Introducción
En México, la población de adultos mayores de 60 años es de 10.4 millones,1 y se espera que para 2050 esta cifra aumente a 36.4 millones, así como la esperanza de vida a 82 años.2 Se prevé que progresen los síndromes geriátricos, especialmente la fragilidad, promoviendo las fracturas de cadera, afectando la calidad de vida de los pacientes adultos mayores (PAM), especialmente entre los 80-89 años de edad.3,4 A nivel mundial, las fracturas de cadera (FC) afectarán a 18% de las mujeres y a 6% de los hombres, aumentando de 1.26 millones en 1990 a 4.5 millones para el 2050. Los costos asociados son enormes, ya que se requiere un largo periodo de hospitalización y posterior rehabilitación.5 En la mayoría de los pacientes adultos mayores, las FC han afectado gravemente el funcionamiento físico y mental, con un impacto severo en su calidad de vida; la mayoría no vuelven a los niveles de rendimiento previos a la FC.6
Las FC se clasifican según su ubicación: del cuello femoral, transtrocantérica y subtrocantéricas. El abordaje quirúrgico se determina según la ubicación de la fractura y las características del paciente.7 Los costos médicos para el tratamiento representan un impacto en los servicios de salud, con un precio de referencia promedio de $ 45’122,228 USD en México.8 La implementación de estrategias de prevención, especialmente para el riesgo de caída es la más eficiente, así como un manejo oportuno con tratamiento integral con manejo quirúrgico temprano, considerando adecuado control del dolor, especialmente en fracturas inestables del cuello femoral, o el uso de un dispositivo cefalomedular para fracturas transtrocantérica o subtrocantéricas.9 Es indispensable mantener una hemoglobina superior a 8 g/dL en pacientes postoperados,10 una fisioterapia intensiva después del alta, el uso de un programa de atención interdisciplinario en pacientes con demencia moderada y manejo multimodal del dolor.11 El tratamiento no quirúrgico de los pacientes adultos mayores frágiles con FC se asocia con mal pronóstico. Se han reportado tasas de mortalidad después de 30 días, seis meses y un año de 36, 46 y 60%, respectivamente. Así, 33% de los pacientes desarrollaron complicaciones y sólo 9.6% fueron capaces de deambular.12 Las FC transtrocantéricas se clasifican mediante la escala de Tronzo,13 en la cual los subtipos IIIB-V suelen ser manejadas de forma quirúrgica mediante fijación interna con colocación de sistema de tornillo dinámico de cadera y placa lateral, o bien, mediante enclavado intramedular con sus respectivas potenciales complicaciones.14 Para documentar el estado clínico del paciente postoperado de FC se emplea la escala funcional Harris Hip Score (HHS), que ha sido validada por considerar la relación entre la evolución del dolor postquirúrgico y la función en el proceso de rehabilitación.15,16
Las FC transtrocantéricas en los pacientes adultos mayores se asocian a una alta mortalidad, siendo de 7.1% a los 30 días y de 28.1% al año, por lo que intervenir quirúrgicamente ha demostrado beneficios por ser segura, paliativa y rentable.17,18 Dentro de estas intervenciones está la colocación de la hemiprótesis de Thompson (HT), siendo rápida, simple y paliativa para la movilización temprana. La pertinencia de realizar este estudio recae en conocer y tener la mejor evidencia de cuál es la recuperación funcional tras la colocación de HT en un hospital público de la Ciudad de México (Figura 1).
Material y métodos
Se realizó un estudio prospectivo, observacional, longitudinal y unicéntrico, donde se reclutaron a pacientes mayores de 80 años de edad o más que fueron atendidos en el Hospital Regional “Gral. Ignacio Zaragoza” del Instituto de Seguridad y Servicios Sociales de los Trabajadores del Estado (ISSSTE) en el periodo de enero de 2019 a diciembre de 2020. Tras previa explicación y firma de consentimiento informado por parte del paciente o un familiar legalmente responsable, y bajo la normatividad del Comité de Ética local, se incluyó a pacientes diagnosticados con FC transtrocantérica clasificaciones Tronzo IIIB-V, a los cuales se les realizó sustitución del calcar mediante el uso de injerto óseo autólogo con cerclaje a trocánter menor para conseguir el apoyo necesario para la colocación de una hemiprótesis de Thompson. Posteriormente, los pacientes fueron evaluados clínicamente en consulta externa, con base en la escala HHS (Tabla 1), siendo aplicada a los 15 días, un mes y tres meses. Se excluyó a los pacientes que no acudieron a todas sus citas de seguimiento.
Tabla 1: Dominios evaluados en la Harris Hip Score.
| Dolor |
| Función: marcha |
| Distancia caminada |
| Apoyo |
| Cojear |
| Actividades funcionales |
| Subir y bajar escaleras |
| Ponerse de cuclillas |
| Uso del transporte público |
| Permanecer sentado |
| Rango de movimiento de la cadera |
| Ausencia de deformidades |
Se realizó un análisis estadístico, descriptivo con gráficas de barras de los datos obtenidos; para el análisis se utilizaron frecuencias y proporciones para las variables categóricas, media y desviación estándar. Para el análisis de la relación entre variables se utilizó la prueba de ANOVA de una cola con el software Prism 9 para macOS. Se consideró una diferencia estadísticamente significativa una alfa de 0.05.
Resultados
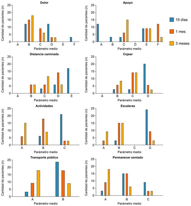
Se reclutó un total de 27 pacientes, de los cuales 55.56% (n = 15) fueron mujeres y 44.44% (n = 12) hombres, con edad media de 87.22 años (rango de 85 a 93 años y desviación estándar de 2.57-2.25). Al evaluar los parámetros de la HHS (Figura 2) se encontró que el dolor tuvo una diferencia significativa, siendo percibido de manera menor con cada revisión subsecuente a lo largo del tiempo (p = 0.0025), considerando que la severidad más frecuente a lo largo de las subsecuencias fue el dolor moderado o tolerable. Respecto a los requerimientos de apoyo y de órtesis por los pacientes no hubo diferencias significativas, destacando que a los 15 días 44.44% (n = 12) acudieron sin ningún tipo de órtesis o apoyo adicional; sin embargo, para los tres meses todos los pacientes utilizaron algún tipo de material de apoyo y 11.11% (n = 3) acudieron con dos muletas o sin la posibilidad de caminar (p = 0.2667). En cuanto a distancia caminada, se encontró que 66.67% (n = 18) sólo pudo trasladarse de la cama a la silla, pero con el paso del tiempo todos presentaron una tendencia o la mejoraron, sin un solo paciente que presentara inmovilidad absoluta a los tres meses (p = 0.5376). Respecto a cojear, se observa que ninguno de los casos reportó ausencia de este parámetro; sin embargo, a los tres meses la mayoría de los pacientes, 55.56% (n = 15) refieren hacerlo con una intensidad moderada (p = 0.308). En cuanto a la realización de actividades autónomas de la vida cotidiana, como colocarse calcetines y zapatos, se aprecia una dificultad considerable a los 15 días, que mejoró importantemente a los tres meses, aunque no de forma significativa (p = 0.8920). Al medir la funcionalidad para subir y bajar las escaleras, se encontró que a los 15 días 88.89% (n = 24) fueron incapaces de realizar esta tarea; sin embargo, a los tres meses sólo 11.11% (n = 3) se mantuvo con esta desfavorable condición (p = 0.2868). Para poder utilizar el transporte público, en la primera visita de seguimiento 88.89% (n = 24) se refirió como incapaz de utilizarlo, pero para los tres meses de seguimiento 66.67% (n = 18) mejoró esta condición, pudiendo usarlo (p = 0.5063). Respecto a la facilidad para permanecer sentados, se observó que a los tres meses 66.67% (n = 18) de los pacientes refiere percibir de manera cómoda una silla y permanecer sentados de forma ordinaria durante una hora (p = 0.5057).

Figura 2: Parámetros evaluados de la escala funcional de cadera Harris Hip Score (HHS) a los 15 días, un mes y tres meses. Dolor: A = ninguno o lo ignora. B = ligero, ocasional, sin compromiso de la actividad. C = dolor leve, sin efecto en las actividades promedio, raramente dolor moderado con actividad inusual, puede tomar aspirina. D = dolor moderado, tolerable, pero hace concesiones al dolor; algunas limitaciones de la actividad o el trabajo ordinarios. Puede requerir analgésicos ocasionales más fuertes que la aspirina. E = dolor marcado, grave limitación de actividades. F = totalmente discapacitado, lisiado, dolor en la cama, postrado en cama. Apoyo: A = ninguno. B = Bastón/bastón para caminatas largas. C = bastón/bastón la mayor parte del tiempo. D = una muleta. E = dos bastones/bastones. F = dos muletas o no poder caminar. Distancia de caminata: A = ilimitado. B = seis bloques (30 minutos). C = dos o tres bloques (10-15 minutos). D = sólo en interiores. E = sólo cama y silla. Cojear: A = ninguna. B = leve. C = moderada. D = severa o incapaz de caminar. Actividades: A = con facilidad. B = con dificultad. C = incapaz de calzar o atar. Subir y bajar escaleras: A = normalmente sin usar barandilla. B = normalmente usando una barandilla. C = de cualquier manera. D = incapaz de subir escaleras. Uso de transporte público: A = capaz de usar el transporte (autobús). B = no se puede utilizar el transporte público (autobús). Permanecer sentado: A = silla cómoda y ordinaria durante una hora. B = en una silla alta durante 30 minutos. C = incapaz de sentarse cómodamente en ninguna silla.
En cuanto a la goniometría, se evaluaron los arcos de movilidad de la articulación postoperada, encontrando que los grados totales de flexión presentan tendencia a la mejoría (p = 0.3311), presentando 77.78% (n = 21) una amplitud de 90-100o y 22.22% (n = 6) de 100-110o (Figura 3). Se presentó una supervivencia de 100% en los pacientes a los tres meses de postoperados.
Discusión
La FC representa un compromiso considerable de dolor, funcionalidad, autonomía y calidad de vida de los pacientes adultos mayores. Los tratamientos para FC deben incluir intervenciones tempranas multidisciplinarias que incluyan actividad física, intervenciones que enfaticen la actividad física a largo plazo, por lo que la disminución pronta del dolor y la recuperación temprana de la movilidad son fundamentales para mejorar la morbimortalidad;14 lo cual se ha demostrado en el presente estudio. En función del dolor percibido, como de las diferentes actividades que ilustran la autonomía y la funcionalidad global, el uso de la HHS, que ha demostrado ser una escala ideal para la valoración de FC y diferentes abordajes quirúrgicos,15 se reafirma en este estudio por permitir documentar ampliamente una gran variedad de aspectos de la vida de los pacientes de manera integral. Anteriormente se han comparado otras escalas de calidad de vida, como la Evaluación Numérica de Medición Única (SANE, por sus siglas en inglés) en relación con la HHS, reportando una fuerte correlación con el Puntaje de Resultado de Cadera (HOS, por sus siglas en inglés), actividades de la vida diaria medidas por SANE y deporte en el preoperatorio y en el postoperatorio a corto plazo,16 apoyando aún más la validez de este instrumento. La erosión acetabular sintomática es la complicación mejor conocida a largo plazo, que se ha demostrado está presente después del seguimiento de pacientes activos,18 por lo que utilizar este abordaje en pacientes geriátricos con poca actividad física de alto impacto representa una oportunidad. De la misma forma que la serie de 1,445 casos de Manoharan,17 el presente estudio reportó a la colocación de hemiprótesis de Thompson como una intervención segura, paliativa y rentable. La principal limitación de este estudio es el tamaño de muestra; sin embargo, se debe considerar que este número representa un esfuerzo institucional de carácter público, donde los pacientes han sido beneficiados a partir de la accesibilidad que se ofrece con la mejor calidad y calidez disponible.
Conclusiones
El manejo quirúrgico inmediato de un paciente adulto mayor que presenta FC transtrocantérica sigue siendo un reto clínico y socioeconómico, siendo la sustitución del calcar y colocación de hemiprótesis de Thompson una opción terapéutica segura y que permite la supervivencia con una mejoría significativa en el dolor y una tendencia a la mejoría respecto a la funcionalidad para mantener la calidad de vida. Se necesita de más investigación para poder determinar la superioridad de otras técnicas quirúrgicas; sin embargo, es necesaria la generación de políticas públicas orientadas a esta población que, por su vulnerabilidad, necesitan atención especial y cálida, con enfoque en la prevención.










nueva página del texto (beta)




