Introducción
En México, 64 % de la población caprina se concentra en sistemas de producción extensivos de las regiones áridas y semiáridas del norte del país (Escareño et al., 2011), en estas regiones los hatos caprinos están formados en su mayor parte por animales que los productores llaman criollos (Merlos-Brito, 2008), denominación ahora aceptada como "locales" (caprinos sin un fenotipo definido debido a la utilización mediante encaste de diferentes razas como Alpina, Saanen, Nubia y Toggenburg) (Montaldo et al., 2010). Este sistema de producción genera ingresos complementarios en regiones marginales del norte del país, lo cual ayuda a incrementar la calidad de vida de las familias de dichas poblaciones. Debido a lo anterior, Salinas-González et al. (2015a) indican que la investigación respecto al sistema extensivo caprino en Méxcio, debe buscar mejorar la alimentación de la cabra bajo un esquema de aprovechamineto sustenteble del ambiente, para así lograr un aumento de la productividad del sistema, mejorando en consecuencia la calidad de vida de las familias integradas a este sistema de producción.
Una característica del sistema extensivo caprino en México, al igual que en regiones aridas y semiáridas de africa, asia y latinoamerica (Escareño, 2010), es que la alimentación de la cabra lechera es exclusivamente a través del pastoreo, pues esto implica una reducción en los costos de producción (Escareño et al., 2011). Kawas et al. (2010), señalan que, en regiones tropicales y subtropicales, los pequeños rumaintes en pastoreo dependen exclusivamente del forraje como fuente de nutrientes. Este tipo de alimentación (pastoreo), ofrece al ganado un ambiente natural que se refleja en mayor bienestar animal respecto a sistemas estabulados, en donde la falta de actividad física se ha relacionado con una incidencia mayor de enfermedades principalmente problemas pódales (Hernández-Mendo et al., 2007). Además, propicia que la leche posea un perfil lipídico más favorable para la salud humana, al tener una cantidad mayor de ácidos grasos insaturados comparado con sistemas estabulados (Lahlou et al., 2014), lo cual genera valor agregado a la leche producida en pastoreo (Lahlou et al., 2014). De igual forma, la alimentación basada en pastos frescos genera en la leche características particulares que son trasmitidas a derivados como queso y mantequilla, mejorándolos en sabor, textura y suavidad (Martin et al., 2009), haciéndola más atractiva para la industria de la transformación.
Sin embargo, el pastoreo por sí solo no puede satisfacer las necesidades nutricionales de la cabra lechera (Morand-Fehr et al., 2007), sobre todo en lactancia temprana (Kennedy et al., 2011), ya que los pastos presentan a lo largo del año variaciones en cantidad y calidad nutricional (Chilibroste et al., 2007), lo cual propicia que cabras lecheras en sistemas exclusivamente de pastoreo pierdan más peso y produzcan menos leche respecto a cabras semi-estabuladas o estabuladas (Morand-Fehr et al., 2007). Para sintetizar leche, la cabra requiere consumir múltiples nutrientes como grasas, proteínas, carbohidratos, vitaminas, minerales (alimento integral) y agua limpia (NRC, 2007). Por tanto, si se quiere alcanzar el mayor potencial de producción de leche, el caprinoultor necesitará complementar la alimentación de las cabras de tal manera que esta cubra todos sus requerimientos nutricionales. Algunas evidencias se encuntran en reportes, donde, alimentos integrales han sido utilizados como complemento en vacas lecheras en pastoreo (Fajardo et al., 2015) con incrementos en producción de leche de hasta 30% (Sprunck et al., 2012) e incrementos en proteína y lactosa (Fajardo et al., 2015) respecto al tratamiento sin complementación. Sin embargo, la información disponible sobre complementar la alimentación de cabras locales de la Comarca Lagunera es limitada (Fitz-Rodríguez et al., 2009). Además, se desconoce el potencial de producción de leche de las cabras supliendo sus necesidades nutricionales. Por lo tanto, el objetivo de estudio fue evaluar el efecto en la producción y composición de la leche de cabras locales en pastoreo complementadas con un alimento integral y bajo un cambio a alimentación en estabulación.
Método
Se realizaron dos experimentos para evaluar el efecto en la producción y composición en leche de cabras al uso de un alimento integral. En el primer experimento, se evaluó el efecto de cambiar de un sistema de pastoreo a uno estabulado, con el objetivo de desafiar a las cabras a que expresaran su potencial productivo cuando se les ofreció una alimentación integral. En el segundo experimento, se evaluó el efecto en producción de leche y componentes de la leche de cabras en pastoreo al complementarlas con diferentes niveles del alimento integral utilizado en el experimento 1. Ambos experimentos se realizaron en la región de La Comarca Lagunera, ubicada entre las coordenadas 24° 22’ y 26° 23’ Latitud Norte y 102° 22´ y 104° 47´ Longitud Oeste, a 1100 msnm. El clima corresponde a BWhw, que se caracteriza por ser desértico, semicálido con invierno fresco, y precipitación media anual de 240 mm, la temperatura media anual a la sombra es de 25 °C, con rangos de -1 °C en invierno a 44 °C en verano (García, 1988). Las características de cada experimento se detallan a continuación.
Experimento 1
Cabras, diseño experimental y tratamientos. Se utilizaron 50 cabras adultas locales, con peso promedio de 34.6 ± 2.25 kg, 150 ± 7.8 días (d) en leche, y 2.5 partos, distribuidas aleatoriamente en dos grupos, uno con 45 cabras (grupo testigo) y otro con cinco cabras (grupo experimental). Los tratamientos se asignaron aleatoriamente a cada grupo, usando un diseño completamente al azar. Las cabras tuvieron un periodo de adaptación de 14 d, y 49 d experimentales (siete semanas). Las muestras de leche se obtuvieron semanalmente durante el periodo experimental. Los tratamientos fueron, grupo testigo; con manejo típico para el sistema extensivo en pastoreo que se describirá en la siguiente sección, y grupo experimental, donde las cabras cambiaron de pastoreo extensivo a estabulación, estas cabras fueron alojadas en corraletas individuales 2 x 3 m, provistas de sombra, comederos y bebederos con agua ad libitum. Se les ofreció 2.5 kg cabra-1 d-1 en fresco de un alimento integral diseñado de acuerdo a los requerimientos para cabras lecheras del NRC (2007). Los ingredientes del alimento integral fueron: grano de maíz (17.1%), grano de sorgo (17.1 %), salvado de trigo (9.0 %), pasta de soya (9.0 %), urea (1.2 %), melaza (4.8 %), rastrojo de maíz (8.0 %), heno de alfalfa (32.0 %), premezcla de minerales y vitaminas (1.8 %). Esta ultima integrada por: 24, 3, 2, 8, 12, 0.50, 0.50 y 0.50 % de Ca, P, Mg, Na, Cl, K, S y antioxidante; 2000, 5, 4000, 2000, 5000, 100, 30 y 60 ppm de lasalocida, Cr, Mn, Fe, Zn, I, Se y Co; 500 000, 150 000, 1000 UI de vitamina A, vitamina D y vitamina E, respectivamente.
La alimentación fue dos veces por día (8:00 am y 15:00 pm), y las cabras se ordeñaron una vez por día (8:00 am).
Manejo típico del sistema extensivo en pastoreo. La ordeña se realizó manualmente una vez por día, entre 6:00 a 7:00 am, posteriormente las cabras salían a pastorear de 9:00 am a 6:00 pm. Los recorridos fueron de 5 a 10 km d-1, dependiendo de la disponibilidad de forraje y residuos agrícolas (avena (Avena sativa), sorgo (Sorghum halepense), entre otros). Al regreso las cabras se alojaban en corrales de descanso sin divisiones con disponibilidad a bloques de sal mineral. Adicionalmente, se realizaron recorridos a los sitios de pastoreo para identificar las especies vegetales que consumían las cabras, siguiendo la metodología propuesta por Toyes-Vargas et al. (2013). Con dicha metodología se identificaron cinco especies vegetales que consume las cabras: huizache (Acacia spp.), mezquite (Prosopis laevigata), gobernadora (Larrea tridentata), manilla (inflorescencia de agave; Agave spp), y zacate salado (Sporobolus airoides).
Consumo de materia seca (CMS). El CMS se midió solo en cabras del grupo experimental. Durante todo el experimento se registró el alimento ofrecido y rechazado y por diferencia se determinó el consumo diario.
Producción y composición de leche. La producción de leche se midió en cada cabra con una báscula portátil (Torrey®, capacidad 10 kg ±1 g) una vez por semana durante el periodo experimental, y se obtuvieron muestras de leche de cada cabra, las cuales fueron colectadas en frascos con rosca (100 ml) para su análisis químico (grasa, proteína y lactosa) en el laboratorio de inocuidad del INIFAP C.E. La Laguna, Matamoros, Coahuila.
Análisis de laboratorio. La composición química del alimento y de las especies vegetales del agostadero se realizó en el Laboratorio de Nutrición Animal del Colegio de Postgraduados Campus Montecillo, donde se les determinó: materia seca (MS), materia orgánica (MO), proteína cruda (PC), extracto etéreo (EE) (AOAC, 2006), fibra detergente neutro (FDN) y fibra detergente ácido (FDA) (Van Soest et al., 1991). La composición química de la leche (proteína, grasa y lactosa) se determinó con un equipo automatizado a través de señales sonoras (Milkoscope Expert®, Scope Electric).
Experimento 2
Cabras, diseño experimental y tratamientos. Se utilizaron 19 cabras adultas locales, con peso promedio de 35.8 ± 1.8 kg, condición corporal 1.5 ± 0.7, 150 ± 6.2 d en leche, y 3.5 partos, distribuidas aleatoriamente en tres grupos, dos grupos con 6 cabras y uno con 7 cabras. Los tratamientos se asignaron aleatoriamente a cada uno de los tres grupos, usando un diseño completamente al azar. Las cabras tuvieron un periodo de adaptación de 7 d, y 21 d experimentales (tres semanas), y las muestras de leche se obtuvieron un día de cada semana experimental. Los tratamientos fueron: 1) testigo, solo pastoreo (Pastoreo típico del sistema extensivo; descrito en el experimento 1 (n=7); 2) pastoreo + 500 g de alimento integral (n=6); 3) pastoreo +1000 g de alimento integral (n=6).
Manejo de las cabras. El manejo del hato fue el típico del sistema extensivo de producción caprina descrito en el experimento 1. Al regreso del pastoreo, los grupos que recibieron complementación (500 g y 1000 g) se alojaron en corrales individuales donde se les ofreció el complemento según correspondía.
Peso y condición corporal. Todas las cabras se pesaron al inicio y final del periodo experimental, de igual forma se midió la condición corporal de acuerdo a la escala propuesta por Walkden-Brown et al., (1994), donde 1 representa una cabra emaciada (extremadamente delgada) y 4 una cabra obesa.
Producción y composición de leche. Similar al procedimiento descrito en el experimento 1.
Análisis de laboratorio. Similar al procedimiento descrito en el experimento1.
Análisis estadístico. Los datos de producción de leche y composición química (grasa, proteína, lactosa) de leche en ambos experimentos fueron analizados utilizando un modelo de medidas repetidas, a través del procedimiento MIXED (SAS, 2008). Para ello, se obtuvieron los criterios de información Bayesiano de Schwarz y Akaike que ayudaron a determinar la estructura de covarianza más adecuada para cada variable. La comparación de medias de mínimos cuadrados se realizó a través de la prueba de Tukey ajustada. Además, se usó la producción de leche inicial como covariable. Los datos de peso vivo y condición corporal final de las cabras en el experimento dos se analizaron como un diseño experimental completamente al azar, utilizando el PROC GLM (SAS, 2008) y la prueba de Tukey para la comparación de medias, usando la producción de leche inicial como covariable.
Resultados
La composición química del alimento integral ofrecido como dieta total a cabras estabuladas o como complemento a cabras en pastoreo se muestran en el Cuadro 1.
Cuadro 1 Composición química del alimento integral ofrecido a cabras locales.
| Variables | g kg -1 MS |
|---|---|
| Materia seca (MS) | 865 |
| Materia organica (MO) | 926 |
| Proteína cruda (PC) | 146 |
| Extracto etéreo (EE) | 97 |
| Fibra detergente neutro (FDN) | 356 |
| Fibra detergente ácido (FDA) | 307 |
Composición química de las especies vegetales consumidas por las cabras en pastoreo se muetran en el Cuadro 2.
Cuadro 2 Composición química (g kg-1 de MS) de las especies vegetales consumidas por cabras locales en la Comarca Lagunera.
| Nombre común | Nombre científico | MS | MO | PC | EE | FDN | FDA |
|---|---|---|---|---|---|---|---|
| Huizache | Acacia spp | 896 | 962 | 115 | 88 | 476 | 373 |
| Mezquite | Prosopis laevigata | 831 | 896 | 148 | 79 | 242 | 379 |
| Gobernadora | Larrea tridentata | 911 | 957 | 126 | 132 | 394 | 529 |
| Inflorescencia de agave | Agave spp | 734 | 912 | 104 | 47 | 97 | 164 |
| Zacate Salado | Sporobolus airoides | 906 | 918 | 71 | 38 | 659 | 475 |
Experimento 1
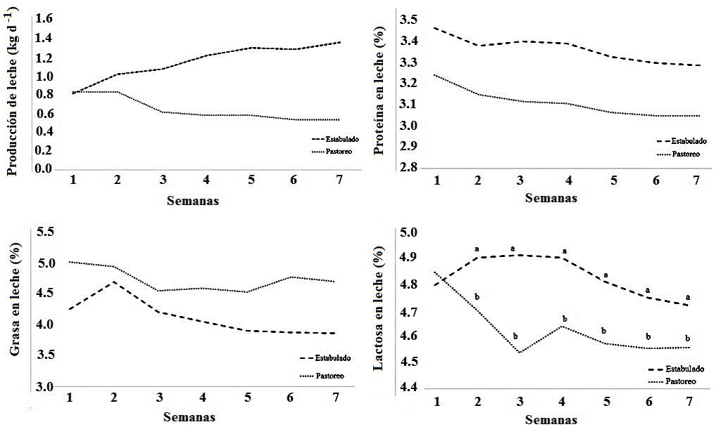
El consumo de MS de cabras estabuladas fue de 1.67 kg d-1. La producción de leche en cabras estabuladas aumentó (p ≤ 0.01) 43.9 % respecto a cabras en pastoreo (Cuadro 3). En tanto, la concentración de grasa no cambió (p > 0.05) por efecto de tratamientos. La proteína aumentó (p ≤ 0.05) 7.7 % y la lactosa aumentó (p ≤ 0.05) 3.5 % en leche de cabras estabuladas comparadas con cabras en pastoreo (Cuadro 3). En la producción de leche de cabras estabuladas se observó un aumento progresivo durante las siete semanas experimentales, en contraste, en la producción de leche de cabras en pastoreo se observó una disminución (Figura 1). La concentración de proteína, grasa y lactosa en leche fue disminuyendo progresivamente durante las siete semanas experimentales en ambos tratamientos (Figura 1).
Cuadro 3 Producción y composición de leche de cabras locales en pastoreo comparadas con cabras estabuladas.
| Alimento | P-Valúe | |||||
|---|---|---|---|---|---|---|
| Variables | Pastoreo | Estabulado | EEM 1 | Alimento | Tiempo | D*T 2 |
| Producción de leche (kg d-1) | 0.64 | 1.14 | 0.11 | 0.02 | 0.54 | 0.06 |
| Proteína (%) | 3.11 | 3.37 | 0.03 | <0.01 | <0.01 | 0.95 |
| Grasa (%) | 4.59 | 4.12 | 0.22 | 0.17 | <0.01 | 0.28 |
| Lactosa (%) | 4.68 | 4.85 | 0.02 | <0.01 | <0.01 | <0.01 |
1EEM= Error estándar de la media; 2Interacción Alimento * Tiempo.
Experimento 2
Los pesos vivos finales de las cabras no se modificaron (p > 0.05) por efecto de tratamientos, promediando 35.2 kg cabra-1. No obstante, la condición corporal (CC) aumetó (p ≤ 0.01) al complementar las cabras en pastoreo con el alimento integral. Al respecto, las cabras complementadas con 500 g tuvieron CC de 2.63, las complementadas con 1000 g CC de 2.17, y las cabras testigo presentaron CC de 1.75. La producción de leche aumentó (p ≤ 0.01) al complementar la alimentación de las cabras con 500 g 45.1 %, y al complementarla con 1000 g 56.2 %, respecto al tratamieto testigo (Cuadro 4). La concentración de grasa en leche no cambió (p > 0.05) por efecto de tratamientos. Sin embargo, la concentración de proteína y lactosa aumentaron (p ≤ 0.05) al complementar a las cabras en pastoreo con 1000 g del alimento integral (Cuadro 4). La producción de leche en cabras complementadas con 1000 g aumentó (p ≤ 0.01) de forma progresiva a través de las siete semanas, mientras que en cabras complementadas con 500 g y testigo se observó una reducción progresiva a lo largo del periodo experimental. Respecto a la concentración de proteína, grasa y lactosa en leche, se observó una reducción progresiva durante las siete semanas experimentales (Figura 2).
Cuadro 4 Producción y composición de leche de cabras locales en pastoreo complementadas con un alimento integral.
| Alimento | P-valúe | ||||||
|---|---|---|---|---|---|---|---|
| Variable | Testigo | 500 g | 1000 g | EEM 1 | Alimento | Tiempo | D*T 2 |
| Producción de leche (kg d-1) | 0.20 b | 0.51 a | 0.64 a | 0.05 | <0.01 | 0.13 | <0.01 |
| Proteína (%) | 3.09 b | 3.15 b | 3.27 a | 0.03 | <0.01 | 0.14 | 0.68 |
| Grasa (%) | 4.91 | 4.72 | 4.76 | 0.33 | 0.91 | <0.01 | 0.32 |
| Lactosa (%) | 4.61 b | 4.72 ab | 4.89 a | 0.06 | 0.03 | 0.12 | 0.63 |
1EEM= Error estándar de la media; 2Interacción Alimento * Tiempo.
Discusión
Experimento 1
El consumo de MS de las cabras estabuladas (1.67 kg d-1) se encuentra dentro del rango que se ha reportado en cabras con producción de leche inferiores a 1.5 kg d-1 (Araque et al., 2008; Domínguez-Martínez et al., 2011). Esto sugiere que los requerimientos en consumo de MS fueron cubiertos.
La producción de leche aumentó (p ≤ 0.01) en cabras estabuladas respecto a cabras en pastoreo. Este resultado confirma lo reportado por Ahamefule et al. (2007), y Goetsch et al. (2011), quienes indican que esto se debe al menor gasto energético por desplazamiento de las cabras en sistemas estabulados respecto a cabras en pastoreo. Además, las condiciones variantes en la composición química de las especies vegetales a lo largo del año y su disponibilidad estacional (Chilibroste et al., 2007), provocan a través del tiempo, una variación en la calidad nutricional de la dieta de cabras lecheras en pastoreo, llegando a ser en algunos periodos insuficiente para cubrir sus requerimientos de mantenimiento y producción, por lo que tienen que degradar reservas corporales, principalmente tejido adiposo, para poder seguir manteniendo la producción de leche (Eknæs et al., 2006). En este periodo, las cabras pueden perder hasta 67 g d-1 de grasa corporal (Eknæs et al., 2006). Al respecto, en La Comarca Lagunera (área de estudio de la presente investigación) la baja calidad y disponibilidad de las especies que consumen las cabras determina la baja producción de leche en la región (Escareño et al., 2012). Así mismo, el valor promedio de FDN (356 g kg-1) y FDA (307 g kg-1) (Cuadro 1) del alimento que consumieron las cabras estabuladas fue menor respecto a los valores de las especies que consumieron las cabras en pastoreo (FDN 443 g kg-1; FDA 439 g kg-1) (Cuadro 2), lo cual indica que el alimento de las cabras estabuladas fue menos voluminoso y con mayor contenido energético, explicando la mayor producción de leche en cabras estabuladas respecto a cabras en pastoreo.
La concentración de grasa en leche no cambió (p > 0.05) por efecto de tratamientos, y promedió 4.3 %, resultado similar al reportado por Salinas et al., (2015b) (4.1 %) en cabras locales de La Comarca Lagunera. Sin embargo, la concentración de grasa en leche de cabras en pastoreo, generalmente es mayor respecto a cabras estabuladas (Mancilla-Leyton et al. 2013). No obstante, esto dependerá del tipo y cantidad de lípidos que consuma la cabra (Chilliard et al., 2014). Al respecto, el contenido de lípidos del alimeto integral que consumieron las cabras estabuladas fue mayor (EE = 97 g kg-1) respecto al de las especies que consumieron las cabras en pastoreo (EE = 77 g kg-1), lo cual provocó que en las primeras dos semanas se observara un aumento en la concentración de grasa en leche de cabras estabulas, permitiendo que la concentración global de grasa láctea en las siete semanas no difiriera entre tratamientos (Caroprese et al., 2016).
La concentración de proteína en leche aumentó (p ≤ 0.05) en cabras estabuladas comparadas con las cabras en pastoreo. Al respecto, la concentración de proteína en leche de cabras en pastoreo promedió 3.11 %, concentración menor a la reportada en cabras estabuladas con mayor producción de leche (Salinas et al. (2015b) 3.32 %; Tudisco et al. (2014) 3.57; Carnicella et al. (2008) 3.38 %), a pesar de que en éstas ultimas se esperaría menor concentración de proteína en leche por efecto de dilución. Esto sugiere, que las cabras en pastoreo presentan deficiencia en consumo de nitrógeno para sintetizar proteína en leche. En este sentido, el mayor contenido de FDA de las especies que consumieron las cabras en pastoreo (439 g kg-1) comparada con el contenido en el alimento integral (307 g kg-1) consumido por las cabras estabuladas, indica que la proteína cruda (PC) consumida por las cabras en pastoreo se integrada por una fracción mayor de PC indegradable en el rumen e indigestible en el intestino delgado respecto al alimento de las cabras estabuladas (NRC, 2007). Así mismo, el complemento ofrecido a cabras estabuladas contenía pasta de soya (9.0 %), salvado de trigo (9.0 %) y urea (1.2 %), ingredientes con alto contenido de proteína verdadera, potencialmente degradable en el rumen. Situación que aumentó (p ≤ 0.05) la concentración de proteína en leche de cabras estabuladas respecto a cabras en pastoreo.
El aumento (p ≤ 0.05) en concentración de lactosa en leche de cabras estabuladas respecto a cabras en pastoreo, sugiere un estado de subnutrición en las cabras en pastoreo. Al respecto, la lactosa es el componente más estable en la leche de rumiantes (Lin et al., 2016). Sin embargo, en condiciones de subnutrición, la lactosa en leche puede disminuir (Kuhn et al., 1980). Además, alimentos integrales generan mayor producción de ácido propiónico en el rumen (Wang y Nishino, 2008; Cao et al., 2008), el cual es precursor de glucosa (Zhao, 2014), y la glucosa a su vez es el principal precursor de lactosa en leche (Annison y Linzell, 1964). Por tanto, el alimento integral consumido por las cabras estabuladas, probablemente ocasionó producción mayor de ácido propiónico en rumen, mismo que indujo disponibilidad mayor de glucosa en glándula mamaria, incrementándose así la concentración de lactosa en leche de cabras estabulas.
Experimento 2
Si bien, no hubo diferencias (p > 0.05) en peso vivo entre tratamientos, el incrementó (p ≤ 0.01) en condición corporal de las cabras complementas respeto a las cabras del tratamiento testigo, sugiere una subnutrición de las cabras testigo (Gómez-Pasten et al., 2010). Al respecto, el peso vivo de animales en subnutrición no difiere del de aquéllos alimentados a libertad, debido a que los primeros pueden disminuir su tasa metabólica basal y sus requerimientos para mantenimiento, y así mantener el peso corporal (Gómez-Pasten et al., 2010). Sin embargo, cabras lecheras en subnutrición degradan tejido adiposo para mantener la lactación (Eknæs et al., 2006), y la perdida de condición corporal se refleja principalmente en disminución de tejido adiposo, sin necesariamente pérdida de peso vivo (Askar et al., 2015). Es interesante observar que, aunque las cabras que solo pastoreaban se encontraban en subnutrición, seguían manteniendo la producción de leche, lo cual refleja la alta capacidad de adaptación de las cabras locales de La Comarca Lagunera a alimentos de baja calidad nutricional (Gómez-Pasten et al., 2010).
La producción de leche de las cabras en pastoreo aumentó (p ≤ 0.01) cuando se complementó con el alimento integal. Este resultado, podría estar relacionado con el hecho de que en las cabras complementadas no cambió (p > 0.05) la concentración de grasa en leche, pero si aumentó (p ≤ 0.01) la concentración de proteína y lactosa en leche. Al respecto, cuando se complementa la dieta de cabras en pastoreo con un alimento integral con alto contenido de granos, como en el presente estudio, se promueve aumento en producción de ácido propiónico en rumen (Wang y Nishino, 2008; Cao et al., 2008), lo cual provoca incremento de glucemia a través de la gluconeogénesis, dando lugar a una mayor secreción de insulina, y en consecuencia, la lipólisis disminuye, reduciendo el aporte de ácidos grasos preformados para la síntesis de grasa en glándula mamaria (Bauman y Griinari, 2003), y debido a que la glucosa es necesaria para la síntesis de grasa en leche (Hötger et al., 2013), se provoca un ahorro de glucosa. Por tanto, existe una mayor disponibilidad de glucosa en glándula mamaria para sintetizar más lactosa (Hötger et al., 2013), y si se considera que la lactosa es el principal osmo-regulador en la captación mamaria de agua (Rigout et al., 2002), la producción de leche puede aumentar. Con base en ello, el aumento (p≤0.01) de la producción de leche en las cabras complementadas con respecto a las cabras testigo, pudó deberse a un aumento de la concentración de lactosa en leche, lo cual permitió captación mayor de agua en glandula mamaria y por ende mayor producción de leche (Hötger et al., 2013).
Análisis económico
En este estudio se incluye un análisis de costos parciales, con el objetivo de conocer la viabilidad económica del uso del alimento integral como dieta total ó complemento. Esto, bajo el supuesto de que el sistema extensivo de producción caprina en la Comarca Lagunera es rentable, ya que ha sido sostenible a través del tiempo. Al contrastar, el ingreso por venta de leche cuando no se complementa la alimentación de cabras respecto al ingreso cuando se complementa, si este último es mayor, sugerirá viabilidad económica al complementar la alimentación de cabras lecheras, aún si no se conocen los costos variables y fijos del sistema.
A partir de los costos de cada ingrediente, se calculó el costo por kilogramo del alimento integral, el cual fue de $ 3.98 MXN (Cuadro 5). Para el análisis, se consideró un precio de venta por litro de leche de $ 6.00 MXN (SIAP, 2016). Debido a que en el presente estudio la producción de leche fue medida en kilogramos, se realizó una corversión de kilogramos a litros de leche, a partir de la densidad en leche, que en promedio fue 1.030 (Salvador y Martínez, 2007).
Cuadro 5 Costo del alimento integral ofrecido a cabras locales.
| Ingredientes | g kg -1 MS | $ MXN g kg -1 MS |
|---|---|---|
| Grano de maíz | 171 | 0.76 |
| Grano de sorgo | 171 | 0.78 |
| Salvado de trigo | 90 | 0.38 |
| Pasta de soya | 90 | 0.50 |
| Urea | 12 | 0.08 |
| Melaza | 48 | 0.19 |
| Rastrojo de maíz | 80 | 0.11 |
| Heno de alfalfa | 320 | 1.00 |
| Pre mezcla sal mineral1 | 18 | 0.18 |
| Costo total por kilogramo ($ MXN) | 3.98 |
En el experimento 1, se contrastó el ingreso por venta de leche de cabras que solo pastorearon contra el ingreso obtenido con las cabras estabuladas que consumieron el alimento integral. La producción de leche de cabras que solo pastorearon fue 0.66 L d-1 por lo que el ingreso diario por cabra fue de $ 3.96 MXN. En tanto, la producción de leche de cabras estabuladas fue 1.17 L d-1, por lo que el ingreso por venta de leche fue $7.02 MXN, si se considera que tuvieron un consumo de MS del alimento integral de 1.67 kg d-1, el costo por este concepto fue de $ 6.64 MXN, al restar este costo al ingreso por venta de leche, la utilidad fue $0.38 MXN, 90. 4 % menor a la que se obtuvo con cabras en solo pastoreo.
En el experimento 2, la producción de leche de cabras que solo pastorearon fue de 0.21 L d-1 por lo que el ingreso diario por cabra fue de $ 1.26 MXN. En tanto, las cabras complementadas con 500 g d-1 tuvieron una producción de leche 0.53 L d-1, por lo que el ingreso por venta de leche fue de $ 3.18 MXN por cabra por día, si se resta el costo del alimento ($1.99 MXN cabra d-1) la utilidad por cabra por día fue $1.19 MXN, 5. 5 % menor a la que se obtuvo con cabras en solo pastoreo. Respecto a las cabras complementadas con 1000 g d-1 mostraron una producción de leche 0.66 L d-1, y su ingreso por venta de leche fue $ 3.96 MXN, si se resta el costo del complemento ($3.98 MXN cabra d-1) la utilidad por cabra por día fue $ -0.02 MXN, siendo 101.6 % menor respecto al ingreso obtenido con cabras en solo pastoreo.
Con base en las consideraciones anteriores, el alimento integral como dieta total o como suplemento no ofrece un ingreso mayor respecto al obtenido con cabras solo en pastoreo. Sin embargo, al complementar la alimentación, se incrementó la concentración de proteína y lactosa en leche, indicadores de una mejora en la nutrición de las cabras, la cual se reflejo en una mejora en la condición corporal de las cabras. Por otra parte, el aumento en concentración de proteína en leche puede incrementar el rendimiento de derivados lácteos como queso, mantequilla, y leche en polvo (Min et al., 2005), debido a que la proteína representa alrededor del 60% de la MS de dichos derivados (Zeng et al., 2007), por lo que la complementación a las cabras pudierá representar en una leche más atractiva para la industria, con lo cual se prodria buscar mejorar el precio de venta por litro de leche.
Conclusiones y recomendaciones
Bajo las condiciones experimentales de este estudio, al utilizar un alimento integral bajo establuación no cambió la concentración de grasa en leche, pero si aumentó la producción y la concentración de proteína y lactosa en leche comparado con cabras en pastoreo. Así mismo, la complementación a cabras en pastoreo con un alimento integral a niveles de 500 g d-1 y 1000 g d-1 no cambió la concentración de grasa en leche, pero se mejoró la condición corporal de las cabras y aumentó la producción, concentración de proteína y lactosa en leche respecto a cabras solo en pastoreo. El análisis de costos parciales indicó que la complementación de cabras en pastoreo aun cuando mejora la calidad y producción de leche, no es viable económicamente. Ya que no existe una adecuada relación costo de alimento complementario-precio de venta.
Por otro lado, se demostró que las cabras locales tienen la habilidad lechera para producir hasta un 178% adicional al estabularse y un 225% adicional al seguir en pastoreo en el agostadero, pero con una complementación de alimento concentrado. Esta habilidad lechera de las cabras locales al consumir alimento complementario, asi como la rusticidad para producir bajo condiciones marginales de baja alimentación sin afectar otros procesos productivos (reproducción, por ejemplo), perfilan a este genotipo como el ideal para el entorno social en que se desarrolla la caprinocultura en la Comarca Lagunera y deberá considerarse en programas de mejorameinto genético para evitar erosionar la rusticidad que por generaciones se ha desarrollado en la cabras de la región norte de México. Por lo tanto, es necesario seguir realizando investigaciones que generen estrategias alimenticias donde la prioridad sea obtener la mayor rentabilidad, bajo un esquema de alimentos de bajo costo y negociación con los compradores de leche para obtener un mayor pago en base a calidad.










nueva página del texto (beta)




