La porcicultura es una actividad pecuaria que en los últimos años se ha incrementado a nivel mundial, siendo China el principal productor de carne de cerdo. En México, uno de los problemas que tienen los productores de cerdos, son los elevados costos en cuanto a la alimentación que va de 60 a 70% de su sistema de producción ganadera.
No obstante, la ganadería porcina tiende a incrementarse en los próximos años, debido a que el consumo per cápita ha aumentado más de 12.8 kg (SIAP, 2015). En el caso particular del estado de Oaxaca esta problemática no es la excepción; sin embargo, una ventaja que se tiene es su participación a nivel nacional de 4% en producción de carne lo cual hace que la porcicultura sea una actividad atractiva para los productores de la región (Torres-Novoa y Hurtado-Nery, 2007).
Sin embargo, los altos costos en la alimentación hacen que la mayoría de los productores de cerdo, se vean limitados a llevar a cabo dicha actividad pecuaria. Por ello, una alternativa para disminuir los costos de producción es el uso de nuevas alternativas, tal es el caso del uso de forraje verde hidropónico (FVH) en la alimentación de cerdos (Müller et al., 2005; Herrera et al., 2007), ya que se ha mencionado que con esta tecnología se disminuye el costo de producción y se obtiene una carne inocua (Osorto et al., 2007; Romero, 2009).
La producción de FVH consiste en hacer germinar semillas de gramíneas o leguminosas tales como avena, maíz, trigo, alfalfa entre otros, hasta el crecimiento de plántula, bajo condiciones de luz, humedad y temperatura adecuados para cada especie de cultivo (Albert et al., 2016). A diferencia del sistema convencional de alimentación basado en el pastoreo, el FVH representa una alternativa de alimentación animal, donde se aprovechan las hojas, tallos y raíz; es decir, la planta completa (Ramírez y Soto, 2017).
Hacer uso de los forrajes verdes hidropónicos tiene varias ventajas, una de las ventajas de uso de FVH es que se puede producir durante todo el año y en pequeñas áreas de suelo o en charolas empleando como sustrato pajas, cascarillas de granos de gramíneas, fibra de coco, tezontle, etc., utilizando un sistema de riego controlado, donde se suministra el agua necesaria con los nutrientes indispensables para cada cultivo (Rodríguez et al., 2009).
Otra ventaja es el tiempo corto de producción de forraje, ya que en un periodo de 15 a 20 días se puede tener forraje disponible para la alimentación animale y en este caso de los cerdos (FAO, 2001). Dentro de las gramíneas más utilizadas como FVH es el maíz (Zea mays L.), ya que presenta latos rendimientos de forraje que van de los 3 91 a 4 64 kg m-2 y el contenido de materia seca de 25.5 y 19.24% a los 10 y 12 días, respectivamente (Albert et al., 2016; Naik et al., 2012; García-Carrillo et al., 2013).
En la región Costa de Oaxaca, no existen estudios o no está bien documentado el uso de forraje verde hidropónico de maíz (FVHM) en la alimentación para la producción de carne de cerdo, así como el costo-beneficio de este alimento alternativo. Por ello, el objetivo del presente estudio fue evaluar en cerdos en crecimiento, dietas a base de alimento comercial y con la inclusión de forraje verde hidropónico de maíz, donde se evaluó el consumo total de alimento (CTA), conversión alimenticia (CA), ganancia de peso (GPT) y calcular la relación costo-beneficio (RCB).
Descripción de área de estudio
La investigación se realizó durante los meses de agosto a noviembre de 2017, en las instalaciones del Instituto Tecnológico de Pinotepa, Unidad Experimental ‘San José Estancia Grande’ del Departamento de Ciencias Agropecuarias, ubicado en el municipio de San José Estancia Grande, Oaxaca, km 26.5 de la Carretera Pinotepa Nacional, Oaxaca-Acapulco, Guerrero, a 16° 22’ latitud norte y 98° 13’ longitud oeste (García, 2004).
El clima en esta región es cálido subhúmedo con lluvias en verano, con una temperatura y precipitación media anual de 26.9 °C y 800 mm, respectivamente y a 70 msnm (García, 2004).
Tratamiento y diseño experimental
Los tratamientos evaluados fueron: T1 (testigo): 100% alimento balanceado comercial, T2: 85% alimento balanceado comercial + 15% FVHM; T3: 70% alimento balanceado comercial + 30% FVHM y T4: 55% alimento balanceado comercial + 45% FVHM. Se utilizó un diseño completamente al azar, con cuatro repeticiones por tratamiento, donde la unidad experimental consistió de un cerdo, dando un total de 16 cerdos.
Variables evaluadas
Se evaluó el consumo total de alimento (CTA) expresado en kilogramos, se calculó restando el alimento no consumido al alimento ofrecido durante el día. La ganancia total de peso (GTP) de los cerdos, se obtuvo por diferencia entre el peso final y peso inicial. La conversión alimenticia (CA), se obtuvo al dividir el consumo total entre el incremento de peso vivo de cada animal. Mientras que la relación costo-beneficio (RCB) se obtuvo dividiendo el ingreso por venta de la GTP en el mercado local, entre los costos del alimento consumido durante el ciclo productivo.
Desarrollo del experimento
El estudio tuvo una duración de 12 semanas. Se utilizaron 16 cerdos destetados machos de la raza Landrace destetados con peso inicial promedio de 10.41 kg y edad aproximada de tres meses. Previo al inicio del experimento se les administró vitaminas y antiparasitario contra endoparásitos y ectoparásitos.
Los cerdos fueron alojados en corraletas individuales provistas de comederos y bebederos con agua ad libitum, donde tuvieron un periodo de adaptación de10 días proporcionándoles a los cerdos las dietas propuestas de alimento balanceado comercial y FVHM en los respectivos comederos de forma restringida y se fue ajustando el consumo de acuerdo a lo que dejaban diariamente en los comederos.
Las dietas utilizadas tuvieron como base el alimento balanceado comercial de la línea Api-Aba Premium, para la etapa crecimiento-engorda. El FVH utilizado en el presente estudio se produjo en el mismo Instituto Tecnológico, empleando semillas de maíz una variedad local, con rendimiento de 3.5 kg de FVHM por 600 g de maíz.
Análisis estadístico
Los datos obtenidos de las variables evaluadas se sometieron a un análisis de varianza usando el procedimiento GLM del programa SAS (2002). Para las comparaciones entre los tratamientos se utilizó la prueba de Tukey, con una significancia del 0.05.
Ganancia total de peso
Se encontraron diferencias estadísticas entre tratamientos (p˂ 0.05) para la variable ganancia total de peso (Cuadro 1), donde el valor más alto (42.67 kg) se obtuvo con el tratamiento T4, valor que fue diferente y superior (p˂ 0.05) al registrado con el tratamiento T3, con un promedio de 35.81 kg. Esto resultados son diferentes a los reportados por Cunuhay (2013), quien encontró que la mayor ganancia de peso total se obtuvo en cerdos con 100% de alimento balanceado comercial, alcanzando una ganancia de peso final de 46.4 kg y de menor incremento de peso cuando se incluyó 45% de FVHM en la dieta con una ganancia de peso de 36.3 kg.
Cuadro 1 Comportamiento productivo en cerdos alimentados con dieta comercial y diferentes inclusiones en la dieta de FVHM.
| Variables | Tratamientos | Promedio | EE | |||
| T1 | T2 | T3 | T4 | |||
| Peso vivo (kg) | ||||||
| Inicial | 6.75 c | 9.63 b | 12.88 a | 12.38 a | 10.51 | 0.54 |
| Final | 38.29 c | 42.05 c | 49.69 b | 55.05 a | 46.38 | 1.17 |
| Ganancia total de peso (kg) | 31.54 c | 32.42 c | 36.81 b | 42.67 a | 35.86 | 0.98 |
| Ganancia diaria de peso (g día-1) | 375.47 c | 385.95 c | 438.3 b | 508.06 a | 426.94 | 0.011 |
| Consumo total de alimento (kg) | 110.14 a | 110.23 a | 108.45 b | 107.51 b | 109.15 | 0.27 |
| Consumo total (kg día-1) | 1.22 a | 1.22 a | 1.2 b | 1.19 b | 1.21 | 0.03 |
| Eficiencia alimenticia (g kg-1) | 287.5 c | 295 c | 340 b | 395 a | 329.37 | 0.0087 |
| Conversión alimenticia | 3.51 a | 3.4 a | 2.95 b | 2.52 c | 3.09 | 0.091 |
| Relación beneficio-costo | 0.86 d | 1.02 c | 1.39 b | 1.99 a | 1.31 | 0.031 |
Medias de los tratamientos con la misma literal no son diferentes (p> 0.05). EE= error estándar.
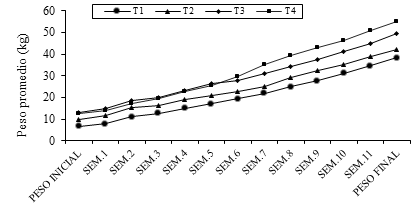
En la Figura 1, se muestra el comportamiento en la ganancia de peso total por semana de los cerdos alimentados con dietas a base de alimento comercial y diferentes porcentajes de inclusión de forraje verde hidropónico de maíz. La ganancia de peso en cerdos con una alimentación en base a FVH mejora al ofréceselos ‘ad libitum’. En este trabajo a medida que se le incrementaba el FVH se mejoró la ganancia de peso por lo cual es una alternativa de alimentación para los cerdos.
También es sabido que el FVH le aporta al cerdo proteínas, minerales y vitaminas las cuales son más asimilables para el animal al ser solubles, lo que no ocurre con el grano seco. Las vitaminas tienen gran importancia en la fertilidad y productividad de los animales lo que se refleja en la ganancia de peso de los cerdos.

Figura 1 Ganancia de peso semanal de cerdos alimentados con diferentes niveles de alimento comercial más forraje verde hidropónico de maíz.
Dentro de los primeros estudios hechos al respecto (Sánchez y Escalante, 1998) reportaron mejor ganancia de peso en cerdos con alimentación en base a FVH. Y esta investigación lo confirma al adicionar a la dieta diferentes niveles de FVHM.
Consumo total de alimento
Se encontraron diferencias estadísticas para la variable CTA (p˂ 0.05), donde el consumo mayor (110.23 kg) se obtuvo en el tratamiento T2, valor que fue similar (p˃ 0.05) al obtenido con T1 (110.14 kg), pero diferente y superior a (p˂ 0.05) a los valores con los tratamientos T3 y T4. Resultados similares al presente estudio fueron reportados por Cunuhay (2013).
Quien encontró que el consumo promedio total de alimento se registró diferencias estadísticas significativas, donde el mayor consumo se dio con dietas donde 100% de alimento era balanceado comercial (131.34 kg), siendo el consumo total de alimento de promedio de 2.34 kg animal-1 día-1.
En tanto el menor consumo total de alimento se presentó en el T3 que contenía en la dieta 45% de FVHM, el consumo registrado fue de 1.72 kg animal-1 día-1. Esta tecnología de producir FVH es complementaria y no competitiva con la usada en la producción convencional de forraje, por lo que resulta una buena alternativa para la alimentación de animales como bovinos, caprinos, ovinos, equinos, aves y porcinos.
En este estudio donde se observó que los cerdos consumen muy bien el forraje y útil en períodos de escaeces de forraje. La suplementación de forraje verde hidropónico de maíz en la ración de cerdos es una alternativa tecnológica para la alimentación de los cerdos es por esto que el consumo de este FVH no es una limitante para los cerdos ya que estos lo aceptan y lo consume por la buena palatabilidad del forraje (Naik et al., 2015).
Conversión alimenticia
Actualmente, el sistema de alimentación de cerdos en engorda se requiere que esto tengan buena conversión alimenticia; es decir, si decimos que un cerdo da una conversión alimenticia de 2, indica que por cada libra o kilo de peso vivo que ganó, su consumo fue de 2 kg de alimento. Al respecto, existen pocos estudios y en esta investigación se encontró diferencia significativa (p> 0.05) en cuanto a la CA, donde la mejor conversión fue del T1 y T2, en tanto la menor CA la presentó T4 y T3 (Cuadro 1).
Los resultados encontrados en esta investigación coinciden con los datos obtenidos por Cunuhay (2013), quien encontró que la mejor conversión alimenticia es cuando se le agrega a la dieta 45% de FVH con 2.67. Coincide con lo encontrado por Adebiyi et al. (2018), que observaron que en cerdos destetados y alimentados con FVH la conversión de alimentación se mejoró.
Relación costo-beneficio
En este estudio, la relación RBC fue mejor cuando se incrementó el porcentaje de inclusión de FVHM en las dietas de los cerdos en crecimiento y bajo las condiciones ambientales ya descritas en la metodología (Cuadro 1). Esto puede ser al bajo costo de producción de FVHM debido a que se utilizaron semillas locales y a su alto rendimiento, puesto que 600 g de maíz produjeron 3.5 kg de FVH; por tanto, a mayor nivel de sustitución de FVHM en la dieta de los cerdos mejora sustancialmente la RBC.
Lo anterior, concuerda con la literatura Arriaga-Jordán et al. (2002), documentaron que la alimentación de FVHM se reducen los costos de producción en la alimentación de cerdos siempre y cuando se produzca el forraje hidropónico. Por tanto, la menor rentabilidad la encontramos cuando la dieta es 100% de alimento comercial esto es lógico por los altos costos de los insumos.
Otra de las ventajas es que al incluir más de 15% de FVHM en la dieta de los cerdos se favorece el incremento de peso y además incide positivamente en la rentabilidad. Los resultados encontrados concuerdan con los de Romero (2009), quien menciona que la dieta que mejor RBC tuvo fue cuando se incluye más de 40% de FVH.
Conclusiones
La inclusión de forraje verde hidropónico de maíz en dietas de alimentación de cerdos de engorda en este estudio demostró resultados significativos; puesto que, al ir aumentando el porcentaje de FVHM en los tratamientos evaluados se vio reflejado en la reducción de consumo de estas, se incrementó la ganancia de peso diaria y total, además se mejoró la conversión alimenticia y la relación beneficio costo en los tratamientos cuyo contenido de FVHM fue mayor. Se recomienda el uso de 55% de alimento balanceado comercial y 45% de forraje verde hidropónico de maíz.










texto en 


