SciELO - Scientific Electronic Library Online

 
vol.21 número2Modificación de la efectividad diagnóstica de la escala RIPASA en pacientes con apendicitis aguda y consumo de analgésicos no esteroideosEfedrina versus norepinefrina para inestabilidad hemodinámica materna secundaria a bloqueo subaracnoideo en cesárea índice de autoresíndice de materiabúsqueda de artículos
Home Pagelista alfabética de revistas  

Servicios Personalizados

Revista

Articulo

Indicadores

Links relacionados

  • No hay artículos similaresSimilares en SciELO

Compartir


Acta médica Grupo Ángeles

versión impresa ISSN 1870-7203

Acta méd. Grupo Ángeles vol.21 no.2 México abr./jun. 2023  Epub 20-Oct-2023

https://doi.org/10.35366/110258 

Artículos originales

Comparación de los criterios de Tokio y clasificación de Parkland para predicción de complicaciones en una cohorte de pacientes sometidos a colecistectomía laparoscópica en el Hospital Angeles Pedregal

Comparison of the Tokyo criteria and Parkland classification for predicting complications in a cohort of patients undergoing laparoscopic cholecystectomy at Hospital Angeles Pedregal

Luis Antonio Romano Bautista1  * 

Fernando Hernández Amador2 

Ernesto Rojas Jiménez3 

1 Facultad Mexicana de Medicina, Universidad La Salle México. México.

2 Hospital Angeles Pedregal. México.

3 Department of Medical Oncology, Dana-Farber Cancer Institute. Department of Medicine, Brigham and Women’s Hospital. Department of Medicine Harvard Medical School. Boston, MA, USA.


Resumen:

Introducción:

la colecistitis aguda tiene más riesgo de complicaciones y una estancia hospitalaria prolongada en los casos evaluados con mayor severidad.

Objetivo:

comparar los criterios de Tokio y la escala de Parkland en pacientes con colecistitis aguda y sometidos a colecistectomía por laparoscopia para identificar la relación que guardan ambas escalas con el riesgo de presentar complicaciones postquirúrgicas e incremento en el tiempo quirúrgico y en la estancia intrahospitalaria.

Material y métodos:

mediante un estudio retrospectivo y descriptivo se recolectó la información del expediente electrónico de 383 pacientes sometidos a colecistectomía laparoscópica por colecistitis aguda, de enero de 2021 a enero de 2022 en el Hospital Angeles Pedregal. Se recuperó el tiempo de estancia hospitalaria, tiempo quirúrgico, grado de severidad por los criterios de Tokio, clasificación de Parkland en el transoperatorio y las complicaciones.

Resultados:

el tiempo quirúrgico y los días de estancia hospitalaria son directamente proporcionales a la escala de severidad de ambas escalas.

Conclusión:

tanto la clasificación de Tokio como la escala de Parkland funcionan como un buen predictor de complicaciones en pacientes valorados con la severidad más alta en ambas escalas, también se ve reflejado en un incremento en el tiempo quirúrgico y la estancia hospitalaria.

Palabras clave: colecistectomía laparoscópica; criterios de Tokio; escala de Parkland; estancia hospitalaria; tiempo quirúrgico; complicaciones

Abstract:

Introduction:

acute cholecystitis has a higher risk of developing complications and a prolonged hospital stay in those cases evaluated with greater severity.

Objective:

to compare the Tokyo criteria and the Parkland scale in patients with acute cholecystitis who underwent cholecystectomy by laparoscopy to identify the relationship between both scales and the risk of postoperative complications and increase in surgical time and hospital stay.

Material and methods:

a retrospective and descriptive study collected information from the electronic record of 383 patients who underwent laparoscopic cholecystectomy for acute cholecystitis from January 2021 to January 2022 at the Hospital Angeles Pedregal. Hospital stay time, surgical time, degree of severity by Tokyo, Parkland classification in transoperative, and complications were retrieved.

Results:

surgical time and days of hospital stay are directly proportional to the severity scale of both scales.

Conclusion:

both the Tokyo classification and the Parkland scale function as a good predictors of complications in patients with the highest severity in both scales, also reflected in an increase in surgical time and hospital stay.

Keywords: laparoscopic cholecystectomy; Tokyo criteria; Parkland scale; hospital stay; surgical time; complications

Introducción

La colecistitis aguda es la inflamación de la vesícula biliar por la obstrucción del drenaje de bilis,1 se encuentra con una frecuencia de 6 a 11% con enfermedad litiásica vesicular sintomática.2 La colecistitis aguda puede progresar a isquemia, necrosis y perforación. La obstrucción asociada a litiasis vesicular es responsable de 90 a 95% de los casos de colecistitis aguda;3 convirtiendo la colecistectomía laparoscópica en el tratamiento de elección en esta patología y en uno de los procedimientos que más se realizan en México.

Se han establecido parámetros que nos han permitido proveer criterios para el diagnóstico y la clasificación de la colecistitis aguda. Las guías de Tokio y la clasificación de Parkland nos permiten evaluar y clasificar la severidad mediante datos clínicos (preoperatoria) y quirúrgicos (transoperatoria), respectivamente. Las guías de Tokio tienen tres grados de severidad.4 La colecistectomía laparoscópica es el mejor tratamiento para los pacientes en grado I y II, y la derivación percutánea para aquéllos con grado III. Desafortunadamente, no existen datos que correlacionen el grado de severidad de acuerdo con los criterios de Tokio de forma preoperatoria y la extensión de la inflamación de la vesícula biliar en pacientes que son sometidos a cirugía.5 Varias clasificaciones han propuesto valorar el grado de inflamación transoperatoria.6 La clasificación de Parkland permite fácilmente implementar mediante cinco grados las diferencias anatómicas y los cambios inflamatorios transoperatorios (Tabla 1).7

Tabla 1: Criterios de Tokyo y Parkland para colecistitis aguda. 

Criterios de severidad para colecistitis aguda Tokio 2018
Grado I (leve) No cumple criterios para ser clasificada en colecistitis aguda grado II y III
Colecistitis aguda en un paciente previamente sano, sin falla orgánica ni cambios inflamatorios en la vesícula biliar
Colecistectomía segura y de bajo riesgo
Grado II (moderada) Asociada con alguna de las siguientes condiciones:
- Leucocitos elevados (> 18,000/mm3)
- Masa palpable en cuadrante superior derecho
- Duración de los síntomas > 72 h
- Inflamación local marcada (colecistitis gangrenosa, absceso pericolecístico, absceso hepático, peritonitis biliar, colecistitis enfisematosa)
Grado III (severa) Asociado a disfunción de alguno de los siguientes órganos/sistemas:
1. Falla cardiovascular:
- Hipotensión que requiere tratamiento con dopamina > 5 μg/min o cualquier dosis de norepinefrina
2. Falla neurológica:
- Disminución en el nivel de consciencia
3. Falla respiratoria:
- PaO2 /FiO2 ratio < 300
4. Falla renal:
- Oliguria, creatinina > 2.0 mg/dL
5. Falla hepática:
- PT-INR > 1.5
6. Falla hematológica:
- Conteo plaquetario < 100,000/mm3
Clasificación de Parkland
1 Vesícula biliar de apariencia normal (sin adherencias)
2 Adherencias mínimas (sobre todo a nivel del cuello vesicular)
3 Presencia de alguno de los siguientes factores:
- Hiperemia
- Líquido perivesicular
- Adherencias a nivel del cuerpo de la vesícula
- Vesícula distendida
4 Presencia de alguno de los siguientes factores:
- Adherencias en casi la totalidad de la vesícula
- Síndrome de Mirizzi
- Vesícula intrahepática
- Anatomía anómala del hígado
5 Presencia de alguna de las siguientes situaciones:
- Perforación
- Necrosis
- Imposibilidad de la visualización de la vesícula por adherencias

PT = prothrombin time. INR = índice internacional normalizado.

A pesar de clasificar el grado de severidad mediante los criterios de Tokio de forma preoperatoria y mediante la clasificación de Parkland en el transoperatorio, es difícil determinar el tiempo de estancia hospitalaria y el tiempo quirúrgico.8 En un estudio multivariado realizado por Inukai se demostró que el grado de severidad II en comparación con el grado I de los criterios de Tokio, es un factor de riesgo independiente de estancia hospitalaria prolongada.9 También Lee observó que los pacientes evaluados en una escala más alta de Parkland permanecieron más tiempo hospitalizados, y podían presentar colecistitis gangrenosa.10

No existen reportes que evalúen el impacto que tiene el uso de las guías de Tokio en la estancia hospitalaria y el costo hospitalario, además de si existe relación entre el grado de severidad y el tiempo quirúrgico.11 Es por esto que en el siguiente estudio buscamos asociar la evaluación de estas dos escalas con las complicaciones.

Material y métodos

Mediante un estudio retrospectivo realizado en el Hospital Angeles Pedregal se seleccionaron 383 pacientes con diagnóstico de colecistitis aguda que fueron sometidos a colecistectomía laparoscópica temprana de enero de 2021 a enero de 2022. Se recolectó el tiempo quirúrgico, el número de días de estancia hospitalaria y las complicaciones.

Se clasificó como Tokio I (leve) a los pacientes que tenían dolor en hipocondrio derecho; Tokio II a los que tenían al menos unos de los siguientes: leucocitosis, masa palpable en hipocondrio derecho, sintomatología mayor de 72 horas o inflamación local; y Tokio III a aquéllos que además tenían disfunción orgánica. Para la clasificación de Parkland se aplicó la escala con base en el registro de la vista inicial transoperatoria de la vesícula biliar.

La colecistectomía laparoscópica fue realizada por diferentes cirujanos. Los pacientes firmaron previamente el consentimiento informado y tuvieron profilaxis antibiótica.

Para el análisis estadístico se realizó una curva ROC (receiver operating characteristic) y los valores del área bajo la curva (AUC) se usaron para validación de la escala de Parkland y para la clasificación de Tokio con el software estadístico R versión 4.2.0.

Resultados

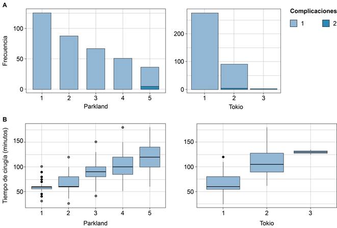
De los 383 pacientes, de acuerdo con la escala de Tokio: 277 fueron evaluados con grado I, solamente con el criterio de dolor abdominal en hipocondrio derecho; 102 con grado II, de los cuales, cumplían de uno a cuatro criterios de severidad moderada; y cuatro en grado III con daño en al menos un órgano. Mediante la clasificación de Parkland: 127 pacientes fueron clasificados como Parkland 1, 88 Parkland 2, 68 Parkland 3, 56 Parkland 4, y 45 como Parkland 5 (Tabla 1).

En ambas escalas el grado de severidad que se presentó con mayor frecuencia fue el más bajo. El tiempo de cirugía aumentó en los pacientes con mayor grado de severidad (Figura 1). Para los grados II y III en la escala de Tokio, el promedio fue de 114 y 132 minutos, respectivamente. De acuerdo con la clasificación de Parkland, el tiempo quirúrgico fue de 59 minutos en Parkland 1, 105 minutos en Parkland 4 y 123 minutos en Parkland 5.

Figura 1: A) Complicaciones relacionadas a escala de Parkland y severidad por Tokyo. B) Tiempo quirúrgico en relación a escala de Parkland y severidad por Tokyo. A mayor grado el tiempo quirúrgico y la estancia hospitalaria incrementan. 

El tiempo de estancia hospitalaria aumenta en los casos clasificados con mayor severidad. El tiempo promedio de estancia hospitalaria fue en el grado severo de 8.7 días en la escala de Tokio, y de 3.1 y 4.3 días en Parkland 4 y 5, respectivamente (Figura 1).

Los que presentaron mayor número de complicaciones se encontraban en el grado II y III de Tokio (50/50%, respectivamente) y en la clasificación 5 de Parkland (Figura 2). En la clasificación de Tokio II se encontraron dos pacientes con íleo postquirúrgico y uno con lesión renal aguda, en la clasificación Tokio III se observó solamente un paciente con íleo postquirúrgico, otro con lesión renal aguda, uno más con trombosis de miembro pélvico y uno ameritó uso de ventilación mecánica (Figura 3).

Figura 2: A) Relación entre tiempo de estancia hospitalaria y tiempo quirúrgico de acuerdo a la escala de Parkland. B) Relación del tiempo de estancia hospitalaria y tiempo quirúrgico de acuerdo a severidad por Tokyo. 

Figura 3: Complicaciones agregadas en relación a mayor grado de severidad en la escala de Parkland y Tokyo. 

Se integraron valores de sensibilidad y especificidad en una curva ROC para determinar el área bajo la curva, asociando la severidad de la escala con la probabilidad de desarrollar una complicación. Ambas escalas demostraron efectividad para la predicción de complicaciones. La escala de Parkland (AUC = 0.95) con mayor eficacia para identificar complicaciones cuando los casos eran clasificados con un valor de 5 (Figura 4).

Figura 4: Fracción de verdaderos positivos para complicaciones de acuerdo a Parkland y Tokyo.  

Discusión

La colecistitis es una de las enfermedades más frecuentes y la colecistectomía uno de los procedimientos quirúrgicos más frecuentes en nuestro servicio. Tener una escala que nos permita la predicción de complicaciones así como el tiempo quirúrgico y de estancia intrahospitalaria es de gran importancia. Es por esto que realizamos el siguiente estudio en pacientes con diagnóstico de colecistitis aguda y que fueron sometidos a colecistectomía laparoscópica temprana en nuestro hospital, buscamos asociar la evaluación de la escala de Tokio y Parkland con las complicaciones y el tiempo de estancia intrahospitalaria.

El tiempo de estancia hospitalaria y el tiempo quirúrgico incrementan a mayor grado de severidad de acuerdo con los criterios de Tokio, así como disminución en la disposición del egreso e incremento en la readmisión al hospital.12

En un estudio de Zipple se encontraron dos factores más asociados a una mayor estancia hospitalaria, el no someterse a cirugía temprana y tener un tiempo de cirugía mayor.13 El grado de severidad en nuestro estudio está asociado de forma gradual a mayor tiempo quirúrgico, estancia hospitalaria más prolongada y mayor riesgo de complicaciones. En otra investigación se reportó que el tiempo quirúrgico fue más largo en colecistitis aguda y hubo necesidad de modificación de la técnica quirúrgica, descompresión vesicular y uso de puertos laparoscópicos adicionales,14 coincidiendo con nuestros resultados.

Al estimar de forma conjunta la severidad con la clasificación de Tokio y el uso de la escala de Parkland para observar los cambios anatómicos durante el tiempo quirúrgico, podemos tener un valioso predictor de complicaciones, tiempo de estancia hospitalaria y tiempo quirúrgico. Con esto podemos concluir que el tiempo quirúrgico y el tiempo de estancia hospitalaria son directamente proporcionales al grado de severidad.

Aunque ambas escalas usadas de forma conjunta pueden ser un buen predictor de complicaciones, existen otros factores que debemos tomar en cuenta como la experiencia del cirujano, las condiciones generales del paciente y la presencia de comorbilidades. Lee menciona que ambas escalas muestran significancia estadística al correlacionarlas y demuestran que a mayor valor en la escala de Parkland mayor grado de severidad en colecistitis mediante los criterios de Tokio, lo que coincide con nuestro estudio donde a mayor grado de severidad mayor riesgo de presentar complicaciones.10

Sería importante realizar un estudio prospectivo para corroborar nuestros hallazgos. Por tratarse de un estudio retrospectivo, los datos obtenidos pueden variar de acuerdo con la técnica de cada cirujano y al no estandarizar la vista transoperatoria de la vesícula biliar para clasificarla en la escala de Parkland.

Establecer la severidad de forma preoperatoria no determina el grado de inflamación transoperatoria, pero al incluir una escala de inflamación y alteraciones anatómicas asociadas a colecistitis aguda como la clasificación de Parkland, podemos determinar la manera en que ambas influyen de forma directa en el tiempo quirúrgico, estancia hospitalaria y complicaciones.

Conclusión

Ambas escalas son un buen predictor de complicaciones, y tienen relación directa con el tiempo de estancia hospitalaria y el tiempo quirúrgico. Las dos escalas demostraron ser eficaces para la detección de complicaciones. Ambas escalas se aplican en distintos momentos de la enfermedad, por lo que incorporar las dos para el seguimiento sería importante.

Referencias bibliográficas

1. Thangavelu A, Rosenbaum S, Thangavelu D. Timing of cholecystectomy in acute cholecystitis. J Emerg Med. 2018; 54 (6): 892-897. [ Links ]

2. González RV, Marenco CCA, Chávez GA, González DS, Montalvo JE. Colecistectomía laparoscópica: resultados de la experiencia del Hospital General de México a nueve años de implementada. Rev Mex Cir Endoscop. 2002; 3 (2): 71-73. [ Links ]

3. Gallaher JR, Charles A. Acute cholecystitis: a review. JAMA. 2022; 327 (10):965-975. [ Links ]

4. Takada T, Strasberg SM, Solomkin JS, Pitt HA, Gomi H, Yoshida M et al. TG13: Updated Tokyo Guidelines for the management of acute cholangitis and cholecystitis. J Hepatobiliary Pancreat Sci. 2013; 20 (1): 1-7. [ Links ]

5. Yokoe M, Takada T, Strasberg SM, Solomkin JS, Mayumi T, Gomi H et al. TG13 diagnostic criteria and severity grading of acute cholecystitis (with videos). J Hepatobiliary Pancreat Sci. 2013; 20 (1): 35-46. [ Links ]

6. Agrawal N, Singh S, Khichy S. Preoperative prediction of difficult laparoscopic cholecystectomy: a scoring method. Niger J Surg. 2015; 21 (2): 130-133. [ Links ]

7. Madni TD, Nakonezny PA, Barrios E, Imran JB, Clark AT, Taveras L et al. Prospective validation of the Parkland Grading Scale for Cholecystitis. Am J Surg. 2019; 217 (1): 90-97. [ Links ]

8. Madni TD, Leshikar DE, Minshall CT, Nakonezny PA, Cornelius CC, Imran JB et al. The Parkland grading scale for cholecystitis. Am J Surg. 2018; 215 (4): 625-630. [ Links ]

9. Inukai K. Predictive factors for a long postoperative stay after emergency laparoscopic cholecystectomy using the 2013 Tokyo guidelines: a retrospective study. Minim Invasive Surg. 2019; 2019: 3942584. [ Links ]

10. Lee W, Jang JY, Cho JK, Hong SC, Jeong CY. Does surgical difficulty relate to severity of acute cholecystitis? Validation of the parkland grading scale based on intraoperative findings. Am J Surg. 2020; 219 (4): 637-641. [ Links ]

11. Hayasaki A, Takahashi K, Fujii T, Kumamoto K, Fujii K, Matsumoto E et al. Factor analysis influencing postoperative hospital stay and medical costs for patients with definite, suspected, or unmatched diagnosis of acute cholecystitis according to the Tokyo guidelines 2013. Gastroenterol Res Pract. 2016; 2016: 7675953. [ Links ]

12. Paul Wright G, Stilwell K, Johnson J, Hefty MT, Chung MH. Predicting length of stay and conversion to open cholecystectomy for acute cholecystitis using the 2013 Tokyo Guidelines in a US population. J Hepatobiliary Pancreat Sci. 2015; 22 (11): 795-801. [ Links ]

13. Zipple M, Slama E, Wilkie J, Kieninger A, Robinson R. Factors influencing length of stay in cholecystectomy patients in a community hospital. Spartan Med Res J. 2017; 2 (2): 6346. [ Links ]

14. Damani AA, Haider S, Bilal H, Perveen S. Comparison of operative time and length of hospital stay in laparoscopic cholecystectomy in acute verses chronic cholecystitis. J Ayub Med Coll Abbottabad. 2015; 27 (1): 102-104. [ Links ]

1Conflicto de intereses: los autores declaran que no tienen ningún conflicto de intereses.

Aprobado: 01 de Septiembre de 2022

*Autor para correspondencia: Dr. Luis Antonio Romano Bautista. Correo electrónico: dr.tonyromano@outlook.com

Creative Commons License Este es un artículo publicado en acceso abierto bajo una licencia Creative Commons