgy 36:235-247. Doi: 10.1007/s11692-009-9055-x. [ Links ]
Moles, A.T.; Ackerly, D. D.; Webb, C. O.; Tweddle, J. C.; Dickie, J. B. and Westoby, M. 2005. A brief history of seed size. Science. 307(5709):576-580. Doi:10.1126/science.1104863. [ Links ]
Pozo-Gómez, D. M.; Orantes-García, C.; Rioja-Paradela, T. M.; Moreno-Moreno, R. A. y Farrera-Sarmiento, O. 2019. Diferencias en morfometría y germinación de semillas de Croton guatemalensis (Euphorbiaceae), procedentes de poblaciones silvestres de la Selva Zoque, Chiapas, México. Acta Botanica Mexicana. 126(1):e1384. Doi: 10.21829/abm126.2019.1384. [ Links ]
Ramírez-Tobías, H. M.; Pena-Valdivia, C. B.; Aguirre, J. R.; Reyes-Aguero, J. A.; Sánchez- Urdaneta, A. B. and Valle-Guadarrama, S. 2012. Seed germination temperatures of eight Mexican Agave species with an extensive history of human use. Plant Species Biol. 27(2):124-137. Doi: 10.1111/j.1442-1984-2011-00341.x. [ Links ]
Rohlf, F. J. 2005. TpsDig, version 2, 04. Ecology and Evolution. Stony Brook, NY: State University of New York. [ Links ]
Rohlf, F. J. 2015. The tps series of soft-ware. Hystrix 26(1):9-12. Doi: 10.4404/ hystrix-26.1-11264. [ Links ]
Sánchez-Rendón, J. A.; Muñoz-García, B.; Remis-Cuesta, Y. y Torres-Areas, Y. 2002. Correlación entre el tamaño de la semilla, la dormancia, la germinación y el vigor de las plántulas de Calophyllum pinetorum. Rev. del Jardin Botánico Nacional. 23(1):75-84. [ Links ]
Sheets, R. H, 2005. Diversity pedagogy: examining the role of culture in the teaching-learning process. Boston: Allyn & Bacon. 238 p. ISBN-13:978-0205405558; ISBN-10:020540555X. [ Links ]
Tanabata, T.; Shibaya, T.; Hori, K.; Ebana, K. and Yano, M. 2012. SmartGrain: high-throughput phenotyping software for measuring seed shape through image analysis. Plant Physiology. 160:1871-1880. Doi: https://doi.org/10.1104/pp.112.205120. [ Links ]
Verma, J.; Sharma, K.; Thakur, K.; Kaur; Sembi, J. K. and Vij, S. P. 2014. Study on seed morphometry of some threatened Western Himalayan orchids. Turkish J. Bot. 38:234-251. Doi: 10.3906/bot-1307-14. [ Links ]
Winn, A. A. 1988. Ecological and evolutionary consequences of seed size in Prunella vulgaris. Ecology. 69(5):1537-1544. Doi: 10.2307/1941651. [ Links ]
Wulff, R. D. 1986. Seed size variation in Desmodium paniculatum: I. Factors affecting seed size. J. Ecol. 74(1):87-97. Doi: 10.2307/2260350. [ Links ]
Zelditch, M. D.; Swiderski, D. L. and Sheets, H. D. 2004. Geometric morphometrics for Biologists. A Primer. Elsevier Academic Press. Kirkwood, New York, USA. 437 p. [ Links ]
Received: January 01, 2021; Accepted: February 01, 2021










texto en 


