SciELO - Scientific Electronic Library Online

 
vol.9 número18Dietas a base de forraje tradicional y nopal (Opuntia spp.) enriquecido con proteínas para alimentar cabrasEvaluación de la susceptibilidad a Macrophomina phaseolina (Tassi) Goid en diferentes variedades e híbridos comerciales de sorgo en Sinaloa, México índice de autoresíndice de materiabúsqueda de artículos
Home Pagelista alfabética de revistas  

Servicios Personalizados

Revista

Articulo

Indicadores

Links relacionados

  • No hay artículos similaresSimilares en SciELO

Compartir


Nova scientia

versión On-line ISSN 2007-0705

Nova scientia vol.9 no.18 León  2017

https://doi.org/10.21640/ns.v9i18.819 

Ciencias Naturales e Ingenierías

Propiedades antioxidantes de infusiones de neem (Azadirachta indica) encapsuladas con proteína de soya

Antioxidant properties of neem (Azdirachta indica) infusions encapsulated with soy protein

Abigail Reyes Munguíaa 

Antonio Reyes Martíneza 

Cristóbal Noé Aguilar Gonzálezb 

María Luisa Carrillo Inungaraya  * 

aUnidad Académica Multidisciplinaria Zona Huasteca de la Universidad Autónoma de San Luis Potosí. Ciudad Valles, San Luis Potosí, México.

bDepartamento de Investigación en Alimentos, Facultad de Ciencias Químicas, Universidad Autónoma de Coahuila. Saltillo, Coahuila, México.


Resumen

Introducción:

Las plantas contienen fitoquímicos con propiedades curativas, aunque no todas han sido comprobadas científicamente. El neem (Azadirachta indica) es una planta, de la cual se ha reportado que sus hojas tienen actividad antioxidante. El objetivo de este trabajo fue evaluar el contenido de polifenoles y la actividad antioxidante de infusiones de neem, así como determinar el tiempo óptimo de la infusión para conservar la actividad antioxidante de los compuestos activos en infusiones de neem fresco y seco usando material de pared para su encapsulación.

Método:

Para preparar infusiones de 0, 3, 5, 8, 10, 12 y 15 minutos se usaron hojas frescas y secas de neem. A las infusiones se les determinaron sólidos totales, pH, intensidad de color, contenido de polifenoles por el método de Folin-Ciocalteau y actividad antioxidante mediante el porcentaje de captación del radical estable 1,1 difenil-1-picril hidrazilo (DPPH). A las infusiones con mayor contenido de compuestos antioxidantes, se les añadieron 1.0, 1.5, 2.0, 2.5 y 3.0% de proteína de soya como material de pared y se almacenaron por 16 días. Cada tercer día se les evaluó el contenido de polifenoles, actividad antioxidante y porcentaje de inhibición.

Resultados:

La mayor liberación de compuestos activos a partir de las hojas secas de neem se obtuvo a los 8 minutos de infusión. Al usar hojas frescas para las infusiones el tiempo óptimo de éstas fue de 12 minutos, su porcentaje de inhibición fue de 41.09 %, y con las infusiones de hojas secas, al tiempo 0 y 3 se tuvieron 60.59% y 64.73% de inhibición respectivamente, y a los 15 minutos un 86.81 %. El contenido de compuestos fenólicos, actividad antioxidante y porcentaje de inhibición, fueron menores en las infusiones con material de pared en comparación con las infusiones en las que no se agregó material de pared.

Discusión o Conclusión:

Las infusiones de neem a base de hojas secas son una buena fuente de compuestos fenólicos. Así mismo, el empleo de materiales de pared como la proteína de soya se presenta como una alternativa para conservar los compuestos fenólicos presentes en el neem.

Palabras clave: Azadirachta indica; neem; compuestos fenólicos; actividad antioxidante; biopolímeros

Abstract

Introduction:

Plants contain phytochemicals with healing properties, although not scientifically proven. Neem (Azadirachta indica) is a plant, which has been reported to have antioxidant activity leaves. The aim of this study was to evaluate the polyphenol content and antioxidant activity of neem extracts and determine the optimal infusion time to preserve the antioxidant activity of the active compounds in infusions of fresh and dry wall material using neem for encapsulation.

Method:

Fresh and dried neem leaves were used to prepare infusions at 0, 3 , 5, 8 , 10, 12 and 15 minutes, which are determined ° Bx , pH , color intensity, content of polyphenols by method of Folin-Ciocalteu and antioxidant activity by the rate of uptake of the stable 1,1-diphenyl-1-picryl-hydrazyl (DPPH) radical. In the infusions higher content of antioxidant compounds were added 1.0, 1.5, 2.0, 2.5 and 3.0 % soy protein as wall material and stored for 16 days. Every third day they evaluated the polyphenol content, antioxidant activity and percentage inhibition.

Results:

The increased release of active compounds from neem dry leaves was obtained after 8 minutes of infusion. When using fresh leaves for the infusions, the optimal time was 12 minutes, their inhibition percentage was 41.09%, and with infusions of dry leaves, at time 0 and 3 were 60.59% and 64.73% inhibition respectively, and at 15 minutes 86.81%. The content of phenolic compounds, antioxidant activity and percent inhibition were lower in infusions with wall material compared to infusions in which no wall material was added.

Discussion or Conclusion:

Infusions from dried neem leaves are a good natural source of phenolic compounds. Likewise, the use of wall materials such as soy protein is presented as an alternative to preserve the phenolic compounds present in neem.

Keywords: Azadirachta indica; neem; phenolic compounds; antioxidant activity; biopolimers

Introducción

La práctica de emplear plantas con fines medicinales se lleva a cabo desde la antigüedad, por lo que los investigadores de la industria farmacéutica han considerado a las plantas como fuente de nuevos productos que incluyen: medicamentos, suplementos alimenticios, antioxidantes naturales y productos antibacterianos. El número de plantas medicinales en México asciende aproximadamente a 4,500 de especies de las cuales solo el 11% se ha estudiado químicamente, el 2.6% de forma biodirigida y sólo el 1.9% con estudios farmacológicos y toxicológicos (Kakuko et al., 2005). Además, las plantas, por su origen natural, son biodegradables y tienen menos impacto negativo sobre la salud humana y el ambiente. Si bien es conocido que las plantas contienen fitoquímicos con propiedades curativas, no se han probado científicamente todas las propiedades que se les atribuyen comercialmente. Por esta razón es importante realizar investigaciones cuyo rigor científico permita generar conocimiento acerca de sus propiedades.

Entre las plantas con potencial actividad biológica se encuentra el neem (Azadirachta indica), del que se ha reportado que sus hojas tienen actividad antioxidante y actividad antibacteriana sobre el crecimiento de algunos patógenos (SaiRam et al., 2000; Coventry y Allan, 2001). Chattopadhyay (2003) y Yanpallewar et al. (2003) demostraron que los extractos acuosos de hojas de neem protegieron contra el daño hepático inducido por el paracetamol en ratas. La actividad biológica del neem, se atribuye a la presencia de polifenoles en la planta, los cuales son metabolitos secundarios ampliamente distribuidos en el reino vegetal y su capacidad antioxidante se debe a la reactividad del grupo fenol (Kähkönen, Anu, y Marina, 2001; Robbins, 2003). Una vez que se comprueba la presencia de polifenoles en una planta ( Raid Al Akeel et al., 2017), es deseable protegerlos y cuidar que se conserve su actividad antioxidante. Esto se puede lograr mediante la encapsulación de los compuestos en algunos de los materiales de pared, que existen para este fin.

Para aprovechar el potencial antioxidante del neem, se sugiere consumirlo en forma de infusión, por lo que en este trabajo se plantearon como objetivos, evaluar el contenido de compuestos fenólicos y la actividad antioxidante de los extractos del neem, así como determinar el tiempo de infusión óptimo para conservar la actividad antioxidante de los compuestos activos en infusiones de neem fresco y seco usando material de pared para su encapsulación.

Materiales y métodos

Recolección de las hojas de neem

Las hojas de neem se recolectaron en diversos puntos de la localidad de Ciudad Valles, S.L.P., México. Durante el periodo de agosto de 2012 a abril de 2013.

Preparación de la muestra

Las hojas de neem se sometieron a un proceso de escaldado por un tiempo de 30 segundos a 90ºC (Reyes, Azúara, Beristain, Cruz y Vernon, 2009), después del escaldado, las hojas se secaron en una estufa de convección (marca Linderg/Blue modelo UT150, USA) a 55 ºC durante 48 horas.

Contenido de sólidos totales y de humedad

La determinación del contenido de sólidos totales y de humedad se realizó conforme a los métodos de la AOAC (2007). Se pesaron 10 g de hojas de neem en una balanza analítica (Adventures, USA) y se colocaron en estufa de vacío (Lindberg/Blue, modelo UT150, USA), a 55 °C, durante 48 horas, y cada hora se monitoreó el contenido de humedad, hasta que el peso se mantuvo constante por al menos 48 horas. Una vez que las muestras estuvieron a peso constante, se calcularon la humedad y el contenido de sólidos totales.

Preparación de infusiones

Las infusiones de neem, se prapararon agregando 5 g de hojas frescas y 1 g de hojas secas, cada una en 250 mL de agua destilada. A partir de las hojas frescas y secas y pulverizadas, se obtuvieron infusiones a 90 ºC a diferentes tiempos: 0, 3, 5, 8, 10, 12 y 15 minutos de permanencia en el agua. La infusión al tiempo 0 se preparó sumergiendo las muestras en el agua y sacándolas inmediatamente. Cada una de las infusiones se filtró con papel filtro Whatman Nº 2 y se dejaron enfriar a 25°C para determinar su actividad antioxidante y el contenido de compuestos fenólicos.

Determinación de la actividad antioxidante

La medición de la actividad antioxidante se midió por el porcentaje de inhibición del radical estable 1,1-difenil-2-picril-hidrazilo (DPPH•) de las infusiones de hojas de neem fresco y seco, se llevó a cabo siguiendo el método descrito por Brand-Williams, Cuvelier y Berset (1995): el radical DPPH, cuya solución en metanol presenta una coloración violeta y una absorbancia máxima a 515 nm, cuando reacciona con un antioxidante se reduce y su absorción desaparece. Para ello, una vez obtenidas las infusiones de neem fresco y seco a diferentes tiempos, se realizaron diluciones 1:10 con agua destilada.

Para determinar el porcentaje de inhibición de radicales libres se colocaron en una celdilla 3 mL de DPPH y se le agregaron 100 μL de la muestra, finalmente se midió la absorbancia inicial y final a una longitud de onda de 515 nm y se aplicó la Ecuación (1) de Reyes et al. (2009):

Ecuación 1.

% inhibición de radicales libres=Absorbancia inicial - Absorbancia final x 100Absorbancia inicial

Contenido de compuestos fenólicos

El contenido de compuestos fenólicos totales se determinó de acuerdo al método de Folin-Ciocalteau (Singleton , Orthofer y Lamuela-Raventos, 1999). A partir de las infusiones de hojas frescas y secas de neem obtenidas a diferentes tiempos, se realizaron diluciones en proporción 1:10 con agua desionizada, se tomó 1 mL de la dilución y se colocó en un tubo de ensayo, se le agregaron 5 mL de reactivo previamente diluido (1:10) de Folin-Ciocalteau, se dejó reposar 8 min y posteriormente se le añadieron 4 mL de solución de carbonato de sodio al 7.5% hasta obtener una mezcla homogénea. Los tubos se cubrieron con papel aluminio a fin de protegerlos de la luz y se incubaron durante 2 h a la temperatura ambiente. Finalmente se leyó la absorbancia de cada una de las muestras a 740 nm en un espectrofotómetro (Genesys 10uv, USA).

Para determinar el contenido de fenoles totales, el valor de absorbancia obtenido para cada una de las muestras evaluadas, se sustituyó en la ecuación de una curva estándar de ácido gálico (Skerget et al., 2005). El contenido de compuestos fenólicos se expresó como miligramos de equivalentes de ácido gálico por litro de extracto (mg EAG/L).

Determinación de pH

La determinación del pH se realizó en un potenciómetro (Denver Instrument, USA). Para ello, se emplearon diluciones en proporción 1:10 de las infusiones con agua destilada; ésto para mantener las mismas condiciones en las que se midió la actividad antioxidante.

Determinación de la intensidad de color

La intensidad de color es una medida de los pigmentos presentes en la muestra, y no de su actividad antioxidante. Ésta se midió en un espectrofotómetro (Genesys 10uv, USA) a una longitud de onda de 390 nm, de acuerdo a los reportado por (Reyes et al., 2009). Esta longitud de onda es aquella en la que el analito tiene su máxima absorción (Moreno-Pérez et al., 2006).

Evaluación de la actividad antioxidante de infusiones de neem con material de pared

Las infusiones, producto líquido que resulta de extraer las sustancias solubles de ciertas especies vegetales, son una de las formas más popularizadas para el consumo de plantas, por lo que resulta de interés establecer el tiempo de liberación de los compuestos bioactivos en solución acuosa. Para llevar a cabo esta medición, se prepararon infusiones con 5 g de hojas frescas de neem en 250 mL de agua destilada a 90 ºC durante 8 minutos, así como infusiones de hojas secas de neem colocando 1 g en 250 ml de agua destilada a 90 ºC y a un tiempo de 12 minutos. A cada tiempo de infusión se prepararon seis infusiones de neem, empleando concentraciones de proteína de soya de 1.0%, 1.5%, 2.0 %, 2.5% y 3.0%, (Fórmula 1 a 5) en cada una de ellas. Se utilizó como control una infusión de neem preparada a los mismos tiempos pero sin proteína de soya. Una vez preparadas las infusiones con y sin proteína de soya se colocaron en partes iguales en frascos color ambar, almacenados a temperatura ambiente, para su monitoreo diario, a estas muestras se les determinaron la actividad antioxidante, contenido de fenoles totales, pH, sólidos totales e intensidad óptica siguiendo la metodología anteriormente descrita. Estas mediciones se realizaron por un periodo de 16 días.

Análisis estadístico

Para obtener la media y la desviación estándar de los datos, así como para la realización de gráficas se usó el programa KaleidaGraph. Los datos de la actividad antioxidante de las diferentes formulaciones se analizaron mediante un análisis de varianza usando el programa SigmaPlot versión 11.0, y se aplicó la prueba de turkey para encontrar diferencias significativas (p < 0.05). Todas las determinaciones se realizaron por triplicado.

Resultados

Las hojas de neem recién cortadas fueron lavadas y cortadas en trozos pequeños, el contenido de humedad de las hojas de neem fue de 15.89 % en base seca. Posteriormente se sometieron a un proceso de escaldado en agua, para detener la acción enzimática y conservar los ingredientes activos de la planta (polifenoles) reduciendo además los cambios indeseables de sabor y color (Reyes et al., 2009).

Determinaciones fisicoquímicas

En las infusiones preparadas con hojas frescas y secas de neem se observó un ligero descenso del pH al incrementar el tiempo de infusión, lo que se atribuyó a la liberación de los compuestos fenólicos, los cuales poseen un carácter ácido (Tabla 1). La intensidad de color, que es una medida de los pigmentos presentes en la muestra mas no de su actividad antioxidante, para el neem la intensidad de color fue de 2.685 a 2.984, y el rango de sólidos totales fue de de 0 a 1 ºBx. Las infusiones de hojas frescas presentaron 0 ºBx en todos los tiempos, mientras que en las infusiones de hojas secas, en los primeros 3 minutos los ºBx fueron de 0. A los 5 minutos hubo un incremento de 0.50, y a partir de los 8 minutos y hasta los 15 minutos los ºBx se mantuvieron en 1.00. El incremento en los sólidos totales en las infusiones de hojas secas de neem se atribuyó a la presencia de solutos en las infusiones. La intensidad de color en las infusiones de hojas de neem fresco fue menor en comparación con las de hojas secas. Se observó que en las infusiones de hojas frescas, el valor máximo se obtuvo a los 12 minutos y fue de 2.001 A (absorbancia), mientras que en las infusiones de hojas secas, el valor máximo se obtuvo a los 8 minutos y fue de 2.984 A, Manzocco, Anese, y Nicoli (1998) observaron en las infusiones de té verde una intensidad de color de 0.131 A, y en el té negro una intensidad de 0.160 A. Reyes et al. (2009) reportaron una intensidad de color de 0.105 A, en hojas de maguey morado. Estos resultados difieren con los obtenidos en las infusiones de hojas secas (2.984 A) y frescas (2.001 A) de neem, lo que se atribuye a la mayor liberación de pigmentos presentes en sus hojas.

Tabla 1 Características físicas determinadas a las infusiones de hojas de neem. 

Tiempo de infusion pH Sólidos totales ºBx Intensidad de color (Absorbancia)
Muestra
Minutos Seca Fresca Seca Fresca Seca Fresca
0 6.91* ± 0.03 6.76 ± 0.025 0.00 0.00 2.685 ± 0.002 0.184 ± 0.001
3 6.89 ± 0.06 6.76 ± 0.015 0.00 0.00 2.932 ± 0.003 0.263 ± 0.003
5 6.38 ± 0.07 6.74 ± 0.010 0.50 0.00 2.902 ± 0.002 0.470 ± 0.001
8 6.24 ± 0.03 6.60 ± 0.021 1.00 0.00 2.984 ± 0.002 0.970 ± 0.001
10 6.27 ± 0.02 5.90 ± 0.006 1.00 0.00 2.882 ± 0.006 1.032 ± 0.001
12 6.27 ± 0.03 5.59 ± 0.015 1.00 0.00 2.924 ± 0.002 2.001 ± 0.001
15 6.29 ± 0.006 5.74 ± 0.010 1.00 0.00 2.879 ± 0.004 1.537 ± 0.001

* Valor promedio de 3 repeticiones.

Contenido de compuestos fenílicos

Respecto al contenido de compuestos fenólicos, al usar hojas frescas, el tiempo óptimo para la infusión fue de 12 minutos. Su contenido de polifenoles fue de 577.52 mg EAG/L. Las infusiones preparadas con hojas secas, al tiempo 0 y 3 tuvieron 440.06 y 580.77 mg EAG/L de polifenoles respectivamente y 777.52 mg EAG /L a los 8 minutos (Tabla 2). El contenido de polifenoles, fue mayor en las infusiones de hojas secas que en las de hojas frescas de neem, lo que confirma que el tratamiento de secado resulta conveniente si se desea conservar las propiedades antioxidantes del neem, pues también se observó que el porcentaje de inhibición fue mayor en las infusiones de hojas secas que en las infusiones de hojas frescas. En las infusiones de hojas secas de neem, la liberación de los compuestos fenólicos ocurrió en los primeros 8 minutos, en donde se obtuvo la mayor liberación de compuestos fenólicos (777.52 mg EAG/L). En las infusiones de hojas frescas, la mayor concentración de compuestos se obtuvo también a los 8 minutos. Sithisarn y Gritsanapan (2005), encontraron que el contenido total de flavonoides en extractos acuosos de hojas de árboles siameses neem fue de 312.3 mg equivalentes de quercetina/100 g de extracto ó 1061 mg equivalentes de quercetina/kg hojas secas. Nahak y Sahu (2010) reportaron un contenido de flavonoides totales en extractos acuosos de corteza y raíz de árboles de neem de 120 g/mL equivalentes de catecol, en el extracto acuoso de corteza, mientras que en el extracto de raíz de neem se obtuvieron 18 μg/mL equivalentes de catecol. El potencial de captación de radicales libres de compuestos fenólicos parece depender de la ubicación de los grupos -OH libres en el esqueleto de flavonoides (Lupea et al., 2008).

Tabla 2 Resultados de las mediciones realizadas a las infusiones de hojas neem. 

Tiempo de infusión Polifenoles (mg EAG/L) % de Inhibición al radical DPPH•
Muestra
Minutos Seca Fresca Seca Fresca
0 440.06 ± 19.48 173.69 ± 2.70 60.59 ± 1.73 11.94 ± 4.47
3 580.77 ± 24.78 217.35 ± 2.34 64.73 ± 1.57 16.83 ± 7.94
5 632.98 ± 15.59 399.94 ± 2.55 86.69 ± 1.40 14.22 ± 1.20
8 777.52 ± 11.91 609.38 ± 4.68 82.79 ± 2.13 15.97 ± 2.13
10 664.84 ± 9.46 283.42 ± 4.87 85.62 ± 0.80 27.70 ± 4.45
12 635.93 ± 10.43 577.52 ± 7.96 79.56 ± 1.10 41.09 ± 12.11
15 664.84 ± 9.46 374.57 ± 1.35 86.81 ± 1.70 26.43 ± 4.20

En forma general, los antioxidantes tienen la capacidad de neutralizar los radicales libres o activar otras moléculas que son necesarias para tal neutralización (Ferreti et al., 2010). Los mecanismos mediante los cuales actúan pueden ser por interacción directa con especies reactivas, prevención de la formación enzimática de especies reactivas, prevención de la formación de especies reactivas dependientes de metales o por activación o inducción de la actividad de enzimas antioxidantes.

Inhibición del radical libre

Al usar hojas frescas para las infusiones el tiempo óptimo de éstas fue de 12 minutos, su porcentaje de inhibición fue de 41.09 %., y con las infusiones de hojas secas, al tiempo 0 y 3 se tuvieron 60.59% y 64.73% de inhibición respectivamente, y a los 15 minutos un 86.81 % (Tabla 2).

El porcentaje de inhibición en las infusiones de hojas secas de neem fue mayor que el de las infusiones de hojas frescas, el cual se obtuvo a los 15 minutos (86.81%). Es importante mencionar que en la infusión de hojas secas después de 5 minutos, prácticamente se han liberado la mayoría de los compuestos, ya que fue a este tiempo en el que se obtuvo una mayor actividad antioxidante y un contenido de compuestos fenólicos de 632.98 mg EAG/L en comparación al minuto 15, en donde el contenido de polifenoles fue de 664.84mg EAG/L. En las infusiones de hojas frescas de neem, el mayor porcentaje de inhibición de radicales libres se obtuvo a los 12 minutos (41.09%).

Los resultados obtenidos para las infusiones de hojas frescas y secas de neem son mejores en relación a los obtenidos por Turkmen et al. (2005) quienes determinaron el contenido de polifenoles por el método de Folin-Ciocalteau y la actividad antioxidante por el método de DPPH en extractos acuosos de té negro y té negro mate, y encontraron que el té negro contiene 30.5 mg EAG/g de polifenoles y 29.1% de inhibición del radical DPPH, mientras que para el té negro mate el contenido de polifenoles fue de 64.2 mg EAG/g y la inhibición del radical DPPH fue de 61.2%.

Propiedades antioxidantes al usar material de pared

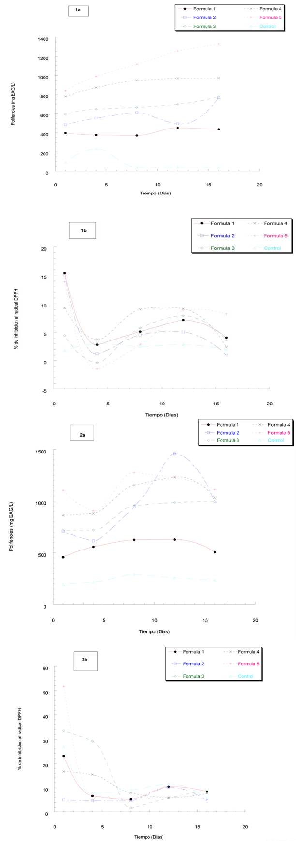
En estudios preliminares realizados en el laboratorio se encontró que la proteína de soya conserva el contenido fenólico más que otros materiales como la goma guar o la goma xantana; lo que se debe probablemente a las interacciones entre los compuestos fenólicos y las proteínas (Ozdal et al., 2013; Rashidinejad et al., 2013). Por lo que se decidió aprovechar este comportamiento para proteger la actividad antioxidante de los compuestos fenólicos por más tiempo. En la Figura 1,1a, se muestra el contenido de polifenoles en hojas frescas, al usar cinco formulaciones de proteína de soya como material de pared y diferentes periodos de almacenamiento. Al emplear 3% de proteína de soya (fórmula 5), se obtuvieron mejores resultados en cuanto al contenido de polifenoles y su incremento fue directamente proporcional al tiempo de almacenamiento, ya que con el paso del tiempo el material de pared empezó a perder sus propiedades encapsulantes y los compuestos fenólicos empezaron a liberarse. Las interacciones químicas que ocurren entre los compuestos fenólicos de las hojas del neem y las proteínas de la soya, pueden ser covalentes o no covalentes (Rohn, 2014), permiten que las propiedades antioxidantes del neem se conserven. Sin embargo, tales interacciones pueden romperse bajo condiciones de almacenamiento, dejando libre a tales compuestos fenólicos. Resultados similares reportan Rashidinejad et al. (2016) quienes encapsularon compuestos fenólicos con lecitina de soya y midieron su actividad antioxidante simulando la digestión gastrointestinal. Por otro lado, Salazar (2009) evaluó el contenido de polifenoles en extractos de jamaica con goma de mezquite como material de pared, y encontró que la microencapsulación con 1% de goma de mezquite conservó una mayor cantidad de compuestos fenólicos (223.91 mg ácido gálico/100 g de cálices de flor de Jamaica). Este último resultado es menor en comparación al obtenido en las fórmulas de infusiones de hojas frescas de neem con proteína de soya. Para las infusiones a partir de hojas secas (Figura 1, 2a) se observó que con 1.5% de proteína de soya (fórmula 2) se obtuvieron mejores resultados que con las demás formulaciones. El día uno se cuantificaron 709 mg EAG/L de polifenoles, sólo por encima de fórmula 1 (452 mg EAG/L), al día 4 se tuvo una disminución al cuantificar 613 mg EAG/L siguiendo por debajo de las demás formulaciones y sólo mayor al de la fórmula 1 (558 mg EAG/L), para el día 8 se observó un incremento en la cuantificación de polifenoles con un resultado de 944 mg EAG/L pero aún por inferior de las demás formulaciones y sólo superior al de la fórmula 1. Al día 12 la concentración de polifenoles fue de 1458 mg EAG/L. Este fue el resultado más alto de todas las formulaciones, y el día 16 se observó una disminución (994 mg EAG/L). Esta disminución también se observó en las demás formulaciones, por ello, se considera que el tiempo adecuado para conservar los compuestos activos empleando 1.5% de proteína de soya es de 12 días. Este resultado también es menor en comparación al obtenido por Salazar (2009) en extractos de jamaica microencapsulados con goma de mezquite.

Figura 1 Contenido de polifenoles y porcentaje de inhibición en infusiones de hojas frescas (1a y 1b) y hojas secas (2a y 2b) de neem con proteína de soya a diferentes concentraciones y días de almacenamiento. (Fórmula 1: 1.0%. Fórmula 2: 1.5%. Fórmula 3: 2.0%. Fórmula 4: 2.5%. Fórmula 5: 3.0%). 

La actividad antioxidante de las infusiones de hojas frescas de neem con material de pared también sufrió una disminución conforme al tiempo de almacenamiento. En todas las formulas al día 12 se observó un incremento, seguido de un descenso hasta el día 16. La fórmula 5 fue la que presentó una actividad antioxidante menor en comparación a las demás formulas. Como se había observado con las fórmulas de hojas secas de neem con proteína de soya, el tiempo máximo de almacenamiento en el cual se conservaron las propiedades antioxidantes fue de 12 días antes de que el material de pared permitiera la liberación de compuestos antioxidantes. En general se observo que la actividad antioxidante disminuyó gradualmente conforme al tiempo de almacenamiento. La fórmula 2 fue la que menor actividad antioxidante presentó desde el primer día de almacenamiento.

Al incrementar el contenido de proteína se incrementa el contenido de compuestos fenólicos, lo que significa que la proteína de soya interactúa con los compuestos fenólicos esto se atribuye a que los polifenoles poseen afinidad característica hacia las proteínas, lo que conduce a la formación de complejos (Papadopoulou y Frazier, 2004) que permiten mantener las propiedades de los polifenoles por más tiempo que si no estuvieran en contacto con el material de pared.

Durante los primeros 12 días de almacenamiento no se observó diferencia significativa (p<0.05) en la actividad antioxidante de las diferentes formulaciones, pero después de este tiempo, la actividad disminuyó. Estos resultados indican que si las infusiones de hojas secas de neem se encapsulan con proteína de soya como material de pared, es posible conservar las propiedades antioxidantes durante 12 días. Pasado este tiempo el material de pared dejó de encapsular a los compuestos antioxidantes y estos reaccionaron con el radical DPPH. La posterior disminución en la actividad antioxidante también hace suponer que los compuestos antioxidantes reaccionaron en su mayor totalidad con el radical libre. Salazar (2009) obtuvo una actividad antioxidante de 2545.88 μmol de Trolox/100 g de cálices de jamaica en extractos de jamaica microencapsulados con goma de mezquite.

El porcentaje de inhibición de radicales libres de las infusiones de hojas frescas de neem con material de pared fue menor en comparación con las infusiones de hojas frescas sin material de pared (Figura 1, 1b). Siendo la fórmula 5 la que presentó un porcentaje de inhibición menor en comparación de las demás fórmulas. Al día uno de almacenamiento el porcentaje de inhibición fue de 13.89 %, sin embargo al día 4 este disminuyó hasta 1.39 %, posterior al día 8 comenzó un ligero incremento (2.85%) hasta el día 12 (8.86%), finalmente al día 16 el porcentaje de inhibición disminuyó hasta 8.22 %. Las infusiones de hojas secas con material de pared presentaron un porcentaje de inhibición menor que las infusiones de hojas secas sin material de pared (Figura 1, 2b). Esto se debió principalmente al efecto encapsulante de la proteína de soya, el cual impidió la reacción de los polifenoles con el radical libre DPPH. En este caso, la fórmula 2 fue con la que se observó un menor porcentaje de inhibición. Al día uno el porcentaje de inhibición de radicales libres fue de 5.01%, al día 4 y 5 se registraron valores de 4.71% y 4.76% respectivamente. Al día 12 se observó un incremento, registrando un resultado de 10.21% para finalmente al día 16 disminuir hasta 4.56%. Los resultados obtenidos para las formulaciones de hojas frescas y secas de neem con la proteína de soya como material de pared, indican que la proteína de soya interviene en la inhibición del radical DPPH, esto a través de la protección que proporciona a los compuestos fenólicos y que posterior a los 12 días la protección que ejerce este material de pared empieza a disminuir.

Los valores de ºBx permanecieron en cero aún después del tiempo de almacenamiento y el pH tampoco mostró variación. Los valores de ºBx permanecieron en cero aún después del tiempo de almacenamiento y la intensidad de color fue en aumento conforme al tiempo de almacenamiento, aun así, los cambios que se observaron no fueron significativos (Tabla 3).

Tabla 3 Determinación del pH, ºBx e intensidad de color en infusiones de hojas de neem con proteína de soya. 

pH ºBx Intensidad de color
Muestra
Fórmula Seca Fresca Seca Fresca Seca Fresca
1 6.71 ± 0.11 6.75 ± 0.17 0.00 0.00 0.270 ± 0.05 0.198 ± 0.04
2 6.80 ± 0.16 6.68 ± 0.10 0.00 0.00 0.334 ± 0.09 0.239 ± 0.05
3 6.56 ± 0.09 6.61 ± 0.11 0.00 0.00 0.469 ± 0.06 0.410 ± 0.07
4 6.55 ± 0.15 6.59 ± 0.13 0.00 0.00 0.579 ± 0.07 0.606 ± 0.09
5 6.52 ± 0.20 6.83 ± 0.19 0.00 0.00 0.669 ± 0.05 0.631 ± 0.07
Control 6.59 ± 0.08 6.94 ± 0.07 0.00 0.00 0.118 ± 0.05 0.025 ± 0.01

Fórmula 1: 1.0 %. Fórmula 2: 1.5%. Fórmula 3: 2.0%. Fórmula 4: 2.5%. Fórmula 5: 3.0%.

Conclusión

La mayor liberación de compuestos activos a partir de las hojas secas de neem se obtuvo a los 15 minutos de infusión, con una actividad antioxidante fue de 86.81% de inhibición al radical DPPH•. Por su mayor contenido de compuestos fenólicos, se recomienda que las infusiones de esta planta se hagan con hojas secas. Así mismo, el empleo de materiales de pared como la proteína de soya se presenta como una alternativa para conservar los compuestos fenólicos cuando se requiera elaborar productos para consumo humano derivados del neem.

Referencias

AOAC. (2007). Oficial Methods of Analysis of the Associatión of Official Analytical (17° ed.). [ Links ]

Akeel, R. A., Mateen, A., Janardhan, K.,. Gupta V.C. (2017). Analysis of anti- bacterial and anti oxidative activity of Azadirachta indica bark using various solvent tracts. Saudi Journal of Biological Sciences, 24, 11-14. [ Links ]

Beristain, C. I., Cruz-Sosa, F., Lobato-Caballeros, C., Pedroza-Islas R. , Rodríguez-Huezo, M. E., y Verde-Calvo, J. R. (2006). Applications of soluble dietary fibers in beverages. Revista Mexicana de Ingeniería Química, 5, 81-95. [ Links ]

Brand-Williams, W., Cuvelier, M. E., y Berset, C. (1995). Use of a free radical method to evaluate antioxidant activity. Lebensmittel Wissenschaft und Technologie, 28, 25-30. [ Links ]

Chattopadhyay, R. R. (2003). Possible mechanism of hepatoprotective activity of Azadirachta indica leaf extract: part II. Indian Journal Ethnopharmacology, 89(2-3), 217-219. [ Links ]

Coventry, E., y Allan, E. J. (2001). Microbiological and chemical analysis of neem (Azadirachta indica) extracts: new data on antimicrobial activity. Phytoparasitica, 29, 1-10. [ Links ]

Ferretti, G., Bacchetti, T., Belleggia, A. y Neri, D. 2010. Cherry Antioxidants: From Farm to Table. Molecules, 15, 6993-7005; doi:103390/molecules15106993 [ Links ]

Kähkönen, M., Anu, I. C., y Marina, H. (2001). Berry fenolics and their Antioxidant activity. Journal of Agricultural and Food Chmistry, 49, 4076-4082. [ Links ]

Lupea, A.X, Pop, M. y Cacig, S. (2008). Structure-radical scavenging activity relationships of flavonoids from Ziziphus and Hydrangea extracts. Rev. Chim 59(3), 309-13. [ Links ]

Manzocco, L., Anese, M., y Nicoli, M. C. (1998). Antioxidant properties of tea extracts as affected by processing. Lebensmittel Wissenschaft und Technologie 3, 694-698. [ Links ]

Moreno-Pérez, E. del C., Martínez-Damián, M. T., Reyes-López, D., Pérez-Mercado, C.A., Peña-Lomelí, A., Espinosa-Robles, P. (2006). Intensidad de color y contenido de antocianinas en chile guajillo (Capsicum annuum L.).Revista Chapingo Serie Horticultura 12(1): 135-140. [ Links ]

Nahak, G., y Sahu, R. K. (2010). Antioxidant activity in bark and roots of neem (Azadirachta indica) and mahaneem (Melia azedarach). Continental Journal of Pharmaceutical Sciences, 4, 28-34. [ Links ]

Ozdal, T., Capanoglu, E., Altay, F. (2013). A review on protein-phenolic interactions and associated changes. Food Res. Int. 51, 954-970. [ Links ]

Papadopoulou, A., y Frazier, R. A. (2004). Characterization of protein-polyphenol interactions. Trends in Food Science & Technology. 15(3), 186-190. [ Links ]

Rashidinejad, A., Birch, E.J., Dongxiao Sun-Waterhouse,D., Everettb,D. W. (2016). Effect of liposomal encapsulation on the recovery and antioxidant properties of green tea catechins incorporated into a hard low-fat cheese following in vitro simulate gastrointestinal digestión. Food and Bioproducts Processing, 100, 238-245. [ Links ]

Rashidinejad, A. , Birch, E.J. , Sun-Waterhouse, D., Everett, D.W. (2013). Effects of catechin on the phenolic content and antioxidant properties of low-fat cheese. Int. J. Food Sci. Technol. 48, 2448-2455. [ Links ]

Reyes, M. A., Azúara, N. E., Beristain, C. I. , Cruz, S. F., y Vernon, C. E. (2009). Propiedades antioxidantes del maguey morado (Rhoeo discolor). Ciencia y Tecnología Alimentaria, 7(3), 209-216. [ Links ]

Robbins, R. (2003). Phenolic acids in foods: an overview of analytical methodology. Journal of Agricultural and Food Chemistry, 51, 2866-2887. [ Links ]

Rohn, S. (2014). Possibilities and limitations in the analysis of covalent interactions between phenolic compounds and proteins. Food Research International, 65, 13-19. [ Links ]

SaiRam , M., Llavazhagan, G., Sharma, S., Dhanraj, S., Suresh , B., & Parida, M. (2000). Antimicrobial activity of a new vaginal contraceptive NIM-76 from neem oil (Azadirachta indica). Journal of Ethnopharmacology, (71), 377-382. [ Links ]

Salazar, G. (2009). Evaluación de agentes antioxidantes en extractos de flor de jamaica y aceite esencial de laurel. Universidad de las Américas Puebla. Cholula, Puebla, México. [ Links ]

Singleton , V. L., Orthofer, R., y Lamuela-Raventos, R. M. (1999). Analysis of total phenols and other oxidation substrates and antioxidants by means of folin-ciocalteureagent. Methods in Enzymology, (299), 152-178. [ Links ]

Sithisarn, P., y Gritsanapan, W. (2005). Free radical scavenging activity and total flavonoid content of siamese neem tree leaf aqueous extract from different locations. Mahidol University. Journal of Pharmaceutical Sciences, 32((1-2)), 31-35. [ Links ]

Skerget Mojka, Kotnik, P., Hadolin, M., Rizner Hras, A., Simonic, M. y Knez, Z. (2005). Phenols, proanthocyanidins, flavons and flavonols in some plant materials and their antioxidant activities. Food Chemistry. 89. 191-198. [ Links ]

Turkmen , N., Sari, F., y Velioglu, Y. S. (2005). Effects of extraction solvents on concentration and antioxidant activity of black and black mate tea polyphenols determined by ferrous tartrate and Folin-Ciocalteu methods. Ankara University, Faculty of Engineering, Department of Food Engineering. Ankara, Turkey. [ Links ]

Yanpallewar , S. U., Sen, S., Tapas , S., Kumar, M., Raju, S. S., y Acharya, S. B. (2003). Effect of Azadirachta indica on paracetamol induced hepatic damage in albino rats. Phytomedicine, 10(5), 391-396. [ Links ]

Recibido: 04 de Enero de 2017; Aprobado: 27 de Febrero de 2017

*Autor para correspondencia: María Luisa Carrillo Inungaray. E-mail: maluisa@uaslp.mx

Creative Commons License Este es un artículo publicado en acceso abierto bajo una licencia Creative Commons