Servicios Personalizados
Revista
Articulo
Indicadores
-
Citado por SciELO -
Accesos
Links relacionados
-
Similares en
SciELO
Compartir
Revista mexicana de ciencias agrícolas
versión impresa ISSN 2007-0934
Rev. Mex. Cienc. Agríc vol.4 no.7 Texcoco sep./nov. 2013
Nota de investigación
Análisis dinámico de redes en la difusión de innovaciones agrícolas*
Dynamic analysis of networks in the diffusion of agricultural innovations
Julio Díaz-José1, Roberto Rendón-Medel1§, Jorge Aguilar-Ávila1 y Manrrubio Muñoz-Rodríguez1
1 Centro de Investigaciones Económicas, Sociales y Tecnológicas de la Agroindustria y la Agricultura Mundial (CIESTAAM). Universidad Autónoma Chapingo. Carretera México-Texcoco, km. 38.5, Chapingo, México. C. P. 56230. Tel: +52(55)5133-110. §Autor para correspondencia: rendon.roberto@ciestaam.edu.mx.
* Recibido: noviembre de 2012
Aceptado: abril de 2013
Resumen
Este estudio analizó la evolución de una red de innovación entre productores de hule natural durante tres periodos de observación (dos olas o tres años), y evaluó cómo los productores reaccionan a diferentes innovaciones en un momento dado. Las prácticas de innovación fueron agrupadas en tres actividades: control de plagas y enfermedades, establecimiento y manejo de plantaciones, y manejo de cosecha y poscosecha. La representación de la red y su evolución, fueron analizadas a través de un "modelo estocástico basado en el actor para redes dinámicas", usando el programa SIENA (Rsiena) para el análisis de los datos. Los resultados obtenidos demuestran que los productores buscaron innovaciones con resultados en el corto plazo. Las innovaciones de cosecha y poscosecha fueron mejor adoptadas siguiendo una tendencia de búsqueda de información al interior de la red.
Palabras clave: análisis de redes sociales, difusión de innovaciones, SIENA.
Abstract
This study analyzed the evolution of an innovation network between natural rubber producers for three observation periods (two waves or three years), and evaluated how producers react to different innovations in a given time. Innovation practices were grouped into three activities: pest and disease control, establishment and management of plantations, and harvesting and postharvest handling. The representation of the network and its evolution were analyzed through a "stochastic model based on the actor for dynamic networks," using the SIENA program (Rsiena) for data analysis. The results show that producers sought innovations in the short-term results. The harvest and postharvest innovations were adopted following a trend of information search within the network.
Keywords: social network analysis, diffusion of innovations, SIENA.
Introducción
En México, la producción de hule natural se realiza en los estados de Veracruz, Oaxaca, Tabasco y Chiapas, y a pesar de una baja participación en el mercado internacional, esta actividad involucra aproximadamente a 7 000 productores que cultivan cerca de 37 094 hectáreas. Con el objetivo de mejorar los rendimientos en la producción de hule natural, se implementó un proyecto de gestión de la innovación hacia productores, utilizando el modelo de agencias de gestión de la innovación (MAGI), que promovió la difusión de paquetes de innovaciones relacionados con mejores prácticas de sanidad (SAN), manejo de plantaciones (MC) y cosecha (COS). SAN= prácticas fitosanitaras como control de plagas y enfermedades; MC= manejo de cultivo como fertilización, guardarrayas, y COS= mejores prácticas de cosecha y poscosecha como limpieza de tableros y calidad de latex.
Se considera que para abordar el análisis y diseño de las políticas, es necesario estudiar los factores que llevan a los productores agropecuarios a reaccionar de manera diferente ante los cambios en la forma de producir, en un entorno en el que se considere la complejidad de la estructura bajo la cual se dan los procesos de innovación. Estudiar el proceso de innovación con un enfoque de "sistema de innovación", ha cobrado importancia en los últimos años debido a que considera las interacciones que se dan entre las personas, organizaciones e instituciones en la producción, difusión y uso del conocimiento.
Ahora bien, debido a la complejidad de los procesos y sistemas de innovación, es necesario utilizar métodos de análisis que contribuyan a entender mejor su comportamiento. Spielman et al. (2011), sugieren que se pueden utilizar las historias de innovación, la comparación entre países, la teoría de juegos y el análisis de redes sociales. Éste último, es una técnica matemática para analizar relaciones entre actores y los patrones e implicaciones de esas relaciones dentro de una estructura social (Wasserman y Faust, 1994).
En años recientes, las redes se han estudiado como un elemento importante en los patrones de difusión y adopción de innovaciones utilizando métodos de análisis de redes sociales (Valente, 1996; Nyblom et al, 2003; Wu y Pretty, 2004; Gamboa et al, 2010). Una red social se compone de nodos y lazos; para este estudio, los nodos representan actores (los que integran la red de innovación) y los lazos representan relaciones (sociales, técnicas y comerciales).
Sin embargo, tanto las redes como la innovación no son estáticas, son más bien dinámicas, por lo que para estudiarlas se debe tener presente el cambio en el tiempo, como un elemento importante para entender el proceso de innovación. Una red dinámica consiste en relaciones de actores que cambian a través del tiempo (Snijders et al, 2010) y a diferencia del análisis estático, el estudio de relaciones cambiantes se vuelve más complejo. Existen diversos métodos estadísticos y propuestas para el análisis longitudinal de una red (van Duijin et al, 1999; Snijders, 2005).
El presente estudio analizó los patrones de aprendizaje y colaboración en un proceso de difusión de innovación, y en el cual consideramos que los agricultores mantienen, establecen o suprimen relaciones para mejorar su situación actual. Éste estudio es relevante por la creciente adopción en México de modelos de extensión agrícola con un enfoque de red, lo cual representa la necesidad de explorar métodos de análisis con rigor metodológico orientados a respaldar decisiones de política pública relacionadas con la difusión de innovaciones agrícolas.
El estudio se realizó con 78 productores de hule natural y 16 instituciones (asesores extensionistas, organización de productores, agroindustria, proveedores de insumos, proveedor de servicios financieros e institutos de investigación), en el municipio de Tezonapa en Veracruz, México. La información corresponde a tres momentos de observación (dos periodos); en total sumaron 94 nodos o actores que fueron considerados como una red de innovación. Se aplicó un cuestionario a los productores los años de 2009, 2010 y 2011.
La estructura del cuestionario se dividió en tres secciones: la primera sección colectó información relacionada con atributos generales de los productores como género, edad, escolaridad y otras actividades; la segunda sección estuvo relacionada con la adopción de innovaciones, con la que se midió el índice de adopción de innovaciones para los tres paquetes de innovación (SAN, MC, COS); la tercera sección -se le preguntó a los productores de quién aprenden, con quien comparten regularmente temas relacionados con el cultivo de hule, a quién le compran los insumos para la producción y a quién le vende su producción-. Se estructuró para mapear la red de relaciones sociales, técnicas y comerciales de los productores. La información colectada en campo refirió relaciones de 78 productores en la red de innovación, con estos datos se construyeron tres modelos (modelo 1 SAN, modelo 2 MC, modelo 3 COS), para determinar el comportamiento de los productores con relación a las innovaciones.
Para el análisis de la red de productores se estimó el número de prácticas que éstos realizaron, y con base en ello, se construyó un índice de valores de adopción para cada paquete de innovaciones -SAN, MC y COS-, para lo cual se construyeron intervalos sobre el porcentaje de adopción de innovaciones que realizan los productores: de 0 a 33%= 1, de 34 a 66%= 2 y de 67 a 100%= 3. Éste valor (1 a 3) fue la covariable cambiante con un rango de 1 a 3 de adopción de la innovación por parte de los productores.
Se construyeron tres "modelos estocásticos basados en el actor" -modelo SAN, modelo MC y modelo COS- de acuerdo a (Snijders, 2005; Ripley et al, 2010; Snijders et al, 2010), que permitieron realizar un análisis dinámico para definir la estructura de las redes y los cambios a través del tiempo, donde los atributos de los actores jugaron un papel importante en el análisis longitudinal de la red dinámica. Para el análisis de los modelos se utilizó el método SIENA (Simulation Investigation for Empirical Network Analysis) y sus respectivos test mediante el Método Incondicional por Momentos (Snijders et al, 2007) con el programa SIENA versión 4 - Rsiena- que permitió verificar la bondad de ajuste de los modelos obtenidos y la verificación de signos de colinealidad.
Con la información longitudinal (tres matrices n x n), SIENA calculó parámetros (βK) para los efectos de red y los efectos de covariable de actor, utilizando probabilidades en la formación y terminación de relaciones. En la definición de los modelos de este estudio se incluyeron los siguientes efectos de red y de covariable: densidad, reciprocidad, tripletes transitivos, popularidad en grados de entrada, actividad en grados de entrada, actividad en grados de salida, asortatividad grado de entrada-salida, covariable alter, covariable ego, covariable similitud. Para una definición teórica ver (Ripley et al, 2010).
Los resultados muestran que el efecto out degree es negativo y significativo en los tres modelos presentados (-4.31, -4.43, -4.34). Ebbers y Wijnberg (2010), mencionan que el hecho que el parámetro sea negativo, indica que las relaciones arbitrarias son costosas, y por lo tanto, es poco probable que los actores de la red formen lazos con otros actores al azar (Cuadro 1).
El valor positivo y significativo del efecto tripletes transitivos sugiere la existencia de un cierre de la red y representa un aumento en las relaciones que tienen los productores entre sí, y por tanto un mayor flujo de información en el proceso de difusión de las innovaciones. El efecto popularidad en grados de entrada (0.23) se interpreta como la tendencia de productores con altos grados de entrada, para atraer más relaciones hacia ellos (el éxito que genera éxito), este efecto aplica para muchos fenómenos de las ciencias sociales y puede estar determinado por el tamaño y recursos que tiene un productor dentro de la red, el reconocimiento que tienen de él otros productores, o los resultados obtenidos en la aplicación de las innovaciones.
El efecto actividad en grados de salida, positivo y significativo, refleja una tendencia de productores con altos grados (relaciones) de salida para enviar relaciones de salida adicionales, lo que implica que son buscadores de información, o intercambiaron información con más productores. Si los nodos de una red que tienen muchas conexiones (alto-grado) tienden a ser conectados por otros nodos con muchas conexiones (alto-grado), se presenta el fenómeno de asortatividad; por otro lado, si nodos con altos grados conectan a nodos con bajos grados entonces se presenta el fenómeno contrario (disortatividad). Newman (2002) menciona que las redes sociales tienden a ser asortativas, y las redes tecnológicas y biológicas disortativas. La asortatividad es un parámetro que mide la tendencia de unión entre los nodos de una red, el efecto de asortatividad- grados entrada-salidaA (1/2) refleja la tendencia de actores con altos grados de relaciones de entrada, a preferir ser relacionados con otros actores con altos grados de relaciones de salida. El valor negativo (-1.34) obtenido en este efecto, señala que los productores que concentran las relaciones de entrada, no se están relacionando con los productores que concentran las relaciones de salida.
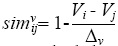
Ahora bien, cuando una variable V (el valor del nivel de innovación donde 1 es bajo, 2 es medio y 3 alto) está presente en varios efectos dentro de un modelo, entonces estos efectos se pueden entender mejor cuando se toman en cuenta de forma simultánea (Snijders y Ruth, 2010) .A partir del Cuadro 1 y de las ecuaciones f, g, h) para ego, alter y similitud, se pueden obtener los parámetros de contribución Ye'a's, mediante la Ecuación 1 (Snijders 2005).

Donde:
con Δv = max|Vi - Vj| cercano al rango observado de la covariable V para los actores i y j. Por tanto, los resultados se pueden sustituir en la Ecuación 2.

Donde: βego, βalter, y βsim,, son los parámetros estimados obtenidos en los modelos 1 a 3 en el Cuadro 3;
los valores que puede tomar el actor (1 a 3 que son los niveles de innovación de SAN, MC y COS); Vj= los valores que puede tomar el actor j (también 1 a 3);
media centrada de la variable en los modelos (1. 449 en SAN, 1.705 en MC y 1.199 de COS). La media de todas las puntuaciones de similitud - SIENA calcula los valores centrados para sustituirse en la fórmula
para cada modelo fue de (0.5042 para SAN, 0.6732 para MC y para 0.757 COS).
Utilizando los datos de la salida de SIENA en el modelo SAN, se puede observar que la variable cambiante de innovación asume valores de 1 a 3, con una media centrada
1.449, y media de la variable similitud
0.5042, los valores de los parámetros son, βego= -2.29, βalter= 0.54, βsmililtud= 0.74. Sustituyendo los resultados en la Ecuación 2, se tiene lo siguiente:

Siguiendo el mismo procedimiento, se construyen las contribuciones para los tres modelos de innovación. En el Cuadro 2 se presentan los valores simultáneos para los efectos de ego (filas de la matriz), alter (columnas de la matriz) y similitud (diagonal de la matriz). Las matrices se componen de variables con valores de 1 a 3, que representan el valor de adopción de innovaciones que puede tener un productor. El patrón de relacionamientos en las matrices indica que para los tres modelos, los productores con bajos niveles de adopción de innovación tienden a interactuar con productores que tienen mayores niveles de adopción de innovación, ya que los valores más altos de cada fila de la matriz se encuentran en la columna número 3.
En el modelo 3 (COS), el patrón de relacionamientos es similar a los otros dos, en el sentido que los productores con niveles bajos de adopción de innovación buscan relacionarse con productores que tienen niveles mayores, pero los valores de la diagonal de la matriz (-0.18, 0.2 y 0.58) indican que entre similares la relación es menor, pero creciente cuando aumenta el nivel de adopción de innovaciones.
En el caso de los paquetes de innovación (SAN y MC), se trata de innovaciones con mayor costo para el productor pero que hacen sostenible al sistema de producción. Para el caso de SAN, se atienden y controlan plagas y enfermedades que permiten mantener la producción de latex, y en el caso de MC, son prácticas con alto costo para el productor y cuyos resultados son a largo plazo, pero que definen la sostenibilidad del sistema de producción.
Conclusiones
Desde el punto de vista metodológico, el análisis longitudinal permite identificar cómo evolucionan las relaciones de aprendizaje de los productores a través del tiempo, y cómo abordar mejor la dinámica de la innovación desde el punto de vista sistémico. Los resultados indican que en la difusión de innovaciones se deben considerar tres elementos básicos: 1) el tipo de innovación, en el cual el productor evalúa el monto de inversión (aversión al riesgo), el tiempo en que se demuestran los resultados o efectividad de una innovación, y la factibilidad para adecuar su sistema de producción vigente con respecto a nuevas tecnologías; 2) la estructura social en la que interactúa el productor, donde existe la propensión a buscar actores con mejores niveles de adopción de innovación como referencia; y 3) la estrategia para difundir innovaciones, en la cual se deben considerar "paquetes" de innovación atractivos y efectivos para los productores, además de la conformación de grupos que incluyan actores con diferentes niveles de innovación donde se fomente el aprendizaje.
Literatura citada
Ebbers, J. J. and Wijnberg, N. M. 2010. Wijnberg disentangling the effects of reputation and network position on the evolution of alliance networks. Strategic Organization. 8:255-275. [ Links ]
Gamboa, V. G.; Barkmann, J. and Marggraf, R. 2010. Social network effects on the adoption of agroforestry species: preliminary results of a study on differences on adoption patterns in Southern Ecuador. Procedía - Social and Behavioral Sciences. 4:71-82. [ Links ]
Newman, M. E. J. 2002. Assortative mixing in networks. Physical review letters. 89:208701. [ Links ]
Nyblom, J.; Borgatti, S.; Roslakka, J. and Salo, M. A. 2003. Statistical analysis of network data--an application to diffusion of innovation. Social Networks. 25:175-195. [ Links ]
Ripley, R. M.; Snijders, T.A. B and López, P. P. 2010. Manual for SIENA version 4.0. Oxford: University of Oxford. [ Links ]
Snijders, T. A. B. 2001. The statistical evaluation of social network dynamics. Sociological Methodology. 31:361-395. [ Links ]
Snijders, T. A. B. 2005. Models for longitudinal network data, in Carrington, J. P.; Scott, J. and Wasserman, S. (Eds.). Models and methods in social network analysis. New York: Cambridge University Press. 215-247 pp. [ Links ]
Snijders, T. A. B.; Steglich, C.E.G. and Michael, S. 2007. Modeling the co-evolution of networks and behavior. In: Montfort, K.v. Oud, H. and Satorra, A. (eds.). Longitudinal models in the behavioral and related sciences. New Jersey: Lawrence Erlbaum. 41-71 pp. [ Links ]
Snijders, T. A. B.; van de Bunt, G. G. and Steglich, C. E. G. 2010. dynamics. Social Networks. 32:44-60. [ Links ]
Spielman, D.; Davis, K.; Negash, M. and Ayele, G. 2011. Rural innovation systems and networks: findings from a study of Ethiopian smallholders. Agriculture and Human Values. 28:195-212. [ Links ]
Valente, T. W. 1996. Social network thresholds in the diffusion of innovations. Social Networks. 18:69-89. [ Links ]
van Duijn, M. A. J. J. van Busschbach, T. and Snijders, T. A. B. 1999. Multilevel analysis of personal networks as dependent variables. Social Networks. 21:187-210. [ Links ]
Wasserman, S. and Faust, K.1994. Social network analisys, methods and applications. Cambridge University Press. [ Links ]
Wu, B. and Pretty. J. 2004. Social connectedness in marginal rural China: the case of farmer innovation circles in Zhidan, north Shaanxi. Agriculture and Human Values. 21:81-92. [ Links ]



![Producción de guayaba [Psidium guajava (L.) Burm.] en el Estado de México, México](/img/es/prev.gif)









