Servicios Personalizados
Revista
Articulo
Indicadores
-
Citado por SciELO -
Accesos
Links relacionados
-
Similares en
SciELO
Compartir
Revista mexicana de ciencias agrícolas
versión impresa ISSN 2007-0934
Rev. Mex. Cienc. Agríc vol.11 no.8 Texcoco nov./dic. 2020 Epub 13-Dic-2021
https://doi.org/10.29312/remexca.v11i8.2228
Articles
The market for cape gooseberry in Mexico
1Universidad Autónoma de Guerrero-Facultad de Ciencias Agropecuarias y Ambientales. Periférico poniente s/n, Col. Villa de Guadalupe, Iguala de la independencia, Guerrero, México. CP. 40040. (mairalee@hotmail.com).
2Colegio de Postgraduados. Carretera México-Texcoco km 36.5, Montecillo, Estado de México. CP. 56230. (msandoval@colpos.mx; garcia.edgar@colpos.mx).
3Campo Experimental Iguala-INIFAP. Carretera Iguala-Tuxpan km 2.5, Tuxpan, Iguala de la Independencia, Guerrero, México. CP. 40000. (oscar.antunez@colpos.mx)
44Instituto Politécnico Nacional-Centro Interdisciplinario de Investigación para el Desarrollo Integral Regional Unidad Oaxaca. Hornos 1003, Santa Cruz Xoxocotlán, Oaxaca, México. CP. 71230. (juanelias-sab@hotmail.com)
The cape gooseberry (Physalis peruviana L.) is a crop adaptable to adverse climates and prolonged production of fruits with high economic potential. In Mexico, cape gooseberry is not yet cultivated for commercial purposes, due to ignorance of its consumption and profitability. The objective was to analyze the profitability of the cultivation of cape gooseberry in greenhouse and hydroponics and its consumption in Mexico City, to know its commercial potential. Cape gooseberry plants were grown in a greenhouse measuring 10 x 30 m, the inputs and activities of the production and harvesting process were recorded in an Excel spreadsheet (2010), quantified and extrapolated to 1 ha. The production costs and the profitability of the crop were determined based on the internal rate of return (IRR), the net present value (NPV) and the benefit/cost ratio (B/C). The breakeven point in sales was estimated with the total costs and the initial investment. Demand was estimated based on information from 150 surveys conducted in the named markets. El 100 and Medellin, in Mexico City. Tasting tests were carried out on the respondents, considering the taste, smell and color of commercially ripe fruits. The estimated yield was 52.65 Mg ha-1 of fresh fruit with calyx, with an investment of $3 664 551 at a sale price of 30.00 $ kg-1, with NPV of $633 071, IRR of 17.24%, and B/C ratio of 1.1. The demand was determined by the price of the fruit, the income and the level of studies of the respondents. Most of that surveyed showed willingness to buy this fruit and recommended its consumption.
Keywords: demand; cape gooseberry; production costs; supply
La uchuva (Physalis peruviana L.) es un cultivo adaptable a climas adversos y prolongada producción de frutos con alto potencial económico. En México, la uchuva aún no se cultiva con fines comerciales, por desconocimiento de su consumo y rentabilidad. El objetivo fue analizar la rentabilidad del cultivo de la uchuva en invernadero e hidroponía y su consumo en la ciudad de México, para conocer su potencial comercial. Plantas de uchuva se cultivaron en un invernadero con medidas de 10 x 30 m, los insumos y actividades del proceso productivo y cosecha fueron registrados en una hoja de cálculo de Excel (2010), cuantificados y extrapolados a 1 ha. Se determinaron los costos de producción y la rentabilidad del cultivo con base en la tasa interna de retorno (TIR), el valor actual neto (VAN) y la relación beneficio/costo (B/C). El punto de equilibrio en ventas se estimó con los costos totales y la inversión inicial. La demanda se estimó con base en la información de 150 encuestas realizadas en los mercados nombrados. El 100 y Medellín, en la Ciudad de México. Se realizaron pruebas de degustación a los encuestados, considerando el sabor, olor y color de frutos comercialmente maduros. El rendimiento estimado fue de 52.65 Mg ha-1 de fruto fresco con cáliz, con una inversión de $3 664 551.00 a precio de venta de 30.00 $ kg-1, con VAN de $633 071.00, TIR de 17.24%, y relación B/C de 1.1. La demanda estuvo determinada por el precio del fruto, el ingreso y el nivel de estudios de los encuestados. La mayoría de los encuestados mostró disposición de compra de este fruto y recomendó su consumo.
Palabras clave: costos de producción; demanda; oferta; uchuva
Introduction
In Mexico, per capita fruit consumption is 98 kg per year (López and Alarcón, 2018), so fruit production throughout the year is essential, both for domestic consumption and for exports. According to the Agrifood and Fisheries Information Service (SIAP) (2018), the fruits and vegetables that Mexico exported the most in 2018 were: avocado (48.3%), tomato (24.1%), asparagus (23.9%), cauliflower and broccoli (18%), pepper (17.2%), cucumber (15.6%) and berries (strawberry, blackberry, raspberry and cranberry) (10.6%).
In this sense, the production of fruits and vegetables constitutes an economically viable alternative for family agricultural production systems, above all, of emerging crops such as cape gooseberry (Physalis peruviana L.) (Moreno-Miranda et al., 2019), the which is a plant of Andean origin and currently cultivated in America, Europe and Asia (Blendlin et al., 2015), being the largest producers in the world, Colombia, Perú, Ecuador, Chile and Brazil, where the cape gooseberry occupies an important place in the levels of fruit exports from these countries, which is why they have focused on increasing the area destined for said cultivation (Kretzschmar et al., 2012; Fischer et al., 2014; Barboza-Arias et al., 2018).
In other countries, cape gooseberry has been gradually incorporated to learn about its cultivation and agronomic management, because the plant is characterized by being a shrub, perennial, rustic and widespread, with a production cycle from germination to the first harvest of approximately five months (Lima et al., 2009).
Cape gooseberry fruits are round, bright yellow berries with many seeds (150 to 300 seeds per fruit), which take 60 to 80 days to ripen (Fischer et al., 2011). These fruits are consumed fresh in sweet and salty salads, or they can be transformed into frozen, dehydrated fruits, puree, pulp, jams, preserves, jellies, sauces, juices and ice creams (Kretzschmar et al., 2012; Moreno-Miranda et al., 2019).
Several medicinal properties are attributed to its roots, stems and leaves, which is why they are used in the pharmacological industry (Kretzschmar et al., 2012; Muniz et al., 2014), which has caused an increase in production due to the great interest in its nutritional and industrial properties, becoming an important source for the processing of new functional foods and beverages (Ramadan, 2011).
The cultivation of cape gooseberry adapts easily to various climatic conditions and its production can last for several years (Muniz et al., 2011), because its cultivation is perennial in the absence of frost (Singh et al., 2012).
There are antecedents that the growth of this species in the greenhouse is more accelerated with respect to its cultivation in the field, caused by the high temperatures that occur within these structures, which favors greater accumulation of biomass in all organs and therefore the increase of the weight of the fruits (Angulo, 2005), said increase allows to achieve competitive advantages in the market (Moreno-Miranda et al., 2019), which indicates that the cultivation of cape gooseberry represents an important production alternative with high nutritional value and economic potential (Muniz et al., 2014).
However, in Mexico the cultivation of cape gooseberry is little known and there are no intensive or extensive production areas (Aguilar, 2018), it has only begun to cultivate this species for experimental purposes to know the agronomic behavior of some varieties of this crop greenhouse (Mora et al., 2006), to study its growth and productive response to different concentrations of nutrient solution (Gastelum et al., 2013; Aguilar et al., 2018) and to fertilization with ammonium and nitrate in plants obtained by regrowth and seed (Castañeda et al., 2013; Antúnez et al., 2014; Antúnez et al., 2016).
It has also been cultivated with the purpose of knowing its phenology and productive behavior on different sowing dates and potassium and boron supply (Sabino et al., 2016; Sabino et al., 2018), and to carry out studies aimed at genetic improvement through mutagenesis (Antúnez et al., 2017). However, in Mexico there are still no commercialization and profitability studies for this crop.
Although the cape gooseberry is an exotic fruit with a growing international market, commercialization and marketing are the most important problems that the producer faces, governed by market supply and demand (Coral et al., 2012), in addition to that it is also essential that producers carry out financial practices, to objectively guide the production and commercialization processes of this crop and be competitive in the market, given current economic trends, challenges and opportunities that arise (Núnez and Monsave, 2012).
Where price variations, disposable income, tastes and preferences of potential consumers are considered (Tomek and Kaiser, 2014), this implies the study of the demand and supply of the cape gooseberry fruit, determined by the factors of the production, reflected in the financial statements and in the parameters of the economic evaluation, such as the net present value (NPV), which indicates the net profit generated by the investment, resulting from subtracting the sum of the discounted flows from the initial investment and whose value must be positive, the internal rate of return (IRR).
What is the discount rate that considers the investment cost with its projected income, if the IRR is less than the discount rate (commercial bank rate) of the project, this is not economically viable, the benefit/cost ratio (B/C), which indicates the net profit generated by each monetary unit invested, whose value must be greater than one (Lima et al., 2009; Baca, 2010). The objective of this study was to analyze the profitability of cape gooseberry cultivation in greenhouse and hydroponics and its consumption in Mexico City, to know its commercial potential.
Materials and methods
The cultivation of cape gooseberry genotype Colombia was established in a zenith type greenhouse on July 19, 2013, with an average temperature of 21.6 °C and relative humidity of 72.9%, located in the Postgraduate College, Montecillo, Texcoco, Mexico (Figure 1) (Sabino-Lopez et al., 2016). The sowing and agronomic management of the crop, as well as the harvest and the quantification of fruits were carried out based on the methodology described by Sabino-López et al. (2018).

Figure 1 Agronomic management of the cape gooseberry (Physalis peruvinana L.) crop in a greenhouse, in Montecillo, Texcoco, Mexico.
Then, according to Lima et al. (2009); Baca (2010), the total production costs were recorded and determined considering the administration and sales expenses of the production, the inputs and the labor required in each of the activities, from the planting of seedlings, transplantation, irrigation, fertilization, pruning, tutoring, pest and disease control and harvest, previously recorded in an Excel spreadsheet (2010).
The yield of fresh fruit of cape gooseberry (kg ha-1) and the estimated production costs were extrapolated to one hectare. Next, the economic feasibility of the crop was determined, based on the internal rate of return (IRR), the net present value (NPV) and the benefit/cost ratio (B/C), for this the minimum price was considered and maximum sales obtained by 150 surveys carried out in 2015, in the markets called El 100 and Medellin, in Colonia Roma Sur, Cuauhtémoc Delegation, Mexico City, Mexico.
Next, three scenarios were proposed, two of price (minimum and maximum price) and one of production costs. The breakeven point in sales was estimated with the total costs and the initial investment, considering the amortization and depreciation of the goods. With the monthly cash flow, the working capital and the projection of expenses and income from the crop were determined for five years.
An analysis of relative frequencies of the profile of the respondents and of the perception of the fruit was also carried out through tasting tests, based on the taste, smell and color of commercially ripe gooseberry fruits (Figure 2), based on the proposed methodology by Morales (2011). It is worth mentioning that the yield estimate was obtained by adding the accumulated weight of the fruit with calyx, determined with a scale.
To determine the production costs and financial analysis of the cape gooseberry crop, the information obtained from the crop production cycle established in 2013 was used, then the costs and financial analysis were updated to 2019 and extrapolated to 1 ha.
After the evaluation of the crop, the care of it inside the greenhouse and the harvest of fruits lasted until 2015. Finally, the demand estimate was made; through a linear regression model in Excel (2010), considering the information from the surveys and through the study of dependence between dependent and independent variables (Gujarati and Porter, 2010).
Results and discussion
The results obtained in this study indicate that an investment of $3 664 551.00 MXN is required to establish 1 ha of cape gooseberry cultivation, where 86% corresponds to fixed assets, 1% to deferred assets and 13% to working capital, highlighting that the largest item in deferred assets was the cost of the greenhouse, which represented 82% of the initial investment (Table 1).
Table 1 Investment required for one hectare of greenhouse cultivation of cape gooseberry.
| Fixed assets | $3 144 500.00 |
| Pumping equipment | $15 000.00 |
| Sprinkler-sprayer | 9 500.00 |
| Electrical and hydraulic installations | 50 000.00 |
| Greenhouse (irrigation system, ground cover) | 3 000 000.00 |
| Well drilling | 50 000.00 |
| Computer equipment | 15 000.00 |
| Office furniture | 5 000.00 |
| Deferred assets | 49 000.00 |
| Water analysis | 3 000.00 |
| Company constitution | 16 000.00 |
| Market study | 15 000.00 |
| Development of the project | 15 000.00 |
| Working capital | 471 051.00 |
| Total | 3 664 551.00 |
Prepared with market information in Mexico as of 2019.
Total costs and income
The results of the surveys indicate that the sale price ranged from $30.00 to $120.00 MXN per kg of fresh fruit, values that are relatively low compared to the prices that this product reaches in the markets of the United States of America (18.51 dollars per kg of fresh fruit) and Europeans (14.27 euros per kg of fresh fruit) (Arias et al., 2015), even in Brazil, with R $35.00 ($162.40 MXN) (Lima et al., 2009).
On the other hand, of the total operating costs, the fixed costs represented 26.81% and the variables 73.19% (Table 2), the latter decrease in the second year, because from the second year of production the plant is pruned to obtain regrowth plants, taking advantage of the fact that cape gooseberry is a perennial shrub with indeterminate growth (Fisher et al., 2014), which favors capital savings in the purchase of seeds, sowing and transplantation in 71.46%, prolonging the crop life for more than 20 years when grown in a greenhouse (Muniz et al., 2014).
Table 2 Projection of expenses and income for five years.
| Years | Income ($) | Costs ($) | ||
| of operation | fixed | variables | ||
| 1 | 1 579 500.00 | 857 835.00 | 230 000.00 | 627 835.00 |
| 2 | 1 579 500.00 | 747 835.00 | 230 000.00 | 517 835.00 |
| 3 | 1 579 500.00 | 747 835.00 | 230 000.00 | 517 835.00 |
| 4 | 1 579 500.00 | 747 835.00 | 230 000.00 | 517 835.00 |
| 5 | 1 579 500.00 | 747 835.00 | 230 000.00 | 517 835.00 |
Prepared with data from the production of the greenhouse cape gooseberry crop in Mexico.
In the same context, the production costs calculated in this study, they exceeded by 97.37% the production costs reported by Lima et al. (2009) for the establishment of 1 ha of cape gooseberry in the field, in Brazil, with an investment of R 18 114.00 $ ha-1 ($98 217.16 MXN). While in Colombia the average production costs amount to 17 848.975 $ ha-1 ($99 954.26 MXN) (Coral et al., 2012).
For his part, Altamirano (2010) mentioned that in Ecuador the production costs for this crop ranged from 3 000 to 7 000 dollars ha-1, these costs are low with respect to those estimated in the present investigation, due to the cost of the greenhouse, irrigation system and drilling of the well for irrigation water. However, the investment obtained is offset by the production volume and the fresh fruit yield per unit area, which yielded an estimated yield of 52 650 Mg ha-1 (Sabino et al., 2018), exceeding that reported in field (14.5 Mg ha-1) in Colombia (Fisher et al., 2014), the main world producer, this allows to have a favorable equilibrium point, which indicates that by selling 51.48% of the production during the first year and 42.76% in subsequent years of production projection, the producer recovers his initial investment in four years.
In this regard, Blendlin et al. (2015) mentioned that the establishment of the cultivation of cape gooseberry is highly profitable, due to the prices that this fruit can reach, in such a way that with the sales of the first year the investment costs are covered, of which, the costs of operation and maintenance of the crop are the activities that require the most capital. Likewise, it is evident that production costs vary according to the level of technology adopted and the availability of different resources (natural, economic and human) for the establishment of this crop (Lima et al., 2009).
Economic evaluation
When proposing the scenarios with the minimum ($30.00 MXN) and maximum ($120.00 MXN) sale price and with the changes in production costs due to inflation (Banco de Mexico, 2019), it was observed that as the price increased, the NPV, the IRR and the B/C ratio also increased (Table 3).
Table 3 Five-year financial indicators under different scenarios of price and production costs per kg of fresh gooseberry fruit.
| Projections | Production | IRR | NPV | Price | B/C |
| (Mg ha-1) | (%) | $ | |||
| Scenario with minimum price | 52 650 | 17.24 | 633 071.00 | 30.00 | 1.1 |
| Scenario with maximum price | 52 650 | 88.9 | 8 646 919.64 | 120.00 | 1.61 |
| Production cost increase (4.93%) | 52 650 | 16.1 | 495 327.00 | 30.00 | 1.08 |
Elaboration with crop production data, surveys and inflation (3.59%) for the year 2019.
The results obtained with the minimum price scenario ($30.00 MXN) were lower than that mentioned by Bendlin et al. (2015) for the cultivation of cape gooseberry, who obtained a NPV of R$484 556 ($2 627 344.00 MXN), the IRR of 96.89% and the B/C ratio of 1.68, because these authors made the 10-year projection. However, despite the difference in time, both studies were cost-effective.
Additionally, when considering the higher sale price and comparing it with the minimum price scenario, an increase was observed in all financial indicators. In the same sense, the increase in production costs reflected a decrease in financial indicators with respect to the minimum price scenario. This trend is similar to what happens with these indicators under different scenarios of price or production costs reported in the cultivation of cape gooseberry, in the field, in the country of Chile (Ministerio de Agricultura de Chile, 2010).
Even with price increases and production costs, the project is viable, which confirms the high economic potential of the cape gooseberry cultivation with a marginal profit of up to 95% (Barirega, 2014), influenced by the great adaptability of this crop under very adverse environmental conditions, so it is to be expected that in regions of Mexico with favorable temperature and humidity conditions, high yields and fruit quality can be achieved (Mora et al., 2006), coupled with the fact that its production in the same place can last for several years and even more in protected agriculture conditions (Muniz et al., 2014).
The foregoing confirms that cape gooseberry presents economic indicators similar to those of other exotic crops in Mexico such as strawberry (Fragaria sativa), whose macro-tunnel cultivation presented an IRR of 18%, initial investment of $325 290.00 MXN and the cost benefit ratio of 1.6 (Olmos-Oropeza et al., 2015). While the open pit cranberry cultivation has shown better financial indicators, with NPV of 134 321 dollars ($2 686 420.00 MXN), IRR of 25.54% and an initial investment of 47 902 dollars ha-1 ($958 040.00 MXN) (Benavides, 2015).
Despite the above, the cultivation of cape gooseberry could be more competitive because it adapts to any climate for its production and on the other hand, when the price in the Mexican markets increases, even more so when the price is $120.00 MXN per kg of fresh fruit; however, its sale will depend on the places where it is marketed and the consumer’s demands (Almanza and Fischer, 1993).
Profile of respondents
On the other hand, the age of the respondents ranged from 21 to 78 years old and with various occupations (Figure 3A), whether in the private or public sector, own business and housewives; with various levels of study (Figure 3B), highlighting that the majority have undergraduate studies (58.3%) and few with primary (0.7%).

Figure 3 Economic activity/occupation (A) and level of studies (B) of the respondents and possible consumers of cape gooseberry in Mexico City.
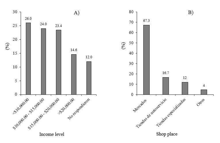
In addition to the above, income ranged from $5 000.00 to more than $20 000.00 MXN per month, highlighting that 26% had an income between $5 000.00 and $10 000.00 MXN (Figure 4A). Which shows that in this studied area the purchasing power is moderate, considering that the minimum wage at the date of this study was $88.36 ($2 650.00 per month), this affects the majority of consumers (67.3%) making their shopping in markets or flea markets near their homes (Figure 4B), places where 100% of those surveyed mentioned buying fresh seasonal fruits, highlighting bananas, apples, oranges, papaya, melons, mangoes and grapes and berries, of the latter the most consumed in order of importance were strawberry, cranberry, blackberry and raspberry.

Figure 4 Monthly income (A) and place of purchase (B) of the respondents and possible consumers of gooseberry fruit in Mexico City.
The main reasons the aforementioned fruits are consumed were availability, taste, health, and price. 87% of those surveyed were willing to purchase the cape gooseberry fruit, at a price that ranged from $30.00 to $120.00 MXN, per kg of fresh fruit with calyx, which shows that in Mexico there is a potential demand for this fruit, as has been observed when exploring other markets as reported by Barirega (2014), in a study of the introduction of cape gooseberry in Uganda, where 67% of respondents were interested in the consumption of cape gooseberry, despite being a unknown fruit.
Additionally, it was identified in this study that the marketing channel for the cape gooseberry fruit is the distribution among the 1 420 local markets or tianguis of Mexico City (Secretaría de Desarrollo Economico del Distrito Federal, 2015) and on the other hand , through wholesalers and retailers of commercial stores in the same city, where samples of the product are offered for tasting to customers, with the idea of highlighting the healthy properties due to their content of vitamins and medicinal benefits (Coral et al., 2012).
Similar to what happens with other exotic fruits, the introduction of the gooseberry fruit has to do with the commercial strategy that is decided to implement, if it is not associated from the beginning to a defined commercial chain, the sales opportunity is conditioned to the market fluctuations (Ministerio de Agricultura de Chile, 2010).
In addition to this, the possibility of using the fruit as a raw material for the bakery, confectionery, frozen food, packaging, international and specialty food restaurant industries and in the pharmacological industry can be considered (Ramadan, 2011; Muniz et al., 2014).
Tasting tests
On the other hand, the tasting tests of the fruit showed that 18% considered it a sweet fruit, 41% sweet and acid, 18% acid and the rest (23%) tasteless. Regarding the smell of the fruit, 35.2% considered it acceptable and 64.8% considered it a pleasant-smelling fruit. In addition, 71% of the interviewees answered that the fruit of the cape gooseberry has a pleasant and striking color.
These characteristics were important factors for 76% of the respondents to be willing to consume it and 88% of the respondents to recommend the consumption of the cape gooseberry fruit, because the appearance and freshness of the fruit is a crucial factor in the purchase decision (Barbosa-Arias, 2018), which is also linked to the presentation of the product, whether the fruit with calyx or without calyx, the latter in addition to providing conservation, gives it exclusivity, increasing consumer interest (Almanza and Fischer, 1993), this interest may increase as information related to the nutritional and medicinal value of this fruit is available, as well as knowledge about its processing for other forms of consumption, which could increase the promotion of its commercialization (Barbosa-Arias, 2018).
Demand for cape gooseberry fruit
The statistical analysis of the demand for cape gooseberry fruit in the present investigation agrees with the economic theory regarding the signs of the variables studied (Table 4). Based on the t statistic, the variable that most influenced the demand for cape gooseberry fruit in the markets of Mexico City was the price per kg of fresh fruit, which indicates that for each additional unit in the price of cape gooseberry, demand decreases 17%, ceteris paribus.
Table 4 Estimators of the regression model parameters for the demand for cape gooseberry fruit.
| Estimators | Coefficients | Standard error | Statistical t |
| Interception | 1.4534 | 0.0957 | 15.1873 |
| Cape gooseberry price | -0.1794 | 0.0147 | -12.1704 |
| Occupation | -0.0389 | 0.0168 | -2.31 |
| Education | 0.0018 | 0.0259 | 0.0713 |
| Income | 0.0022 | 0.0163 | 0.1402 |
| Shop place | -0.0451 | 0.0283 | -1.5918 |
However, it was also observed that as the educational level of the respondents increased, the acceptance of the cape gooseberry fruit, ceteris paribus, also increased. Likewise, even when the t statistic showed a weak relationship (0.07), there was a significant impact on demand, having, for each additional unit in the level of studies of the people surveyed, the demand increased 0.18%, ceteris paribus.
This is due to the fact that, in recent years the trend regarding the consumption of fresh fruits and functional foods has increased, this trend has been observed with the fruit of the cape gooseberry, which is becoming an important crop due to its adaptability and as functional food, thus representing an emerging market of growing economic importance (Ramadan, 2011).
However, it is evident that at the beginning the consumer will show resistance to a new product, but, as consumers are informed about the product, they will include it in their consumption habits (Brambila, 2011), coupled with the fact that the introduction of new products depends on the orientation of the market (Lukas and Fererell, 2000). Despite this, strategies should be explored so that the consumer identifies an additional valuation in the product, which motivates their demand (Coral et al., 2012).
It was also had that the income level of the respondents conditioned the decision to purchase the fruit, in such a way that, for each additional unit in income, the demand for cape gooseberry increased 0.22%, ceteris paribus, reaffirming that income is decisive in the consumption of a new product (Subin et al., 2003), due to the fact that high prices reduce their consumption to a market niche in which only people with greater purchasing power are included (Muniz et al., 2011).
In this sense, the potential consumers identified in this study are people who have an interest in nutraceutical foods and a curiosity for exotic and unknown products. In addition, they have the purchasing power to buy this type of fruit, considered as a luxury good and with greater demand in foreign markets with high purchasing power (Rodríguez et al., 2013).
However, for the introduction of this fruit in Mexico, a marketing plan is necessary to make it known and implement the desire to purchase in potential consumers (Díaz and del Valle, 2016), based on marketing programs that include tastings, recipes and promotion of scientific research on the benefits and their production process (Núñez and Monsalve, 2012).
In addition, the sale of this product at a minimum price ($30.00 MXN) at harvest peaks would make it more accessible to a wider range of consumers (Muniz et al., 2011). According to the regression model, an adjusted determination coefficient (R2) of 56% was obtained, which meant that the behavior of demand was described with the behavior of the independent variables.
Despite the fact that R2 is low, in dichotomous response models, R2 has limited value, since in most practical applications its value is between 20% and 60% (Gujarati and Porter, 2010).
Conclusions
Although the fruit of the cape gooseberry is unknown in Mexico, 76% of those surveyed in the markets of Mexico City are willing to buy this fruit and 88% recommend its consumption, although the price is the determining factor in the purchase decision of this exotic fruit. The economic indicators are favorable for the establishment and production of the hydroponic and greenhouse cultivation of cape gooseberry in Mexico. So, the cape gooseberry represents a new alternative for the diversification of profitable crop production in Mexico.
Literatura citada
Aguilar, C, C.; Juárez, L. P.; Campos, A. I. H.; Alia, T. I.; Sandoval, V. M. y López, M. V. 2018. Análisis de crecimiento y rendimiento de uchuva (Physalis peruviana L.) cultivada en hidroponía e invernadero. Rev. Chapingo Ser. Hortic. 24(3):191-202. [ Links ]
Altamirano, C. M. A. 2010. Estudio de la cadena productiva de la uvilla (Physalis peruviana L.) en la Sierra Norte de Ecuador. Proyecto de Grado. Universidad San Francisco de Quito, Ecuador. 107 p. [ Links ]
Almanza, P. J. y Fischer, G. 1993. Nuevas tecnologías en el cultivo de la uchuva. AGRO-Desarrollo. 4(1-2):292-304. [ Links ]
Angulo, R. 2005. Crecimiento, desarrollo y producción de la uchuva en condiciones de invernadero y campo abierto. In: Fischer, G.; Miranda, D.; Piedrahita, W. y Romero, J. (Eds.). Avances del cultivo, postcosecha y exportación de la uchuva (Physalis peruviana L.) en Colombia. Universidad Nacional de Colombia, Bogotá. 11-128 pp. [ Links ]
Antúnez, O. O. M.; Sandoval, V. M; Alcántar, G. G. y Solís, M. M. 2014. Aplicación de amonio y nitrato en plantas de Physalis peruviana L. Agrociencia. 48(8):805-817. [ Links ]
Antúnez, O. O. M.; Sandoval, V. M.; Alcántar, G. G.; Alvarado, L. J. y Sabino, L. J. E. 2016. Floración y fructificación de Physalis peruviana L. por la aplicación de amonio y nitrato, edad y vigor de la planta. Agrociencia . 50 (5):603-615. [ Links ]
Antúnez, O. O. M.; Cruz, I. S.; Sandoval, V. M.; Santacruz, V. A.; Mendoza, O. L.; De la Cruz, T. E. y Peña L. A. 2017. Variabilidad inducida en caracteres fisiológicos de Physalis peruviana L. mediante rayos gamma 60Co aplicados a la semilla. Rev. Fitotec. Mex. 40(2):211-218. [ Links ]
Arias, V. F. J.; Gómez, M. L. M.; Holguín, E. S. y Rendón, S. S. 2015. Inteligencia de mercados para la cadena de uchuva colombiana (Physalis peruviana L). Rev. OIDLES. 9(18):1-12. http://www.eumed.net/rev/oidles/18/uchuva.html. [ Links ]
Baca, U. G. 2010. Evaluación de proyectos de inversión. Mc Graw Hill. México, DF. 179-184 pp. [ Links ]
Banco de México. 2019.Banco de México. www.banxico.org.mx. [ Links ]
Barboza-Arias, L. 2018. Potencial de los circuitos cortos como estrategia para la construcción de mercados locales: el caso de la uchuva en Costa Rica. Rev. Pol. Econ. Des. Sostenib. 3(2):1-19. [ Links ]
Barirega, A. 2014. Potential for value chain improvement and commercialization of Cape gooseberry (Physalis peruviana L.) for livelihood improvement in Uganda. Ethnobotany Res. Appl. 12(1):131-140. [ Links ]
Benavides, G. L. 2015. Estudio de prefactibilidad para la producción y comercialización de arándanos (Vaccinium corymbosum L.) en condiciones de Valles Andinos. Sierra exportadora. Perú. 130-131 pp. [ Links ]
Blendlin, L.; Sendff, C. O.; Kudlawicz-Franco, C.; Souza, A.; Da-Veiga, C. P. and Duclos, L. C. 2015. Agribusiness management of Physalis peruviana L. fruit in Brazil. Bulgarian J. Agric. Sci. 22(5):691-704. [ Links ]
Brambila, P. J. J. 2011. Bioeconomía instrumentos para su análisis económico. SAGARPA. Colegio de Postgraduados, Montecillo, Texcoco, Estado de México. 296 p. [ Links ]
Castañeda, S. C.; Sandoval, V. M.; Sánchez, M. A. L.; Alejo, S. G.; Jiménez, M. V. M; Aburto, G. C. A. y García, L. M. 2013. Respuesta de plántulas de uchuva (Physalis peruviana L.) a diferentes concentraciones de nitrato y amonio. Rev. Bio Cienc. 2(3):148-153. [ Links ]
Coral, T. L. G.; Torres, M. F. y Yepez, Ch. B. 2012. Estudio de mercado para la comercialización de uchuva (Physalis peruviana L.) en Nariño. Rev. Cienc. Agríc. 29(1):92-102. [ Links ]
Díaz, E. y Del Valle, C. 2016. Manual de economía del comportamiento. Comportamiento del consumidor. México, DF. Vol. II. 20 p. [ Links ]
Fischer, G.; Herrera, A. y Almanza, P. J. 2011. Cape gooseberry (Physalis peruviana L.). In: Postharvest biology and technology of tropical and subtropical fruits. Yahia, E. M. (Ed.) Volume 2. Acai to citrus. Woodhead Publishing, Cambridge, UK. 374-396 pp. [ Links ]
Fischer, G.; Almanza, M. P. J. y Miranda, D. 2014. Importancia y cultivo de la uchuva (Physalis peruviana L.). Rev. Bras. Frutic. Jaboticabal. 36(1):001-015. [ Links ]
Gastelum, O. D. A.; Sandoval, V. M.; Trejo, L. C. y Castro, B. R. 2013. Fuerza iónica de la solución nutritiva y densidad de plantación sobre la producción y calidad de frutos de Physalis peruviana L. Rev. Chapingo Ser. Hortic. 19(2):197-210. [ Links ]
Gujarati, D. y Porter, D. 2010. Econometría. Quinta Edición. Mc Graw Hill Interamericana. México, DF. 541-547 p. [ Links ]
Kretzschmar, A. A.; Muniz. J.; Rufato, L.; Silveira, F. N.; Pelizza, T. R.; Schlemper, C.; Garanhani, F. and Mendes, M. 2012. Different training systems for Physalis peruviana L. in Southerm Brazil. Acta Hortic. 926:525-532. [ Links ]
Lima, C. S. M.; Manica-Berto, R.; Silva, S. J. P.; Betemps, D. L. e Rufato, A. D. R. 2009. Custos de implantação e condução de pomar de Physalis na região sul do estado do Rio Grande do Sul. Rev. Ceres. 56(5):555-561. [ Links ]
López, G. F y Alarcón, O. M. A. 2018. Cambio generacional del consumo de frutas y verduras en México a través de un análisis de edad-periodo-cohorte 1994-2014. Población y Salud en Mesoamérica. 15(2):1-13. [ Links ]
Lukas, B. A. and Ferrell, O. C. 2000. The effect of market orientation on product innovation. J. Academy of Marketing Sci. 28(2):239-247. [ Links ]
Ministerio de Agricultura del Gobierno de Chile. 2010. Resultados y lecciones en cultivo de Goldenberry (Physalis peruviana L.) en la zona central de Chile. Proyecto de innovación en región de Maule. 56 p. [ Links ]
Mora, A. R.; Peña, L. A.; López, G. E.; Ayala, H. J. J. y Ponce, A. D. 2006. Agrofenología de Physalis peruviana L. en invernadero y fertirriego. Rev. Chapingo Ser. Hortic. 12(1):57-63. [ Links ]
Moreno-Miranda, C.; Pilamada, A.; Cerda-Mejía, L.; Cerda-Mejía, V. H.; Ortiz, J. and Rama, D. 2019. A Socioeconomic and productive characterization of the value chain of Goldenberry (Physalis peruviana) in Ecuador. Agric. Sci. 9:426-436. [ Links ]
Morales, V. P. (2011). Guía para construir cuestionarios y escalas de actitudes. Universidad Pontificia Comillas, Madrid. 46 p. http://blog.uca.edu.ni/kurbina/files/2011/06/ guiaparaconstruirescalasdeactitudes.pdf. [ Links ]
Muniz, J.; Kretzschmar, A. A.; Rufato, L.; Pelizza, T. T.; Marchim, T.; Duarte, E. E; Lima, A. P. F. e Garanhani, F. 2011. Sistemas de condução para o cultivo de Physalis no planalto catarinense. Rev. Bras. Frutic. 33(3):830-838. [ Links ]
Muniz, J.; Kretzschmar, A. A.; Rufato, L.; Pelizza, T. R.; Rufato, A. D. R. and Macedo, T. A. D. 2014. General aspects of physalis cultivation. Ciência Rural, Santa María. 44(6):964-970. [ Links ]
Núñez, B. D. A. y Monsalve, M. J. N. 2012. Modelo de costeo para la producción y comercialización de uchuva. In Vestigium Ire. 5(1):47-58. [ Links ]
Olmos-Oropeza, G.; Martínez-Montoya, J. F.; Gómez-González, A.; Aquino-Pérez, A.; Palacio-Núñez, J.; Bravo-Vinaja, A. y Ruiz-Vera, V. M. 2015. Potencial productivo y rentabilidad del cultivo de fresa (Fragaria fragaria x ananassa (Weston Duchesce) en Salinas, San Luis Potosí, México. Agroproductividad. 8(4):68-72. [ Links ]
Ramadan, M. F. 2011. Bioactive phytochemicals, nutritional value, and functional properties of Cape gooseberry (Physalis peruviana): An overview. Food Res. Inter. 44(7):1830-1836. [ Links ]
Rodrigues, F. A.; Penoni, E. S.; Soares, J. D.; Silva, R. A. L. e Pasqual, M. 2013. Caracterização fenológica e produtiva de Physalis peruviana cultivada em casa de Vegetação. Bioscience J. 29(6):1771-1777. [ Links ]
Sabino, L. J. E.; Sandoval, V. M.; Alcántar, G. G.; Ortiz S. C.; Vargas, H. M. y Colinas, L. T. 2016. Fenología de Physalis peruviana L. cultivada con base en tiempo térmico. Rev. Mex. Cienc. Agríc. 17:3521-3528. [ Links ]
Sabino, L. J. E.; Sandoval, V. M.; Alcántar, G. G.; Ortiz, S. C.; Vargas, H. M. y Colinas, L. T. 2018. Fecha de transplante, boro, potasio y poda en la producción de frutos Physalis peruviana L. en hidropónía e invernadero. Agrociencia . 52(2):255-265. [ Links ]
Secretaria de Desarrollo Económico del Distrito Federal. 2015. Secretaria de Desarrollo Económico del Distrito Federal. México. https://www.sedeco.cdmx.gob.mx. [ Links ]
SIAP. 2018. Servicio de Información Agroalimentaria y Pesquera. https://www.gob.mx/siap. [ Links ]
Singh, D. B.; Pal, A. A.; Lal, S.; Ahmed, N. and Mirza, A. 2012. Growth and developmental changes of cape gooseberry (Physalis peruviana L.) fruits. The Assian J. Hortic. 7(2):374-378. [ Links ]
Subin, I.; Barry, L. B. and Charlotte, H. M. 2003. An emperical study of innate consumer innovativeness, personal characteristics, and new-product adoption behavior. J. Academy of Marketing Sci. 31(1):61-73. [ Links ]
Tomek, W. G and Kaiser, H. M. 2014. Agricultural product prices. Ithaca and London. Cornell University Press. 394 p. [ Links ]
Received: August 01, 2020; Accepted: October 01, 2020










texto en 



